Sign in to use this feature.

Years

Between: -

Subjects

remove_circle_outline
remove_circle_outline
remove_circle_outline
remove_circle_outline
remove_circle_outline
remove_circle_outline
remove_circle_outline
remove_circle_outline
remove_circle_outline

Journals

Article Types

Countries / Regions

Search Results (121)

Search Parameters:
Keywords = fault structure groups

Order results
Result details
Results per page
Select all
Export citation of selected articles as:
21 pages, 15553 KB  
Article
A Physics-Guided Dual-Sensor Framework for Bearing Fault Diagnosisin PMDC Motor Drives
by Tae-Seong Sim, Nnamdi Chukwunweike Aronwora and Jang-Wook Hur
Sensors 2026, 26(4), 1363; https://doi.org/10.3390/s26041363 - 20 Feb 2026
Viewed by 205
Abstract
Rolling-element bearing faults are a primary mechanical failure mode in rotating systems. In Permanent Magnetic DC (PMDC) motor applications operating under variable torque, vibration-based diagnosis is affected by load-dependent excitation and commutation-induced disturbances, which introduce amplitude bias and reduce the reliability of conventional [...] Read more.
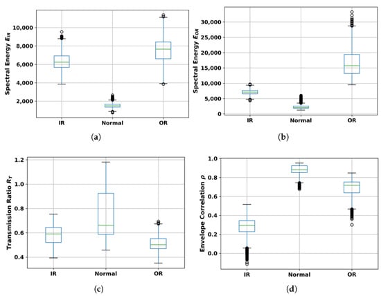
Rolling-element bearing faults are a primary mechanical failure mode in rotating systems. In Permanent Magnetic DC (PMDC) motor applications operating under variable torque, vibration-based diagnosis is affected by load-dependent excitation and commutation-induced disturbances, which introduce amplitude bias and reduce the reliability of conventional statistical features. This study proposes Cross-Reference Energy Attention (CREA), a physics-guided dual-sensor feature framework for three-class bearing states in PMDC motor systems. CREA isolates fault-relevant content within a hardware-agnostic, empirically selected mid-frequency carrier band and incorporates a spatially separated reference sensor to evaluate transmission consistency. This design suppresses disturbances generated locally by the motor while retaining structurally transmitted bearing signatures. Experiments were conducted on a PMDC motor dynamometer with seeded bearing defects under controlled torque variation. GroupKFold cross-validation was implemented using the acquisition run as the grouping variable to prevent data leakage across runs. Under per-run normalization designed to eliminate amplitude memorization, conventional motor-side baseline features degraded to 0.495 ± 0.110 window-level accuracy, whereas the four-feature CREA representation maintained 0.999 ± 0.002. Systematic ablation and SHAP analysis demonstrate that carrier-band energy features provide the dominant discriminatory contribution, while cross-sensor interaction metrics supply complementary transmission validation consistent with the underlying mechanical model. Full article
Show Figures

Figure 1

44 pages, 16501 KB  
Article
Morphotectonic Analysis of Upper Guajira Region, Colombia Using Multi-Resolution DEMs, Landsat-8, and WGM-12 Data
by Juan David Solano-Acosta, Jillian Pearse and Ana Ibis Despaigne-Diaz
Geosciences 2026, 16(1), 52; https://doi.org/10.3390/geosciences16010052 - 22 Jan 2026
Viewed by 492
Abstract
This study utilizes Digital Elevation Models (DEMs) with different spatial resolutions (SRTM 90 m, ASTER DEM 30 m, and ALOS PALSAR 12.5 m), Landsat-8 satellite imagery, and the Bouguer WGM-12 gravity model to analyze morphotectonic features in the Upper Guajira region of Colombia, [...] Read more.
This study utilizes Digital Elevation Models (DEMs) with different spatial resolutions (SRTM 90 m, ASTER DEM 30 m, and ALOS PALSAR 12.5 m), Landsat-8 satellite imagery, and the Bouguer WGM-12 gravity model to analyze morphotectonic features in the Upper Guajira region of Colombia, a desert area in northern South America, area that is composed by low-relief serranías of Cabo de la Vela, Carpintero, Cosinas, Simarua, Jarara, and Macuira. Three DEMs were used to extract and map morphotectonic lineaments, drainage networks, and morphological features. Lineaments were characterised by azimuth frequency, length, density, lithological distributions, and geological timeframes, with support from a digitized geological map from the Colombian Geological Service (SGC). The analysis of the east–west (E-W) Cuisa fault, using the Riedel shear model, suggests a transtensional/transpressional tectonic regime influenced by the Caribbean and South American plates, characterised by NE-SW and E-W fault orientations. Lineaments were grouped into five geochronological categories based on the geological map, revealing a shift from NE-SW to E-W orientations from the Cretaceous period onward, reflecting the ongoing movement of the Caribbean plate. Folds and faults from this tectonic activity were enhanced using Landsat-8 band combinations. The WGM-12 model was separated into regional and residual signals, with the latter highlighting the serranías subregions. Residual gravity analysis revealed significant negative anomalies, suggesting lower-density lithologies surrounded by higher-density blocks. This pattern aligns with the regional geological framework and may reflect a crustal root or terrain dragging linked to the tectonic processes that shaped the serranías. Derivative residual gravity data also revealed lineaments oriented NE–SW, whose distribution extends beyond the morphometric boundaries of the subregions. The study found a strong correlation between structural and drainage patterns, demonstrating structural control over geomorphology. This study establishes a solid morphotectonic and geophysical framework for the Upper Guajira region, demonstrating how multi-resolution DEM analysis combined with gravity data can resolve regional deformation patterns, crustal architecture, and tectonic development along the Caribbean–South American plate boundary. Full article
(This article belongs to the Section Structural Geology and Tectonics)
Show Figures

