Sign in to use this feature.

Years

Between: -

Subjects

remove_circle_outline
remove_circle_outline
remove_circle_outline
remove_circle_outline
remove_circle_outline
remove_circle_outline
remove_circle_outline
remove_circle_outline
remove_circle_outline

Journals

remove_circle_outline
remove_circle_outline
remove_circle_outline
remove_circle_outline
remove_circle_outline
remove_circle_outline
remove_circle_outline
remove_circle_outline
remove_circle_outline

Article Types

Countries / Regions

remove_circle_outline
remove_circle_outline
remove_circle_outline
remove_circle_outline
remove_circle_outline

Search Results (529)

Search Parameters:
Keywords = emulsion generator

Order results
Result details
Results per page
Select all
Export citation of selected articles as:
20 pages, 1351 KB  
Article
Modeling the Gradual Evaporation of the Aqueous Phase from Highly Stable Water–Hydrocarbon Emulsions in a Batch Reactor for Thermomechanical Dehydration: A Comparison of Average and Extreme Vapor Formation Rates
by Aliya Gabdelfayazovna Safiulina and Ismagil Shakirovich Khusnutdinov
Processes 2026, 14(8), 1308; https://doi.org/10.3390/pr14081308 - 20 Apr 2026
Viewed by 244
Abstract
In various sectors of the petrochemical and metallurgical industries, significant volumes of waste in the form of highly stable water–hydrocarbon emulsions are generated and stored. The presence of an aqueous phase limits their further use. To utilize this waste and obtain valuable commercial [...] Read more.
In various sectors of the petrochemical and metallurgical industries, significant volumes of waste in the form of highly stable water–hydrocarbon emulsions are generated and stored. The presence of an aqueous phase limits their further use. To utilize this waste and obtain valuable commercial products, a thermomechanical dewatering method based on the evaporation of the aqueous phase under turbulent emulsion flow conditions has been proposed and tested. However, the dynamics of aqueous phase evaporation and vapor phase formation within this method remain poorly understood. This understanding is crucial, as it directly influences the optimal selection of necessary auxiliary equipment. To address this gap, the dynamics of vapor formation during the boiling off of the aqueous phase from highly stable water–hydrocarbon emulsions in a batch thermomechanical dewatering reactor were simulated. To identify general patterns, the gradual evaporation process was calculated as a set of multiple single-effect evaporation steps with a two-degree increment. Initially, modeling results showed that to obtain a commercial product with a water content of less than 1%, temperatures must be maintained at up to 150 °C. This finding was in complete agreement with experimental data, thereby confirming the accuracy of the calculations. Subsequently, extreme vaporization rates were identified, which significantly (1.7–9 times) exceeded the average vapor formation rates in a batch reactor. Maximum vapor formation rates were observed in the temperature range of 100–120 °C. Furthermore, increasing the feedstock water content above 10% was found to significantly prolong the processing time and elevate the maximum vapor formation rate. The patterns presented in this article facilitate the optimization of operating modes for commercial thermomechanical dewatering units, enable the informed selection of necessary auxiliary equipment, and help maintain both the safety and efficiency of the industrial process. Full article
Show Figures

Figure 1

32 pages, 6305 KB  
Review
A Review of Nanomaterials in Heavy-Oil Viscosity Reduction: The Transition from Thermal Recovery to Cold Recovery
by Zhen Tao, Borui Ji, Bauyrzhan Sarsenbekuly, Wanli Kang, Hongbin Yang, Wenwei Wu, Yuqin Tian, Sarsenbek Turtabayev, Jamilyam Ismailova and Ayazhan Beisenbayeva
Nanomaterials 2026, 16(8), 452; https://doi.org/10.3390/nano16080452 - 10 Apr 2026
Viewed by 451
Abstract
Heavy oil and extra-heavy oil represent mobility-limited petroleum resources because supramolecular associations of asphaltenes and resins, together with strong interfacial resistance, generate extremely high apparent viscosity. In recent years, nanotechnology has emerged as a promising approach for viscosity management and enhanced oil recovery [...] Read more.
Heavy oil and extra-heavy oil represent mobility-limited petroleum resources because supramolecular associations of asphaltenes and resins, together with strong interfacial resistance, generate extremely high apparent viscosity. In recent years, nanotechnology has emerged as a promising approach for viscosity management and enhanced oil recovery (EOR). This review critically examines recent advances in nano-assisted viscosity reduction from a reservoir-operational perspective and organizes the literature into two field-relevant categories: metal-based and non-metal nano-systems. Metal-based nanoparticles (NPs) mainly promote catalytic aquathermolysis and related bond-cleavage and hydrogen-transfer reactions under hydrothermal conditions, enabling partial upgrading and persistent viscosity reduction during thermal recovery. In contrast, non-metal nano-systems—particularly silica- and graphene-oxide-derived materials—primarily operate through interfacial and structural regulation mechanisms at low or moderate temperatures. These effects include wettability alteration, interfacial-film stabilization, modification of asphaltene aggregation behavior, and the formation of dispersed-flow regimes such as Pickering-type emulsions that reduce apparent flow resistance in multiphase systems. Beyond summarizing nanomaterial types, this review emphasizes reservoir-scale considerations governing field applicability, including brine stability, NPs transport and retention in porous media, and formulation compatibility. Comparative analysis highlights the distinct operational windows of thermal catalytic nano-systems and cold-production nano-systems, providing a reservoir-oriented framework for designing nano-assisted viscosity-reduction technologies. Full article
(This article belongs to the Section Energy and Catalysis)
Show Figures

