Sign in to use this feature.

Years

Between: -

Subjects

remove_circle_outline
remove_circle_outline
remove_circle_outline
remove_circle_outline
remove_circle_outline
remove_circle_outline
remove_circle_outline
remove_circle_outline
remove_circle_outline

Journals

remove_circle_outline
remove_circle_outline
remove_circle_outline
remove_circle_outline
remove_circle_outline
remove_circle_outline
remove_circle_outline
remove_circle_outline
remove_circle_outline
remove_circle_outline
remove_circle_outline
remove_circle_outline
remove_circle_outline
remove_circle_outline
remove_circle_outline
remove_circle_outline
remove_circle_outline
remove_circle_outline
remove_circle_outline
remove_circle_outline
remove_circle_outline
remove_circle_outline
remove_circle_outline
remove_circle_outline
remove_circle_outline
remove_circle_outline

Article Types

Countries / Regions

remove_circle_outline
remove_circle_outline
remove_circle_outline
remove_circle_outline
remove_circle_outline
remove_circle_outline
remove_circle_outline
remove_circle_outline

Search Results (4,527)

Search Parameters:
Keywords = energy systems engineering

Order results
Result details
Results per page
Select all
Export citation of selected articles as:
29 pages, 14082 KB  
Article
Classification of Flow Pathways for Waterflooding Operations in a Hydrocarbon Reservoir in Terms of Displacement Constraints and Incremental Oil Recovery
by Lianhe Wang, Guangfeng Liu, Zhan Meng, Xiaoming Chen, Zhoujun Luo and Daoyong Yang
Energies 2026, 19(1), 1; https://doi.org/10.3390/en19010001 - 19 Dec 2025
Abstract
A robust and pragmatical technique was developed to classify flow pathways during long-term waterflooding operations in a hydrocarbon reservoir. More specifically, pore structure analysis, wettability tests, relative permeability tests, and long-term waterflooding experiments were conducted and integrated. Then, effects of pore-throat structures, displacement [...] Read more.
A robust and pragmatical technique was developed to classify flow pathways during long-term waterflooding operations in a hydrocarbon reservoir. More specifically, pore structure analysis, wettability tests, relative permeability tests, and long-term waterflooding experiments were conducted and integrated. Then, effects of pore-throat structures, displacement rates, crude oil viscosities, and wettability on the oil displacement efficiency across different flow pathways were systematically investigated and clarified, allowing us to classify flow pathways into the primary and secondary ones. For the former, pore-throat structure significantly affects the efficiency of displacement: for mouth-bar microfacies, cores with larger pore-throat radii and lower fractal dimensions exhibit superior displacement performance, whereas, for point-bar microfacies, it exhibits greater sensitivity to variations in injection parameters. Increasing the injection rate from 0.2 mL/min to 0.5 mL/min can lead to a 7.31% improvement in oil recovery. Also, high-viscosity crude oil leads to an overall decline in displacement efficiency, with a more pronounced reduction observed in the point-bar microfacies, suggesting that complex pore-throat structures are more sensitive to viscous resistance. For the latter, wettability shows its dominant impact with an increase in oil recovery to 7.12% if the wettability index is increased from 0.17 to 0.21 in the point-bar microfacies. Full article
(This article belongs to the Section H1: Petroleum Engineering)
Show Figures

Figure 1

15 pages, 1976 KB  
Review
CRISPR-Cas Technology Turns Chlamydomonas reinhardtii into a Flagship for Algal Biotechnology
by Amina Antonacci, Annalisa Masi, Vincenzo Vedi, Sara Colella, Federica Musella, Gabriella Fiorentino and Viviana Scognamiglio
Mar. Drugs 2026, 24(1), 1; https://doi.org/10.3390/md24010001 - 19 Dec 2025
Abstract
Microalgae represent some of the most promising eukaryotic platforms in biotechnology due to their rapid growth, simple cultivation requirements, reliance on sunlight as a primary energy source, and ability to synthesize high-value bioactive compounds. These characteristics have made microalgae attractive candidates in various [...] Read more.
Microalgae represent some of the most promising eukaryotic platforms in biotechnology due to their rapid growth, simple cultivation requirements, reliance on sunlight as a primary energy source, and ability to synthesize high-value bioactive compounds. These characteristics have made microalgae attractive candidates in various fields, including biofuel production, carbon capture, and pharmaceutical development. However, several technical limitations have limited their large-scale use as sustainable biofactories. A paradigm shift is currently occurring thanks to the genetic manipulation of microalgae, driven by CRISPR-Cas technology. Significant progress has been made in the model species Chlamydomonas reinhardtii, particularly in the targeted and efficient insertion of foreign DNA. Despite this progress, key challenges remain, and further optimization of CRISPR-Cas methodologies is needed to fully unleash the genetic potential of this organism. This review provides an overview of the convergence of CRISPR-Cas technologies in microalgae research, highlighting their impact on genetic studies, metabolic engineering, and industrial applications. It summarizes recent advances in microalgal genome editing through CRISPR systems, outlines current technical challenges, and highlights future directions for improving the implementation of this innovative technology in microalgal biotechnology. Full article
(This article belongs to the Special Issue Algal Cultivation for Obtaining High-Value Products, 2nd Edition)
Show Figures