Figure 1

19 pages, 8178 KB  
Article
SpectralNet-Enabled Root Cause Analysis of Frequency Anomalies in Solar Grids Using μPMU
by Arnabi Modak, Maitreyee Dey, Preeti Patel and Soumya Prakash Rana
Energies 2026, 19(1), 268; https://doi.org/10.3390/en19010268 - 4 Jan 2026
Viewed by 420
Abstract
The rapid integration of solar power into distribution grids has intensified challenges related to frequency instability caused by fluctuating renewable generation. These unexpected frequency variations are difficult to capture using traditional or supervised methods because they emerge from nonlinear, rapidly changing inverter grid [...] Read more.
The rapid integration of solar power into distribution grids has intensified challenges related to frequency instability caused by fluctuating renewable generation. These unexpected frequency variations are difficult to capture using traditional or supervised methods because they emerge from nonlinear, rapidly changing inverter grid interactions and often lack labelled examples. To address this, the present work introduces a unique, frequency-centric framework for unsupervised detection and root cause analysis of grid anomalies using high-resolution micro-Phasor Measurement Unit (μPMU) data. Unlike previous studies that focus primarily on voltage phasors or rely on predefined event labels, this work employs SpectralNet, a deep spectral clustering approach, integrated with autoencoder-based feature learning to model the nonlinear interactions between frequency, ROCOF, voltage, and current. These methods are particularly effective for unexpected frequency variations because they learn intrinsic, hidden structures directly from the data and can group abnormal frequency behavior without prior knowledge of event types. The proposed model autonomously identifies distinct root causes such as unbalanced loads, phase-specific faults, and phase imbalances behind hazardous frequency deviations. Experimental validation on a real solar-integrated distribution feeder in the UK demonstrates that the framework achieves superior cluster compactness and interpretability compared to traditional methods like K-Means, GMM, and Fuzzy C-Means. The findings highlight SpectralNet’s capability to uncover subtle, nonlinear patterns in μPMU data, offering an adaptive, data-driven tool for enhancing grid stability and situational awareness in renewable-rich power systems. Full article
Show Figures

