Indicator of Inflammation and NETosis—Low-Density Granulocytes as a Biomarker of Autoimmune Hepatitis
Abstract
:1. Introduction
2. Materials and Methods
2.1. Characteristics of Patients
2.2. Apparatus and Methodology
2.2.1. Test Material
2.2.2. Methods
Biochemical Determinations
Haematological Determinations
Isolation of Low-Density Granulocytes
Viability Analysis of the LDG Population by Flow Cytometry
Immunophenotyping
2.3. Statistical Methods
3. Results
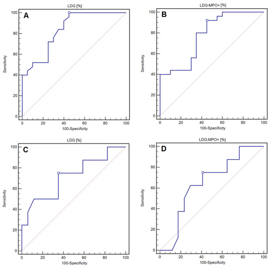
3.1. Assessment of the Diagnostic Usefulness of Selected Morphological and Inflammatory Markers, Including the Percentage of LDG and Its Fraction Showing MPO Expression in Detecting AIH
3.2. Assessment of the Diagnostic Usefulness of Selected Morphological and Inflammatory Markers Including the Percentage of LDG and Its Fraction Showing MPO Expression in the Detection of LC in the Course of AIH
3.3. Correlation between LDG and Selected Demographic-Clinical and Inflammatory Parameters in the Study Group (AIH)
3.4. Correlation between the Percentage of LDG, Including the Fraction Showing MPO Expression with Selected Laboratory Indices Reflecting the Degree of Liver Fibrosis in the Group of Patients with LC
4. Discussion
5. Conclusions
Supplementary Materials
Author Contributions
Funding
Institutional Review Board Statement
Informed Consent Statement
Data Availability Statement
Conflicts of Interest
References
- Floreani, A.; Restrepo, P.; Secchi, M.F.; De Martin, S.; Leung, P.S.; Krawitt, E.; Bowlus, C.; Gershwin, M.E.; Anaya, J.-M. Etiopathogenesis of autoimmune hepatitis. J. Autoimmun. 2018, 95, 133–143. [Google Scholar] [CrossRef]
- Czaja, A.J. Diagnosis and Management of Autoimmune Hepatitis: Current Status and Future Directions. Gut Liver 2016, 10, 177–203. [Google Scholar] [CrossRef] [PubMed] [Green Version]
- Sirbe, C.; Simu, G.; Szabo, I.; Grama, A.; Pop, T.L. Pathogenesis of Autoimmune Hepatitis—Cellular and Molecular Mechanisms. Int. J. Mol. Sci. 2021, 22, 13578. [Google Scholar] [CrossRef] [PubMed]
- Lu, J.G.; Ji, P.; French, S.W. The Major Histocompatibility Complex Class II-CD4 Immunologic Synapse in Alcoholic Hepatitis and Autoimmune Liver Pathology: The Role of Aberrant Major Histocompatibility Complex Class II in Hepatocytes. Am. J. Pathol. 2020, 190, 25–32. [Google Scholar] [CrossRef] [PubMed] [Green Version]
- Rojas, M.; Restrepo-Jiménez, P.; Monsalve, D.M.; Pacheco, Y.; Acosta-Ampudia, Y.; Ramírez-Santana, C.; Leung, P.S.C.; Ansari, A.A.; Gershwin, M.E.; Anaya, J.M. Molecular mimicry and autoimmunity. J. Autoimmun. 2018, 95, 100–123. [Google Scholar] [CrossRef]
- Wei, Y.; Li, Y.; Yan, L.; Sun, C.; Miao, Q.; Wang, Q.; Xiao, X.; Lian, M.; Li, B.; Chen, Y.; et al. Alterations of gut microbiome in autoimmune hepatitis. Gut 2020, 69, 569–577. [Google Scholar] [CrossRef]