Graphical abstract

16 pages, 3906 KB  
Article
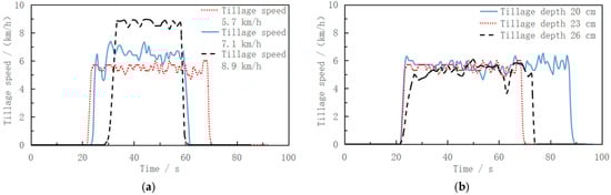
Energy Consumption Assessment of a Tractor Pulling a Five-Share Plow During the Tillage Process
by Jiapeng Wu, Juncheng Hu, Siyuan Chen, Daqing Zhang, Chaoran Sun and Qijun Tang
Agriculture 2025, 15(24), 2619; https://doi.org/10.3390/agriculture15242619 - 18 Dec 2025
Abstract
Reducing the fuel consumption of tractors has consistently been a critical challenge that the agricultural machinery industry must address. To investigate the energy consumption during the plowing process of tractors and enhance their economic efficiency, this study conducted comparative experiments under varying plowing [...] Read more.
Reducing the fuel consumption of tractors has consistently been a critical challenge that the agricultural machinery industry must address. To investigate the energy consumption during the plowing process of tractors and enhance their economic efficiency, this study conducted comparative experiments under varying plowing speeds and depths. In this experiment, the CAN bus protocol was utilized for the collection of engine operational data, such as rotational speed and fuel flow. A GPS positioning system was adopted to measure the plowing speed of the tractor and combined with the data from the tractor coasting test, and then the energy consumption for operating the plow was determined. In addition, a tension sensor was installed on the three-point hitch to measure the horizontal pull force exerted by the five-share plow during plowing, thereby facilitating the calculation of the energy consumption of agricultural machinery. The findings indicate that when the tractor’s plowing speed is maintained at 5.7 km/h, both the average fuel consumption and the fuel consumption per unit area increase as the plowing depth increases. If the plowing depth is fixed at 23 cm, the average fuel consumption rises with an increase in plowing speed, whereas the fuel consumption per unit area decreases. The experimental data show that during the actual tillage operation of the tractor, the brake thermal efficiency of diesel engines ranges from 21.76% to 28.57%. The energy consumed by agricultural implements accounts for only 11.79% to 17.04% of the total fuel energy. The energy consumed in operating the tractor-drawn plow accounts for merely 7.87% to 13.66% of the diesel engine output energy. Approximately 23.24% to 38.69% of the effective power of the diesel engine is lost during the transmission process. This study provides valuable insights for optimizing the performance of tractors during operation. Full article
(This article belongs to the Section Agricultural Technology)
Show Figures

