Sign in to use this feature.

Years

Between: -

Subjects

remove_circle_outline
remove_circle_outline
remove_circle_outline
remove_circle_outline
remove_circle_outline
remove_circle_outline
remove_circle_outline
remove_circle_outline
remove_circle_outline

Journals

Article Types

Countries / Regions

remove_circle_outline
remove_circle_outline
remove_circle_outline
remove_circle_outline

Search Results (321)

Search Parameters:
Keywords = farm wake

Order results
Result details
Results per page
Select all
Export citation of selected articles as:
26 pages, 4931 KB  
Article
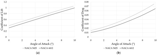
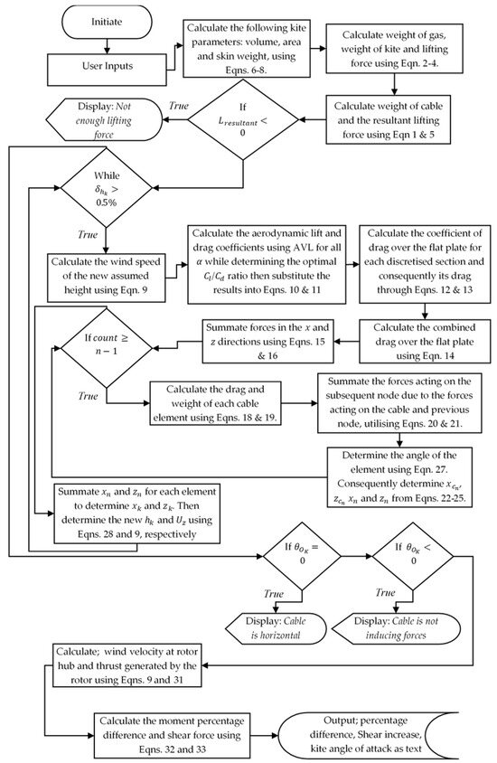
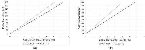
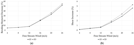
Numerical Modelling of Loads Induced by Wind Power-Enhancing Parakites on Offshore Wind Turbines
by Luke Jurgen Briffa, Karl Zammit, Jean-Paul Mollicone and Tonio Sant
Energies 2026, 19(2), 336; https://doi.org/10.3390/en19020336 - 9 Jan 2026
Viewed by 328
Abstract
Lighter-than-air parakites deployed at sea in the close proximity of wind turbines may offer the possibility of mitigating wake losses encountered in large offshore wind farms. Such devices, having an order of magnitude similar to wind turbine rotors, can divert the stronger winds [...] Read more.
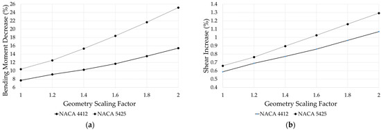
Lighter-than-air parakites deployed at sea in the close proximity of wind turbines may offer the possibility of mitigating wake losses encountered in large offshore wind farms. Such devices, having an order of magnitude similar to wind turbine rotors, can divert the stronger winds available at high altitudes to the lower level within the atmospheric boundary layer to enhance the wind flow between turbines. Mooring the parakites directly to the offshore wind turbine support structures would avoid the need for additional offshore structures. This paper investigates a novel and simple approach for mooring a parakite to an offshore wind turbine. The proposed approach exploits the lift forces of the inflatable parakite to reduce the tower bending moment at the base of the turbine induced by the rotor thrust. An iterative numerical model coupling the parakite loads to a catenary cable piecewise model is developed in Python 3.12.7 to quantify the bending moment reduction and shear load variations at the wind turbine tower base induced by the different kite geometries, windspeeds, and mooring cable lengths. The numerical model revealed that the proposed approach for mooring parakites can substantially reduce the tower bending loads experienced during rotor operation without considerably increasing the shearing forces. It was estimated that the tower bending moment decreased by 7.7% at the rated wind speed, where the rotor thrust is at its maximum, while the corresponding shear force increased by 0.6%. At higher wind speeds, where the magnitude of the rotor thrust decreases, the percentage reduction in bending moment gradually increases to 51.7% at a wind speed of 24 m/s, with the corresponding shear force increasing by only around 4.6%. Furthermore, while upscaling the parakite augments the tower bending moment reduction, changes in cable length had little effect on bending moment reduction and shear increase. Full article
(This article belongs to the Section A3: Wind, Wave and Tidal Energy)
Show Figures