Figure 1

18 pages, 9178 KB  
Article
Application of Dense Gravity Survey for Polymetallic Deposit Exploration in Northeastern Zhejiang, China
by Xian Ma, Xiaodong Chen, Zhida Chen, Ying Zhang, Jie Li, Guofang Luo, Lelin Xing, Xiaowei Niu, Peng Sang, Lei Bai, Ming Liu and Zheng Chen
Minerals 2026, 16(1), 30; https://doi.org/10.3390/min16010030 - 26 Dec 2025
Viewed by 385
Abstract
High-precision gravity surveys are effective in detecting concealed geological structures and mineral deposits with density contrasts. In this study, 754 dense gravity measurements (average accuracy: 0.0043 mGal, or 4.3 × 10−8 m/s2) were deployed in Dingzhai Township, northeastern Zhejiang, China, [...] Read more.
High-precision gravity surveys are effective in detecting concealed geological structures and mineral deposits with density contrasts. In this study, 754 dense gravity measurements (average accuracy: 0.0043 mGal, or 4.3 × 10−8 m/s2) were deployed in Dingzhai Township, northeastern Zhejiang, China, to investigate concealed ore bodies and structural controls on mineralization. Using the mean-field method for source-field separation of Bouguer anomalies, combined with density inversion and edge detection, we delineated subsurface density distributions and fault systems. A newly identified “tongue-shaped” high-density anomaly near Xiashadi is interpreted as resulting from local upward intrusion of intermediate-acid porphyry from the Chencai Group basement, indicating significant exploration potential. Beneath Quaternary cover, a previously unrecognized east–west-trending concealed fault was detected, which may have controlled the structural evolution of mineralization at the Daqi’ao Ag deposit and Miaowan Cu deposit. Gravity profile inversion reveals a deep high-density anomaly beneath Xie’ao–Xi’ao’an, possibly representing the deep extension of the Hengtang Cu–Mo deposit. Low-density anomalies near Chenxi and Dongli villages are attributed to Early Cretaceous low-density intrusions (e.g., monzogranite) and multi-phase volcanism in the Shangshawan caldera. This work provides robust geophysical constraints for deep mineral exploration and advance understanding of the metallogenic tectonic evolution in northeastern Zhejiang. Full article
(This article belongs to the Section Mineral Exploration Methods and Applications)
Show Figures

Figure 1

20 pages, 21278 KB  
Article
Integrating Seismic and Well Data for Subsurface Geological Investigation in the Southeastern Sub-Himalayan Foreland, Bannu Basin, Pakistan
by Akbar Ali, Rongyi Qian, Zhenning Ma and Nasim Javid
Geosciences 2026, 16(1), 11; https://doi.org/10.3390/geosciences16010011 - 23 Dec 2025
Viewed by 466
Abstract
This study presents stratigraphic and structure findings from the southeastern Bannu Basin, a structurally complex segment of the Sub-Himalayan foreland in Pakistan. Two dimensional seismic reflection data were integrated with well-log data from the Chonai-01 and Marwat-01 wells to reconstruct the subsurface basin [...] Read more.
This study presents stratigraphic and structure findings from the southeastern Bannu Basin, a structurally complex segment of the Sub-Himalayan foreland in Pakistan. Two dimensional seismic reflection data were integrated with well-log data from the Chonai-01 and Marwat-01 wells to reconstruct the subsurface basin architecture and to evaluate its hydrocarbon potential. In general, the deformation in the region is strongly controlled by the Neoproterozoic Salt Range Formation, with salt tectonics generating anticlines, deep salt detachment, and fault systems that form favorable structural traps. Seismic interpretation reveals both normal and reverse faulting, and multiple unconformities, indicating episodic tectonic activity linked to Himalayan orogeny. Well correlation of individual formations highlights lateral stratigraphic variations, including thick Siwalik Group deposits and key reservoir units such as the Datta and Lumshiwal formations. These findings demonstrate that mild salt-related deformation and stratigraphic discontinuities play a central role in hydrocarbon migration and entrapment. The structural and stratigraphic similarity of the Bannu Basin to the Potwar Plateau underscores its significant exploration potential within the Himalayan foreland system, while the integrated seismic–well workflow provides a robust framework for future exploration. Full article
(This article belongs to the Section Geophysics)
Show Figures