Figure 1

24 pages, 1503 KB  
Review
Progress in Charge Transfer in 2D Metal Halide Perovskite Heterojunctions: A Review
by Chenjing Quan, Jiahe Yan, Xiaofeng Liu, Qing Lin, Beibei Xu and Jianrong Qiu
Materials 2025, 18(24), 5690; https://doi.org/10.3390/ma18245690 - 18 Dec 2025
Abstract
Metal halide perovskite (MHP)-based heterojunctions have become a forefront area in the research of optoelectronic functional materials due to their unique layered crystal structure, tunable band gaps, and exceptional optoelectronic properties. Recent studies have demonstrated that interface charge transfer is a crucial factor [...] Read more.
Metal halide perovskite (MHP)-based heterojunctions have become a forefront area in the research of optoelectronic functional materials due to their unique layered crystal structure, tunable band gaps, and exceptional optoelectronic properties. Recent studies have demonstrated that interface charge transfer is a crucial factor in determining the optoelectronic performance of the heterojunction devices. By constructing heterojunctions between MHPs and two-dimensional (2D) materials such as graphene, MoS2, and WS2, efficient electron–hole separation and transport can be achieved, significantly extending carrier lifetimes and suppressing non-radiative recombination. This results in enhanced response speed and energy conversion efficiency in photodetectors, photovoltaic devices, and light-emitting devices (LEDs). In these heterojunctions, the thickness of the MHP layer, interface defect density, and band alignment significantly influence carrier dynamics. Furthermore, techniques such as interface engineering, molecular passivation, and band engineering can effectively optimize charge separation efficiency and improve device stability. The integration of multilayer heterojunctions and flexible designs also presents new opportunities for expanding the functionality of high-performance optoelectronic devices. In this review, we systematically summarize the charge transfer mechanisms in MHP-based heterojunctions and highlight recent advances in their optoelectronic applications. Particular emphasis is placed on the influence of interfacial coupling on carrier generation, transport, and recombination dynamics. Furthermore, the ultrafast dynamic behaviors and band-engineering strategies in representative heterojunctions are elaborated, together with key factors and approaches for enhancing charge transfer efficiency. Finally, the potential of MHP heterojunctions for high-performance optoelectronic devices and emerging photonic systems is discussed. This review aims to provide a comprehensive theoretical and experimental reference for future research and to offer new insights into the rational design and application of flexible optoelectronics, photovoltaics, light-emitting devices, and quantum photonic technologies. Full article
(This article belongs to the Section Energy Materials)
21 pages, 9468 KB  
Article
Influence of Nodal Spheres on the Mechanical Behaviour of Auxetic Materials Manufactured with PA12
by Ismael Lamas, Iria Feijoo, Silvia Gómez, Alejandro Pereira, José A. Pérez and M. Consuelo Pérez
Materials 2025, 18(24), 5688; https://doi.org/10.3390/ma18245688 - 18 Dec 2025
Abstract
Auxetic metamaterials, characterised by a negative Poisson’s ratio, offer excellent energy absorption but often present limited compressive strength due to their strut-based architectures. Selective laser sintering (SLS) enables the precise fabrication of these structures, yet enhancing their mechanical performance remains challenging. This research [...] Read more.
Auxetic metamaterials, characterised by a negative Poisson’s ratio, offer excellent energy absorption but often present limited compressive strength due to their strut-based architectures. Selective laser sintering (SLS) enables the precise fabrication of these structures, yet enhancing their mechanical performance remains challenging. This research investigates the influence of nodal spheres on re-entrant dodecahedral unit cells produced in PA12, varying node-to-strut diameter ratios (1:1, 2:1, and 3:1). Compression tests reveal significant increases in stiffness and compressive strength, reaching up to 88.70% for the 3:1 ratio. When normalised by relative density, the 2:1 configuration proves most effective, achieving a 35.33% increase in specific strength and a 19.58% improvement in specific energy absorption. The deformation behaviour indicates a mixed bending–stretching mechanism, with geometry exerting a stronger influence than the base material. Although larger nodal spheres enhance absolute strength, they also increase mass and relative density, which may limit their suitability for weight-sensitive applications. Overall, these findings highlight nodal reinforcement as a promising strategy to enhance the mechanical efficiency of auxetic metamaterials while maintaining their auxetic response. These improvements support applications in aerospace, automotive engineering, personal protection systems, lightweight structural panels, and energy-absorbing components. Full article
(This article belongs to the Special Issue Advanced Materials and Processing Technologies)
Show Figures