Figure 1

17 pages, 4748 KB  
Article
Investigation on Wake Characteristics of Two Tidal Stream Turbines in Tandem Using a Mobile Submerged PIV System
by Sejin Jung, Heebum Lee, In Sung Jang, Seong Min Moon, Heungchan Kim, Chang Hyeon Seo, Jihoon Kim and Jin Hwan Ko
J. Mar. Sci. Eng. 2026, 14(2), 135; https://doi.org/10.3390/jmse14020135 - 8 Jan 2026
Viewed by 110
Abstract
Understanding wake interactions between multiple tidal stream turbines is essential for optimizing the performance and layout of tidal energy farms. This study investigates the hydrodynamic behavior of two horizontal-axis tidal turbines arranged in tandem under simplified inflow conditions, where the incoming flow was [...] Read more.
Understanding wake interactions between multiple tidal stream turbines is essential for optimizing the performance and layout of tidal energy farms. This study investigates the hydrodynamic behavior of two horizontal-axis tidal turbines arranged in tandem under simplified inflow conditions, where the incoming flow was dominated by the streamwise velocity component without imposed external disturbances. Wake measurements were conducted in a large circulating water tunnel using a mobile, submerged particle image velocimetry (PIV) system capable of long-range, high-resolution measurements. Performance tests showed that the downstream turbine experienced a decrease of approximately 9% in maximum power coefficient compared to the upstream turbine due to reduced inflow velocity and increased turbulence generated by the upstream wake. Phase-averaged PIV results revealed the detailed evolution of velocity deficit, turbulence intensity, turbulent kinetic energy, and tip vortex structures. The tip vortices shed from the upstream turbine persisted over a long downstream distance, remaining coherent up to 10D and merging with those generated by the downstream turbine. These merged vortex structures produced elevated turbulence and complex flow patterns that significantly influenced the downstream turbine’s operating conditions. The results provide experimentally validated insight into turbine-to-turbine wake interactions and highlight the need for high-fidelity wake data to support array optimization and numerical model development for tidal stream turbine array. Full article
(This article belongs to the Special Issue Hydrodynamic Performance, Optimization, and Design of Marine Turbines)
Show Figures

Figure 1

28 pages, 13834 KB  
Article
High-Fidelity Simulation and Sensitivity Study of Spanwise Stiffness Distribution on Nonlinear Aeroelastic Response of 15 MW Reference Turbine Blades
by Baoxu Zhang, Xiaohang Qian, Baoxuan Wang, Yibin He, Zhiteng Gao, Tongguang Wang, Shoutu Li and Ye Li
Energies 2026, 19(1), 60; https://doi.org/10.3390/en19010060 - 22 Dec 2025
Viewed by 252
Abstract
With the trend towards offshore and larger-scale wind turbines, the increase in blade size makes the trade-off between structural optimization and economic feasibility more critical. To address this issue, this study focuses on the IEA 15 MW offshore wind turbine and investigates the [...] Read more.
With the trend towards offshore and larger-scale wind turbines, the increase in blade size makes the trade-off between structural optimization and economic feasibility more critical. To address this issue, this study focuses on the IEA 15 MW offshore wind turbine and investigates the influence of stiffness distribution on its dynamic response, based on the frameworks of multi-body dynamics, the co-rotational beam method, and the free vortex wake method. Results show that blade mid-span stiffness has the most significant influence on system performance. Reducing flapwise bending stiffness increases mean flapwise displacement by 53.8%. This greatly raises the risk of structural damage. Power output is most sensitive to torsional stiffness. Lowering torsional stiffness reduces mean power by 6.9%. This significantly impacts the economic benefits of wind farms. This study contributes to optimizing the structure of large wind turbine blades, enhancing their reliability, and improving cost-effectiveness. Full article
Show Figures

