Sign in to use this feature.

Years

Between: -

Subjects

remove_circle_outline
remove_circle_outline
remove_circle_outline
remove_circle_outline
remove_circle_outline
remove_circle_outline
remove_circle_outline
remove_circle_outline
remove_circle_outline

Journals

remove_circle_outline
remove_circle_outline
remove_circle_outline
remove_circle_outline
remove_circle_outline
remove_circle_outline
remove_circle_outline
remove_circle_outline

Article Types

Countries / Regions

remove_circle_outline
remove_circle_outline
remove_circle_outline
remove_circle_outline

Search Results (263)

Search Parameters:
Keywords = experimental tests of gravity

Order results
Result details
Results per page
Select all
Export citation of selected articles as:
15 pages, 26011 KB  
Article
Intelligent Detection of Lunar Impact Craters Using DEM and Gravity Data Based on ResNet and Vision Transformer
by Meng Ding, Zhili Du, Yu Bai, Shuai Wang and Xinyi Zhou
Appl. Sci. 2026, 16(8), 4035; https://doi.org/10.3390/app16084035 - 21 Apr 2026
Abstract
The craters on the moon hold important clues about the history of impacts in our solar system. To address the limitation of traditional intelligent methods in detecting buried craters, this study proposes a novel intelligent detection approach based on DEM and gravity data. [...] Read more.
The craters on the moon hold important clues about the history of impacts in our solar system. To address the limitation of traditional intelligent methods in detecting buried craters, this study proposes a novel intelligent detection approach based on DEM and gravity data. We designed a hybrid network architecture (ResNet + ViT) that combines the local feature extraction strengths of Convolutional Neural Networks with the global context modeling capabilities of Vision Transformer. By combining the complementary information from DEM and gravity anomaly data, it achieves comprehensive detection of lunar craters—from those visible on the surface to buried subsurface structures. To mitigate the inherent sample imbalance in both gravity anomaly and DEM training data, we employ a U-Net architecture augmented with residual blocks and train it using a Focal Loss function with dynamic focusing parameters. Experimental results show that: (1) The proposed method attains high segmentation accuracy, achieving a mean Intersection over Union of 81.3% on the DEM test set and 82.6% on the gravity anomaly test set, respectively. (2) Our method outperforms U-Net and its mainstream variants, achieving a precision of 89.48% and superior detection completeness. (3) Application to representative geological units, including the Wugang Basin, Archimedes Crater, and Mare Moscoviense, validates the robustness and practical utility of our method. This study, thus, provides a novel technical framework for global-scale mapping of lunar impact craters and yields new insights into the evolutionary history of the lunar surface. Full article
(This article belongs to the Special Issue Application of Machine Learning in Geoinformatics)
Show Figures

Figure 1

21 pages, 15830 KB  
Article
A Deep Learning-Enhanced Adaptive Kalman Filter with Multi-Scale Temporal Attention for Airborne Gravity Denoising
by Lili Li, Junxiang Liu, Guoqing Ma and Zhexin Jiang
Sensors 2026, 26(7), 2216; https://doi.org/10.3390/s26072216 - 3 Apr 2026
Viewed by 489
Abstract
Airborne gravity survey serves as a rapid remote sensing technique for mapping subsurface mineral target and geological structure over large areas. The raw gravity data contains significant noise corrupted by airflow and the flight platform’s attitude. The Kalman Filter (KF) is an effective [...] Read more.
Airborne gravity survey serves as a rapid remote sensing technique for mapping subsurface mineral target and geological structure over large areas. The raw gravity data contains significant noise corrupted by airflow and the flight platform’s attitude. The Kalman Filter (KF) is an effective method for airborne gravity data denoising, but its processing accuracy is highly dependent on the empirical parameters. The multi-scale CNN-LSTM-attention adaptive Kalman Filter (MSC-LA-AKF) method is proposed to obtain high precision gravity data, which combines the multi-scale CNN (MSC), bidirectional long short-term memory (Bi-LSTM) and attention mechanism for adaptively estimating the parameters of KF. The multi-scale CNN uses convolution kernel of varying sizes to extract signal features at different scales. The Bi-LSTM combines two LSTM layers in opposite directions to extract the signal features at bidirectional time series, and can effectively identify time-varying noise signals. A multi-head attention mechanism with four attention heads (H=4) is incorporated into the output feature layer of the Bi-LSTM to adaptively calculate weights for different features and optimize the parameters of the KF. The simulated data tests demonstrate that the MSC-LA-AKF achieves notably higher denoising accuracy than both the finite impulse response (FIR) and wavelet filters, with detailed quantitative comparisons provided in the experimental section. The proposed method is applied to real airborne gravity data, and effectively removes noise signals and enhances the geological interpretation of gravity maps. Full article
(This article belongs to the Section Intelligent Sensors)
Show Figures

