High-Fidelity Simulation and Sensitivity Study of Spanwise Stiffness Distribution on Nonlinear Aeroelastic Response of 15 MW Reference Turbine Blades
Abstract
1. Introduction
1.1. Challenges in the Development of Offshore Wind Turbines
1.2. Overview of Recent Research
1.3. Research Gap and Motivation
1.4. Arrangement of This Work
2. Model Description and Methodology
2.1. The IEA 15 MW Wind Turbine
2.2. Free Vortex Wake Method
2.3. Co-Rotational Beam Method
2.4. Aeroelastic Dynamics Process
3. Validation of Dynamic Model
3.1. Validation of Aerodynamic Model
3.2. Validation of Structural Dynamics Model
3.3. Validation of Aeroelastic Dynamics Model
4. Results and Discussion
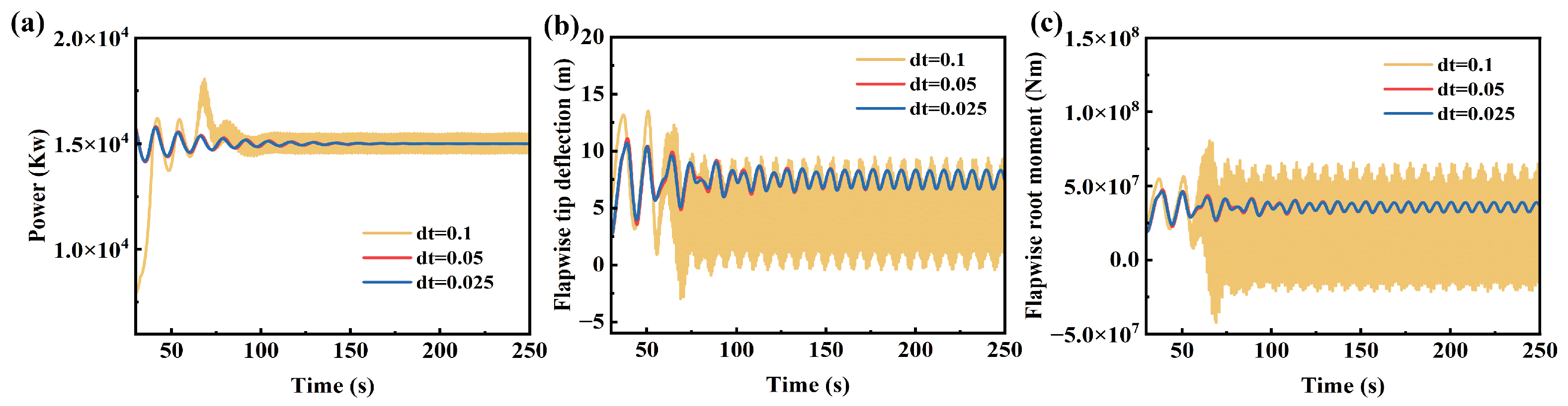
4.1. Simulation Settings
4.2. The Effect of Stiffness at Different Span Positions on Dynamic Response
4.3. Limitations and Future Work
5. Conclusions
Author Contributions
Funding
Data Availability Statement
Conflicts of Interest
Nomenclature
| Roman Symbols | Definition | Units |
| Circulation of vortex filament | /s | |
| c | Chord length | m |
| W | Resultant velocity | m/s |
| r | Distance between point and vortex element | m |
| Vortex core radius | m | |
| Wake age angle | rad | |
| Angular velocity | rad/s | |
| u | Displacement | m |
| Rotation angle | rad | |
| B | Transformation matrix | |
| Local stiffness matrix | ||
| Global stiffness matrix | ||
| GWEC | Global Wind Energy Council | |
| CFD | Computational Fluid Dynamics | |
| CSD | Computational Structural Dynamics | |
| BEMT | Blade Element Momentum Theory | |
| GEBT | Geometrically Exact Beam Theory | |
| CRBM | Co-rotational Beam Method | |
| FVWM | Free Vortex Wake Method |
References
- Hassan, Q.; Viktor, P.; Al-Musawi, T.J.; Ali, B.M.; Algburi, S.; Alzoubi, H.M.; Al-Jiboory, A.K.; Sameen, A.Z.; Salman, H.M.; Jaszczur, M. The renewable energy role in the global energy Transformations. Renew. Energy Focus 2024, 48, 100545. [Google Scholar] [CrossRef]
- Liu, Y.; Li, Y.; He, F.; Wang, H. Comparison study of tidal stream and wave energy technology development between China and some Western Countries. Renew. Sustain. Energy Rev. 2017, 76, 701–716. [Google Scholar] [CrossRef]
- Jung, C.; Sander, L.; Schindler, D. Future global offshore wind energy under climate change and advanced wind turbine technology. Energy Convers. Manag. 2024, 321, 119075. [Google Scholar] [CrossRef]
- Akhtar, N.; Geyer, B.; Schrum, C. Larger wind turbines as a solution to reduce environmental impacts. Sci. Rep. 2024, 14, 6608. [Google Scholar] [CrossRef]
- Global Wind Energy Council. Global Offshore Wind Report 2020; GWEC: Brussels, Belgium, 2020; Volume 19, pp. 10–12. [Google Scholar]
- Donnelly, O.; Carroll, J.; Howland, M. Analysing the cost impact of failure rates for the next generation of offshore wind turbines. Wind Energy 2024, 27, 695–710. [Google Scholar] [CrossRef]
