Sign in to use this feature.

Years

Between: -

Subjects

remove_circle_outline
remove_circle_outline
remove_circle_outline
remove_circle_outline
remove_circle_outline
remove_circle_outline

Journals

Article Types

Countries / Regions

Search Results (20)

Search Parameters:
Keywords = exotic blocks

Order results
Result details
Results per page
Select all
Export citation of selected articles as:
17 pages, 2161 KB  
Article
Structure-Related Properties in AlP Nanoparticles Across One- and Two-Dimensional Architectures
by Fotios I. Michos, Christina Papaspiropoulou, Nikos Aravantinos-Zafiris and Michail M. Sigalas
Crystals 2026, 16(1), 70; https://doi.org/10.3390/cryst16010070 - 21 Jan 2026
Viewed by 100
Abstract
A systematic density functional theory (DFT) and time-dependent DFT (TD-DFT) investigation of aluminum phosphide (AlxPx) nanoparticles with diverse dimensionalities and geometries is presented. Starting from a cubic-like Al4P4 building block, a series of one-dimensional (1D) elongated, [...] Read more.
A systematic density functional theory (DFT) and time-dependent DFT (TD-DFT) investigation of aluminum phosphide (AlxPx) nanoparticles with diverse dimensionalities and geometries is presented. Starting from a cubic-like Al4P4 building block, a series of one-dimensional (1D) elongated, two-dimensional (2D) exotic, and extended sheet-like nanostructures was constructed, enabling a unified structure–property analysis across size and topology. Optical absorption and infrared (IR) vibrational spectra were computed and correlated with geometric motifs, revealing pronounced shape-dependent tunability. Compact and highly interconnected 2D architectures exhibit red-shifted absorption and enhanced vibrational polarizability, whereas elongated or low-connectivity motifs lead to blue-shifted optical responses and stiffer vibrational frameworks. Benchmark comparisons indicate that CAM-B3LYP excitation energies closely reproduce reference EOM-CCSD trends for the lowest singlet states. Binding energy and HOMO-UMO gap analyses confirm increasing thermodynamic stability with size and dimensionality, alongside topology-driven electronic modulation. These findings establish AlP nanostructures as highly tunable platforms for optoelectronic and vibrationally active applications. Full article
(This article belongs to the Section Inorganic Crystalline Materials)
Show Figures

Figure 1

31 pages, 12879 KB  
Article
Development and Evolution of the Rattlesnake Creek Terrane, Klamath Mountains, Northern California
by Diana Urda, Kathryn Metcalf and Jennifer Diaz
Geosciences 2026, 16(1), 30; https://doi.org/10.3390/geosciences16010030 - 5 Jan 2026
Viewed by 400
Abstract
The basement of the Rattlesnake Creek terrane (RCT) in the Klamath Mountains is a mélange of metamorphosed sedimentary and igneous blocks. Recent work shows that the overlying RCT cover sequence has a North American provenance but formed after accretion to the continental margin, [...] Read more.
The basement of the Rattlesnake Creek terrane (RCT) in the Klamath Mountains is a mélange of metamorphosed sedimentary and igneous blocks. Recent work shows that the overlying RCT cover sequence has a North American provenance but formed after accretion to the continental margin, so it is unclear if the basement mélange formed exotic or endemic to North America. This study presents petrography and zircon geochronology from RCT metasedimentary blocks and crosscutting intrusions. The southernmost RCT preserves both Early Jurassic and Middle-Late Jurassic cover sequence deposits and records continental clasts and 33% pre-Mesozoic zircons at ~201 Ma, effectively none at ~191 Ma, and 79–90% from 168 to 163 Ma. During active magmatism 207–193 Ma, the RCT was receiving continental sediment, inconsistent with a distant intraoceanic arc. We interpret that the RCT subduction zone formed proximal to North America in the Late Triassic and that there was a sediment pathway to the RCT at ~201 Ma. During Middle to Late Jurassic rifting and subsequent Nevadan compression, the cover sequences were dismembered and incorporated into the mélange by tectonic and sedimentary processes. The age and provenance of metasedimentary deposits in the RCT is inconsistent with west-dipping subduction models in the Klamath Mountains region. Full article
(This article belongs to the Section Structural Geology and Tectonics)
Show Figures