Figure 1

19 pages, 10274 KB  
Article
Source–Reservoir Structure of Member 2 of Xujiahe Formation and Its Control on Differential Enrichment of Tight Sandstone Gas in the Anyue Area, Sichuan Basin
by Hui Long, Tian Gao, Dongxia Chen, Wenzhi Lei, Xuezhen Sun, Hanxuan Yang, Zhipeng Ou, Chao Geng, Chenghai Li, Tian Liu, Qi Han, Jiaxun Lu and Yani Deng
Energies 2026, 19(1), 19; https://doi.org/10.3390/en19010019 - 19 Dec 2025
Viewed by 426
Abstract
Member 2 of the Xujiahe Formation in the Anyue area of the Sichuan Basin exhibits significant resource potential for tight sandstone gas. However, its characteristic of “extensive gas presence with localized enrichment” leads to substantial variations in single-well productivity, challenges in target zone [...] Read more.
Member 2 of the Xujiahe Formation in the Anyue area of the Sichuan Basin exhibits significant resource potential for tight sandstone gas. However, its characteristic of “extensive gas presence with localized enrichment” leads to substantial variations in single-well productivity, challenges in target zone optimization, and unclear enrichment mechanisms, which hinder efficient exploration and development. This study proposes a hierarchical classification scheme of “two-level, six-type” source–reservoir structures based on the developmental characteristics of fault–fracture systems and vertical source–reservoir configurations. The gas-bearing heterogeneity is quantitatively characterized using parameters such as effective gas layer thickness, charge intensity, and effective gas layer probability, thereby revealing the differential enrichment mechanisms of tight sandstone gas controlled by source–reservoir structures. Our key findings include the following: (1) Member 2 of the Xujiahe Formation develops six subtypes of source–reservoir structures grouped into two levels, with gas-bearing capacities ranked as follows: source–reservoir separation type > source–reservoir adjacent type I > source–reservoir adjacent type II. Among these, the source–reservoir separation type (Level I) and fault–fracture conduit type (Level II) represent the most favorable structures for gas enrichment. (2) Tight sandstone gas enrichment is governed by a tripartite synergistic mechanism: hydrocarbon supply from source rocks, vertical cross-layer migration dominated by fault–fracture systems, and reservoir storage capacity determined by fracture density and reservoir thickness. (3) Three enrichment models are established: (i) a strong enrichment model characterized by “multi-layer source rocks beneath the reservoir, cross-layer migration, and thick fractured reservoirs”; (ii) a moderate enrichment model defined by “single-layer source rocks, localized migration, and medium-thick fractured reservoirs”; and (iii) a weak enrichment model featuring “single-layer hydrocarbon supply, pore-throat migration, and thin tight reservoirs.” This research provides a theoretical basis for optimizing exploration targets in Member 2 of the Xujiahe Formation in the Anyue area and offers insights applicable to analogous continental tight gas reservoirs. Full article
Show Figures

Figure 1

28 pages, 11338 KB  
Article
Quantitative Prediction and Assessment of Copper Deposits in Northwestern Hubei Based on the Fuzzy Weight-of-Evidence Model
by Hongtao Shi, Shuyun Xie, Hong Luo and Xiang Wan
Minerals 2025, 15(12), 1313; https://doi.org/10.3390/min15121313 - 16 Dec 2025
Viewed by 545
Abstract
The northwestern Hubei region, primarily encompassing Shiyan City and Yunxi County in Hubei Province, constitutes a crucial component of the South Qinling Tectonic Belt. The Neoproterozoic Wudang Group in the study area exhibits Cu element enrichment, with ore deposit formation closely associated with [...] Read more.
The northwestern Hubei region, primarily encompassing Shiyan City and Yunxi County in Hubei Province, constitutes a crucial component of the South Qinling Tectonic Belt. The Neoproterozoic Wudang Group in the study area exhibits Cu element enrichment, with ore deposit formation closely associated with stratigraphic and structural features. This study evaluates copper mineral resource distribution and metallogenic potential in northwestern Hubei by employing factor analysis, concentration-area fractal modeling, and the fuzzy weights-of-evidence method based on stream sediment data, aiming to construct a metallogenic potential model. Factor analysis was applied to process 2002 stream sediment samples of 32 elements to identify principal factors related to copper mineralization. Inverse distance interpolation was used to generate element distribution maps of principal factors, which were integrated with geological and structural data to establish a model using the fuzzy weights of evidence method. Prediction results indicate that most known copper deposits are located within posterior favourability ranges of 0.0027–0.272, constrained by stratigraphic and fault controls. The central northwestern Hubei region is identified as a priority target for future copper exploration. This research provides methodological references for conducting mineral resource potential assessments in north-western Hubei using innovative evaluation approaches. Full article
(This article belongs to the Section Mineral Exploration Methods and Applications)
Show Figures