- Honda, M.; Kubes, P. Neutrophils and neutrophil extracellular traps in the liver and gastrointestinal system. Nat. Rev. Gastroenterol. Hepatol. 2018, 15, 206–221. [Google Scholar] [CrossRef]
- Lee, K.H.; Kronbichler, A.; Park, D.D.-Y.; Park, Y.; Moon, H.; Kim, H.; Choi, J.H.; Choi, Y.; Shim, S.; Lyu, I.S.; et al. Neutrophil extracellular traps (NETs) in autoimmune diseases: A comprehensive review. Autoimmun. Rev. 2017, 16, 1160–1173. [Google Scholar] [CrossRef]
- Cheemerla, S.; Balakrishnan, M. Global Epidemiology of Chronic Liver Disease. Clin. Liver Dis. 2021, 17, 365–370. [Google Scholar] [CrossRef]
- Ostendorf, L.; Mothes, R.; Van Koppen, S.; Lindquist, R.L.; Bellmann-Strobl, J.; Asseyer, S.; Ruprecht, K.; Alexander, T.; Niesner, R.A.; Hauser, A.E.; et al. Low-Density Granulocytes Are a Novel Immunopathological Feature in Both Multiple Sclerosis and Neuromyelitis Optica Spectrum Disorder. Front. Immunol. 2019, 10, 2725. [Google Scholar] [CrossRef] [Green Version]
- Hacbarth, E.; Kajdacsy-Balla, A. Low density neutrophils in patients with systemic lupus erythematosus, rheumatoid arthritis, and acute rheumatic fever. Arthritis Rheum.Off. J. Am. Coll. Rheumatol. 1986, 29, 1334–1342. [Google Scholar] [CrossRef] [PubMed]
- Fu, J.; Tobin, M.C.; Thomas, L.L. Neutrophil-like low-density granulocytes are elevated in patients with moderate to severe persistent asthma. Ann. Allergy Asthma Immunol. 2014, 113, 635–640.e2. [Google Scholar] [CrossRef] [PubMed]
- Deng, Y.; Ye, J.; Luo, Q.; Huang, Z.; Peng, Y.; Xiong, G.; Guo, Y.; Jiang, H.; Li, J. Low-Density Granulocytes Are Elevated in Mycobacterial Infection and Associated with the Severity of Tuberculosis. PLoS ONE 2016, 11, e0153567. [Google Scholar] [CrossRef] [PubMed]
- Hoffmann, M.; Bruns, H.; Bäckdahl, L.; Neregård, P.; Niederreiter, B.; Herrmann, M.; Catrina, A.I.; Agerberth, B.; Holmdahl, R. The cathelicidins LL-37 and rCRAMP are associated with pathogenic events of arthritis in humans and rats. Ann. Rheum. Dis. 2012, 72, 1239–1248. [Google Scholar] [CrossRef]
- Sagiv, J.Y.; Voels, S.; Granot, Z. Isolation and Characterization of Low- vs. High-Density Neutrophils in Cancer. Methods Pharmacol. Toxicol. 2016, 1458, 179–193. [Google Scholar] [CrossRef]
- Darcy, C.J.; Minigo, G.; Piera, K.A.; Davis, J.S.; McNeil, Y.R.; Chen, Y.; Volkheimer, A.D.; Weinberg, J.B.; Anstey, N.M.; Woodberry, T. Neutrophils with myeloid derived suppressor function deplete arginine and constrain T cell function in septic shock patients. Crit. Care 2014, 18, R163. [Google Scholar] [CrossRef] [Green Version]
- Cloke, T.; Munder, M.; Bergin, P.; Herath, S.; Modolell, M.; Taylor, G.; Müller, I.; Kropf, P. Phenotypic Alteration of Neutrophils in the Blood of HIV Seropositive Patients. PLoS ONE 2013, 8, e72034. [Google Scholar] [CrossRef] [Green Version]
- Porntrakulpipat, S.; Depner, K.R.; Moennig, V. Are Low-Density Granulocytes the Major Target Cells of Classical Swine Fever Virus in the Peripheral Blood? J. Vet. Med. Ser. B 2008, 48, 593–602. [Google Scholar] [CrossRef]
