Sign in to use this feature.

Years

Between: -

Subjects

remove_circle_outline
remove_circle_outline
remove_circle_outline
remove_circle_outline
remove_circle_outline
remove_circle_outline
remove_circle_outline
remove_circle_outline

Journals

Article Types

Countries / Regions

Search Results (79)

Search Parameters:
Keywords = fleet assignment

Order results
Result details
Results per page
Select all
Export citation of selected articles as:
35 pages, 944 KB  
Article
Sustainable and Safe Last-Mile Delivery: A Multi-Objective Truck–Drone Matheuristic
by Armin Mahmoodi, Mehdi Davoodi, Said M. Easa and Seyed Mojtaba Sajadi
Logistics 2026, 10(2), 38; https://doi.org/10.3390/logistics10020038 - 4 Feb 2026
Viewed by 314
Abstract
Background: The rapid growth of e-commerce has intensified the need for last-mile delivery systems that can navigate urban congestion while minimizing environmental impact. Hybrid truck–drone networks offer a promising solution by combining heavy-duty ground transport with aerial flexibility; however, their deployment faces [...] Read more.
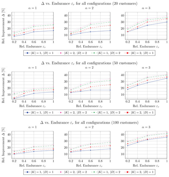
Background: The rapid growth of e-commerce has intensified the need for last-mile delivery systems that can navigate urban congestion while minimizing environmental impact. Hybrid truck–drone networks offer a promising solution by combining heavy-duty ground transport with aerial flexibility; however, their deployment faces significant challenges in jointly managing operational risks, energy limits, and regulatory compliance. Methods: This study proposes a hybrid matheuristic framework to solve this multi-objective problem, simultaneously minimizing transportation cost, service time, energy consumption, and operational risk. A two-phase approach combines a metaheuristic for initial truck routing with a Mixed-Integer Linear Programming (MILP) formulation for optimal drone assignment and scheduling. This decomposition strikes a balance between exact optimization and computational scalability. Results: Experiments across various instance sizes (up to 100 customers) and fleet configurations demonstrate that integrating MILP enhances solution diversity and convergence compared to standalone strategies. Sensitivity analyses reveal significant impacts of drone speed and endurance on system efficiency. Conclusions: The proposed framework provides a practical decision-support tool for balancing complex trade-offs in time-sensitive, risk-constrained delivery environments, thereby contributing to more informed urban logistics planning. Full article
Show Figures

Figure 1

25 pages, 5018 KB  
Article
Improving the Donations’ Delivery Process at the Food Bank of Bogotá: A Vehicle Routing Approach
by Luz Helena Arroyo, Alejandra Castellanos, Viviana Reina, Gonzalo Mejía, Agatha Clarice da Silva-Ovando and Jairo R. Montoya-Torres
Sustainability 2026, 18(2), 848; https://doi.org/10.3390/su18020848 - 14 Jan 2026
Viewed by 275
Abstract
The Food Bank of Bogotá is a non-profit organization whose primary mission is to provide food aid to economically vulnerable people and others. One of its key operations is the distribution of food to over 600 beneficiaries. In this research, we present the [...] Read more.
The Food Bank of Bogotá is a non-profit organization whose primary mission is to provide food aid to economically vulnerable people and others. One of its key operations is the distribution of food to over 600 beneficiaries. In this research, we present the design and implementation of a computer application that calculates the delivery schedule of the Food Bank vehicles. Firstly, the beneficiaries of the Food Bank are clustered into four delivery zones, and their orders are assigned to specific weeks of the month. Next, a variant of the Capacitated Periodic Vehicle Routing Problem (CPVRP) is solved with an open-source tool. Lastly, routes are assigned to days of the week depending on the traffic conditions. The numerical results showed significant improvements in terms of total time reduction with respect to the business-as-usual practice. This tool is essentially for the monthly planning of the distribution of routes. These routes eventually will need adjustments because of changes in the beneficiaries’ demand, traffic conditions, fleet availability, and so forth. At the time of writing, the model is being integrated with another application that records and tracks the orders in the Food Bank. The users of this application would handle the daily operation and will make manual adjustments if needed. Finally, we discuss the main limitations of the application, which lie primarily in the need to educate both the Food Bank staff and the beneficiaries’ management, who are accustomed to last-minute orders, very tight time windows, and reactive delivery schedules that are highly inefficient. Full article
Show Figures