Figure 1

18 pages, 4440 KB  
Article
Probabilistic Assessment Method of Available Inertia for Wind Turbines Considering Rotational Speed Randomness
by Junchao Ma, Jianing Liu, Zhen He, Chenxu Wang, Congnan Qiu, Yilei Gu and Xing Pan
Energies 2025, 18(24), 6457; https://doi.org/10.3390/en18246457 - 10 Dec 2025
Viewed by 229
Abstract
The large-scale integration of wind power into the grid has led to a reduction in system inertia, threatening frequency stability. There is an urgent need to accurately assess the inertia support capability of wind turbines, providing a theoretical basis for grid inertia dispatch [...] Read more.
The large-scale integration of wind power into the grid has led to a reduction in system inertia, threatening frequency stability. There is an urgent need to accurately assess the inertia support capability of wind turbines, providing a theoretical basis for grid inertia dispatch and supporting grid frequency stability. However, due to factors such as wake effects, time-delay effects, and wind shear effects, the rotational speeds of different wind turbines within a wind farm under certain wind speed conditions exhibit probabilistic distribution characteristics. Existing research on wind turbine inertia assessment rarely accounts for the rotational speed randomness. To address this, this paper proposes a probabilistic assessment method for the available inertia of wind turbines that considers rotational speed randomness, establishes a joint probability model for wind speed and rotational speed, deriving the conditional probability density function of rotational speed. By substituting this into the frequency-domain inertia model, we achieve probabilistic inertia assessment. Using operational data from a wind farm in China, a practical case study is constructed, verifying the accuracy of the proposed probabilistic assessment method. At a wind speed of 6 m/s, the proposed method accurately captures the actual system inertia within its 90% confidence interval, in contrast to a conventional approach which yielded a significant 6.5% error. Full article
(This article belongs to the Special Issue Grid-Forming Converters in Power Systems)
Show Figures

Figure 1

19 pages, 11470 KB  
Article
A Large Eddy Simulation-Based Power Forecast Approach for Offshore Wind Farms
by Yongjie Lu, Tasnim Zaman, Bin Ma, Marina Astitha and Georgios Matheou
Energies 2025, 18(24), 6386; https://doi.org/10.3390/en18246386 - 5 Dec 2025
Cited by 1 | Viewed by 402
Abstract
Reliable power forecasts are essential for the grid integration of offshore wind. This work presents a physics-based forecasting framework that couples mesoscale numerical weather prediction with large-eddy simulation (LES) and an actuator-disk turbine representation to predict farm-scale flows and power under realistic atmospheric [...] Read more.
Reliable power forecasts are essential for the grid integration of offshore wind. This work presents a physics-based forecasting framework that couples mesoscale numerical weather prediction with large-eddy simulation (LES) and an actuator-disk turbine representation to predict farm-scale flows and power under realistic atmospheric conditions. Mean meteorological profiles from the Weather Research and Forecasting model drive a concurrent–precursor LES generating turbulent inflow consistent with the evolving boundary layer, while a main LES resolves turbulence and wake formation within the wind farm. The LES configuration and turbine-forcing implementation are validated against canonical single- and multi-turbine benchmarks, showing close agreement in wake deficits and recovery trends. The framework is then demonstrated for the South Fork Wind project (12 turbines, ∼132 MW) using a set of time-varying cases over a 24 h period. Simulations reproduce hub-height wind variability, row-to-row power differences associated with wake interactions, and turbine-level power fluctuations (order 1 MW) that converge with appropriate averaging windows. The results illustrate how an LES-augmented hierarchical modeling system can complement conventional forecasting by providing physically interpretable flow fields and power estimates at operational scales. Full article
Show Figures