Graphical abstract

10 pages, 3045 KB  
Proceeding Paper
Structural, Optical, and Dielectric Behavior of MCr2O4 (M=Co, Cu, Ni) Spinel Chromites Prepared by Sol–Gel Route
by Pavithra Gurusamy, Anitha Gnanasekar, Geetha Deivasigamani and Jose Luis Arias Mediano
Mater. Proc. 2025, 25(1), 6; https://doi.org/10.3390/materproc2025025006 - 24 Nov 2025
Viewed by 401
Abstract
The influence of M site substitution in MCr2O4 nanoceramics on their properties is examined in this research. This study is an attempt to correlate the structural, morphological, and optical properties of M-site-modified chromites. The MCr2O4 nanoceramics-CuCr2 [...] Read more.
The influence of M site substitution in MCr2O4 nanoceramics on their properties is examined in this research. This study is an attempt to correlate the structural, morphological, and optical properties of M-site-modified chromites. The MCr2O4 nanoceramics-CuCr2O4, CoCr2O4, and NiCr2O4 were synthesized using a wet chemical sol–gel auto-combustion method, and all three samples were annealed for 4 h at 900 °C. X-ray diffraction analysis showed that the XRD patterns of CuCr2O4, CoCr2O4, and NiCr2O4 correspond to single-phase cubic crystal structures with the space group Fd-3m. Using the Scherrer equation, the crystallite sizes were found to be 9.86 nm, 6.73 nm, and 10.73 nm for CuCr2O4, CoCr2O4, and NiCr2O4, respectively. Other parameters, including crystal structure, micro-strain, lattice constant, unit cell volume, X-ray density, packing factor, and the stacking fault of the calcined powder samples, were determined from data acquired from the X-ray diffractometer. Energy dispersive X-ray spectroscopy (EDX) was employed to confirm the appropriate chromite elements in their expected stoichiometric proportions, removed from other impurities. The identification of the functional groups of the samples was performed using Fourier Transform Infrared Spectroscopy (FTIR). The absorption bands characteristic of tetrahedral and octahedral coordination compounds of the spinel structure are found between 450 and 750 cm−1 for all three samples in the spectrum. From the UV-absorption spectra, and using Tauc’s plot, the energy bandgap values for CuCr2O4, CoCr2O4, and NiCr2O4 were measured to be 1.66 eV, 1.82 eV, and 2.01 eV, respectively. The dielectric properties of the chromites were studied using an LCR meter. Frequency-dependent dielectric properties, including Dielectric constant and Tangent loss, were calculated. These findings suggest the feasibility of the use of these synthesized chromites for optical devices and other optoelectronic applications. Full article
(This article belongs to the Proceedings of The 5th International Online Conference on Nanomaterials)
Show Figures

Figure 1

29 pages, 73139 KB  
Article
Hydrogeological Characterization and Water Quality Evaluation of Amman-Wadi as Sir Aquifer, Northeastern Jordan
by Ibraheem Hamdan, Falk Lindenmaier, Paul Koeniger, Mu’ayyad Al Hseinat, Mathias Toll, Armin Margane, Omed Al-Kurdi, Mohammad Alqadi, Mohammad Al-Hyari, Florian Brückner, Rebecca Bahls and Ahmad AlShdaifat
Water 2025, 17(23), 3353; https://doi.org/10.3390/w17233353 - 23 Nov 2025
Viewed by 1027
Abstract
Groundwater resources in Jordan are under severe stress due to rapidly increasing water demand and over-abstraction that far exceeds natural replenishment. In addition, water quality is threatened by pollution from the misuse of fertilizers and pesticides, leakage from septic tanks, and illegal waste [...] Read more.
Groundwater resources in Jordan are under severe stress due to rapidly increasing water demand and over-abstraction that far exceeds natural replenishment. In addition, water quality is threatened by pollution from the misuse of fertilizers and pesticides, leakage from septic tanks, and illegal waste disposal. This study focuses on the Aqeb, Corridor, and Special Economic Zone wellfields, where hydrological and hydrochemical investigations were carried out. A total of 36 groundwater samples were collected and analyzed for hydrochemical composition, stable isotopes of oxygen (δ18O) and hydrogen (δ2H), and trace elements. In addition, two exploration 2D seismic profiles crossing the study area were interpreted, providing critical insights into the activity of the subsurface Fuluk Fault zone and its relationship with the wellfields. The hydrochemical results reveal elevated total dissolved solids and nitrate concentrations, accompanied by more depleted δ18O and δ2H values in wells located in the central part of the study area. Three distinct hydrochemical groups were identified within the same aquifer, indicating heterogeneity in groundwater chemistry that reflects variations in recharge conditions, flow paths, and geochemical processes. The first group (high Na/Cl with low salinity) likely represents recently recharged waters with limited rock–water interaction. The second group (intermediate Na/Cl and moderate salinity) may be influenced by evaporation, irrigation return flow, or cation exchange. The third group (low Na/Cl with high salinity) suggests the dissolution of sulfate minerals or mixing with deeper mineralized groundwater, possibly facilitated by structural features such as the Fuluk Fault. Seismic interpretation indicates several active near-surface fault systems that are likely to serve as preferential pathways for salinity and nitrate enrichment, linked to intensive agricultural activities and wastewater leakage from nearby septic tanks. The findings emphasize the combined influence of geochemical processes, excessive groundwater abstraction, and structural features in controlling water quality in the region. Full article
(This article belongs to the Section Hydrogeology)
Show Figures