Figure 1

36 pages, 1411 KB  
Article
A Novel Stochastic Framework for Integrated Airline Operation Planning: Addressing Codeshare Agreements, Overbooking, and Station Purity
by Kübra Kızıloğlu and Ümit Sami Sakallı
Aerospace 2026, 13(1), 82; https://doi.org/10.3390/aerospace13010082 - 12 Jan 2026
Viewed by 284
Abstract
This study presents an integrated optimization framework for fleet assignment, flight scheduling, and aircraft routing under uncertainty, addressing a core challenge in airline operational planning. A three-stage stochastic mixed-integer nonlinear programming model is developed that, for the first time, simultaneously incorporates station purity [...] Read more.
This study presents an integrated optimization framework for fleet assignment, flight scheduling, and aircraft routing under uncertainty, addressing a core challenge in airline operational planning. A three-stage stochastic mixed-integer nonlinear programming model is developed that, for the first time, simultaneously incorporates station purity constraints, codeshare agreements, and overbooking decisions. The formulation also includes realistic operational factors such as stochastic passenger demand and non-cruise times (NCT), along with adjustable cruise speeds and flexible departure time windows. To handle the computational complexity of this large-scale stochastic problem, a Sample Average Approximation (SAA) scheme is combined with two tailored metaheuristic algorithms: Simulated Annealing and Cuckoo Search. Extensive experiments on real-world flight data demonstrate that the proposed hybrid approach achieves tight optimality gaps below 0.5%, with narrow confidence intervals across all instances. Moreover, the SA-enhanced method consistently yields superior solutions compared with the CS-based variant. The results highlight the significant operational and economic benefits of jointly optimizing codeshare decisions, station purity restrictions, and overbooking policies. The proposed framework provides a scalable and robust decision-support tool for airlines seeking to enhance resource utilization, reduce operational costs, and improve service quality under uncertainty. Full article
(This article belongs to the Collection Air Transportation—Operations and Management)
Show Figures

Figure 1

22 pages, 2605 KB  
Article
Congestion-Aware Scheduling for Large Fleets of AGVs Using Discrete Event Simulation
by Jeonghyeon Kim and Junwoo Kim
Electronics 2026, 15(1), 139; https://doi.org/10.3390/electronics15010139 - 28 Dec 2025
Viewed by 458
Abstract
Conventional large fleets of Automated Guided Vehicles (AGVs) suffer from issues related to the network environment, including handoff latency and interference. Recently, 5G technology has emerged as a practical tool to resolve these network issues. Consequently, there is a growing trend toward deploying [...] Read more.
Conventional large fleets of Automated Guided Vehicles (AGVs) suffer from issues related to the network environment, including handoff latency and interference. Recently, 5G technology has emerged as a practical tool to resolve these network issues. Consequently, there is a growing trend toward deploying large AGV fleets based on 5G technology. Typically, AGVs are controlled by an AGV control system (ACS), which is responsible for tasks such as path planning and AGV scheduling. AGV scheduling is the process of assigning the right task to the right vehicle at the right time. This process has a significant impact on the performance of an AGV fleet, particularly for large-scale fleets. However, existing AGV scheduling approaches hardly consider traffic congestion, which often occurs in large fleets. To fill this gap, this study proposes a simulation-based congestion-aware AGV scheduling approach for large AGV fleets. The proposed approach is characterized by three components: congestion functions, congestion penalties, and congestion-aware scheduling rules. Congestion functions are employed to compute the degree of congestion at a specific point or area within the shop floor. Congestion penalties represent the loss incurred when a vehicle traverses a specific segment within the AGV path network. Congestion-aware scheduling rules provide the decision-making logic for task and vehicle dispatching. We outline the components and apply them to a discrete event simulation (DES) model containing an AGV fleet. The experimental results demonstrate that the proposed approach reduces the inefficiencies of the AGV system caused by traffic congestion. Full article
(This article belongs to the Special Issue 5G and Beyond Technologies in Smart Manufacturing, 2nd Edition)
Show Figures