- Lin, A.M.; Rubin, C.J.; Khandpur, R.; Wang, J.Y.; Riblett, M.; Yalavarthi, S.; Villanueva, E.C.; Shah, P.; Kaplan, M.J.; Bruce, A.T. Mast Cells and Neutrophils Release IL-17 through Extracellular Trap Formation in Psoriasis. J. Immunol. 2011, 187, 490–500. [Google Scholar] [CrossRef] [Green Version]
- Wright, H.L.; Makki, F.A.; Moots, R.J.; Edwards, S.W. Low-density granulocytes: Functionally distinct, immature neutrophils in rheumatoid arthritis with altered properties and defective TNF signalling. J. Leukoc. Biol. 2016, 101, 599–611. [Google Scholar] [CrossRef]
- Denny, M.F.; Yalavarthi, S.; Zhao, W.; Thacker, S.G.; Anderson, M.; Sandy, A.R.; McCune, W.J.; Kaplan, M.J. A Distinct Subset of Proinflammatory Neutrophils Isolated from Patients with Systemic Lupus Erythematosus Induces Vascular Damage and Synthesizes Type I IFNs. J. Immunol. 2010, 184, 3284–3297. [Google Scholar] [CrossRef] [PubMed] [Green Version]
- Zhang, S.G.; Song, Y.X.; Shu, X.M.; Shen, H.L.; Yang, H.B.; Duo, R.X.; Wang, G.C. A simple method for removing low-density granulocytes to purify T lymphocytes from peripheral blood mononuclear cells. J. Zhejiang Univ. Sci. B 2017, 18, 605–614. [Google Scholar] [CrossRef] [Green Version]
- Villanueva, E.; Yalavarthi, S.; Berthier, C.C.; Hodgin, J.B.; Khandpur, R.; Lin, A.M.; Rubin, C.J.; Zhao, W.; Olsen, S.H.; Klinker, M.; et al. Netting Neutrophils Induce Endothelial Damage, Infiltrate Tissues, and Expose Immunostimulatory Molecules in Systemic Lupus Erythematosus. J. Immunol. 2011, 187, 538–552. [Google Scholar] [CrossRef] [PubMed] [Green Version]
- Carmona-Rivera, C.; Zhao, W.; Yalavarthi, S.; Kaplan, M.J. Neutrophil extracellular traps induce endothelial dysfunction in systemic lupus erythematosus through the activation of matrix metalloproteinase-2. Ann. Rheum. Dis. 2015, 74, 1417–1424. [Google Scholar] [CrossRef] [PubMed] [Green Version]
- Papayannopoulos, V.; Zychlinsky, A. NETs: A new strategy for using old weapons. Trends Immunol. 2009, 30, 513–521. [Google Scholar] [CrossRef]
- Matoszka, N.; Działo, J.; Tokarz-Deptuła, B.; Deptuła, W. NET and NETosis—new phenomenon in immunology. Postępy Higienyi Medycyny Doświadczalnej 2012, 66, 437–445. [Google Scholar] [CrossRef]
- Urban, C.F.; Ermert, D.; Schmid, M.; Abu-Abed, U.; Goosmann, C.; Nacken, W.; Brinkmann, V.; Jungblut, P.R.; Zychlinsky, A. Neutrophil Extracellular Traps Contain Calprotectin, a Cytosolic Protein Complex Involved in Host Defense against Candida albicans. PLOS Pathog. 2009, 5, e1000639. [Google Scholar] [CrossRef] [Green Version]
- Fan, J.H.; Liu, G.F.; Lv, X.D.; Zeng, R.Z.; Zhan, L.L. Pathogenesis of autoimmune hepatitis. World J. Hepatol. 2021, 13, 879–886. [Google Scholar] [CrossRef]
- Cardon, A.; Conchon, S.; Renand, A. Mechanisms of autoimmune hepatitis. Curr. Opin. Gastroenterol. 2021, 37, 79–85. [Google Scholar] [CrossRef]