Figure 1

35 pages, 44478 KB  
Article
Aerodynamic Configuration and Stability Analysis of a Split-Type Tilt-Rotor Cargo Flying Vehicle
by Songyang Li, Yingjun Shen, Bo Liu, Dajiang Chen, Shuxin He, Linjiang Yao and Guangshuo Feng
Aerospace 2026, 13(4), 325; https://doi.org/10.3390/aerospace13040325 - 31 Mar 2026
Viewed by 325
Abstract
The flying car, academically known as electric vertical takeoff and landing (eVTOL) aircraft, is one of the core vehicles for low-altitude transportation. The split-type tilt-rotor cargo flying vehicle that is composed of tilt rotors, a fixed wing, and a detachable cargo pod exhibits [...] Read more.
The flying car, academically known as electric vertical takeoff and landing (eVTOL) aircraft, is one of the core vehicles for low-altitude transportation. The split-type tilt-rotor cargo flying vehicle that is composed of tilt rotors, a fixed wing, and a detachable cargo pod exhibits characteristics of rotor–wing coupling and significant changes in weight and center of gravity (CG). Therefore, empirical design rules for conventional aircraft are not directly applicable. This paper presents the stability analysis of two configurations, i.e., the aerial vehicle module (AVM) and the aerial cargo configuration (ACC). The dynamic model of the proposed cargo flying vehicle is developed. Based on test data from the tilt-rotor experimental bench, the CFD models of the rotor subsystems and the full vehicle were validated and subsequently used to simulate the aerodynamic performance and stability of the flying vehicle under various operating conditions. The results indicate that vertical takeoff and landing (VTOL) stability is highly sensitive to the rotor–CG lever arm. Under cruise conditions, the CG positions were tested within a range of 1.4–1.7 cA (mean aerodynamic chord) from the wing leading edge with the most favorable static stability observed at 1.62 cA. Among the three proposed tilt-rotor strategies, initiating the secondary tilt rotors first while keeping the main tilt rotors vertical results in the weakest rotor–surface aerodynamic coupling, the lowest pitching-moment peaks, and favorable longitudinal static stability. These findings inform CG management, aerodynamic layout, and tilt-schedule design for split-type tilt-rotor cargo vehicles in low-altitude transportation. Full article
(This article belongs to the Section Aeronautics)
Show Figures