Figure 1

29 pages, 10515 KB  
Article
A Chimpanzee Troop-Inspired Algorithm for Multiple Unmanned Aerial Vehicles on Patrolling Missions
by Ebtesam Aloboud and Heba Kurdi
Drones 2026, 10(1), 10; https://doi.org/10.3390/drones10010010 - 25 Dec 2025
Viewed by 599
Abstract
Persistent patrolling with multiple Unmanned Aerial Vehicles (UAVs) remains challenging due to dynamic surveillance priorities, heterogeneous node importance, and evolving operational constraints. We present the novel Chimpanzee Troop Algorithm for Patrolling (CTAP), a decentralized policy inspired by chimpanzees fission–fusion dynamics and territorial behavior. [...] Read more.
Persistent patrolling with multiple Unmanned Aerial Vehicles (UAVs) remains challenging due to dynamic surveillance priorities, heterogeneous node importance, and evolving operational constraints. We present the novel Chimpanzee Troop Algorithm for Patrolling (CTAP), a decentralized policy inspired by chimpanzees fission–fusion dynamics and territorial behavior. CTAP provides three capabilities: (i) on-the-fly patrol-group instantiation, (ii) importance-aware territorial partitioning of the patrol graph, and (iii) adaptive boundary expansion via a lightweight shared-memory overlay that coordinates neighboring groups without centralization. Unlike the Ant Colony Optimization (ACO), Heuristic Pathfinder Conscientious Cognitive (HPCC), Recurrent LSTM Path-Maker (RLPM), State-Exchange Bayesian Strategy (SEBS), and Dynamic Task Assignment via Auctions (DTAP) baselines, CTAP couples local-idleness reduction with controlled edge-exploration, yielding stable coverage under shifting demand. We evaluate these approaches across multiple maps and fleet sizes using the average weighted idleness, global worst-weighted idleness, and Time-Normalized Idleness metrics. CTAP reduces the average weighted idleness by 7% to 22% and the global worst-weighted idleness by 30–65% relative to the strongest competitor and attains the lowest Time-Normalized Idleness in every configuration. These results show that a simple, communication-limited, partition-based policy enables robust, scalable patrolling suitable for resource-constrained UAV teams in smart-city environments. Full article
Show Figures

Figure 1

33 pages, 2618 KB  
Article
Strategic Fleet Planning Under Carbon Tax and Fuel Price Uncertainty: An Integrated Stochastic Model for Fleet Deployment and Speed Optimization
by Weilin Sun, Ying Yang and Shuaian Wang
Mathematics 2026, 14(1), 66; https://doi.org/10.3390/math14010066 - 24 Dec 2025
Viewed by 294
Abstract
This paper presents a two-stage stochastic programming model for the joint optimization of fleet deployment and sailing speed in liner shipping under fuel price volatility and carbon tax uncertainty. The integrated framework addresses strategic fleet planning by determining optimal fleet composition in the [...] Read more.
This paper presents a two-stage stochastic programming model for the joint optimization of fleet deployment and sailing speed in liner shipping under fuel price volatility and carbon tax uncertainty. The integrated framework addresses strategic fleet planning by determining optimal fleet composition in the first stage, while the second stage optimizes operational decisions, including vessel assignment to routes and sailing speeds on individual voyage legs, after observing stochastic parameter realizations. The model incorporates nonlinear fuel consumption functions that are approximated using piecewise linearization techniques, with the resulting formulation being solved using the Sample Average Approximation (SAA) method. To enhance computational tractability, we employ big-M methods to linearize mixed-integer terms and introduce auxiliary variables to handle nonlinear relationships in both the objective function and constraints. The proposed model provides shipping companies with a comprehensive decision-support tool that effectively captures the complex interdependencies between long-term strategic fleet planning and short-term operational speed optimization. Numerical experiments demonstrate the model’s effectiveness in generating optimal solutions that balance economic objectives with environmental considerations under uncertain market conditions, highlighting its practical value for resilient shipping operations in volatile fuel and carbon pricing environments. Full article
(This article belongs to the Special Issue Mathematics Applied to Manufacturing and Logistics Systems)
Show Figures