- Carmona-Rivera, C.; Kaplan, M.J. Low-density granulocytes: A distinct class of neutrophils in systemic autoimmunity. Semin. Immunopathol. 2013, 35, 455–463. [Google Scholar] [CrossRef]
- Suarez-Quintero, C.Y.; Henao, O.P.; Muñoz-Velandia, O. Concordance between hepatic biopsy and the APRI index (Ast to Platelet Ratio Index) for the diagnosis of cirrhosis in patients with autoimmune liver disease. Gastroenterologia y Hepatologia. 2021, 44, 465–471. [Google Scholar] [CrossRef] [PubMed]
- Yuan, X.; Duan, S.Z.; Cao, J.; Gao, N.; Xu, J.; Zhang, L. Noninvasive inflammatory markers for assessing liver fibrosis stage in autoimmune hepatitis patients. Eur. J. Gastroenterol. Hepatol. 2019, 31, 1467–1474. [Google Scholar] [CrossRef] [PubMed]
- Rungta, S.; Kumari, S.; Verma, K.; Akhtar, G.; Deep, A.; Swaroop, S. A Comparative Analysis of the APRI, FIB4, and FibroScan Score in Evaluating the Severity of Chronic Liver Disease in Chronic Hepatitis B Patients in India. Cureus 2021, 13, 19342. [Google Scholar] [CrossRef] [PubMed]
- Tsai, C.-Y.; Hsieh, S.-C.; Liu, C.-W.; Lu, C.-S.; Wu, C.-H.; Liao, H.-T.; Chen, M.-H.; Li, K.-J.; Shen, C.-Y.; Kuo, Y.-M.; et al. Cross-Talk among Polymorphonuclear Neutrophils, Immune, and Non-Immune Cells via Released Cytokines, Granule Proteins, Microvesicles, and Neutrophil Extracellular Trap Formation: A Novel Concept of Biology and Pathobiology for Neutrophils. Int. J. Mol. Sci. 2021, 22, 3119. [Google Scholar] [CrossRef] [PubMed]





| Demographic Data | |||
|---|---|---|---|
| Variable | Study Group (AIH) n = 25 (%) | Control Group n = 20 (%) | |
| 1. | Gender | ||
| Women | 22 (88%) | 18 (90%) | |
| Men | 3 (12%) | 2 (10%) | |
| 2. | Age [years] | ||
| Median (range) | 56 (23–80) | 43.5 (21–69) | |
| 3. | BMI [kg/m2] | ||
| Median (range) | 25.5 (18.7–37.1) | 21.0 (17–29) | |
| Clinical data | |||
| 4. | Duration of the disease [years] | ||
| Median (range) | 13 (1–25) | - | |
| 5. | Treatment | ||
| Steroids | 16 (64%) | - | |
| Immunosuppressants | 1 (4%) | - | |
| Steroids + Immunosuppressants | 8 (32%) | - | |
| 6. | Family history towards AIH | ||
| Negative | 19 (76%) | - | |
| Positive | 6 (24%) | - | |
| 7. | LC | 8(32%) | - |
| Non-LC | 17 (68%) | - | |
| 8. | Comorbidities | ||
| Yes * | 13 (52%) | 6 (30%) | |
| No | 12 (48%) | 13 (70%) | |
| Variable | Sensitivity (%) | Specificity (%) | Cut-Off Point | AUC [95%CI] | p |
|---|---|---|---|---|---|
| WBC [103/µL] | 44 | 90 | >6.94 | 0.63 [0.47–0.77] | 0.1375 |
| CRP [mg/L] | 83.3 | 55 | >1.5 | 0.71 [0.56–0.84] | 0.0075 * |
| LDG [%] | 100 | 55 | >0.10 | 0.84 [0.70–0.93] | <0.0001 * |
| LDG MPO+ [%] | 92 | 55 | >0.31 | 0.78 [0.63–0.89] | 0.0001 * |
| Variable | Sensitivity (%) | Specificity (%) | Cut-Off Point | AUC [95%CI] | p |
|---|---|---|---|---|---|
| AST [IU/L] | 87.5 | 47.06 | >42 | 0.57 [0.35–0.76] | 0.5834 |
| ALT [IU/L] | 100 | 41.18 | ≤101 | 62.0 [0.41–0.81] | 0.2825 |