Figure 1

29 pages, 12750 KB  
Article
Analysis of Dynamic Responses of Floating Offshore Wind Turbines in Typical Upstream Wake Conditions Based on an Innovative Coupled Dynamic Analysis Method
by Yangwei Wang, Jisen Zong, Jianhui Mou, Junjie Yang and Xinghao Zhu
J. Mar. Sci. Eng. 2025, 13(12), 2276; https://doi.org/10.3390/jmse13122276 - 28 Nov 2025
Viewed by 464
Abstract
Floating offshore wind turbines (FOWTs) are crucial for harnessing deep-sea wind energy resources. However, existing studies on FOWTs have predominantly focused on standalone wind turbines, neglecting the wake effects from upstream turbines within the offshore wind farms, thereby leading to inaccurate analyses. This [...] Read more.
Floating offshore wind turbines (FOWTs) are crucial for harnessing deep-sea wind energy resources. However, existing studies on FOWTs have predominantly focused on standalone wind turbines, neglecting the wake effects from upstream turbines within the offshore wind farms, thereby leading to inaccurate analyses. This study developed a coupled dynamic analysis method integrating aerodynamics, hydrodynamics, and mooring dynamics, incorporating the upstream wake effects through a three-dimensional (3D) Gaussian wake model and a nonlinear lift line free vortex wake (LLFVW) model. The proposed method was validated through comparisons with experiments in the wave tank and on the equivalent mechanism by the scaled-down models. Dynamic responses in four upstream wake conditions, i.e., no-wake, central wake, lateral offset wake, and multi-wake conditions, were simulated. The results indicated that upstream wake effects exert a significant influence on the dynamic responses of the FOWTs. All the three wake conditions markedly reduced the vibration displacement, fore–aft and side-to-side moments due to velocity deficits. Compared to the central wake, the lateral offset wake exerted a more pronounced effect on the fluctuations in tower-top vibration acceleration, the variations in tower-base moment, and the fluctuations in platform pitch acceleration, thereby posing critical fatigue risks. In contrast, multi-wake effects are less pronounced under the studied configuration. These findings emphasize the necessity of avoiding lateral offset exposures in wind farm layout planning. The proposed framework offers a practical tool for wake-aware design and optimization of FOWTs arrays. Full article
(This article belongs to the Special Issue Modelling Techniques for Floating Offshore Wind Turbines)
Show Figures

Figure 1

15 pages, 5166 KB  
Article
Aerodynamic Performance of Buildings with Balconies and HAWT Mounted on the Roof
by Mario A. Aguirre-López, Filiberto Hueyotl-Zahuantitla, Pedro Martinez-Vazquez, Charalampos Baniotopoulos and Orlando Díaz-Hernández
Buildings 2025, 15(23), 4325; https://doi.org/10.3390/buildings15234325 - 28 Nov 2025
Viewed by 259
Abstract
The increasing complexity of tall buildings demands higher performance in serviceability and resilience, particularly regarding airflow control to reduce vibration-inducing forces. On the other hand, harnessing wind energy in suburban environments remains a challenge for sustainable city planning. This study examines airflow around [...] Read more.
The increasing complexity of tall buildings demands higher performance in serviceability and resilience, particularly regarding airflow control to reduce vibration-inducing forces. On the other hand, harnessing wind energy in suburban environments remains a challenge for sustainable city planning. This study examines airflow around a tall building designed for vertical wind farming, incorporating passive flow-control balconies and a roof-mounted horizontal-axis wind turbine (HAWT). Using 3D-resolved flow simulations, we analyse configurations with a 3-blade HAWT placed at varying heights and combined with different balcony types. The results show that turbine height has a stronger influence on rotational performance and near-wake dynamics than balcony geometry, while the mid-wake depends primarily on the building itself. We also find that shorter turbines reduce material and maintenance costs while maintaining similar power output at 30 rpm, whereas taller turbines offer only marginal safety improvements at roof level. Overall, the prototypes demonstrate the feasibility of combining facade roughness with on-site wind harvesting to maximise energy capture without duplicating infrastructure in suburban contexts. Full article
(This article belongs to the Special Issue Wind Load Effects on High-Rise and Long-Span Structures: 2nd Edition)
Show Figures