Figure 1

29 pages, 3643 KB  
Article
Optimizing Performance of Equipment Fleets Under Dynamic Operating Conditions: Generalizable Shift Detection and Multimodal LLM-Assisted State Labeling
by Bilal Chabane, Georges Abdul-Nour and Dragan Komljenovic
Sustainability 2026, 18(1), 132; https://doi.org/10.3390/su18010132 - 22 Dec 2025
Viewed by 541
Abstract
This paper presents OpS-EWMA-LLM (Operational State Shifts Detection using Exponential Weighted Moving Average and Labeling using Large Language Model), a hybrid framework that combines fleet-normalized statistical shift detection with LLM-assisted diagnostics to identify and interpret operational state changes across heterogeneous fleets. First, we [...] Read more.
This paper presents OpS-EWMA-LLM (Operational State Shifts Detection using Exponential Weighted Moving Average and Labeling using Large Language Model), a hybrid framework that combines fleet-normalized statistical shift detection with LLM-assisted diagnostics to identify and interpret operational state changes across heterogeneous fleets. First, we introduce a residual-based EWMA control chart methodology that uses deviations of each component’s sensor reading from its fleet-wide expected value to detect anomalies. This statistical approach yields near-zero false negatives and flags incipient faults earlier than conventional methods, without requiring component-specific tuning. Second, we implement a pipeline that integrates an LLM with retrieval-augmented generation (RAG) architecture. Through a three-phase prompting strategy, the LLM ingests time-series anomalies, domain knowledge, and contextual information to generate human-interpretable diagnostic insights. Finaly, unlike existing approaches that treat anomaly detection and diagnosis as separate steps, we assign to each detected event a criticality label based on both statistical score of the anomaly and semantic score from the LLM analysis. These labels are stored in the OpS-Vector to extend the knowledge base of cases for future retrieval. We demonstrate the framework on SCADA data from a fleet of wind turbines: OpS-EWMA successfully identifies critical temperature deviations in various components that standard alarms missed, and the LLM (augmented with relevant documents) provides rationalized explanations for each anomaly. The framework demonstrated robust performance and outperformed baseline methods in a realistic zero-tuning deployment across thousands of heterogeneous equipment units operating under diverse conditions, without component-specific calibration. By fusing lightweight statistical process control with generative AI, the proposed solution offers a scalable, interpretable tool for condition monitoring and asset management in Industry 4.0/5.0 settings. Beyond its technical contributions, the outcome of this research is aligned with the UN Sustainable Development Goals SDG 7, SDG 9, SDG 12, SDG 13. Full article
(This article belongs to the Section Energy Sustainability)
Show Figures