Graphical abstract

16 pages, 2349 KB  
Article
Optical and Vibrational Properties of AlN Nanoparticles with Different Geometries: A DFT and TD-DFT Study
by Fotios I. Michos, Christina Papaspiropoulou, Nikos Aravantinos-Zafiris and Michail M. Sigalas
Crystals 2025, 15(12), 1003; https://doi.org/10.3390/cryst15121003 - 21 Nov 2025
Cited by 1 | Viewed by 469
Abstract
In this work, by using density functional theory (DFT) and time-dependent DFT (TD-DFT) a comprehensive theoretical study on the structural, electronic, optical, and vibrational properties of aluminum nitride (AlxNx) nanoparticles (NPs) is presented. More than thirty nanostructures were constructed [...] Read more.
In this work, by using density functional theory (DFT) and time-dependent DFT (TD-DFT) a comprehensive theoretical study on the structural, electronic, optical, and vibrational properties of aluminum nitride (AlxNx) nanoparticles (NPs) is presented. More than thirty nanostructures were constructed based on an initial cubic-like Al4N4 building block, including one-dimensional (1D), two-dimensional (2D), and three-dimensional (3D) configurations, as well as asymmetric and defected geometries (also known as exotic geometries). The absorption spectrum was evaluated using the CAM-B3LYP functional while geometry optimizations and vibrational frequencies were performed using the PBE functional. All calculations were performed using the triple-ζ valence plus polarization basis set def2-TZVP. The optical spectra revealed strong geometry-dependent modulation of absorption, with red-shifted and broadened UV–Vis features emerging in elongated and low-symmetry geometries. IR analysis indicates a growing number and intensity of vibrational modes with increasing dimensionality, particularly in the 300–470 cm−1 range, which corresponds to Al–N stretching and bending vibrations. Testing different exchange–correlation functionals showed that CAM-B3LYP is a good choice for excited-state calculations, matching well with the EOM-CCSD functional, which, while offering higher precision, imposes significantly higher computational requirements. Overall, the results demonstrate that structural variation in AlxNx NPs leads to tunable optoelectronic and spectroscopic behavior. These findings and calculations highlight the potential of AlN-based nanomaterials for applications in ultraviolet photonics, sensors, and future nanoscale optoelectronic devices. Full article
(This article belongs to the Section Inorganic Crystalline Materials)
Show Figures

Figure 1

23 pages, 2625 KB  
Article
Quality of Wild Passion Fruit at Different Ripening Stages Under Irrigated and Rainfed Cultivation Systems
by Giuliana Naiara Barros Sales, Marília Hortência Batista Silva Rodrigues, Toshik Iarley da Silva, Rodolfo Rodrigo de Almeida Lacerda, Brencarla Lima Medeiros, Larissa Felix Macedo, Thiago Jardelino Dias, Walter Esfrain Pereira, Fabio Gelape Faleiro, Ivislanne de Sousa Queiroga Lacerda and Franciscleudo Bezerra da Costa
Plants 2025, 14(14), 2147; https://doi.org/10.3390/plants14142147 - 11 Jul 2025
Viewed by 1943
Abstract
Passiflora cincinnata (Mast), native to the Brazilian semi-arid region, produces exotic fruits even under low water availability. However, its green coloration at ripening complicates optimal harvesting, impacting post-harvest fruit quality. Therefore, this study aimed to evaluate the influence of cultivation systems (irrigated and [...] Read more.
Passiflora cincinnata (Mast), native to the Brazilian semi-arid region, produces exotic fruits even under low water availability. However, its green coloration at ripening complicates optimal harvesting, impacting post-harvest fruit quality. Therefore, this study aimed to evaluate the influence of cultivation systems (irrigated and rainfed) and different ripening stages on the physical and post-harvest characteristics of wild passion fruit during the second production cycle. The experiment was conducted using a randomized block design in a 2 × 4 factorial scheme, corresponding to two cultivation systems (irrigated and rainfed) and four fruit ripening stages (60, 80, 100, and 120 days after anthesis—DAA), with five replications. The fruit pulps were analyzed for physicochemical characterization and bioactive compounds. The physical and chemical characteristics of wild passion fruit were influenced by ripening stages and the irrigation system. The rainfed system decreased the total fruit mass by 15.50% compared to the irrigated cultivation. Additionally, the rainfed cultivation reduced the fruit color index by 14.82% and altered the respiratory pattern, causing a linear decrease of 73.37% in the respiration rate during ripening, in contrast to the behavior observed in the irrigated system, which reached an estimated minimum rate of 33.74 mg CO2 kg−1 h−1 at 110 days after anthesis. Full article
Show Figures