- Wang, Z.; Hu, J.; Wang, Y.; Yang, M.; Zhou, B.; Yuan, Y.; Jin, P.; Chen, Y. Nonlinear aeroelastic performance in 5MW and 15MW wind turbine blades using intrinsic geometrically exact method. Renew. Energy 2025, 256, 124581. [Google Scholar] [CrossRef]
- Ortolani, A.; Persico, G.; Drofelnik, J.; Jackson, A.; Campobasso, M.S. High-fidelity calculation of floating offshore wind turbines under pitching motion. In Turbo Expo: Power for Land, Sea, and Air; American Society of Mechanical Engineers: New York, NY, USA, 2020; Volume 84249, p. V012T42A012. [Google Scholar]
- Shourangiz-Haghighi, A.; Haghnegahdar, M.A.; Wang, L.; Mussetta, M.; Kolios, A.; Lander, M. State of the art in the optimisation of wind turbine performance using CFD. Arch. Comput. Methods Eng. 2020, 27, 413–431. [Google Scholar] [CrossRef]
- Hulbert, G.M. Time finite element methods for structural dynamics. Int. J. Numer. Methods Eng. 1992, 33, 307–331. [Google Scholar] [CrossRef]
- Guo, T.; Lu, Z.; Tang, D.; Wang, T.; Dong, L. A CFD/CSD model for aeroelastic calculations of large-scale wind turbines. Sci. China Technol. Sci. 2013, 56, 205–211. [Google Scholar] [CrossRef]
- Yu, D.O.; Kwon, O.J. Predicting wind turbine blade loads and aeroelastic response using a coupled CFD–CSD method. Renew. Energy 2014, 70, 184–196. [Google Scholar] [CrossRef]
- Sun, Z.; Chen, J.; Shen, W.Z.; Zhu, W.J. Improved blade element momentum theory for wind turbine aerodynamic computations. Renew. Energy 2016, 96, 824–831. [Google Scholar] [CrossRef]
- Wang, L.; Liu, X.; Renevier, N.; Stables, M.; Hall, G.M. Nonlinear aeroelastic modelling for wind turbine blades based on blade element momentum theory and geometrically exact beam theory. Energy 2014, 76, 487–501. [Google Scholar] [CrossRef]
- Frassoldati, G.; Giansante, R.; Bernardini, G.; Gennaretti, M. Unsteady Lifting-Line Free-Wake Aerodynamic Modeling for Morphing Wings. Aerospace 2024, 11, 745. [Google Scholar] [CrossRef]
- Xu, B.; Wang, T.; Yuan, Y.; Zhao, Z.; Liu, H. A simplified free vortex wake model of wind turbines for axial steady conditions. Appl. Sci. 2018, 8, 866. [Google Scholar] [CrossRef]
- Liang, L.; Deng, J. A novel geometric nonlinear analysis method for planar beam structures based on co-rotation and substructure method. J. Phys. Conf. Ser. 2023, 2553, 012030. [Google Scholar] [CrossRef]
- Moon, H.; Cho, H.; Theodossiades, S.; Kim, T. Development of an anisotropic co-rotational beam model including variable cross-section. Mech. Adv. Mater. Struct. 2023, 30, 423–436. [Google Scholar] [CrossRef]
- Abdelghany, E.S.; Sarhan, H.H.; Alahmadi, R.; Farghaly, M.B. Study the effect of winglet height length on the aerodynamic performance of horizontal axis wind turbines using computational investigation. Energies 2023, 16, 5138. [Google Scholar] [CrossRef]