Figure 1

15 pages, 46451 KB  
Article
Parameter Optimization for Torsion-Balance Experiments Testing d = 6 Lorentz-Violating Effects in the Pure-Gravity Sector
by Tao Jin, Pan-Pan Wang, Weisheng Huang, Rui Luo, Yu-Jie Tan and Cheng-Gang Shao
Symmetry 2026, 18(4), 559; https://doi.org/10.3390/sym18040559 - 25 Mar 2026
Viewed by 321
Abstract
Local Lorentz Invariance is one of the fundamental postulates of General Relativity, making its experimental verification of paramount importance. Given that various frontier theoretical models predict potential symmetry breaking, the Standard Model Extension framework has been established to systematically study such phenomena. Within [...] Read more.
Local Lorentz Invariance is one of the fundamental postulates of General Relativity, making its experimental verification of paramount importance. Given that various frontier theoretical models predict potential symmetry breaking, the Standard Model Extension framework has been established to systematically study such phenomena. Within the Standard Model Extension gravitational sector, the high-order Lorentz-violating terms with mass dimension d=6 exhibit a rapid signal decay with distance, providing a distinct detection advantage in short-range gravity experiments. This work is dedicated to optimizing the testing schemes for d=6 Lorentz-violating coefficients. Based on a high-precision torsion balance platform, we propose a novel scheme featuring a comb-stripe design. The improvements are twofold: first, the spatial orientation of the experimental apparatus is optimized to leverage the modulation effects of the Earth’s rotation, thereby enhancing the capability to distinguish and constrain different violation parameters; second, the test and source masses are reconfigured into specifically designed stripe patterns to significantly amplify the fringe-field signals sensitive to Lorentz-violating effects. This paper systematically elaborates on the theoretical foundation and design principles of the new scheme. By performing a detailed comparison of the constraint potentials of various stripe configurations, the five-stripe geometry is identified as the optimal experimental configuration. This study provides a new experimental methodology for exploring physics beyond the Standard Model at higher levels of precision. Full article
(This article belongs to the Section Physics)
Show Figures

Figure 1

40 pages, 6534 KB  
Article
Telehandler Stability Analysis Using a Virtual Tilt & Rotation Platform
by Beatriz Puras, Gustavo Raush, Germán Filippini, Javier Freire, Pedro Roquet, Manel Tirado, Oriol Casadesús and Esteve Codina
Machines 2026, 14(3), 347; https://doi.org/10.3390/machines14030347 - 19 Mar 2026
Viewed by 262
Abstract
This paper investigates the stability of telehandlers operating on inclined terrain through a sequential methodological approach. In a first stage, stability is assessed using quasi-static methods based on force and moment equilibrium, including the load transfer matrix and the stability pyramid. These approaches [...] Read more.
This paper investigates the stability of telehandlers operating on inclined terrain through a sequential methodological approach. In a first stage, stability is assessed using quasi-static methods based on force and moment equilibrium, including the load transfer matrix and the stability pyramid. These approaches account for gravitational and inertial effects through equivalent external forces and moments applied at the global centre of gravity, enabling efficient evaluation of load redistribution and proximity to rollover thresholds under generalized quasi-static conditions. The application of these methods highlights intrinsic limitations when addressing structurally complex machines such as telehandlers equipped with a pivoting rear axle and evolving mass distribution due to boom motion. In particular, quasi-static approaches require a priori assumptions regarding the effective rollover axis and cannot fully capture the coupled geometric and contact interactions between rear axle articulation limits, centre of gravity migration, tyre–ground interface behaviour, and support polygon evolution. To overcome these limitations, a nonlinear dynamic multibody model based on the three-dimensional Bond Graph (3D Bond Graph) methodology is introduced. The model is implemented within a virtual tilt–rotation test platform and validated against experimental results obtained from ISO 22915-14 stability tests. The comparison confirms compliance with normative requirements and demonstrates that the dynamic framework captures condition-dependent rollover mechanisms and transitions between distinct virtual rollover axes that cannot be fully explained by quasi-static formulations. Unlike most previous studies, which focus on fixed configurations or forward-driving scenarios, the proposed framework analyzes stability evolution under spatial inclination while accounting for structural articulation constraints. The explicit identification of rollover axis transitions induced by rear axle articulation provides a deeper mechanistic interpretation of telehandler stability and supports the use of high-fidelity dynamic simulation as a complementary tool for test interpretation, experimental planning, and the development of predictive stability and operator assistance systems. Full article
(This article belongs to the Section Vehicle Engineering)
Show Figures