Figure 1

17 pages, 3986 KB  
Article
Geo-Identity of the Most Exploited Underground Obsidian Deposit in Mesoamerica: Cartography, Petrography, and Geochemistry of the Sierra de las Navajas, Hidalgo, Mexico
by Gerardo Alonso López-Velarde, Jesús Roberto Vidal-Solano and Alejandro Pastrana
Minerals 2025, 15(6), 629; https://doi.org/10.3390/min15060629 - 10 Jun 2025
Viewed by 1715
Abstract
The Sierra de las Navajas is a Late Pliocene volcanic complex with a rhyolitic composition and peralkaline affinity. It is located on the northeastern edge of the Trans-Mexican Volcanic Belt in the state of Hidalgo. Within this rocky massif lies Cerro de las [...] Read more.
The Sierra de las Navajas is a Late Pliocene volcanic complex with a rhyolitic composition and peralkaline affinity. It is located on the northeastern edge of the Trans-Mexican Volcanic Belt in the state of Hidalgo. Within this rocky massif lies Cerro de las Navajas, the site of the most intensively exploited archaeological obsidian deposit in Mesoamerica. Obsidian extraction in this area has been carried out through open-pit mining and unique underground mining. The geological identity of the deposit encompasses the origin, distribution, and petrological characteristics of the obsidian from Cerro de las Navajas, determined through detailed geological mapping, petrographic study, and geochemical analysis. The results reveal the obsidian deposit’s style as well as its temporal and spatial position within the eruptive evolution of the region. The deposit originated from a local explosive eruptive mechanism associated with the partial collapse of a lava dome, forming a Block and Ash Flow Deposit (BAFD). The obsidian blocks, exploited by different cultures, correspond to the pyroclastic blocks within this deposit, which can reach up to 1 m in diameter and are embedded in a weakly consolidated ash matrix. The BAFD was later buried by (a) subsequent volcanic events, (b) structural adjustments of the volcanic edifice, and (c) soils derived from the erosion of other volcanic units. This obsidian deposit was mined underground from the Early Formative period to the Colonial era by the cultures of the Central Highlands and colonized societies. Interest in the vitreous quality and exotic nature of obsidian lithics from the BAFD led to the development of a complex exploitation system, which was generationally refined by the Teotihuacan, Toltec, and Aztec states. Full article
Show Figures