Figure 1

28 pages, 5037 KB  
Article
Sustained Delivery of Paliperidone Palmitate via Encapsulation in Bio-Based NIPU Nanoparticles
by Maria Angeliki Ntrivala, Evangelia Balla, Ermis P. Christodoulou, Margaritis Kostoglou, Panagiotis Klonos, Apostolos Kyritsis and Dimitrios N. Bikiaris
Polymers 2026, 18(8), 920; https://doi.org/10.3390/polym18080920 - 9 Apr 2026
Viewed by 331
Abstract
In this study, Paliperidone Palmitate (PP), a second-generation antipsychotic, commonly used for the treatment of schizophrenia, was encapsulated in bio-based non-isocyanate polyurethane (NIPU) nanoemulsions. NIPU was synthesized via an isocyanate-free polyaddition route, addressing safety and environmental concerns associated with conventional polyurethanes. The drug-loaded [...] Read more.
In this study, Paliperidone Palmitate (PP), a second-generation antipsychotic, commonly used for the treatment of schizophrenia, was encapsulated in bio-based non-isocyanate polyurethane (NIPU) nanoemulsions. NIPU was synthesized via an isocyanate-free polyaddition route, addressing safety and environmental concerns associated with conventional polyurethanes. The drug-loaded nanoparticles were produced utilizing oil-in-water (O/W) emulsions followed by solvent evaporation and lyophilization. NIPU concentrations of 0.3% and 0.5% w/v, as well as 0.5% w/v PVA were employed, while PP was incorporated at 0.2%, 0.5% and 1% w/v. The formulations were characterized by FTIR, DSC and XRD analyses, and the mechanical strength of neat sponges was evaluated. The nanoparticle formation and size were assessed by DLS and SEM analyses. The water contact angle, porosity measurements and aquatic and enzymatic hydrolysis were additionally performed. The resulting nanocarriers exhibited controlled particle size, increased drug-loading values, structural stability and biodegradability. Lastly, the in vitro dissolution studies revealed a system-specific burst release behavior, and a controlled and sustained overall drug-release profile for majority of the formulations, thereby indicating the potential of NIPU nanocarriers for drug delivery applications, particularly where sustained therapeutic effects are required. Full article
(This article belongs to the Special Issue Polymers and Their Role in Drug Delivery, 3rd Edition)
Show Figures