Figure 1

31 pages, 10739 KB  
Article
Multi-Point Contact Dynamics of a Novel Self-Centring Mechanism for In-Space Robotic Assembly
by Yuanxin Wang, Jiafu Liu, Shujie Ma, Jianping Jiang, Yuanyuan Li and Xing Wang
Aerospace 2026, 13(2), 188; https://doi.org/10.3390/aerospace13020188 - 16 Feb 2026
Viewed by 354
Abstract
Autonomous in-space assembly using a free-flying robot can lead to residual vibrations and positioning errors of the target modules during the grasping process. This places stringent demands on end-effectors, which must tolerate large misalignments while maintaining high positioning accuracy. In this regard, this [...] Read more.
Autonomous in-space assembly using a free-flying robot can lead to residual vibrations and positioning errors of the target modules during the grasping process. This places stringent demands on end-effectors, which must tolerate large misalignments while maintaining high positioning accuracy. In this regard, this paper presents a novel self-centring mechanism, which consists of two self-centring fingers mounted on the end-effector and a double V-groove mechanism attached to the target module. The proposed compact structural design passively corrects substantial parallel offsets and angular misalignments between the end-effector and the module. A multi-point contact model consistent with this mechanism is then developed using the virtual sphere layer method to describe the self-centring process. This model incorporates a normal contact force model and a three-dimensional bristle frictional force model to characterise the multi-point bouncing contact behaviours during the self-centring process. Numerical simulations and experimental tests involving the grasping of a module with a single robotic arm confirm that the self-centring mechanism effectively eliminates initial misalignments, achieving sub-millimetre positioning accuracy. The measured parallel offsets and contact forces align closely with numerical predictions, with minor discrepancies attributed to environmental noise and vibrations from the elastic bungees in the gravity compensation system. Finally, the self-centring mechanism is applied to grasp two modules with a dual-arm robot in the Space Proximity Operations Test facility. The centroid displacements of the robot closely match the simulation results, further validating the accuracy of the proposed multi-point contact model. Full article
Show Figures

Figure 1

13 pages, 349 KB  
Article
Quasibound States of Massive Charged Scalars Around Dilaton Black Holes in 2+1 Dimensions: Exact Frequencies
by Horacio Santana Vieira
Universe 2026, 12(2), 49; https://doi.org/10.3390/universe12020049 - 12 Feb 2026
Viewed by 455
Abstract
In this work, we investigate massive charged scalar perturbations in the background of three-dimensional dilaton black holes with a cosmological constant. We demonstrate that the wave equations governing the dynamics of these perturbations are exactly solvable, with the radial part expressible in terms [...] Read more.
In this work, we investigate massive charged scalar perturbations in the background of three-dimensional dilaton black holes with a cosmological constant. We demonstrate that the wave equations governing the dynamics of these perturbations are exactly solvable, with the radial part expressible in terms of confluent Heun functions. The quasibound state frequencies are computed analytically, and we examine their dependence on the scalar field’s mass and charge, as well as on the black hole’s mass and electric charge. Our analysis also underscores the crucial role played by the cosmological constant in shaping the behavior of these perturbations. This specific black hole metric arises as a solution to the low-energy effective action of string theory in 2+1 dimensions, and it holds potential for experimental realization in analog gravity systems due to the similarity between its surface gravity and that of acoustic analogs. Moreover, the analytic tractability of this system offers a valuable testing ground for exploring aspects of black hole spectroscopy, stability, and quantum field theory in curved spacetime. The exact solvability facilitates deeper insights into the interplay between geometry and matter fields in lower-dimensional gravity, where quantum gravitational effects can be more pronounced. Such studies not only enrich our understanding of dilaton gravity and its string-theoretic implications but also pave the way for potential applications in simulating black hole phenomena in laboratory settings using analog models. Full article
Show Figures