Figure 1

12 pages, 2614 KB  
Article
The Effect of Tree Spacing on the Growth and Biomass of Wattle Trees in Northwestern Ethiopia
by Saifu Amanuel, Qijing Liu, Andualem Genetu and Anteneh Yenesew
Forests 2025, 16(2), 251; https://doi.org/10.3390/f16020251 - 29 Jan 2025
Cited by 1 | Viewed by 2393
Abstract
The wattle tree (Acacia mearnsii) is gaining importance as an exotic species in northwestern Ethiopia, providing ecological, environmental, and economic benefits, especially for fuelwood and charcoal production. This study aimed to investigate the effect of tree spacing on the growth and [...] Read more.
The wattle tree (Acacia mearnsii) is gaining importance as an exotic species in northwestern Ethiopia, providing ecological, environmental, and economic benefits, especially for fuelwood and charcoal production. This study aimed to investigate the effect of tree spacing on the growth and biomass of wattle trees. The study employed a randomized complete block design with three replications across three spacing treatments (0.5 m × 0.5 m, 1 m × 1 m, and 1.5 m × 1.5 m) in the Fagita district. Tree height and diameter measurements were taken at 12, 18, and 30 months post-planting from stands established in 2021. The results showed significant differences in tree height among the spacing treatments at 18 and 30 months. The closest spacing (0.5 m × 0.5 m) yielded the highest average tree heights of 32.12 cm, 84.86 cm, and 302.98 cm at 12, 18, and 30 months, respectively. At 18 months, the largest average diameter (1.22 cm) was found in the narrowest spacing (0.5 m × 0.5 m), whereas at 30 months, the widest spacing (1.5 m × 1.5 m) recorded the largest diameter (1.51 cm). Throughout the study, height, diameter, and average aboveground biomass exhibited an inverse relationship with spacing, with this effect diminishing as trees aged. Tree spacing significantly impacted average aboveground biomass at 18 months, with the densest spacing (0.5 m × 0.5 m) yielding the highest average aboveground biomass (1.97 kg at 18 months and 2.41 kg at 30 months). Average aboveground biomass increased as the trees matured. These findings suggest that closer spacing of A. mearnsii can enhance biomass production, positioning it as a promising candidate for energy generation. Leveraging these insights can optimize resource utilization while supporting global energy demands and reforestation initiatives aimed at carbon sequestration. Full article
(This article belongs to the Section Forest Ecology and Management)
Show Figures

Figure 1

11 pages, 1804 KB  
Article
Vibrational Spectrum of Magnesium Monochalcogenide Nanoparticles
by Nikos Aravantinos-Zafiris, Fotios I. Michos and Michail M. Sigalas
Nanomaterials 2024, 14(23), 1918; https://doi.org/10.3390/nano14231918 - 28 Nov 2024
Cited by 3 | Viewed by 889
Abstract
In this work, the vibrational spectra of magnesium monochalcogenide nanoparticles were examined numerically. The calculations were performed with Density Functional Theory and the examined magnesium monochalcogenide nanoparticles were formed from an initial cubic-like unit with type Mg4Y4, where [...] Read more.
In this work, the vibrational spectra of magnesium monochalcogenide nanoparticles were examined numerically. The calculations were performed with Density Functional Theory and the examined magnesium monochalcogenide nanoparticles were formed from an initial cubic-like unit with type Mg4Y4, where Y=S,Se,Te, after elongating this unit along one, two, and three vertical directions. Therefore, beyond the initial building block, different groups of magnesium monochalcogenide nanoparticles were examined in the form MgxYx, where x=8,16,24. Especially for the case where the chalcogen part of the nanoparticle was sulfur, another group of nanoparticles was examined where x=32. For this group of the examined nanostructures, an exotic case was also included in the calculations. Among the findings of this research was the existence of stable structures, of the examined morphologies. The calculations of this research led to the identification of both common characteristics and differences among these nanostructures. These characteristics regarding their vibrational modes could be a very useful tool, especially for experimentalists. The relevant phonon spectrum that was extracted from the calculations also provided very useful information regarding the examined nanoparticles and their potential uses in several technological applications. Full article
Show Figures

Figure 1

22 pages, 15680 KB  
Article
Three-Dimensional Subsurface Model of Luk-Ulo Melange Complex, Karangsambung, Indonesia: Insights from Gravity Modeling
by Faridz Nizar Ahmady, Djoko Santoso, Susanti Alawiyah and Asep Saepuloh
Geosciences 2024, 14(11), 297; https://doi.org/10.3390/geosciences14110297 - 5 Nov 2024
Cited by 1 | Viewed by 2981
Abstract
The Luk-Ulo Melange Complex (LMC) is characterized by a chaotic assemblage of mixed rocks with a block-in-matrix fabric. The exposed blocks consist of various scattered rock types, trending in an ENE-WSW direction. In the case of Mt. Parang, the origin of the diabase [...] Read more.
The Luk-Ulo Melange Complex (LMC) is characterized by a chaotic assemblage of mixed rocks with a block-in-matrix fabric. The exposed blocks consist of various scattered rock types, trending in an ENE-WSW direction. In the case of Mt. Parang, the origin of the diabase remains uncertain, with ongoing debate as to whether it is associated with in situ volcanic activity or represents an exotic block within the melange deposit. Subsurface data obtained through geophysical investigation can aid in modeling the geometry of intrusive bodies using inverse modeling techniques. In this study, we conducted a gravity survey and performed 3D inverse modeling to investigate the subsurface beneath Karangsambung. A total of 818 gravity data points and 28 rock density measurements were integrated with existing geological data to construct an a priori 3D geological model. To ensure the results align with geological concepts, the 3D inversion utilized a stochastic approach, allowing for the incorporation of multiple geological constraints over fifty million iterative procedures. Ultimately, the inversion successfully reduced the misfit between observed and calculated data from 2.71 to 0.55 mGal. Based on the inverted 3D model, the diabase rock in Mt. Parang is identified as having an intrusive origin. The intrusion model exhibited minimal changes in density, volume, and shape during the inversion process. Additionally, the model suggests the presence of a solidified magma reservoir at a depth of approximately 3 km, potentially related to Dakah volcanism. The inverted model also reveals the block-in-matrix structure of the Luk-Ulo Melange Complex in the northern area. Full article
(This article belongs to the Section Geophysics)
Show Figures