Graphical abstract

16 pages, 2368 KB  
Article
Thermo-Chemo-Mechanical Coupling in TGO Growth and Interfacial Stress Evolution of Coated Dual-Pipe System
by Weiao Song, Tianliang Wu, Junxiang Gao, Xiaofeng Guo, Bo Yuan and Kun Lv
Coatings 2025, 15(12), 1498; https://doi.org/10.3390/coatings15121498 - 18 Dec 2025
Abstract
Improving the energy efficiency of advanced ultra-supercritical (USC) power plants by increasing steam operating temperature up to 700 °C can be achieved, at reduced cost, by using novel engineering design concepts, such as coated steam pipe systems manufactured from high temperature materials commonly [...] Read more.
Improving the energy efficiency of advanced ultra-supercritical (USC) power plants by increasing steam operating temperature up to 700 °C can be achieved, at reduced cost, by using novel engineering design concepts, such as coated steam pipe systems manufactured from high temperature materials commonly used in current operational power plants. The durability of thermal barrier coatings (TBC) in advanced USC coal power systems is critically influenced by thermally grown oxide (TGO) evolution and interfacial stress under thermo-chemo-mechanical coupling. This study investigates a novel dual-pipe coating system comprising an inner P91 steel pipe with dual coatings and external cooling, designed to mitigate thermal mismatch stresses while operating at 700 °C. A finite element framework integrating thermo-chemo-mechanical coupling theory is developed to analyze TGO growth kinetics, oxygen diffusion, and interfacial stress evolution. Results reveal significant thermal gradients across the coating, reducing the inner pipe surface temperature to 560 °C under steady-state conditions. Oxygen diffusion and interfacial curvature drive non-uniform TGO thickening, with peak regions exhibiting 23% greater thickness than troughs after 500 h of oxidation. Stress analysis identifies axial stress dominance at top coat/TGO and TGO/bond coat interfaces, increasing from 570 MPa to 850 MPa due to constrained volumetric changes and incompatible growth strains. The parabolic TGO growth kinetics and stress redistribution mechanisms underscore the critical role of thermo-chemo-mechanical interactions in interfacial degradation. These research findings will facilitate the optimization of coating architectures and the enhancement of structural integrity in high-temperature energy systems. Meanwhile, clarifying the stress evolution within the coating can improve the ability to predict failures in USC coal power technology. Full article
(This article belongs to the Section Surface Characterization, Deposition and Modification)
Show Figures

Figure 1

27 pages, 11161 KB  
Article
CFD Simulation of a High Shear Mixer for Industrial AdBlue® Production
by Ludovic F. Ascenção, Isabel S. O. Barbosa, Adélio M. S. Cavadas and Ricardo J. Santos
Mathematics 2025, 13(24), 4027; https://doi.org/10.3390/math13244027 - 18 Dec 2025
Abstract
The increasing global demand for cleaner transportation has intensified the importance of efficient AdBlue® (AUS32) production, a key chemical in selective catalytic reduction (SCR) systems that reduces nitrogen oxides (NOx) emissions from diesel engines. This work presents a computational fluid dynamics (CFD) [...] Read more.
The increasing global demand for cleaner transportation has intensified the importance of efficient AdBlue® (AUS32) production, a key chemical in selective catalytic reduction (SCR) systems that reduces nitrogen oxides (NOx) emissions from diesel engines. This work presents a computational fluid dynamics (CFD) simulation study of the urea–water mixing process within a high shear mixer (HSM), aiming to enhance the sustainability of AdBlue® manufacturing. The model evaluates the hydrodynamic characteristics critical to optimising the dissolution of urea pellets in deionised water, which conventionally requires significant preheating. Experimental validation was conducted by comparing pressure drop simulation results with operational data from an active industrial facility in the United Kingdom. Therefore, this study validates the CFD model against an industrial two-stage Rotor–stator under real operating conditions. The computational framework combines a refined mesh with the k-ω SST turbulent model to resolve flow structures and capture near-wall effects and shear stress transport in complex flow domains. The results reveal opportunities for process optimisation, particularly in reducing thermal energy input without compromising solubility, thus offering a more sustainable pathway for AdBlue® production. The main contribution of this work is to close existing gaps in industrial practice and propose and computationally validate strategies to improve the numerical design of HSM for solid dissolution. Full article
(This article belongs to the Special Issue Computational Fluid Dynamics with Applications)
Show Figures