Figure 1

20 pages, 2762 KB  
Article
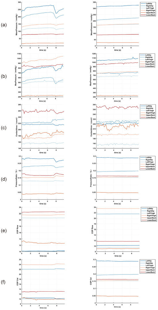
Driver Anxiety Detection Based on Seated Pressure Characteristics and Identification of Anxiety-Inducing Scenarios
by Xiaoyan Yang, Yi He, Zhiqiang Wen, Weiwei Wang and Mengmeng Gao
Sensors 2026, 26(4), 1162; https://doi.org/10.3390/s26041162 - 11 Feb 2026
Viewed by 398
Abstract
Driving anxiety is a major issue that compromises the safety and experience of driving. It has been demonstrated that negative emotions with a high arousal factor like anxiety are manifested in body posture and sitting behavior. This paper will investigate one of the [...] Read more.
Driving anxiety is a major issue that compromises the safety and experience of driving. It has been demonstrated that negative emotions with a high arousal factor like anxiety are manifested in body posture and sitting behavior. This paper will investigate one of the ways of identifying anxiety by assessing the pressure distribution in the sitting posture, and discuss driving situations that have a strong correlation with causing anxiety. Thirty people were recruited through a campus social media platform. The experimental design was a one-factor within-subject experimental design in which the researcher used standardized audio materials and a digital countdown task as a means (or inducement) of achieving calm (baseline) and anxiety, respectively. The induction effects were validated using the Self-Assessment Measure (SAM). Also, a pathway accommodating eight driving conditions was established to address the depth of pressure distribution in each condition by means of pressure mats to examine the behavior of the subjects in the relaxed and anxious conditions. The evaluation of both subjective and objective data was performed using the Wilcoxon signed-rank test, and at the same time, we explored the relationships that existed among the driving situations and anxiety levels. The research findings reveal the following: (1) Compared to baseline emotional state, anxiety-induced conditions exhibit heightened pressure distribution and increased volatility in the thigh, hip, and lower back regions, accompanied by greater anterior–posterior center-of-gravity sway. (2) The study identified 40 significant features distinguishing anxiety from calmness, including aTHR_Max and rCOPBTL_Std, primarily distributed across the left leg, right hip, and lower back regions. (3) Through baseline correction and cosine similarity analysis, scenarios prone to triggering anxiety were identified as those involving high uncertainty and high interactivity (e.g., traffic congestion and entering roundabouts); scenarios characterized by continuity and high predictability (e.g., consecutive turns and parking) showed weaker associations with anxiety. This study provides new data support and design rationale for in-vehicle emotion recognition systems and emotion-intervention-based human–machine interaction design. Full article
(This article belongs to the Section Communications)
Show Figures

Figure 1

20 pages, 2566 KB  
Article
Development and Biomechanical Evaluation of a Modular Knee Prosthesis: From Conceptual V1 Design to an Improved V3 Model
by Samal Abdreshova, Sayat Akhmejanov, Kassymbek Ozhikenov, Nursultan Zhetenbayev, Yerkebulan Nurgizat, Dauren Bizhanov, Aidos Sultan, Abu-Alim Ayazbay, Meruert Zharmagambetova and Gani Sergazin
Bioengineering 2026, 13(2), 201; https://doi.org/10.3390/bioengineering13020201 - 11 Feb 2026
Viewed by 541
Abstract
This study investigates the functional capabilities and accessibility limitations of current knee prostheses while developing and evaluating a three-stage prosthetic system (V1–V3). The primary objective is to design a cost-effective knee prosthesis featuring anatomically compatible motion, high kinematic accuracy, and a modular architecture. [...] Read more.
This study investigates the functional capabilities and accessibility limitations of current knee prostheses while developing and evaluating a three-stage prosthetic system (V1–V3). The primary objective is to design a cost-effective knee prosthesis featuring anatomically compatible motion, high kinematic accuracy, and a modular architecture. The methodology integrates a technical review of commercial prostheses, CAD modeling in SolidWorks, kinematic evaluation through Motion Simulation, and experimental testing of the V2 prototype. The results demonstrate the structural limitations of the initial V1 design, the complete assembly and improved functional performance of the V2 prototype, and the advanced mechanical behavior achieved in the final V3 concept. The V3 model provides an extended range of motion, reduced mass and lowered center of gravity, smoother dynamic response, and compatibility with a fully modular foot–ankle–knee configuration. Overall, the findings indicate that the V3 design represents a promising engineering solution that brings the system closer to clinical applicability and establishes a foundation for the development of a fully modular lower-limb prosthetic platform. Full article
Show Figures