Figure 1

16 pages, 3142 KB  
Article
BdCV1-Encoded P3 Silencing Suppressor Identification and Its Roles in Botryosphaeria dothidea, Causing Pear Ring Rot Disease
by Shanshan Li, Haodong Zhu, Ying He, Ni Hong, Guoping Wang and Liping Wang
Cells 2023, 12(19), 2386; https://doi.org/10.3390/cells12192386 - 29 Sep 2023
Cited by 3 | Viewed by 2141
Abstract
Pear ring rot disease is an important branch disease, caused by Botryosphaeria dothidea. With the discovery of fungal viruses, the use of their attenuated properties for biological control provides a new strategy for the biological control of fungal disease. RNA silencing is [...] Read more.
Pear ring rot disease is an important branch disease, caused by Botryosphaeria dothidea. With the discovery of fungal viruses, the use of their attenuated properties for biological control provides a new strategy for the biological control of fungal disease. RNA silencing is a major antiviral defense mechanism in plants, insects, and fungi. Viruses encode and utilize RNA silencing suppressors to suppress host defenses. Previous studies revealed that Botryosphaeria dothidea chrysovirus 1 (BdCV1) exhibited weak pathogenicity and could activate host gene silencing by infecting B. dothidea. The aim of our study was to investigate whether BdCV1 can encode a silencing suppressor and what effect it has on the host. In this study, the capability of silencing inhibitory activity of four BdCV1-encoded proteins was analyzed, and the P3 protein was identified as a BdCV1 RNA silencing suppressor in the exotic host Nicotiana benthamiana line 16c. In addition, we demonstrated that P3 could inhibit local silencing, block systemic RNA silencing, and induce the necrosis reaction of tobacco leaves. Furthermore, overexpression of P3 could slow down the growth rate and reduce the pathogenicity of B. dothidea, and to some extent affect the expression level of RNA silencing components and virus-derived siRNAs (vsiRNAs). Combined with transcriptomic analysis, P3 had an effect on the gene expression and biological process of B. dothidea. The obtained results provide new theoretical information for further study of interaction between BdCV1 P3 as a potential silencing suppressor and B. dothidea. Full article
(This article belongs to the Section Plant, Algae and Fungi Cell Biology)
Show Figures

Figure 1

18 pages, 4392 KB  
Article
Optical Properties of ScnYn (Y = N, P As) Nanoparticles
by Fotios I. Michos, Alexandros G. Chronis and Michail M. Sigalas
Nanomaterials 2023, 13(18), 2589; https://doi.org/10.3390/nano13182589 - 19 Sep 2023
Cited by 3 | Viewed by 1499
Abstract
In this work, using Density Functional Theory (DFT) and Time Dependent DFT, the absorption spectrum, the optical gap, and the binding energy of scandium pnictogen family nanoparticles (NPs) are examined. The calculated structures are created from an initial cubic-like building block of the [...] Read more.
In this work, using Density Functional Theory (DFT) and Time Dependent DFT, the absorption spectrum, the optical gap, and the binding energy of scandium pnictogen family nanoparticles (NPs) are examined. The calculated structures are created from an initial cubic-like building block of the form Sc4Y4, where Y = N, P, As after elongation along one and two perpendicular directions. The existence of stable structures over a wide range of morphologies was one of the main findings of this research, and this led to the study of several exotic NPs. The absorption spectrum of all the studied structures is within the visible spectrum, while the optical gap varies between 1.62 and 3 eV. These NPs could be used in the field in photovoltaics (quantum dot sensitized solar cells) and display applications. Full article
Show Figures