Figure 1

28 pages, 10200 KB  
Article
Influence of Layout on Offshore Wind Farm Efficiency and Wake Characteristics in Turbulent Environments
by Guanyu Wang, Junnan Huang, Zhihao Zhang, Kang Chen, Zhuang Shen, Jiahuang Tu and Zhaolong Han
J. Mar. Sci. Eng. 2025, 13(11), 2137; https://doi.org/10.3390/jmse13112137 - 12 Nov 2025
Viewed by 695
Abstract
Mitigating wake effects between wind turbines is crucial for enhancing the overall output power of offshore wind farms. Therefore, optimizing turbine spacing and layout under turbulent conditions is essential. This study employs the NREL-5 MW wind turbine model to investigate the efficiency of [...] Read more.
Mitigating wake effects between wind turbines is crucial for enhancing the overall output power of offshore wind farms. Therefore, optimizing turbine spacing and layout under turbulent conditions is essential. This study employs the NREL-5 MW wind turbine model to investigate the efficiency of a 3 × 3 wind farm. This research focuses on the influence of turbine spacing and layout on wake field distribution and output power characteristics under different turbulence intensities. A key innovation is the application of entropy production theory to quantify energy dissipation and wake recovery, providing a deeper understanding of the underlying mechanisms in energy losses. This research also introduces fatigue analysis based on the Damage Equivalent Load (DEL) method, revealing that staggered layouts significantly reduce cyclic loads and extend turbine lifespan. The results indicate that modifying the layout is a more effective strategy for enhancing the total power output of the wind farm, which proves to be more effective than altering the turbulence intensity. Specifically, staggered layout I (with a downstream stagger of 1.0 rotor diameter (D)) increases total output power by 28.76% (to 36.84 MW) and causes a 16.38% surge in power when the spacing increases to 5D. Expanding the wind turbine spacing mitigates wake interaction, resulting in a dramatic 59.84% power recovery for downstream wind turbines. The wind turbine’s lifespan is extended as a result of fatigue loads on the root bending moment being substantially reduced by the staggered layout, which alters the wake structure and stress distribution. The entropy production analysis shows that regions with high entropy production are primarily concentrated near the rotor and within the wake shear layer. The energy dissipation is substantially reduced in the case of staggered layout. These findings provide valuable guidance for the aerodynamic optimization and long-term operation design of large-scale wind farms, contributing to improved energy efficiency and reduced maintenance costs. Full article
(This article belongs to the Section Coastal Engineering)
Show Figures

Figure 1

22 pages, 9742 KB  
Article
Investigation on Wake Evolution Dynamics for Various Floating Offshore Wind Turbine Platforms
by Yifan Gao and Jiahao Chen
Energies 2025, 18(21), 5620; https://doi.org/10.3390/en18215620 - 26 Oct 2025
Cited by 1 | Viewed by 708
Abstract
The study investigates the impact of motions of floating offshore wind turbine platforms on wake evolution and overall wind farm performance, employing large-eddy simulation (LES) and dynamic wake modeling method. First, the differences between wakes of floating and bottom-fixed wind turbines under forced [...] Read more.
The study investigates the impact of motions of floating offshore wind turbine platforms on wake evolution and overall wind farm performance, employing large-eddy simulation (LES) and dynamic wake modeling method. First, the differences between wakes of floating and bottom-fixed wind turbines under forced motion are examined. Subsequently, a systematic comparative analysis is performed for four representative floating platform configurations—Spar, Semi-submersible, Tension-Leg Platform (TLP), and Monopile (Mnpl)—to assess wake dynamics and downstream turbine responses within tandem-arranged arrays. Results indicate that platform pitch motion, by inducing periodic variations in the rotor’s relative inflow angle, significantly enhances wake unsteadiness, accelerates kinetic energy recovery, and promotes vortex breakdown. Tandem-arrange turbines simulations further reveal that platform-dependent motion characteristics substantially influence wake center displacement, velocity deficit, downstream turbine thrust, and overall power fluctuations at the wind farm scale. Among the examined configurations, the Spar platform exhibits the most pronounced wake disturbance and the largest downstream load and power oscillations, with rotor torque and thrust increasing by 10.2% and 10.6%, respectively, compared to other designs. This study elucidates the coupled mechanisms among 6-DOFs (Six Degrees Of Freedom) motions, wake evolution, and power performance, providing critical insights for optimizing floating wind farm platform design and developing advanced cooperative control strategies. Full article
(This article belongs to the Special Issue Advances in Ocean Energy Technologies and Applications)
Show Figures