Figure 1

45 pages, 4439 KB  
Review
Gallium Nitride for Space Photovoltaics: Properties, Synthesis Methods, Device Architectures and Emerging Market Perspectives
by Anna Drabczyk, Paweł Uss, Katarzyna Bucka, Wojciech Bulowski, Patryk Kasza, Paula Mazur, Edyta Boguta, Marta Mazur, Grzegorz Putynkowski and Robert P. Socha
Micromachines 2025, 16(12), 1421; https://doi.org/10.3390/mi16121421 - 18 Dec 2025
Abstract
Gallium nitride (GaN) has emerged as one of the most promising wide-bandgap semiconductors for next-generation space photovoltaics. In contrast to conventional III–V compounds such as GaAs and InP, which are highly efficient under terrestrial conditions but suffer from radiation-induced degradation and thermal instability, [...] Read more.
Gallium nitride (GaN) has emerged as one of the most promising wide-bandgap semiconductors for next-generation space photovoltaics. In contrast to conventional III–V compounds such as GaAs and InP, which are highly efficient under terrestrial conditions but suffer from radiation-induced degradation and thermal instability, GaN offers an exceptional combination of intrinsic material properties ideally suited for harsh orbital environments. Its wide bandgap, high thermal conductivity, and strong chemical stability contribute to superior resistance against high-energy protons, electrons, and atomic oxygen, while minimizing thermal fatigue under repeated cycling between extreme temperatures. Recent progress in epitaxial growth—spanning metal–organic chemical vapor deposition, molecular beam epitaxy, hydride vapor phase epitaxy, and atomic layer deposition—has enabled unprecedented control over film quality, defect densities, and heterointerface sharpness. At the device level, InGaN/GaN heterostructures, multiple quantum wells, and tandem architectures demonstrate outstanding potential for spectrum-tailored solar energy conversion, with modeling studies predicting efficiencies exceeding 40% under AM0 illumination. In this review article, the current state of knowledge on GaN materials and device architectures for space photovoltaics has been summarized, with emphasis placed on recent progress and persisting challenges. Particular focus has been given to defect management, doping strategies, and bandgap engineering approaches, which define the roadmap toward scalable and radiation-hardened GaN-based solar cells. With sustained interdisciplinary advances, GaN is anticipated to complement or even supersede traditional III–V photovoltaics in space, enabling lighter, more durable, and radiation-hard power systems for long-duration missions beyond Earth’s magnetosphere. Full article
(This article belongs to the Special Issue Thin Film Microelectronic Devices and Circuits, 2nd Edition)
Show Figures

Figure 1

26 pages, 4837 KB  
Article
Evaluation of Jute–Glass Ratio Effects on the Mechanical, Thermal, and Morphological Properties of PP Hybrid Composites for Sustainable Automotive Applications
by Tunahan Özyer and Emre Demirci
Polymers 2025, 17(24), 3335; https://doi.org/10.3390/polym17243335 - 17 Dec 2025
Abstract
This study investigates polypropylene (PP)–based biocomposites reinforced with systematically varied jute and glass fiber ratios as sustainable, lightweight alternatives for semi-structural automotive parts. Four formulations (J20/G0, J15/G5, J10/G10, J5/G15) with a constant 20 wt% total fiber were produced by injection molding and characterized [...] Read more.
This study investigates polypropylene (PP)–based biocomposites reinforced with systematically varied jute and glass fiber ratios as sustainable, lightweight alternatives for semi-structural automotive parts. Four formulations (J20/G0, J15/G5, J10/G10, J5/G15) with a constant 20 wt% total fiber were produced by injection molding and characterized through mechanical, thermal, and morphological analyses. Tensile, flexural, and Charpy impact tests showed progressive improvements in strength, stiffness, and energy absorption with increasing glass fiber content, while ductility was maintained or slightly enhanced. SEM revealed a transition from fiber pull-out in jute-rich systems to fiber rupture and stronger matrix adhesion in glass-rich hybrids. Thermal analyses confirmed the benefits of hybridization: heat deflection temperature increased from 75 °C (J20/G0) to 103 °C (J5/G15), and thermogravimetry indicated improved stability and higher char residue. DSC showed negligible changes in crystallization and melting, confirming that fiber partitioning does not significantly affect PP crystallinity. Benchmarking demonstrated mechanical and thermal performance comparable to acrylonitrile–butadiene–styrene (ABS) and acrylonitrile–styrene–acrylate (ASA), widely used in automotive components. Finally, successful molding of a prototype exterior mirror cap from J20/G0 validated industrial processability. These findings highlight jute–glass hybrid PP composites as promising, sustainable alternatives to conventional engineering plastics for automotive engineering applications. Full article
(This article belongs to the Special Issue Advances in Composite Materials: Polymers and Fibers Inclusion)
30 pages, 3933 KB  
Review
Next-Generation Electrically Conductive Polymers: Innovations in Solar and Electrochemical Energy Devices
by Thirukumaran Periyasamy, Shakila Parveen Asrafali and Jaewoong Lee
Polymers 2025, 17(24), 3331; https://doi.org/10.3390/polym17243331 - 17 Dec 2025
Abstract
The emergence of electrically conductive polymeric materials has revolutionized the landscape of sustainable energy technologies, presenting unprecedented opportunities for advancing both photovoltaic conversion systems and electrochemical energy-storage platforms. These remarkable macromolecular materials exhibit distinctive characteristics including adjustable electronic band structures, exceptional mechanical adaptability, [...] Read more.
The emergence of electrically conductive polymeric materials has revolutionized the landscape of sustainable energy technologies, presenting unprecedented opportunities for advancing both photovoltaic conversion systems and electrochemical energy-storage platforms. These remarkable macromolecular materials exhibit distinctive characteristics including adjustable electronic band structures, exceptional mechanical adaptability, solution-phase processability, and cost-effective manufacturing potential. This extensive review provides an in-depth examination of the fundamental principles governing charge carrier mobility in conjugated polymer systems, explores diverse synthetic methodologies for tailoring molecular architectures, and analyzes their transformative applications across multiple energy technology domains. In photovoltaic technologies, electrically conductive polymers have driven major advancements in organic solar cells and photoelectrochemical systems, significantly improving energy conversion efficiency while reducing manufacturing costs. In electrochemical energy storage, their integration into supercapacitors and rechargeable lithium-based batteries has enhanced charge storage capability, accelerated charge–discharge processes, and extended operational lifespan compared with conventional electrode materials. This comprehensive analysis emphasizes emerging developments in hybrid composite architectures that combine conductive polymers with carbon-based nanomaterials, metal oxides, and other functional components to create next-generation flexible, lightweight, and wearable energy systems. By synthesizing fundamental materials chemistry with device engineering perspectives, this review illuminates the transformative potential of electrically conductive polymers in establishing sustainable, efficient, and resilient energy infrastructures for future technological landscapes. Full article
Show Figures