Figure 1

18 pages, 1926 KB  
Article
Physio-Chemical and Agronomic-Based Characterization of Synthetic Hexaploid Wheat Germplasm under Field Imposed Conditions of Drought and Heat Stress
by Fahad Alghabari, Zahid Hussain Shah and Hyojin Seo
Agronomy 2023, 13(2), 458; https://doi.org/10.3390/agronomy13020458 - 3 Feb 2023
Cited by 2 | Viewed by 2511
Abstract
Abiotic stresses, such as a drought and heat, are potential constraints limiting wheat production across the globe. This current perspective study intended to characterize the performance of exotic synthetic hexaploid (SH) wheat genotypes on a physiological, biochemical, and agronomic basis under field-based drought [...] Read more.
Abiotic stresses, such as a drought and heat, are potential constraints limiting wheat production across the globe. This current perspective study intended to characterize the performance of exotic synthetic hexaploid (SH) wheat genotypes on a physiological, biochemical, and agronomic basis under field-based drought and heat conditions. The tri-replicate experiments were conducted in two seasons using two-factorial arrangements in a randomized complete block design (RCBD) with stresses as one factor and genotypes as another factor. The recorded data were statistically analyzed using computer-based software statistix8.1 and R-studio. In this study, all the physiological parameters (total chlorophyll, stomatal conductance, photosynthesis rate, transpiration rate, and cell membrane stability percentage), biochemical stress markers (antioxidant enzymes, glycine betaine, and proline), and agronomic traits (flag leaf area, plant height, tillers per plant, spike length, grains per spike, and thousand grain weight) varied significantly under separate and combined regimes of drought and heat stresses. All traits varied in same direction, excluding glycine betaine and proline, which varied in the opposite direction because of stress, as explicated by correlation analysis. Furthermore, PCA and heatmap analysis confirmed that the expression of the traits varied more significantly because of combined regimes of drought and heat stresses as compared to controlled and isolated applications. Interestingly, synthetic hexaploid (SH) genotypes depicted similar responses to individual and integrated regimes of drought and heat stresses. The current study proved that deciphering the physiological, biochemical, and agronomic performance of wheat genotypes under stress can provide effective criteria for the future selection of wheat germplasm for breeding against drought and heat stresses. Full article
Show Figures

Figure 1

15 pages, 2051 KB  
Article
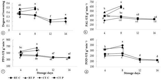
Browning in Relation to Enzymatic Activities and Phytochemical Content in Terap Peel (Artocarpus odoratissimus Blanco) during Postharvest Ripening
by Halifah Afiza Ismail, Isniti Richard, Shiamala Devi Ramaiya, Muta Harah Zakaria and Shiou Yih Lee
Horticulturae 2023, 9(1), 57; https://doi.org/10.3390/horticulturae9010057 - 3 Jan 2023
Cited by 8 | Viewed by 7907
Abstract
Enzymatic browning is a common limiting factor in the fruit industry because it causes significant losses through fresh product deterioration, affecting taste, flavor, and nutrition. Artocarpus odoratissimus, locally known as terap, is an exotic indigenous fruit to Borneo. This fruit remains underutilized [...] Read more.
Enzymatic browning is a common limiting factor in the fruit industry because it causes significant losses through fresh product deterioration, affecting taste, flavor, and nutrition. Artocarpus odoratissimus, locally known as terap, is an exotic indigenous fruit to Borneo. This fruit remains underutilized due to its perishability, short shelf-life, and peel browning. Currently, no information has apparently been published on the browning mechanisms of A. odoratissimus. Thus, the present study aims to evaluate the degree of browning and enzymatic activities in relation to the phytochemical contents in A. odoratissimus during postharvest ripening. The experimental design consists of packaging (without packaging and with packaging) and storage temperatures (ambient at 25 °C, and cold storage at 10 °C), which were arranged in a randomized complete block design. Findings showed significantly higher weight loss in fruit stored at 25 °C on days 4 (T1) at 12.20 ± 0.19% and 8 (T5) at 11.09 ± 0.24%. The degree of browning was higher in the fruits stored with packaging at 25 °C, collected on day 4 at 0.48 ± 0.01 and day 8 at 0.51 ± 0.02, and consequently, the phenylalanine ammonia-lyase (671.00 ± 5.25 UE g−1 min−1) and polyphenol oxidase (670.00 ± 2.56 UE g−1 min−1) enzymatic activities were also higher. The lower enzymatic activities were recorded in the fruit stored at 10 °C without packaging, resulting in the least degree of browning. The fruit with the lowest enzymatic activities was stored at 10 °C without packaging, resulting in the least amount of browning. This trend is supported by lower total phenolic content (TPC) and is explained by a strong positive correlation between TPC and PAL (r = 0.927). Low-temperature storage was effective in reducing the effect of browning and deterioration on A. odoratissimus for up to 16 days. The results not only provided insights into the peel browning in A. odoratissimus but also guidance on controlling postharvest fruit browning. Full article
(This article belongs to the Section Postharvest Biology, Quality, Safety, and Technology)
Show Figures