Figure 1

18 pages, 9888 KB  
Article
Measuring and Simulating Wind Farm Wakes in the North Sea for Use in Assessing Other Regions
by Richard J. Foreman, Cristian Birzer and Beatriz Cañadillas
Energies 2025, 18(20), 5538; https://doi.org/10.3390/en18205538 - 21 Oct 2025
Viewed by 962
Abstract
“Wind theft”, the extraction of upstream wind resources by neighboring wind farms on account of wind farm or cluster wakes, is receiving wider popular attention. Cluster wakes need to be accounted for in wider planning strategies, for which measurements and wake models can [...] Read more.
“Wind theft”, the extraction of upstream wind resources by neighboring wind farms on account of wind farm or cluster wakes, is receiving wider popular attention. Cluster wakes need to be accounted for in wider planning strategies, for which measurements and wake models can be deployed to aid this process. To contribute to such planning measures, a flight campaign for investigating cluster waking and other phenomena in the North Sea was conducted in 2020 and 2021 to contribute extra flight data obtained during the first flight campaign of 2016 and 2017. We report the latest results of the 2020–2021 flight campaign following the work and methodology of Cañadillas et al. (2020), where, using the 2016–2017 flight measurements, wake lengths extending up to approximately 60 km in stable stratification were inferred, consistent with an explicit stability-dependent analytical model. Analysis of the recent 2020–2021 flight data is approximately consistent with the results of Cañadillas et al. (2020) in stable conditions, albeit with greater scatter. This is because Cañadillas et al. (2020) analyzed only flights in which the wind conditions remained nearly constant during the measurement period, whereas the current dataset includes more variable conditions. Comparisons with the analytical-based engineering model show good first-order agreement with the flight data, but higher-order effects, such as flow non-homogeneity, are not accounted for. The application of these results to the stability information for developing offshore wind energy regions such as the East Coast of the USA and Bass Strait, Australia gives an outline of the expected wake lengths there. Simple engineering models, such as that demonstrated here, though primarily designed for commercial applications, need to be further developed into advanced spatial planning frameworks for offshore wind energy areas. Full article
(This article belongs to the Special Issue Advancements in Wind Farm Design and Optimization)
Show Figures

Figure 1

22 pages, 3290 KB  
Article
Influence of Surface Complexity and Atmospheric Stability on Wind Shear and Turbulence in a Peri-Urban Wind Energy Site
by Wei Zhang, Elliott Walker and Corey D. Markfort
Energies 2025, 18(19), 5211; https://doi.org/10.3390/en18195211 - 30 Sep 2025
Viewed by 813
Abstract
The large-scale deployment of wind energy underscores the critical need for accurate resource characterization to reduce uncertainty in power estimates and to enable the installation of wind farms in increasingly complex terrains. Accurate wind resource assessment in peri-urban and moderately complex terrains remains [...] Read more.
The large-scale deployment of wind energy underscores the critical need for accurate resource characterization to reduce uncertainty in power estimates and to enable the installation of wind farms in increasingly complex terrains. Accurate wind resource assessment in peri-urban and moderately complex terrains remains a significant challenge due to spatial heterogeneity in surface terrain features and atmospheric thermal stability. This study investigates the influence of surface complexity and atmospheric stratification on vertical wind profiles at a utility-scale wind turbine site in Cedar Rapids, Iowa. One year of multi-level wind data from a 106-meter-tall meteorological tower were analyzed to quantify variations in the wind shear exponent α, wind direction veer, and horizontal turbulence intensity (TI) across open-field and complex-surface wind sectors and four thermal stability classes, defined by the bulk Richardson number Rib. The results show that the wind shear exponent α increases systematically with atmospheric stability. Over the open-field terrain, α ranges from 0.11 in unstable conditions to 0.45 in strongly stable conditions, compared to 0.17 and 0.40 over the complex surface. A pronounced diurnal variation in α was observed, particularly during the summer months. Wind veer was greatest and exceeded 30° under strongly stable conditions over open terrain. Elevated TI values peaked at 32 m in height due to flow separation and wake turbulence from nearby vegetation and sloping terrain. These findings highlight the importance of incorporating terrain-induced and thermally driven variability into wind resource assessments to improve power prediction and turbine siting in complex heterogeneous terrain environments. Full article
Show Figures