Figure 1

24 pages, 47592 KB  
Article
Structural Ore-Control Model of the Daliangzi Pb–Zn Deposit, Southwest China
by Jianbiao Wu, Runsheng Han, Hongsheng Gong, Shunchuan Wu, Yan Zhang, Chengjie Li, Lingjie Li, Xinglei Hu and Ziguang Wang
Geosciences 2025, 15(11), 431; https://doi.org/10.3390/geosciences15110431 - 13 Nov 2025
Viewed by 641
Abstract
The oblique distribution of orebodies is a fundamental characteristic of the spatial arrangement of orebody groups in non-magmatic hydrothermal deposits and is closely related to shearing. The Daliangzi Pb–Zn deposit in the Sichuan–Yunnan–Guizhou Pb–Zn polymetallic metallogenic area is a typical representative of epigenetic [...] Read more.
The oblique distribution of orebodies is a fundamental characteristic of the spatial arrangement of orebody groups in non-magmatic hydrothermal deposits and is closely related to shearing. The Daliangzi Pb–Zn deposit in the Sichuan–Yunnan–Guizhou Pb–Zn polymetallic metallogenic area is a typical representative of epigenetic hydrothermal deposits controlled by a strike-slip–fault-fold structure. However, the underlying ore-controlling mechanism of this strike-slip–fault-fold structure remains unclear; as a result, achieving breakthroughs in mineral exploration in the deposit’s deep and peripheral zones is directly hindered. This paper focuses on the Daliangzi Pb–Zn deposit. Based on the Theory and Methods of Ore-field Geomechanics, the hierarchical structural ore-controlling pattern of the deposit is clarified, identifying the NE-trending tectonic zone from the Middle-Late Indosinian to Early Yanshanian as the Pb–Zn metallogenic tectonic system. It proposes the spatial oblique distribution patterns of the deposits, ore sections, orebodies, and ore blocks, along with the mechanical mechanisms of multi-scale structural ore control. A compound negative flower structure–fault-fold–diapiric ore-controlling model was constructed for the Daliangzi Pb–Zn deposit. Finally, the locations of concealed orebodies at different scales within the Daliangzi Pb–Zn deposit and its surrounding areas were predicted; moreover, the locations of concealed orebodies at various depths within the deposit area were also predicted. Full article
Show Figures

Figure 1

21 pages, 2623 KB  
Article
A Cluster-Based Filtering Approach to SCADA Data Preprocessing for Wind Turbine Condition Monitoring and Fault Detection
by Krzysztof Kijanowski, Tomasz Barszcz and Phong Ba Dao
Energies 2025, 18(22), 5954; https://doi.org/10.3390/en18225954 - 12 Nov 2025
Viewed by 762
Abstract
The high cost of wind turbine maintenance has intensified the need for reliable fault detection and condition monitoring methods. While Supervisory Control and Data Acquisition (SCADA) systems provide valuable operational data, the raw signals often contain noise, outliers, and missing or redundant entries, [...] Read more.
The high cost of wind turbine maintenance has intensified the need for reliable fault detection and condition monitoring methods. While Supervisory Control and Data Acquisition (SCADA) systems provide valuable operational data, the raw signals often contain noise, outliers, and missing or redundant entries, which can compromise analysis accuracy. This study presents a novel cluster-based outlier removal approach for SCADA data preprocessing, featuring a unique flexibility to include or exclude negative power values—a factor rarely investigated but potentially critical for fault detection performance. The method applies the K-Means++ unsupervised clustering algorithm to group data points along the wind speed–power curve. The number of clusters is determined heuristically using the elbow method, while outliers are identified through Mahalanobis distance with thresholds derived from Chebyshev’s inequality theorem. The approach was validated using SCADA data from a wind farm in Portugal and further assessed with a CUSUM test-based structural change detection method to study how preprocessing choices—outlier thresholds (5% vs. 1%) and inclusion/exclusion of negative power values—affect early fault identification. Results demonstrate reliable fault detection up to 14 days before failure, retaining over 99% of the original dataset. This work provides key insights into preprocessing impacts on model reliability and offers an open-source Python implementation for reproducibility. Full article
(This article belongs to the Special Issue Machine Learning in Renewable Energy Resource Assessment)
Show Figures