- Farghaly, M.B.; Abdelghany, E. Study the effect of trailing edge flap deflection on horizontal axis wind turbine performance using computational investigation. Int. J. Renew. Energy Res. 2022, 12, 1942–1953. [Google Scholar] [CrossRef]
- Qian, Y.; Sun, Y.; Liu, Z.; Zhang, Y.; Wang, T. Wake recovery dynamics in tandem tidal turbines. Phys. Fluids 2025, 37, 065107. [Google Scholar] [CrossRef]
- Chen, J.; Shen, X.; Li, X.; Ye, Z.; Guo, X. Modeling of Self and Mutual Inductions between Front and Rear Rotors of Coaxial Dual-Rotor Wind Turbines. Renew. Energy 2025, 257, 124694. [Google Scholar] [CrossRef]
- Shaler, K.; Kecskemety, K.M.; McNamara, J.J. Benchmarking of a free vortex wake model for prediction of wake interactions. Renew. Energy 2019, 136, 607–620. [Google Scholar] [CrossRef]
- Lu, M.m.; Ke, S.t.; Wu, H.x.; Gao, M.e.; Tian, W.x.; Wang, H. A novel forecasting method of flutter critical wind speed for the 15 MW wind turbine blade based on aeroelastic wind tunnel test. J. Wind. Eng. Ind. Aerodyn. 2022, 230, 105195. [Google Scholar] [CrossRef]
- Qian, X.; Zhang, B.; Gao, Z.; Wang, T.; Zhang, L.; Li, Y. Flutter limit optimization of offshore wind turbine blades considering different control and structural parameters. Ocean. Eng. 2024, 310, 118558. [Google Scholar] [CrossRef]
- Huang, Y.; Yang, X.; Zhao, W.; Wan, D. Aeroelastic analysis of wind turbine under diverse inflow conditions. Ocean. Eng. 2024, 307, 118235. [Google Scholar] [CrossRef]
- Lee, K.; Huque, Z.; Kommalapati, R.; Han, S.E. Fluid-structure interaction analysis of NREL phase VI wind turbine: Aerodynamic force evaluation and structural analysis using FSI analysis. Renew. Energy 2017, 113, 512–531. [Google Scholar] [CrossRef]
- Wang, B.; Li, Y.; Gao, S.; Shen, K.; Zhao, S.; Yao, Y.; Zhou, Z.; Hu, Z.; Zheng, X. Stability analysis of wind turbine blades based on different structural models. J. Mar. Sci. Eng. 2023, 11, 1106. [Google Scholar] [CrossRef]
- Shakya, P.; Sunny, M.R.; Maiti, D.K. Nonlinear flutter analysis of a bend-twist coupled composite wind turbine blade in time domain. Compos. Struct. 2022, 284, 115216. [Google Scholar] [CrossRef]
- Jeong, M.S.; Lee, I.; Yoo, S.J.; Park, K.C. Torsional stiffness effects on the dynamic stability of a horizontal axis wind turbine blade. Energies 2013, 6, 2242–2261. [Google Scholar] [CrossRef]
- Hayat, K.; de Lecea, A.G.M.; Moriones, C.D.; Ha, S.K. Flutter performance of bend–twist coupled large-scale wind turbine blades. J. Sound Vib. 2016, 370, 149–162. [Google Scholar] [CrossRef]
- Wang, F.; Yang, Y.; Zeng, J.; Yang, Y. Research on dynamics of icing wind turbine blade based on geometrically exact beam theory. J. Sound Vib. 2025, 601, 118927. [Google Scholar] [CrossRef]