Figure 1

20 pages, 18687 KB  
Article
Provenance of Ordovician Malieziken Group, Southwest Tarim and Its Implication on the Paleo-Position of Tarim Block in East Gondwana
by Zhe Chang, Zhiqian Gao, Liangliang Zhang, Tailiang Fan, Duan Wei and Jingbin Wang
Minerals 2023, 13(1), 42; https://doi.org/10.3390/min13010042 - 27 Dec 2022
Cited by 3 | Viewed by 2672
Abstract
Tarim is inferred to have a close connection with East Gondwana during the Ordovician, but the position in East Gondwana remains controversial. In this study, we report 316 detrital zircons U-Pb data from three samples of Ordovician Malieziken Group sedimentary rocks, collected in [...] Read more.
Tarim is inferred to have a close connection with East Gondwana during the Ordovician, but the position in East Gondwana remains controversial. In this study, we report 316 detrital zircons U-Pb data from three samples of Ordovician Malieziken Group sedimentary rocks, collected in the Qiate Section, Southwest Tarim, provided new insight into the position of Tarim in East Gondwana. Detrital zircons data indicated the maximum depositional age for the three samples is 489.5 Ma, 478.1 Ma, and 465 Ma, respectively, indicating the Qiate and Kandilike Formation of the Malieziken Group was deposited in Early—Middle Ordovician. The detrital zircons are characterized by two main peaks at ~490 Ma and ~1100 Ma, and three subordinate peaks at ~880 Ma, ~1400 Ma, and ~1650 Ma, suggesting most of the detritus of Malieziken Group from the South Kunlun Terrane (SKT) itself. However, the source of the ~1650 Ma peak is not found in the Tarim block, and the ~1400 Ma and the ~1650 Ma peak are absent in the middle of the three samples, which implied that there is an exotic source. The Paleoproterozoic sediment strata in the Albany–Fraser belt shows dominant peaks at ~1400 Ma and ~1650 Ma may have been transported to SKT and redeposited in the Malieziken Group during the Ordovician. The Malieziken Group shows detrital zircon age patterns resembling those of East Sumatra, Lhasa, and Western Australia which, in combination with the Albany–Fraser belt provenance, enables us to propose that the Tarim block has a close linkage with Western Australia, East Sumatra, and Lhasa in East Gondwana. Full article
(This article belongs to the Special Issue Microbeam Analysis Characterization in Petrogenesis and Ore Deposit)
Show Figures