Figure 1

19 pages, 3312 KB  
Article
Impact of Lipid Source on Protein Digestion and Absorption in Skimmed Goat Milk and Associated Intestinal Oxidative Stress Responses in a Caco-2 Cell Model
by Haiyan Xue, Bowei Ding, Baoyuan He, Jun Ma, Yanhui Lian and Wenmin Dong
Foods 2026, 15(7), 1200; https://doi.org/10.3390/foods15071200 - 2 Apr 2026
Viewed by 334
Abstract
Liquid infant formula has garnered increasing attention due to its mild thermal processing and superior retention of bioactive nutrients. Within such matrices, the lipid source is a critical determinant of protein digestion behavior, yet its influence on peptide bioavailability and intestinal homeostasis remains [...] Read more.
Liquid infant formula has garnered increasing attention due to its mild thermal processing and superior retention of bioactive nutrients. Within such matrices, the lipid source is a critical determinant of protein digestion behavior, yet its influence on peptide bioavailability and intestinal homeostasis remains undefined. Given that efficient peptide absorption is vital for the systemic delivery of bioactivity in infants, understanding the lipid–protein synergy is essential for formula optimization. Moreover, excessive oxidative stress is closely associated with impaired intestinal health and developmental disorders in infants, making the regulation of oxidative stress crucial for maintaining intestinal function. The present study evaluated the effects of three distinct lipid sources—soybean oil (SM), bovine milk fat (BM), and goat milk fat (GM)—on the physicochemical stability, proteolytic digestion, peptide release, intestinal absorption, and oxidative stress modulation of goat-milk-based infant formula. An integrated approach combining physicochemical characterization, in vitro simulated infant digestion, and a Caco-2 intestinal epithelial cell model was employed. we demonstrate that all three lipids (3% w/w) formed stable emulsions with uniform spherical structures and mean particle diameters of 117–300 nm, as visualized by laser confocal microscopy. Following in vitro simulation of infant gastrointestinal digestion, the SM group exhibited the most extensive protein hydrolysis, yielding the highest total peptide content (4.28 ± 0.10 mg/mL) and generated the highest number of peptides identified by LC-MS/MS (474 types). Bioinformatic analysis predicted that peptides from all groups possess potential antihypertensive, hypoglycemic, and immunomodulatory activities. The Caco-2 monolayer cell model demonstrated that although the GM group produced fewer identified peptide species than the SM group (365 types), it achieved significantly higher intestinal peptide absorption rate (55.34 ± 1.05%). Furthermore, the GM digests provided superior protection against H2O2-induced oxidative stress in Caco-2 cells, markedly reducing reactive oxygen species levels and suppressing the expression of pro-inflammatory cytokines TNF-α and IL-6. Collectively, these findings reveal that while soybean oil promotes more extensive proteolysis, the use of homologous goat milk lipid enhances peptide bioaccessibility and confers potential cytoprotective effects on intestinal epithelial cells, underscoring its potential as a preferred lipid source in infant formula formulations. Full article
(This article belongs to the Section Nutraceuticals, Functional Foods, and Novel Foods)
Show Figures

Graphical abstract

22 pages, 2159 KB  
Article
Effects of Controlled Atmosphere Conditions on the Quality Characteristics, Physicochemical and Antioxidant Properties of Pork Bone Broth
by Ying Su, Junli Dong, Qian Deng, Long Zhang, Jing Li and Jie Chen
Foods 2026, 15(7), 1188; https://doi.org/10.3390/foods15071188 - 1 Apr 2026
Viewed by 338
Abstract
Controlled atmosphere (CA) is widely employed to preserve perishable foods, yet its potential effects on the quality of thermally processed bone broth remain poorly understood. This work systematically investigated the influences of ventilation time (0, 1, and 3 s), ventilation frequency (30, 60, [...] Read more.
Controlled atmosphere (CA) is widely employed to preserve perishable foods, yet its potential effects on the quality of thermally processed bone broth remain poorly understood. This work systematically investigated the influences of ventilation time (0, 1, and 3 s), ventilation frequency (30, 60, 90, and 110 cycles), and cooking duration (25, 30, 38, and 45 min) on the overall quality of pork bone broth. A single-factor experimental design was adopted with three replications per treatment. Results showed that CA treatment effectively improved the sensory properties of pork bone broth, including color, aroma, and taste. Different CA processing parameters differentially affected the accumulation of diglycerides, proteins, peptides, amino acids and lipid oxidation-related flavor compounds, as well as antioxidant activities and emulsion stability. Specifically, prolonged ventilation promoted the accumulation of diglycerides and medium-sized peptides (1–7 kDa) but concurrently reduced solids, fat content, and ABTS radical scavenging activity, suggesting a trade-off between flavor precursor generation and oxidative stability. Furthermore, most quality indicators initially increased with rising ventilation frequency but subsequently declined at excessive levels, with optimal values attained at moderate frequencies. Notably, CA conditions that enhanced the formation of desirable flavor compounds also increased the accumulation of lipid oxidation byproducts, highlighting a critical balance required for achieving optimal product quality. Ultimately, it was found that a ventilation time of 1 s, a ventilation frequency of 60 cycles per minute, and a cooking duration of 30 min maximized the benefits of controlled atmosphere (CA) processing, thereby achieving optimal sensory properties, flavor profiles and nutritional composition in pork bone broth. This study provides fundamental data to support the development and quality regulation of thermally processed meat broths. Full article
Show Figures