- Qian, X.; Gao, Z.; He, Y.; Song, L.; Hu, J.; Zhang, L.; Wang, T.; Li, Y. Dynamic response analysis and blade stiffness sensitivity study of large floating offshore wind turbine with coupling effect. Renew. Energy 2025, 255, 123540. [Google Scholar] [CrossRef]
- Gaertner, E.; Rinker, J.; Sethuraman, L.; Zahle, F.; Anderson, B.; Barter, G.E.; Abbas, N.J.; Meng, F.; Bortolotti, P.; Skrzypinski, W.; et al. IEA Wind TCP Task 37: Definition of the IEA 15-Megawatt Offshore Reference Wind Turbine; Technical Report; National Renewable Energy Lab. (NREL): Golden, CO, USA, 2020. [Google Scholar]
- Leishman, J.G.; Bhagwat, M.J.; Bagai, A. Free-vortex filament methods for the analysis of helicopter rotor wakes. J. Aircr. 2002, 39, 759–775. [Google Scholar] [CrossRef]
- Vatistas, G.H. Simple model for turbulent tip vortices. J. Aircr. 2006, 43, 1577–1579. [Google Scholar] [CrossRef]
- Xu, B. Study of Wind Turbine Aerodynamic Characteristics Based on Vortex Wake Methods. Ph.D. Thesis, Nanjing University of Aeronautics and Astronautics, Nanjing, China, 2013. [Google Scholar]
- Bhagwat, M.J.; Leishman, J.G. Correlation of helicopter rotor tip vortex measurements. AIAA J. 2000, 38, 301–308. [Google Scholar] [CrossRef]
- Xu, B.; Wang, T.; Yuan, Y.; Cao, J. Unsteady aerodynamic analysis for offshore floating wind turbines under different wind conditions. Philos. Trans. R. Soc. A Math. Phys. Eng. Sci. 2015, 373, 20140080. [Google Scholar] [CrossRef] [PubMed]
- Moon, H.; Cho, H.; Theodossiades, S.; Kim, T. Development of three-dimensional co-rotational beam model for nonlinear dynamic analysis of highly flexible slender composite blades. Mech. Adv. Mater. Struct. 2023, 30, 1943–1954. [Google Scholar] [CrossRef]
- Pacoste, C.; Eriksson, A. Beam elements in instability problems. Comput. Methods Appl. Mech. Eng. 1997, 144, 163–197. [Google Scholar] [CrossRef]
- Battini, J.M. Co-Rotational Beam Elements in Instability Problems. Ph.D. Thesis, KTH, Stockholm, Sweden, 2002. [Google Scholar]
- Stäblein, A.; Hansen, M.H. Timoshenko beam element with anisotropic cross-sectional properties. In ECCOMAS Congress 2016: VII European Congress on Computational Methods in Applied Sciences and Engineering; National Technical University of Athens: Athens, Greece, 2016. [Google Scholar]
- Hand, M.M.; Simms, D.; Fingersh, L.; Jager, D.; Cotrell, J.; Schreck, S.; Larwood, S. Unsteady Aerodynamics Experiment Phase VI: Wind Tunnel Test Configurations and Available Data Campaigns; Technical report; National Renewable Energy Lab. (NREL): Golden, CO, USA, 2001. [Google Scholar]
- IEC 61400-1; Wind Turbine-Part 1-Design Requirements. International Electrotechnical Commission: Geneva, Switzerland, 2005.




