Figure 1

46 pages, 7479 KB  
Review
Performance-Driven Generative Design in Buildings: A Systematic Review
by Yiyang Huang, Zhenhui Zhang, Ping Su, Tingting Li, Yucan Zhang, Xiaoxu He and Huawei Li
Buildings 2025, 15(24), 4556; https://doi.org/10.3390/buildings15244556 - 17 Dec 2025
Abstract
Buildings are under increasing pressure to address decarbonization and climate adaptation, which is pushing design practice from post hoc performance checks to performance-driven generative design (PDGD). This review maps the current state of PDGD in buildings and proposes an engineering-oriented framework that links [...] Read more.
Buildings are under increasing pressure to address decarbonization and climate adaptation, which is pushing design practice from post hoc performance checks to performance-driven generative design (PDGD). This review maps the current state of PDGD in buildings and proposes an engineering-oriented framework that links research methods to deployable workflows. Using a PRISMA-based systematic search, we identify 153 core studies and code them along five dimensions: design objects and scales, objectives and metrics, algorithms and tools, workflows, and data and validation. The corpus shows a strong focus on facades, envelopes, and single-building massing, dominated by energy, daylight and thermal comfort objectives, and a widespread reliance on parametric platforms connected to performance simulation software with multi-objective optimization. From this evidence we extract three typical workflow routes: parametric evolutionary multi-objective optimization, surrogate or Bayesian optimization, and data- or model-driven generation. Persistent weaknesses include fragmented metric conventions, limited cross-case or field validation, and risks to reproducibility. In response, we propose a harmonized objective–metric system, an evidence pyramid for PDGD, and a reproducibility checklist with practical guidance, which together aim to make PDGD workflows more comparable, auditable, and transferable for design practice. Full article
(This article belongs to the Section Construction Management, and Computers & Digitization)
Show Figures