Figure 1

21 pages, 4158 KB  
Article
A Model of a Gravity Dam Reservoir Based on a New Concrete-Simulating Microparticle Mortar
by Zeye Feng, Yanhong Zhang, Xiao Hu, Hongdong Zhu and Guoliang Xing
Buildings 2026, 16(4), 692; https://doi.org/10.3390/buildings16040692 - 7 Feb 2026
Cited by 1 | Viewed by 938 | Correction
Abstract
To address the challenge that traditional dam model materials are difficult to simultaneously meet the requirements of microstructural similarity, dynamic damage simulation, and environmental friendliness, a novel microparticle mortar simulated concrete was developed. This new material consists of cement, sand, gypsum, mineral oil, [...] Read more.
To address the challenge that traditional dam model materials are difficult to simultaneously meet the requirements of microstructural similarity, dynamic damage simulation, and environmental friendliness, a novel microparticle mortar simulated concrete was developed. This new material consists of cement, sand, gypsum, mineral oil, water, and baryte sand. Through systematic material mechanical tests, the effects of each component on the material’s strength, density, and elastic modulus were revealed, and the optimal mix ratio was determined. This enabled precise control of low elastic modulus and had a high density, while the material is environmentally friendly, non-toxic, and compatible with direct contact with natural water. Its mechanical properties are highly similar to those of the prototype concrete. Based on a 1:70 geometric scale, a shaking table model test of the concrete gravity dam-reservoir system was conducted. The dynamic response and damage evolution under empty and full reservoir conditions were compared and analyzed. The study shows that this material can accurately simulate the stress-strain relationship and failure mode of prototype concrete. Under the full reservoir condition, the dam’s fundamental frequency showed only a 2.72% deviation from the numerical simulation, and as the seismic excitation amplitude increased, the changes in the fundamental frequency effectively reflected the accumulation of damage. Under the design seismic motion, the measured accelerations and stress responses for both empty and full reservoir conditions were in good agreement with numerical calculations. Under overload conditions, the acceleration amplification factor at the dam crest decreased with damage accumulation, and the dam neck was identified as the seismic weak zone. As the peak ground acceleration (PGA) increased from 0.15 g to 0.70 g, the fundamental frequency changes effectively reflected the damage accumulation process in the dam, while the hydrodynamic pressure at the dam heel showed a linear increase (457% increase). The experimentally measured hydrodynamic pressure distribution was between the rigid dam and elastic dam hydrodynamic pressures, reflecting the real fluid-structure interaction effect. This study provides a reliable material solution and data support for dam seismic physical model testing. Full article
(This article belongs to the Special Issue Seismic Performance and Durability of Engineering Structures)
Show Figures

Figure 1

22 pages, 3213 KB  
Article
Porosity/Cement Index and Machine Learning Models for Predicting Tensile and Compressive Strength of Cemented Silt in Varying Compaction Conditions
by Jair Arrieta Baldovino, Oscar E. Coronado-Hernández and Yamid E. Nuñez de la Rosa
Materials 2026, 19(3), 498; https://doi.org/10.3390/ma19030498 - 27 Jan 2026
Viewed by 556
Abstract
This study investigates the mechanical response of cemented silt subjected to 28 days of curing by integrating two predictive methodologies: porosity–cement index (η/Civ) and machine learning (ML) models. The soil was compacted over a wide range of molding water contents and [...] Read more.
This study investigates the mechanical response of cemented silt subjected to 28 days of curing by integrating two predictive methodologies: porosity–cement index (η/Civ) and machine learning (ML) models. The soil was compacted over a wide range of molding water contents and dry densities, including optimum and off-optimum states, and stabilized with varying cement contents. Unconfined compressive strength (qu) and splitting tensile strength (qt) were evaluated as functions of cement dosage, curing time, porosity, water content, and the specific gravities of the soil and cement. The η/Civ index demonstrated a strong predictive capability for both qu and qt, with determination coefficients exceeding 0.980, and exhibited the expected power-law decay with increasing η/Civ. ML algorithms—particularly Gaussian Process Regression with a Matern 5/2 kernel—outperformed the empirical model, achieving R2 values of 0.963 (validation) and 0.997 (testing) for qu prediction. The qt model similarly reached R2 = 0.984–0.988, demonstrating high generalization and stability across curing and compaction conditions. Experimental results revealed substantial strength gains with decreasing η/Civ, with qu increasing from 100 kPa at η/Civ = 46 to 2900 kPa at η/Civ = 19, while qt rose from 10–15 kPa to 300 kPa across the same range. Full article
Show Figures