Figure 1

27 pages, 5009 KB  
Article
From Potential Routes to Climate Impact: Assessing the Fleet Transition to Hydrogen-Powered Aircraft
by Gabriele Sirtori and Lorenzo Trainelli
Aerospace 2025, 12(12), 1075; https://doi.org/10.3390/aerospace12121075 - 1 Dec 2025
Cited by 1 | Viewed by 650
Abstract
The paper presents a methodology aiming to assess the impact of operations of a short- and medium-range fleet transitioning from jet fuel to hydrogen propulsion, considering the constraint arising from the distribution of hydrogen refueling infrastructures across airports, leveraging on the different performance [...] Read more.
The paper presents a methodology aiming to assess the impact of operations of a short- and medium-range fleet transitioning from jet fuel to hydrogen propulsion, considering the constraint arising from the distribution of hydrogen refueling infrastructures across airports, leveraging on the different performance of the two sub-fleets to obtain the least climate-impacting transition. Hydrogen tankering will enable flights to airports that have no hydrogen refueling capabilities, as long as the destination is within half of the operational range of the selected aircraft, at the cost of a slight increase in fuel burn. The proposed methodology aims to assess said increase, while minimizing the expenditure for hydrogen, and the coverage of a reference network, achievable when considering aircraft performance and assumptions on the availability and cost of hydrogen at various airports. The results of such analysis can be used to determine whether a reduction in the design range of a given aircraft is acceptable. Such a reduction would mitigate the impact that the hydrogen tank has on the sizing of the aircraft and its performance. Depending on the considered scenario, a network potential coverage spanning from 81% to 96% can be achieved. Starting from this result, it is possible to assess the transition of a short-haul airliner fleet from jet fuel to hydrogen propulsion, considering the constraint arising from the distribution of hydrogen refueling infrastructures across airports and the different performances (energetic, environmental and economic) of the two sub-fleets. The aircraft assignment to each route is performed with the objective of minimizing either the energy, the carbon intensity or the fuel cost of the overall network, obtaining different route assignment distributions. The results show that the aviation-induced temperature change can be reduced by up to 57% compared to an all-jet-fuel fleet. Full article
Show Figures

Figure 1

31 pages, 1554 KB  
Article
Bayesian Network-Driven Demand Prediction and Multi-Trip Two-Echelon Routing for Fleet-Constrained Metropolitan Logistics
by Ming Liu, Xiangye Yao and Lihua Sun
Appl. Sci. 2025, 15(23), 12609; https://doi.org/10.3390/app152312609 - 28 Nov 2025
Viewed by 510
Abstract
Urban logistics in metropolitan areas faces mounting pressure to deliver faster while controlling operational costs under strict fleet size constraints. Traditional vehicle routing models assume unlimited vehicle availability, overlooking realistic fleet utilization and spatial-temporal demand imbalances. This paper introduces the fleet-constrained metropolitan logistics [...] Read more.
Urban logistics in metropolitan areas faces mounting pressure to deliver faster while controlling operational costs under strict fleet size constraints. Traditional vehicle routing models assume unlimited vehicle availability, overlooking realistic fleet utilization and spatial-temporal demand imbalances. This paper introduces the fleet-constrained metropolitan logistics problem (FCMLP), a novel framework integrating trunk linehaul scheduling, two-echelon routing, multi-trip operations, and anticipatory fleet positioning. We model the FCMLP as a Markov Decision Process capturing the stochastic and dynamic nature of metropolitan delivery flows. Our solution framework combines interpretable Bayesian Network-based demand forecasting for transparent proactive vehicle relocation decisions, parameterized cost-function approximation for dynamic order-to-linehaul assignment, and Adaptive Large Neighborhood Search for multi-trip vehicle routing. Computational experiments on synthetic instances and real-world data from a major e-commerce platform in Jakarta demonstrate 20–26% total cost reduction. Multi-trip operations alone reduce fleet size by 23%, while interpretable predictive relocation further improves performance by 7% through a 20% reduction in emergency deployments. The framework’s interpretability enhances operator trust and facilitates practical adoption, offering logistics platforms a path to improve vehicle utilization through operational efficiency and transparent predictive intelligence without expanding fleet size. Full article
(This article belongs to the Special Issue Explainable Artificial Intelligence Technology and Its Applications)
Show Figures