Figure 1

16 pages, 11763 KB  
Article
Prescribed Performance Trajectory Tracking Control for Electro-Hydraulic Servo Pump-Controlled Systems with Input and State Delays
by Gengting Qiu, Yujie Hao, Gexin Chen, Guishan Yan and Yao Chen
Machines 2025, 13(12), 1147; https://doi.org/10.3390/machines13121147 - 17 Dec 2025
Abstract
Electro-hydraulic servo pump-controlled systems have advantages such as energy saving and high integration and are widely applied in aerospace, engineering machinery, and other fields. However, the input and state delays introduced by drive circuit, control period, and oil leakage result in lower dynamic [...] Read more.
Electro-hydraulic servo pump-controlled systems have advantages such as energy saving and high integration and are widely applied in aerospace, engineering machinery, and other fields. However, the input and state delays introduced by drive circuit, control period, and oil leakage result in lower dynamic response speed compared to traditional valve control systems, which restricts the promotion of the system. In this paper, a prescribed performance trajectory tracking control method is proposed to improve the transient and steady-state performance of the system. A performance function is designed to constrain the range of trajectory tracking errors. The constrained space is mapped to an unconstrained space via a homeomorphic transformation, and the control laws are designed by integrating it with the backstepping method. In the final step of the backstepping design, the input and state delays are processed using Lyapunov–Krasovskii functionals. The simulation and experimental results show that under the condition of fixed input delay and state delay, the trajectory tracking errors converge within the preset range, and all states of the system are uniformly bounded. The results demonstrate the effectiveness of the proposed method in this paper. Full article
(This article belongs to the Special Issue Advances in the Control of Electro-Hydraulic Servo Systems)
Show Figures

Figure 1

22 pages, 4698 KB  
Article
Energy-Aware Validation of the PIDA Control in the Hardware-in-the-Loop Environment
by Marcin Jabłoński and Paweł D. Domański
Energies 2025, 18(24), 6582; https://doi.org/10.3390/en18246582 - 17 Dec 2025
Viewed by 39
Abstract
The goal of this work is to compare the effectiveness of the classical PID (Proportional Integral Derivative) controller and its extended PIDA (Proportional Integral Derivative Acceleration) version in the energy-aware context. A control system is applied to the high-order integrating system of three [...] Read more.
The goal of this work is to compare the effectiveness of the classical PID (Proportional Integral Derivative) controller and its extended PIDA (Proportional Integral Derivative Acceleration) version in the energy-aware context. A control system is applied to the high-order integrating system of three cascaded interconnected tanks. A complete process model of a real plant is developed in the MATLAB/Simulink environment, and system identification is carried out using PRBS signals. Hardware-in-the-Loop validation experiments use a real industrial PLC controller. The analysis addresses process variable filtering, the Smith predictor, and compensation for valve nonlinearities. The research focuses not only on control performance but also on the usage of actuators, aiming at energy-aware control. The paper proves that a properly tuned PIDA controller, particularly with a correctly configured acceleration term with appropriate filtering, provides a significant improvement in control quality and disturbance rejection. Such a system allows for the introduction and highlighting of the energy-aware context in industrial control engineering. Energy-aware control allows one not only to use less energy in control but also to lower the actuator’s operating hours, reducing its maintenance costs. Full article
(This article belongs to the Special Issue Digital Modeling, Operation and Control of Sustainable Energy Systems)
Show Figures

Figure 1

23 pages, 783 KB  
Review
Biochar as a Bridge Between Biomass Energy Technologies and Sustainable Agriculture: Opportunities, Challenges, and Future Directions
by Juan F. Saldarriaga and Julián E. López
Sustainability 2025, 17(24), 11285; https://doi.org/10.3390/su172411285 - 16 Dec 2025
Viewed by 136
Abstract
Biochar has gained significant attention as a multifunctional material linking biomass energy technologies with sustainable agriculture, providing combined benefits in soil improvement, waste valorization, and climate mitigation. This review examines biochar within the context of thermochemical conversion processes—pyrolysis, gasification, and torrefaction—and summarizes the [...] Read more.
Biochar has gained significant attention as a multifunctional material linking biomass energy technologies with sustainable agriculture, providing combined benefits in soil improvement, waste valorization, and climate mitigation. This review examines biochar within the context of thermochemical conversion processes—pyrolysis, gasification, and torrefaction—and summarizes the operational parameters that influence both energy yields and biochar quality. It synthesizes agronomic, environmental, and engineering research to explain the mechanisms through which biochar enhances soil structure, nutrient retention, water availability, microbial activity, and carbon stability. The review also assesses its role as a long-term carbon sink and its potential integration into negative-emission systems such as bioenergy with carbon capture and storage (BECCS). However, the way that biomass conversion factors concurrently influence energy performance, biochar physicochemical quality, and its agronomic and climate-mitigation consequences across many environmental contexts is rarely integrated into a unified analytical framework in current evaluations. To close that gap, this review identifies cross-cutting patterns, trade-offs, and uncertainties while methodically integrating the information on the co-behavior of various aspects. Circular economy initiatives, carbon markets, and rural development are mentioned as key potential. On the other hand, economic variability, variable performance across soil types, lack of regulatory harmonization, rivalry for biomass, and logistical limits are big hurdles. Standardized production techniques, long-term field research, life cycle and techno-economic evaluations, and integrated system design are among the top research priorities. Overall, the evidence suggests that biochar is a promising tool for creating resilient and low-carbon agriculture and energy systems, provided that scientific, technological, and governance advancements are coordinated. Full article
Show Figures