Figure 1

38 pages, 456 KB  
Article
BRST Symmetry Violation and Fundamental Limitations of Asymptotic Safety in Quantum Gravity
by Farrukh A. Chishtie
Symmetry 2026, 18(1), 140; https://doi.org/10.3390/sym18010140 - 10 Jan 2026
Cited by 1 | Viewed by 924
Abstract
The asymptotic safety program assumes that quantum gravity becomes renormalizable through ultraviolet fixed points in metric-based couplings. We demonstrate that this approach encounters fundamental symmetry violations across multiple independent criteria, all traceable to a single fundamental cause: the breakdown of general covariance and [...] Read more.
The asymptotic safety program assumes that quantum gravity becomes renormalizable through ultraviolet fixed points in metric-based couplings. We demonstrate that this approach encounters fundamental symmetry violations across multiple independent criteria, all traceable to a single fundamental cause: the breakdown of general covariance and BRST symmetries above the gravitational cutoff scale. Rigorous canonical quantization proves that general covariance cannot be maintained quantum mechanically in dimensions greater than two, while recent path integral calculations reveal persistent gauge parameter dependence in quantum gravitational corrections, signaling BRST symmetry violation. These dual proofs establish that the metric tensor ceases to exist as a valid quantum degree of freedom above Λgrav1018 GeV, rendering the search for ultraviolet fixed points in metric-based theories problematic from a foundational physical perspective. We provide comprehensive analysis demonstrating that asymptotic safety exhibits persistent gauge parameter dependence where fixed-point properties vary with arbitrary gauge choices, non-convergent truncation schemes extending to the 35th order showing no approach to stable values, experimental tensions with electroweak precision tests by orders of magnitude, matter content requirements incompatible with the Standard Model, absence of concrete graviton predictions due to gauge and truncation dependence, unitarity challenges through ghost instabilities and propagator negativity, and fundamental Wick rotation obstructions preventing reliable connection between Euclidean calculations and physical Lorentzian spacetime. Each limitation independently challenges the program; collectively they establish fundamental incompatibility with quantum consistency requirements. We contrast this with the Unified Standard Model with Emergent Gravity framework, which recognizes general relativity as an effective field theory valid only below the covariance breakdown scale, systematically avoids all asymptotic safety pathologies, yields an emergent spin-2 graviton with transverse-traceless polarization confirmed by LIGO-Virgo observations, and provides definite experimental signatures across multiple domains. The fundamental limitations of asymptotic safety, established through theoretical analysis and experimental tension, demonstrates that consistent quantum gravity requires recognizing spacetime geometry as emergent rather than fundamental. Full article
(This article belongs to the Special Issue Lorentz Invariance Violation and Space–Time Symmetry Breaking)
24 pages, 32383 KB  
Article
Experimental Study on the Mechanical Performance of Cast-in-Place Base Joints for X-Shaped Columns in Cooling Towers
by Xinyu Jin, Zhao Chen, Huanrong Li, Jie Kong, Gangling Hou, Xingyu Miao and Lele Sun
Buildings 2026, 16(1), 174; https://doi.org/10.3390/buildings16010174 - 30 Dec 2025
Viewed by 349
Abstract
The supporting system of super-large cooling towers is crucial for the structural safety of nuclear power plants. The X-shaped reinforced concrete column has emerged as a promising solution due to its superior stability. However, the performance of the cast-in-place base joint, which is [...] Read more.
The supporting system of super-large cooling towers is crucial for the structural safety of nuclear power plants. The X-shaped reinforced concrete column has emerged as a promising solution due to its superior stability. However, the performance of the cast-in-place base joint, which is a key force-transfer component, requires thorough investigation. This study experimentally investigates the mechanical performance of the joints under ultimate vertical compressive and tensile loads. The loads represent gravity-dominated and extreme wind uplift scenarios, respectively. A comprehensive testing program monitored load–displacement responses, strain distributions, crack propagation, and failure modes. The compression specimen failed in a ductile flexural compression manner with plastic hinge formation above the column base. In contrast, the tension specimen exhibited a tension-controlled failure pattern. Crucially, the joint remained stable after column yielding in both loading scenarios. The result validates the “strong connection–weak member” design principle. The findings confirm that the proposed cast-in-place joint possesses excellent load-bearing capacity and ductility. Therefore, the study provides a reliable design basis for the supporting structures of super-large cooling towers. Full article
Show Figures