Figure 1

13 pages, 1007 KB  
Article
On-Farm Multi-Environment Evaluation of Selected Cassava (Manihot esculenta Crantz) Cultivars in South Africa
by Assefa B. Amelework, Michael W. Bairu, Roelene Marx, Lawrence Owoeye, Mark Laing and Sonja L. Venter
Plants 2022, 11(23), 3339; https://doi.org/10.3390/plants11233339 - 1 Dec 2022
Cited by 6 | Viewed by 3223
Abstract
Cassava is an important starchy root crop grown globally in tropical and subtropical regions. The ability of cassava to withstand difficult growing conditions and long-term storability underground makes it a resilient crop, contributing to food and nutrient security. This study was conducted to [...] Read more.
Cassava is an important starchy root crop grown globally in tropical and subtropical regions. The ability of cassava to withstand difficult growing conditions and long-term storability underground makes it a resilient crop, contributing to food and nutrient security. This study was conducted to evaluate the performance and adaptability of exotic cassava cultivars across different environments in South Africa and to recommend genotypes for cultivation. A total of 11 cassava cultivars were evaluated at six on-farm sites, using a randomized complete block design with three replications. There were highly significant (p < 0.001) variations between genotypes, environments, and their interaction for all yield and yield-related traits studied. This indicates the need to test the genotypes in multiple environments before effective selection and commercialization can be undertaken. MSAF2 and UKF4 showed the overall best performances for most of the traits, whilst UKF9 (49.5%) and P1/19 (48.5%) had the highest dry matter yield. UKF4 (102.7 t ha−1) had the highest yield and greatest root yield stability across environments. MSAF2 did not perform consistently across environments because it was highly susceptible to cassava mosaic disease (CMD). MSAF2 could be used as a donor parent to generate novel clones with large numbers of marketable roots, and high fresh root yields, if the other parent can provide effective resistance to CMD. Based on genotype and environmental mean, Mabuyeni (KwaZulu-Natal), Mandlakazi (Limpopo), and Shatale (Mpumalanga) were found to be better environments for cassava cultivation and testing. This study is a pioneer in cassava research using multiple environments in South Africa. It provides baseline information on the performance of currently available cassava clones, their adaptation to multiple sites, the identification of suitable test sites, and information on current genetic resources for a future breeding program. Full article
Show Figures

Figure 1

10 pages, 676 KB  
Article
An Observational Survey Study on the Use of Locoregional Anaesthesia in Non-Conventional Species: Current Practice and Potential Future Developments
by Nuria Quesada, Dario d’Ovidio, Matt Read, Paolo Monticelli and Chiara Adami
Animals 2022, 12(11), 1448; https://doi.org/10.3390/ani12111448 - 3 Jun 2022
Cited by 4 | Viewed by 2907
Abstract
The objectives of this study were to investigate the current attitudes of veterinarians towards the use of locoregional anaesthesia in non-conventional animal species and to identify areas for future useful research on this topic. A questionnaire was circulated online. A total of 417 [...] Read more.
The objectives of this study were to investigate the current attitudes of veterinarians towards the use of locoregional anaesthesia in non-conventional animal species and to identify areas for future useful research on this topic. A questionnaire was circulated online. A total of 417 veterinarians, including American and European specialists/specialists-in-training in both zoological medicine and anaesthesia/analgesia (ACZM/ECZM and ACVAA/ECVAA), participated in the study. Fifty-nine percent of respondents performed locoregional anaesthesia in rabbits, with intratesticular injections and local infiltration being the most commonly-reported techniques. ACZM/ECZM specialists reportedly performed dental blocks in rabbits more frequently than ACVAA/ECVAA specialists (p = 0.030). Forty percent of respondents performed locoregional anaesthesia in rodents, with intratesticular injections, topical/splash blocks and local infiltration being the most commonly reported techniques. The proportions of respondents who reportedly used locoregional anaesthesia in ferrets, birds and reptiles were 37.9%, 34.5% and 31.2%, respectively. The use of Tuohy (p < 0.001) and spinal needles (p < 0.001), as well as of ultrasonography (p = 0.009) and nerve-stimulators (p < 0.001), was more common among ACVAA/ECVAA compared to ACZM/ECZM specialists. Major topic areas for future research were identified as dental block techniques for rabbits and rodents and blocks for the wings of birds. Full article
(This article belongs to the Special Issue Loco-Regional Anaesthesia in Veterinary Medicine)
Show Figures

Figure 1

Back to TopTop