Figure 1

22 pages, 7543 KB  
Article
Complex Fracture Network Modeling of Carbonate Reservoirs: A Case from Carboniferous KT-I Formation in the NT Oilfield, Kazakhstan
by Changhai Li
Geosciences 2025, 15(11), 426; https://doi.org/10.3390/geosciences15110426 - 7 Nov 2025
Viewed by 562
Abstract
The carbonate reservoir of the NT oilfield in the Precaspian Basin is a fracture-pore type with an extremely complex fracture network, comprising both high-angle structural fractures and abundant low-angle bedding-parallel fractures. Both fracture types significantly impact waterflood development, making effective prediction and characterization [...] Read more.
The carbonate reservoir of the NT oilfield in the Precaspian Basin is a fracture-pore type with an extremely complex fracture network, comprising both high-angle structural fractures and abundant low-angle bedding-parallel fractures. Both fracture types significantly impact waterflood development, making effective prediction and characterization of the complex fracture network crucial for optimizing waterflooding and development plans. Using core, imaging logging, conventional logging, seismic, and production performance data, we predicted the distribution of high-angle structural and low-angle bedding-parallel fractures. A discrete fracture network (DFN) was constructed by grouping fractures based on strike and dip angles, and the influences of fractures with different dip angles on the initial production of individual wells and production decline rates were analyzed. Results show that high-angle fracture distribution is effectively predicted by combining imaging logging data with seismic volumes processed via ant-tracking technology, while low-angle fractures are well predicted using conventional logging, imaging logging, and seismic data processed by dip deviation. High-angle fractures are predominantly developed near and parallel to faults; low-angle fractures are mainly distributed in fold limbs. Fractures were grouped into northeast, southeast, southwest, northwest high-angle fractures, and low-angle fractures. Fracture modeling indicates a reservoir fracture porosity of 0~0.27% and permeability of 10~100 mD. With increasing fracture density, single-well initial productivity and production decline rates are higher in high-angle fracture zones than in low-angle fracture zones. Low-angle fractures contribute to ~56.45% of high-angle fractures’ production and affect production decline at ~82.5% of high-angle fractures’ level. This method is significant for predicting and modeling complex fracture networks in other reservoirs. Full article
(This article belongs to the Topic Recent Advances in Diagenesis and Reservoir 3D Modeling)
Show Figures

Figure 1

31 pages, 20777 KB  
Article
Depositional Processes and Paleoenvironmental Evolution of the Middle Eocene Lacustrine Shale in Beibu Gulf Basin, South China
by Chengkun Deng, Yifan Li, Zhiqian Gao, Juye Shi, Ruisi Li, Ruoxin Huang, Guocui Li and Xinsheng Wen
Appl. Sci. 2025, 15(20), 11191; https://doi.org/10.3390/app152011191 - 19 Oct 2025
Viewed by 2573
Abstract
This study focuses on the middle Eocene lacustrine shales of the Lower Member 2 of the Liushagang Formation (L–LS2) in the Weixi’nan Depression of the Beibu Gulf Basin. Employing an integrated approach that combines core observation, thin-section analysis, Scanning Electron Microscopy (SEM), X-ray [...] Read more.
This study focuses on the middle Eocene lacustrine shales of the Lower Member 2 of the Liushagang Formation (L–LS2) in the Weixi’nan Depression of the Beibu Gulf Basin. Employing an integrated approach that combines core observation, thin-section analysis, Scanning Electron Microscopy (SEM), X-ray Diffraction (XRD), and geochemical proxies, we systematically characterize the lithofacies, sedimentary processes, and paleoenvironmental evolution. Six distinct lithofacies were identified: clay-rich mudstone, calcium-bearing mudstone, clay-rich siltstone, siliceous siltstone, ankerite-bearing sandstone, and siliceous sandstone. Based on depositional processes and structural features, these are grouped into three lithofacies assemblages: interbedded lithofacies assemblage, laminated lithofacies assemblage, and matrix lithofacies assemblage. Vertical facies distribution shows that the interbedded lithofacies assemblage dominates the lower L–LS2, reflecting active faulting, volcanism, a low lake level, prevalent gravity flows, and episodic oxidative conditions. The laminated lithofacies assemblage dominates the middle section and results from the combined influence of chemical and mechanical deposition, indicating fluctuating climate conditions that affected water depth, salinity, and redox dynamics. The upper section is characterized by matrix lithofacies assemblage, representing a stable, deep water, anoxic environment with low energy suspension settling. We propose a depositional model in which tectonics and climate jointly control lacustrine shale deposition. During the middle Eocene, intensified tectonic activity expanded accommodation space and increased clastic input, while climate fluctuations influenced chemical weathering, nutrient supply, and salinity. Together, these factors drove lake deepening and variability, affecting sedimentary energy and redox conditions. This study not only clarifies the sedimentary evolution of L–LS2 but also provides a critical geological framework for lacustrine shale oil exploration. Full article
Show Figures