Figure 1

18 pages, 3446 KB  
Article
Weak-Axis Double Reduced Beam Section Connection: Seismic Performance Analysis and Design Method
by Linfeng Lu, Zihao Li, Qiuxue Xiang and Peng Pan
Buildings 2026, 16(1), 2; https://doi.org/10.3390/buildings16010002 - 19 Dec 2025
Viewed by 451
Abstract
A weak-axis moment connection incorporating a double reduced beam section and a box-reinforced panel zone (WDRBS) is introduced for hot-rolled H-shaped columns. The configuration is intended to shift inelastic demand away from the column face and to constrain weak-axis panel-zone distortion. A series [...] Read more.
A weak-axis moment connection incorporating a double reduced beam section and a box-reinforced panel zone (WDRBS) is introduced for hot-rolled H-shaped columns. The configuration is intended to shift inelastic demand away from the column face and to constrain weak-axis panel-zone distortion. A series of finite element models is established and calibrated to examine the cyclic response of this connection type. By varying the geometric parameters of the second reduction zone, a closed-form expression for determining its cutting depth (c2) is formulated, allowing both reduced regions to yield concurrently, i.e., the Optimum State. The numerical investigation demonstrates that connections designed according to this equation exhibit stable hysteresis, limited weld-adjacent plastic ll rightstrain, and sufficient deformation and energy-dissipation capacities. All specimens exhibit plastic rotations greater than 0.03 rad, ductility ratios greater than 3.0, and equivalent viscous damping ratios greater than 0.3. To facilitate engineering implementation using common hot-rolled sections, a simplified method is further proposed to approximate the admissible range of c2 with practical accuracy. While the length of the second reduction region has only a modest influence on peak strength (approximately 1.5–6%), it markedly affects the failure mechanism and plastic-hinge distribution. A stepwise design procedure for WDRBS connections is accordingly recommended. The study does not consider composite-slab interaction or gravity-load effects, and the findings—based solely on finite element simulations—require future verification through full-scale experimental testing. Full article
(This article belongs to the Special Issue Seismic and Durability Performance of Steel Connections)
Show Figures

Figure 1

8 pages, 2050 KB  
Proceeding Paper
Design and Construction of a Floating Wind Turbine Scale Model with Composite Materials and Its Integration into Gravity-Based Offshore Structures
by Dimitrios A. Bartziokas, Thomas P. Mazarakos, Isidoros Iakovidis and Sotiria Dimitrellou
Eng. Proc. 2025, 119(1), 29; https://doi.org/10.3390/engproc2025119029 - 18 Dec 2025
Viewed by 531
Abstract
The present paper deals with the design and construction of a floating wind turbine (WT) scale model, using composite materials and additive manufacturing technology, and its subsequent integration into offshore gravity-based structures (GBS). The 5MW wind turbine model (pylon, blades, nacelle, and hub) [...] Read more.
The present paper deals with the design and construction of a floating wind turbine (WT) scale model, using composite materials and additive manufacturing technology, and its subsequent integration into offshore gravity-based structures (GBS). The 5MW wind turbine model (pylon, blades, nacelle, and hub) is made of composite material, with the aim of placing it in a GBS. The dimensions of the scaled model have been selected based on the experimental tank at the University of West Attica, which was used to conduct the required tests. To ensure the stability and reliability of the wind turbine support base, hydrodynamic loads caused by sea waves were calculated using analytical methods. Full article
(This article belongs to the Proceedings of The 8th International Conference of Engineering Against Failure)
Show Figures

Figure 1

Back to TopTop