Figure 1

26 pages, 2268 KB  
Article
Assessing the Technical and Economic Viability of Onshore and Offshore Wind Energy in Pakistan Through a Data-Driven Machine Learning and Deep Learning Approach
by Angela Valeria Miceli, Fabio Cardona, Valerio Lo Brano and Fabrizio Micari
Energies 2025, 18(19), 5080; https://doi.org/10.3390/en18195080 - 24 Sep 2025
Cited by 1 | Viewed by 1250
Abstract
An accurate estimation of wind energy productivity is crucial for the success of energy transition strategies in developing countries such as Pakistan, for which the deployment of renewables is essential. This study investigates the use of machine learning and deep learning techniques to [...] Read more.
An accurate estimation of wind energy productivity is crucial for the success of energy transition strategies in developing countries such as Pakistan, for which the deployment of renewables is essential. This study investigates the use of machine learning and deep learning techniques to improve wind farm producibility assessments, tailored to the Pakistani context. SCADA data from a wind turbine in Türkiye were used to train and validate five predictive models. Among these, Random Forest proved most reliable, attaining a coefficient of determination of 0.97 on the testing dataset. The trained model was then employed to simulate the annual production of a 5 × 5 wind farm at two representative sites in Pakistan—one onshore and one offshore—that had been selected using ERA5 reanalysis data. In comparison with conventional estimates based on the theoretical power curve, the machine learning-based approach resulted in net energy predictions up to 20% lower. This is attributable to real-world effects such as wake and grid losses. The onshore site yielded an LCOE of 0.059 USD/kWh, closely aligning with the IRENA’s 2024 national average of approximately 0.06 USD/kWh, thereby confirming the reliability of the estimates. In contrast, the offshore site exhibited an LCOE of 0.120 USD/kWh, thus underscoring the need for incentives to support offshore development in Pakistan’s renewable energy strategy. Full article
Show Figures

Figure 1

18 pages, 3792 KB  
Article
Achieving Power-Noise Balance in Wind Farms by Fine-Tuning the Layout with Reinforcement Learning
by Guangxing Guo, Weijun Zhu, Ziliang Zhang, Wenzhong Shen and Zhe Chen
Energies 2025, 18(18), 5019; https://doi.org/10.3390/en18185019 - 21 Sep 2025
Viewed by 729
Abstract
Wind farms situated in proximity to residential areas present environmental challenges, primarily due to noise emissions. Rectangular and parallelogram layouts are commonly employed in current wind farm designs owing to their simplicity and visual appeal. However, such configurations often experience significant power loss [...] Read more.
Wind farms situated in proximity to residential areas present environmental challenges, primarily due to noise emissions. Rectangular and parallelogram layouts are commonly employed in current wind farm designs owing to their simplicity and visual appeal. However, such configurations often experience significant power loss under certain wind directions because of intense wake interactions. This paper proposes a layout fine-tuning strategy for low-noise wind farm design. Within a reinforcement learning framework integrated with an engineering wake model and a noise propagation model, the positions of two turbines (controlled by two variables) are optimized. The noise propagation model was validated for idealized long-range sound propagation over flat terrain with acoustically soft surfaces. A case study was conducted on a 12-turbine wind farm located on a flat plain in China, with a noise threshold of 45 dB(A) used to assess the noise impact area. Optimization results demonstrate that the proposed method achieves a balance between power output and noise reduction compared to the original regular layout: Annual Energy Production (AEP) increased slightly by 0.16%, while the noise impact area was reduced by 6.0%. Although these improvements appear modest, the potential of the proposed methodology warrants further investigation. Full article
(This article belongs to the Special Issue Advancements in Wind Farm Design and Optimization)
Show Figures