| (m) | (m) | (m) | (rad) | (rad) | (rad) | |
|---|---|---|---|---|---|---|
| Hansen [43] | −10.66 | −6.53 | 38.68 | - | - | - |
| Moon [40] | −10.665 | −6.526 | 38.743 | 0.196 | −0.810 | −0.120 |
| Present | −10.667 | −6.529 | 38.727 | 0.194 | −0.813 | −0.121 |
| Pitch | Power | Tip Twist | Flapwise Tip Deflection | Flapwise Root Moment | |
|---|---|---|---|---|---|
| 0.3 | 0.051 | −0.072 | 0.003 | −0.810 | |
| 0.4 | 0.090 | −0.134 | 0.012 | 0.005 | |
| 0.5 | 1.000 | 0.069 | −0.632 | −0.424 | −0.245 |
| 0.6 | 0.065 | −0.094 | 0.006 | 0.003 | |
| 0.7 | 0.109 | −0.230 | 0.078 | 0.020 | |
| 0.8 | 0.017 | −0.235 | −0.041 | −0.014 | |
| 0.9 | 0.029 | −0.229 | 0.047 | 0.005 |
| Pitch | Power | Tip Twist | Flapwise Tip Deflection | Flapwise Root Moment | |
|---|---|---|---|---|---|
| 0.3 | −0.256 | 0.236 | −0.247 | −0.132 | −0.100 |
| 0.4 | −1.070 | −1.225 | −0.514 | −0.412 | 1.000 |
| 0.5 | 1.000 | −3.728 | −106.237 | −0.973 | −7.902 |
| 0.6 | −0.532 | −0.688 | −0.290 | −0.273 | −0.217 |
| 0.7 | −0.975 | −1.420 | −59.045 | −1.169 | −3.920 |
| 0.8 | 0.865 | −0.329 | −115.067 | −1.687 | −5.931 |
| 0.9 | −0.590 | −0.753 | 0.464 | −0.269 | −0.249 |
Disclaimer/Publisher’s Note: The statements, opinions and data contained in all publications are solely those of the individual author(s) and contributor(s) and not of MDPI and/or the editor(s). MDPI and/or the editor(s) disclaim responsibility for any injury to people or property resulting from any ideas, methods, instructions or products referred to in the content. |
© 2025 by the authors. Licensee MDPI, Basel, Switzerland. This article is an open access article distributed under the terms and conditions of the Creative Commons Attribution (CC BY) license.
Share and Cite
Zhang, B.; Qian, X.; Wang, B.; He, Y.; Gao, Z.; Wang, T.; Li, S.; Li, Y. High-Fidelity Simulation and Sensitivity Study of Spanwise Stiffness Distribution on Nonlinear Aeroelastic Response of 15 MW Reference Turbine Blades. Energies 2026, 19, 60. https://doi.org/10.3390/en19010060
Zhang B, Qian X, Wang B, He Y, Gao Z, Wang T, Li S, Li Y. High-Fidelity Simulation and Sensitivity Study of Spanwise Stiffness Distribution on Nonlinear Aeroelastic Response of 15 MW Reference Turbine Blades. Energies. 2026; 19(1):60. https://doi.org/10.3390/en19010060
Chicago/Turabian StyleZhang, Baoxu, Xiaohang Qian, Baoxuan Wang, Yibin He, Zhiteng Gao, Tongguang Wang, Shoutu Li, and Ye Li. 2026. "High-Fidelity Simulation and Sensitivity Study of Spanwise Stiffness Distribution on Nonlinear Aeroelastic Response of 15 MW Reference Turbine Blades" Energies 19, no. 1: 60. https://doi.org/10.3390/en19010060
APA StyleZhang, B., Qian, X., Wang, B., He, Y., Gao, Z., Wang, T., Li, S., & Li, Y. (2026). High-Fidelity Simulation and Sensitivity Study of Spanwise Stiffness Distribution on Nonlinear Aeroelastic Response of 15 MW Reference Turbine Blades. Energies, 19(1), 60. https://doi.org/10.3390/en19010060