Figure 1

34 pages, 6981 KB  
Article
Increasing Automation on Mission Planning for Heterogeneous Multi-Rotor Drone Fleets in Emergency Response
by Ilham Zerrouk, Esther Salamí, Cristina Barrado, Gautier Hattenberger and Enric Pastor
Drones 2025, 9(12), 816; https://doi.org/10.3390/drones9120816 - 24 Nov 2025
Cited by 1 | Viewed by 959
Abstract
Drones are increasingly vital for disaster management, yet emergency fleets often consist of heterogeneous platforms, complicating task allocation. Efficient deployment requires rapid assignment based on vehicle and payload characteristics. This work proposes a three-step method composed of fleet analysis, area decomposition and trajectory [...] Read more.
Drones are increasingly vital for disaster management, yet emergency fleets often consist of heterogeneous platforms, complicating task allocation. Efficient deployment requires rapid assignment based on vehicle and payload characteristics. This work proposes a three-step method composed of fleet analysis, area decomposition and trajectory generation for multi-rotor drone surveillance, aiming to achieve complete area coverage in minimal time while respecting no-fly zones. The three-step method generates optimized trajectories for all drones in less than 2 min, ensuring uniform precision and reduced flight distance compared to state-of-the-art methods, achieving mean distance gains of up to 9.31% with a homogeneous fleet of 10 drones. Additionally, a comparative analysis of area partitioning algorithms reveals that simplifying the geometry of the surveillance region can lead to more effective divisions and less complex trajectories. This simplification results in approximately 8.4% fewer turns, even if it slightly increases the total area to be covered. Full article
Show Figures

Graphical abstract

23 pages, 3810 KB  
Article
Investigating Factors Affecting Request Matching in Demand-Responsive Transit Service with Different Fleet Sizes Using a Decision Tree Model
by Sanjay Tandan, Alain Morris Anthony and Hyun Kim
Appl. Sci. 2025, 15(22), 12134; https://doi.org/10.3390/app152212134 - 15 Nov 2025
Viewed by 820
Abstract
Demand-responsive transit (DRT) is a flexible transportation service that adapts routes and schedules based on real-time passenger needs, offering greater convenience than traditional fixed-route systems. DRT systems are highly dynamic and complex. Customer requests are often rejected due to operational constraints. Therefore, it [...] Read more.
Demand-responsive transit (DRT) is a flexible transportation service that adapts routes and schedules based on real-time passenger needs, offering greater convenience than traditional fixed-route systems. DRT systems are highly dynamic and complex. Customer requests are often rejected due to operational constraints. Therefore, it is essential to identify and rank the factors that determine request acceptance or rejection. This study develops a Decision Tree Model (DTM) for vehicle dispatching in DRT, using the Korea National University of Transportation (KNUT) Chungju Campus as the study area. Elecle bicycle origin–destination (OD) data were first used to simulate DRT operations, and the resulting outputs were employed to train the DTM to classify passenger requests as “assign” or “reject.” The model considers key factors such as vehicle capacity, access time, Estimated Time of Arrival (ETA), waiting time, detour factor, and egress time. Based on 5-fold cross-validation, the detour factor was identified as the most influential variable across all fleet configurations, with mean importance values of 0.582 ± 0.055, 0.550 ± 0.047, and 0.447 ± 0.073 for the 1-, 2-, and 3-vehicle scenarios, respectively. The model achieved accuracies of 0.73 ± 0.02, 0.82 ± 0.04, and 0.83 ± 0.07, indicating improved performance with increasing fleet size. Error analysis revealed conservative behavior for one vehicle, balanced performance for two, and liberal over-assignment for three vehicles. Full article
(This article belongs to the Topic 3D Documentation of Natural and Cultural Heritage)
Show Figures