Figure 1

24 pages, 3150 KB  
Article
A Hybrid Deep Learning and Model Predictive Control Framework for Wind Farm Frequency Regulation
by Ziyang Ji, Jie Zhang, Keke Du and Tao Zhou
Sustainability 2025, 17(18), 8445; https://doi.org/10.3390/su17188445 - 20 Sep 2025
Cited by 1 | Viewed by 877
Abstract
To enhance wind farm frequency regulation in renewable-dominant power systems, this paper proposes a bi-level hybrid framework integrating deep learning and model predictive control (MPC) by retaining the critical wake propagation delay while neglecting higher-order turbulence effects. The upper layer employs a synthetic [...] Read more.
To enhance wind farm frequency regulation in renewable-dominant power systems, this paper proposes a bi-level hybrid framework integrating deep learning and model predictive control (MPC) by retaining the critical wake propagation delay while neglecting higher-order turbulence effects. The upper layer employs a synthetic inertial intelligent control strategy based on contractive autoencoder (CAE) and deep neural network (DNN). Particle swarm optimization (PSO) obtains optimal synthetic inertial parameters for dataset construction, CAE extracts features from multi-dimensional inputs, and DNN outputs optimal coefficients to determine the total power deficit the wind farm needs to supply. The lower layer uses a nonlinear model predictive control (NMPC) strategy with the discretized rotor motion equation as the prediction model and optimization under constraints to allocate the total power deficit to each turbine. MATLAB/Simulink case studies show that, compared with fixed-coefficient synthetic inertial control, the proposed framework raises the frequency nadir by 0.01–0.02 Hz, shortens the settling time by over 200 s under 2–4% load disturbances, and maintains rotor speed within the safe range. This work significantly enhances the wind farm’s frequency regulation performance, contributing to power system and energy sustainability. Full article
Show Figures

Figure 1

34 pages, 10460 KB  
Article
A Reinforcement Learning-Assisted Fractional-Order Differential Evolution for Solving Wind Farm Layout Optimization Problems
by Yiliang Wang, Yifei Yang, Sichen Tao, Lianzhi Qi and Hao Shen
Mathematics 2025, 13(18), 2935; https://doi.org/10.3390/math13182935 - 10 Sep 2025
Viewed by 812
Abstract
The Wind Farm Layout Optimization Problem (WFLOP) aims to improve wind energy utilization and reduce wake-induced power losses through optimal placement of wind turbines. Genetic Algorithms (GAs) and Particle Swarm Optimization (PSO) have been widely adopted due to their suitability for discrete optimization [...] Read more.
The Wind Farm Layout Optimization Problem (WFLOP) aims to improve wind energy utilization and reduce wake-induced power losses through optimal placement of wind turbines. Genetic Algorithms (GAs) and Particle Swarm Optimization (PSO) have been widely adopted due to their suitability for discrete optimization tasks, yet they suffer from limited global exploration and insufficient convergence depth. Differential evolution (DE), while effective in continuous optimization, lacks adaptability in discrete and nonlinear scenarios such as WFLOP. To address this, the fractional-order differential evolution (FODE) algorithm introduces a memory-based difference mechanism that significantly enhances search diversity and robustness. Building upon FODE, this paper proposes FQFODE, which incorporates reinforcement learning to enable adaptive adjustment of the evolutionary process. Specifically, a Q-learning mechanism is employed to dynamically guide key search behaviors, allowing the algorithm to flexibly balance exploration and exploitation based on problem complexity. Experiments conducted across WFLOP benchmarks involving three turbine quantities and five wind condition settings show that FQFODE outperforms current mainstream GA-, PSO-, and DE-based optimizers in both solution quality and stability. These results demonstrate that embedding reinforcement learning strategies into differential frameworks is an effective approach for solving complex combinatorial optimization problems in renewable energy systems. Full article
(This article belongs to the Special Issue Artificial Intelligence Techniques Applications on Power Systems)
Show Figures

Figure 1

Back to TopTop