Figure 1

16 pages, 5435 KB  
Article
Genetic Mechanism of Geothermal Water in Typical Structural Belts from the Altay and Tianshan to the Kunlun Mountains in Xinjiang: Evidence from Hydrogeochemistry and δ2H–δ18O Isotopes
by Dongqiang Hu, Yanjun Li, Zhilon Qi, Xinghua Qi and Changqiang Ma
Water 2025, 17(20), 2946; https://doi.org/10.3390/w17202946 - 13 Oct 2025
Viewed by 894
Abstract
This study investigates geothermal waters in the Xinjiang region through hydrogeochemical methods, including cluster analysis, ionic ratios, and isotopic analysis. Cluster analysis categorized the geothermal water samples into three distinct groups (G1, G2, and G3). The predominant hydrochemical facies are SO4-HCO [...] Read more.
This study investigates geothermal waters in the Xinjiang region through hydrogeochemical methods, including cluster analysis, ionic ratios, and isotopic analysis. Cluster analysis categorized the geothermal water samples into three distinct groups (G1, G2, and G3). The predominant hydrochemical facies are SO4-HCO3-Na, SO4-Cl-Na, and Cl-Na types, whose formation is controlled by multiple factors. Evidence from molar ratios of major ions suggests that geothermal waters in Group G1 are predominantly governed by water–rock interactions, whereas Groups G2 and G3 are mainly influenced by evaporative concentration. Hydrogen and oxygen isotopic signatures confirm that meteoric water serves as the primary recharge source for these geothermal waters. The spatial correlation between regional tectonic features and most geothermal discharge points demonstrates a consistent relationship between geothermal water occurrence and structural distribution in Xinjiang. Additionally, a conceptual circulation model is proposed wherein meteoric water undergoes deep circulation following local recharge, ascends along fault zones under tectonic pressure, and mixes with shallow groundwater. This research primarily elucidates the hydrogeochemical characteristics and recharge mechanisms of geothermal resources in Xinjiang, thereby providing a scientific basis for their future development and utilization. Full article
(This article belongs to the Special Issue Groundwater Thermal Monitoring and Modeling)
Show Figures

Figure 1

24 pages, 2645 KB  
Article
Group-Theoretic Bilateral Symmetry Analysis for Automotive Steering Systems: A Physics-Informed Deep Learning Framework for Symmetry-Breaking Fault Pattern Recognition
by Shidian Ma and Bingao Jia
Symmetry 2025, 17(9), 1496; https://doi.org/10.3390/sym17091496 - 9 Sep 2025
Viewed by 766
Abstract
Modern automotive steering systems exhibit inherent bilateral symmetry characteristics that can be mathematically described using group theory. When component failures occur, these systems experience quantifiable symmetry-breaking patterns that serve as diagnostic indicators. This research presents an approach that combines group-theoretic principles with machine [...] Read more.
Modern automotive steering systems exhibit inherent bilateral symmetry characteristics that can be mathematically described using group theory. When component failures occur, these systems experience quantifiable symmetry-breaking patterns that serve as diagnostic indicators. This research presents an approach that combines group-theoretic principles with machine learning for automotive steering system fault diagnosis. The study introduces a physics-informed neural network architecture that leverages the mathematical structure of bilateral symmetry for enhanced fault detection capabilities. Through systematic analysis of eight distinct fault categories including sensor malfunctions, actuator degradation, control system failures, and mechanical wear patterns, the proposed framework demonstrates that symmetry-breaking signatures provide reliable diagnostic features. The framework integrates symmetric convolutional operations with transformer-based attention mechanisms, optimized through physics-constrained particle swarm algorithms. Experimental validation using both simulation data (12,500 scenarios) and physical test bench measurements shows classification accuracy of 94.2% compared to traditional CNN-LSTM (86.2%), SVM (78.9%), and Random Forest (82.7%) approaches. The bilateral symmetry analysis achieves 91.8% sensitivity for fault detection in controlled laboratory environments. These results establish the practical viability of group-theoretic methods for automotive diagnostics while providing a foundation for condition-based maintenance strategies in intelligent vehicle systems. Full article
(This article belongs to the Special Issue Symmetry in Fault Detection, Diagnosis, and Prognostics)
Show Figures

Figure 1

Back to TopTop