Figure 1

24 pages, 1621 KB  
Article
Coordinating Day-Ahead and Intraday Scheduling for Bidirectional Charging of Fleet EVs
by Shiwei Shen, Syed Irtaza Haider, Razan Habeeb and Frank H. P. Fitzek
Automation 2025, 6(4), 64; https://doi.org/10.3390/automation6040064 - 3 Nov 2025
Cited by 1 | Viewed by 783
Abstract
The rapid growth of electric vehicles (EVs) and photovoltaic (PV) generation creates substantial power peaks that strain local electrical infrastructure. Coordinated bidirectional charging can mitigate these challenges while delivering benefits such as lower costs, improved PV utilization, and reduced emissions. This paper develops [...] Read more.
The rapid growth of electric vehicles (EVs) and photovoltaic (PV) generation creates substantial power peaks that strain local electrical infrastructure. Coordinated bidirectional charging can mitigate these challenges while delivering benefits such as lower costs, improved PV utilization, and reduced emissions. This paper develops a framework for fleet charging that combines station assignment with a two-stage scheduling approach. A heuristic assignment method allocates EVs to uni- and bidirectional charging stations, ensuring efficient use of limited infrastructure. Building on these assignments, charging power is optimized in two stages: a Mixed-Integer Linear Program (MILP) generates day-ahead schedules from forecasts, while an intraday heuristic-based MILP adapts them to unplanned arrivals and forecast errors through lightweight re-optimization. A Python -based simulator is developed to evaluate the framework under stochastic PV, load, price, and EV conditions. Results show that the approach reduces costs and emissions compared to alternative methods, improves the utilization of bidirectional infrastructure, scales efficiently to large fleets, and remains robust under significant uncertainty, highlighting its potential for practical deployment. Full article
(This article belongs to the Section Smart Transportation and Autonomous Vehicles)
Show Figures

Figure 1

21 pages, 3331 KB  
Article
Integrated Two-Stage Optimization of Strategic Unmanned Aerial Vehicle Allocation and Operational Scheduling Under Demand Uncertainty
by Xiaojin Zheng, Shengkun Qin, Yanxia Zhang and Jiazhen Huo
Appl. Sci. 2025, 15(20), 11249; https://doi.org/10.3390/app152011249 - 21 Oct 2025
Viewed by 761
Abstract
The rapid growth of e-commerce has intensified the need for efficient last-mile delivery, making unmanned aerial vehicles (UAVs) a promising solution. However, despite their potential, practical deployment remains limited by how to effectively plan depot locations and UAV fleet sizes under stochastic customer [...] Read more.
The rapid growth of e-commerce has intensified the need for efficient last-mile delivery, making unmanned aerial vehicles (UAVs) a promising solution. However, despite their potential, practical deployment remains limited by how to effectively plan depot locations and UAV fleet sizes under stochastic customer demands with probabilistic same-day modifications. Existing approaches often address the strategic and operational decisions separately, leading to inefficiencies and infeasible solutions in practice. This study develops a unified two-stage decision framework integrating strategic depot location and UAV fleet allocation with operational assignment and scheduling. Three strategic models are considered: a deterministic model, a stochastic model solved via Sample Average Approximation (SAA), and a robust optimization model. Operational decisions assign UAV trips to realized requests while respecting time-slot and UAV availability constraints. Deterministic and SAA models are solved directly as integer programs, whereas the robust model is tackled via a logic-based Benders decomposition framework, with all approaches evaluated through simulation. The results show that the robust model provides overly conservative solutions, resulting in higher costs; the deterministic model minimizes cost but risks service failures; and the SAA approach balances cost and service across demand scenarios. The findings demonstrate the value of jointly considering strategic and operational decisions in UAV delivery design and provide practical guidance for UAV logistics operators. The proposed framework helps firms select appropriate planning models that align with their risk tolerance and service reliability goals, thereby improving the feasibility and competitiveness of UAV-based delivery systems. Full article
Show Figures