| GGTP [IU/L] | 87.5 | 47.06 | ≤122 | 0.63 [0.42–0.81] | 0.2767 |
| GPR | 87.5 | 31.25 | >0.4 | 0.58 [0.36–0.77] | 0.5590 |
| AAR | 87.5 | 56.25 | >0.84 | 0.73 [0.52–0.89] | 0.0349 * |
| APRI | 87.5 | 68.75 | >0.93 | 0.78 [0.56–0.92] | 0.0054 * |
| FIB-4 | 100 | 62.5 | >1.47 | 0.87 [0.67–0.97] | <0.0001 * |
| WBC [103/µL] | 100 | 75 | ≤6.2 | 0.91 [0.73–0.99] | <0.0001 * |
| PLT [103/µL] | 100 | 81.25 | ≤201.00 | 0.95 [0.78–0.99] | <0.0001 * |
| CRP [mg/mL] | 71.43 | 11.76 | >1.3 | 0.51 [0.30–0.72] | 0.9537 |
| LDG [%] | 50 | 93.75 | ≤0.25 | 0.75 [0.53–0.90] | 0.0391 * |
| LDG MPO+ [%] | 62.75 | 62.50 | ≤0.59 | 0.62 [0.41–0.81] | 0.3101 |
| Variable | LDG Rho p | LDG MPO+ Rho p |
|---|---|---|
| Age [years] | −0.069 0.7417 | 0.101 0.6321 |
| Duration of the disease [years] | 0.081 0.6987 | 0.212 0.3090 |
| BMI [kg/m2] | 0.004 0.9847 | −0.053 0.8023 |
| CRP [mg/L] | 0.418 0.0420 * | 0.475 0.0189 * |
| WBC [103/µL] | 0.375 0.0647 | 0.017 0.9374 |
| Variable | LDG Rho p | LDG MPO+ Rho p |
|---|---|---|
| GPR | 0.238 0.5702 | 0.571 0.1390 |
| AAR | 0.214 0.6103 | −0.0952 0.8225 |
| APRI | 0.000 1.000 | 0.762 0.0280 * |
| FIB-4 | −0.190 0.6514 | 0.524 0.1827 |
Publisher’s Note: MDPI stays neutral with regard to jurisdictional claims in published maps and institutional affiliations. |
© 2022 by the authors. Licensee MDPI, Basel, Switzerland. This article is an open access article distributed under the terms and conditions of the Creative Commons Attribution (CC BY) license (https://creativecommons.org/licenses/by/4.0/).
Share and Cite
Domerecka, W.; Homa-Mlak, I.; Mlak, R.; Michalak, A.; Wilińska, A.; Kowalska-Kępczyńska, A.; Dreher, P.; Cichoż-Lach, H.; Małecka-Massalska, T. Indicator of Inflammation and NETosis—Low-Density Granulocytes as a Biomarker of Autoimmune Hepatitis. J. Clin. Med. 2022, 11, 2174. https://doi.org/10.3390/jcm11082174
Domerecka W, Homa-Mlak I, Mlak R, Michalak A, Wilińska A, Kowalska-Kępczyńska A, Dreher P, Cichoż-Lach H, Małecka-Massalska T. Indicator of Inflammation and NETosis—Low-Density Granulocytes as a Biomarker of Autoimmune Hepatitis. Journal of Clinical Medicine. 2022; 11(8):2174. https://doi.org/10.3390/jcm11082174
Chicago/Turabian StyleDomerecka, Weronika, Iwona Homa-Mlak, Radosław Mlak, Agata Michalak, Agnieszka Wilińska, Anna Kowalska-Kępczyńska, Piotr Dreher, Halina Cichoż-Lach, and Teresa Małecka-Massalska. 2022. "Indicator of Inflammation and NETosis—Low-Density Granulocytes as a Biomarker of Autoimmune Hepatitis" Journal of Clinical Medicine 11, no. 8: 2174. https://doi.org/10.3390/jcm11082174
APA StyleDomerecka, W., Homa-Mlak, I., Mlak, R., Michalak, A., Wilińska, A., Kowalska-Kępczyńska, A., Dreher, P., Cichoż-Lach, H., & Małecka-Massalska, T. (2022). Indicator of Inflammation and NETosis—Low-Density Granulocytes as a Biomarker of Autoimmune Hepatitis. Journal of Clinical Medicine, 11(8), 2174. https://doi.org/10.3390/jcm11082174