Figure 1

33 pages, 2339 KB  
Article
Transitioning to Hydrogen Trucks in Small Economies: Policy, Infrastructure, and Innovation Dynamics
by Aleksandrs Kotlars, Justina Hudenko, Inguna Jurgelane-Kaldava, Jelena Stankevičienė, Maris Gailis, Igors Kukjans and Agnese Batenko
Sustainability 2025, 17(24), 11272; https://doi.org/10.3390/su172411272 - 16 Dec 2025
Viewed by 73
Abstract
Decarbonizing heavy-duty freight transport is essential for achieving climate neutrality targets. Although internal combustion engine (ICE) trucks currently dominate logistics, they contribute substantially to greenhouse gas emissions. Zero-emission alternatives, such as battery electric vehicles (BEVs) and hydrogen fuel cell vehicles (H2), provide different [...] Read more.
Decarbonizing heavy-duty freight transport is essential for achieving climate neutrality targets. Although internal combustion engine (ICE) trucks currently dominate logistics, they contribute substantially to greenhouse gas emissions. Zero-emission alternatives, such as battery electric vehicles (BEVs) and hydrogen fuel cell vehicles (H2), provide different decarbonization pathways; however, their relative roles remain contested, particularly in small economies. While BEVs benefit from technological maturity and declining costs, hydrogen offers advantages for high-payload, long-haul operations, especially within energy-intensive cold supply chains. The aim of this paper is to examine the gradual transition from ICE trucks to hydrogen-powered vehicles with a specific focus on cold-chain logistics, where reliability and energy intensity are critical. The hypothesis is that applying a system dynamics forecasting approach, incorporating investment costs, infrastructure coverage, government support, and technological progress, can more effectively guide transition planning than traditional linear methods. To address this, the study develops a system dynamics economic model tailored to the structural characteristics of a small economy, using a European case context. Small markets face distinct constraints: limited fleet sizes reduce economies of scale, infrastructure deployment is disproportionately costly, and fiscal capacity to support subsidies is restricted. These conditions increase the risk of technology lock-in and emphasize the need for coordinated, adaptive policy design. The model integrates acquisition and maintenance costs, fuel consumption, infrastructure rollout, subsidy schemes, industrial hydrogen demand, and technology learning rates. It incorporates subsystems for fleet renewal, hydrogen refueling network expansion, operating costs, industrial demand linkages, and attractiveness functions weighted by operator decision preferences. Reinforcing and balancing feedback loops capture the dynamic interactions between fleet adoption and infrastructure availability. Inputs combine fixed baseline parameters with variable policy levers such as subsidies, elasticity values, and hydrogen cost reduction rates. Results indicate that BEVs are structurally more favorable in small economies due to lower entry costs and simpler infrastructure requirements. Hydrogen adoption becomes viable only under scenarios with strong, sustained subsidies, accelerated station deployment, and sufficient cross-sectoral demand. Under favorable conditions, hydrogen can approach cost and attractiveness parity with BEVs. Overall, market forces alone are insufficient to ensure a balanced zero-emission transition in small markets; proactive and continuous government intervention is required for hydrogen to complement rather than remain secondary to BEV uptake. The novelty of this study lies in the development of a system dynamics model specifically designed for small-economy conditions, integrating industrial hydrogen demand, policy elasticity, and infrastructure coverage limitations, factors largely absent from the existing literature. Unlike models focused on large markets or single-sector applications, this approach captures cross-sector synergies, small-scale cost dynamics, and subsidy-driven points, offering a more realistic framework for hydrogen truck deployment in small-country environments. The model highlights key leverage points for policymakers and provides a transferable tool for guiding freight decarbonization strategies in comparable small-market contexts. Full article
Show Figures

Figure 1

Back to TopTop