Figure 1

24 pages, 1370 KB  
Article
Quantifying Operational Uncertainty in Landing Gear Fatigue: A Hybrid Physics–Data Framework for Probabilistic Remaining Useful Life Estimation of the Cessna 172 Main Gear
by David Gerhardinger, Karolina Krajček Nikolić and Anita Domitrović
Appl. Sci. 2025, 15(20), 11049; https://doi.org/10.3390/app152011049 - 15 Oct 2025
Viewed by 960
Abstract
Predicting the Remaining Useful Life (RUL) of light aircraft landing gear is complicated by flight-to-flight variability in operational loads, particularly in sensor-free fleets that rely only on mass-and-balance records. This study develops a hybrid physics–data framework to quantify operational-load-driven uncertainty in the main [...] Read more.
Predicting the Remaining Useful Life (RUL) of light aircraft landing gear is complicated by flight-to-flight variability in operational loads, particularly in sensor-free fleets that rely only on mass-and-balance records. This study develops a hybrid physics–data framework to quantify operational-load-driven uncertainty in the main landing gear strut of a Cessna 172. High-fidelity finite-element strain–life simulations were combined with a quadratic Ridge surrogate and a two-layer bootstrap to generate full probabilistic RUL distributions. The surrogate mapped five mass-and-balance inputs (fuel, front seats, rear seats, forward and aft baggage) to per-flight fatigue damage with high accuracy (R2 = 0.991 ± 0.013). At the same time, ±3% epistemic confidence bands were attached via resampling. Borgonovo’s moment-independent Δ indices were applied to incremental damage (ΔD) in this context, revealing front-seat mass as the dominant driver of fatigue variability (Δ = 0.502), followed by fuel (0.212), rear seats (0.199), forward baggage (0.141), and aft baggage (0.100). The resulting RUL distribution spanned 9 × 104 to >2 × 106 cycles, with a fleet average of 0.41 million cycles (95% CI: 0.300–0.530 million). These results demonstrate that operational levers—crew assignment, fuel loading, and baggage placement—can significantly extend strut life. Although demonstrated on a specific training fleet dataset, the methodological framework is, in principle, transferable to other aircraft or mission types. However, this would require developing a new, component-specific finite element model and retraining the surrogate using a representative set of mass and balance records from the target fleet. Full article
(This article belongs to the Special Issue Big Data Analytics and Deep Learning for Predictive Maintenance)
Show Figures

Figure 1

21 pages, 4585 KB  
Article
Optimising Pathology Logistics with Shared-Fleet Passenger and Freight Services: A Case Study on the Isle of Wight, UK
by Ismail Aydemir, Tom Cherrett, Antonio Martinez-Sykora and Fraser McLeod
Sustainability 2025, 17(19), 8606; https://doi.org/10.3390/su17198606 - 25 Sep 2025
Viewed by 852
Abstract
This study presents an optimisation algorithm to solve a collaborative vehicle routing problem with time windows. The algorithm was developed and tested on a real-world case study to investigate the potential for a shared-fleet operation involving public organisations, specifically, the Isle of Wight [...] Read more.
This study presents an optimisation algorithm to solve a collaborative vehicle routing problem with time windows. The algorithm was developed and tested on a real-world case study to investigate the potential for a shared-fleet operation involving public organisations, specifically, the Isle of Wight Council (IWC) and the National Health Service (NHS). The aim was to evaluate whether collaborative use of public-sector vehicles could reduce total fleet size, operational costs, and vehicle-kilometres travelled, while maintaining existing service levels. The study develops a two-stage optimisation algorithm that incorporates real-world constraints such as vehicle capacity, time windows, and pre-assigned mandatory stops. The first stage maximises the number of assignable collaborative tasks across fleets, while the second stage minimises the total travel cost conditional on this maximum assignment. Using historical data and a novel optimisation algorithm, vehicle movements were modelled to evaluate benefits in terms of cost savings, reduced CO2 emissions and vehicle usage. The case study results generated by the algorithm suggested that considerable improvements could be made by integrating patient diagnostic collection rounds into the existing IWC minibus routes: (a 10.6% reduction in CO2 emissions (644 kg/month) and vehicle kilometres (2300 km/month), a 20.2% reduction in working hours (219 h/month), and a 17.8% saving in cost (GBP (£) 3596/month) leading to IWC gaining a potential additional revenue of GBP (£) 54,829 annually while reducing costs by 22.4% for the NHS. The findings highlighted the potential benefits of shared fleet collaborations between public sector organisations, offering a model for similar collaborations in other public sector contexts. Full article
(This article belongs to the Special Issue Sustainable Supply Chain Management and Green Product Development)
Show Figures

Figure 1

Back to TopTop