Figure 1

17 pages, 4938 KB  
Article
Oil-Based Phase Change Emulsions Endowed with High Thermal Conductivity and Responsive Rheological Behavior
by Yihua Qian, Qing Wang, Yaohong Zhao and Zhi Li
Materials 2026, 19(7), 1330; https://doi.org/10.3390/ma19071330 - 27 Mar 2026
Viewed by 360
Abstract
To overcome the low thermal conductivity and flow channel clogging inherent in traditional phase change materials (PCMs) for immersion cooling, this study develops a novel oil-based phase change emulsion (PCE) integrating high thermal transport with adaptive rheological behavior. A liquid thermal conductivity enhancer [...] Read more.
To overcome the low thermal conductivity and flow channel clogging inherent in traditional phase change materials (PCMs) for immersion cooling, this study develops a novel oil-based phase change emulsion (PCE) integrating high thermal transport with adaptive rheological behavior. A liquid thermal conductivity enhancer was synthesized by modifying epoxidized soybean oil with LiTFSI and blending it with a synthetic ester to form a dielectric base fluid. A mid-to-low-temperature PCM (Span65) was then incorporated via surfactant-free ultrasonic emulsification. The resulting PCE exhibits a tunable phase-change window (25~40 °C) driven by interfacial confinement effects and a multiscale lamellar network. It achieves significantly enhanced thermal conductivity (15% increase over base oil) while maintaining excellent electrical insulation (<10−9 S/cm). Rheologically, the emulsion transitions from shear-thinning in the solid state to near-Newtonian in the liquid state, optimizing both suspension stability and pumping efficiency. This work establishes a strategy for designing high-performance, safe, and energy-efficient dielectric coolants, offering a robust solution for next-generation electronic and battery thermal management systems. Full article
Show Figures

Graphical abstract

20 pages, 5778 KB  
Article
Effects of Chicken Skin Protein Hydrolysate and Bone Protein–Mineral Mass on the Quality of Emulsified Poultry Sausages
by Anuarbek Suychinov, Eleonora Okuskhanova, Zhanibek Yessimbekov, Aitbek Kakimov, Guldana Kapasheva, Baktybala Kabdylzhar and Rasul Turagulov
Foods 2026, 15(6), 1091; https://doi.org/10.3390/foods15061091 - 20 Mar 2026
Viewed by 457
Abstract
The poultry industry generates large amounts of protein- and mineral-rich by-products that remain underutilized. This study investigated the use of chicken skin protein hydrolysate and chicken bone protein–mineral mass (PMM) as functional ingredients in emulsified poultry sausages. The hydrolysate was characterized by a [...] Read more.
The poultry industry generates large amounts of protein- and mineral-rich by-products that remain underutilized. This study investigated the use of chicken skin protein hydrolysate and chicken bone protein–mineral mass (PMM) as functional ingredients in emulsified poultry sausages. The hydrolysate was characterized by a high protein content (52.25%) and high water- and fat-binding capacity (142% and 125%, respectively), while the PMM served as a source of protein and minerals with stable physicochemical and rheological characteristics. These ingredients were incorporated into sausage formulations at different substitution levels. Partial replacement of poultry meat increased protein and mineral content and affected key technological properties, including water-binding capacity, emulsion stability, cooking loss, and shear force. Moderate inclusion levels were associated with a more cohesive protein matrix, lower cooking losses, and improved structural stability, whereas excessive substitution resulted in increased firmness and less favorable sensory characteristics. Among the tested formulations, the combination of 18% PMM and 4% protein hydrolysate showed the most balanced technological and sensory performance. The findings suggest that poultry by-products processed into functional ingredients may have potential for application in value-added sausage formulations. Full article
Show Figures

Figure 1

18 pages, 3179 KB  
Article
Cosmetic Efficacy and Sustainability of Beer and Brewing By-Products in Skin Care: A Formulation-Driven In Vitro and In Vivo Evaluation
by Ela Hoti, Camilla Elena Di Bella, Sabina Hoti, Dolores Vargas Peregrina, Maria Giovanna Sabbieti, Dimitrios Agas, Piera Di Martino, Susi Zara and Maria Rosa Gigliobianco
Cosmetics 2026, 13(2), 63; https://doi.org/10.3390/cosmetics13020063 - 7 Mar 2026
Viewed by 1504
Abstract
The brewing process generates substantial by-products rich in potentially bioactive compounds (e.g., polyphenols and fermentation metabolites), providing a sustainable and appealing source of cosmetic ingredients. Oil-in-water (O/W) emulsions containing 20% (w/w) aqueous extracts from Bionda Triplo Malto beer, wort, [...] Read more.
The brewing process generates substantial by-products rich in potentially bioactive compounds (e.g., polyphenols and fermentation metabolites), providing a sustainable and appealing source of cosmetic ingredients. Oil-in-water (O/W) emulsions containing 20% (w/w) aqueous extracts from Bionda Triplo Malto beer, wort, and key brewing by-products (hops, yeast, and spent grain) were developed and evaluated using a combined in vitroin vivo approach. Aqueous extracts were first screened on human immortalized dermal fibroblasts (BJ-5ta) at 0.25–1 mg/mL for cytocompatibility and antioxidant activity. Within this concentration range, no significant changes in cell viability or intracellular antioxidant capacity under UV stress were detected, suggesting cytocompatibility but limited inherent activity. When incorporated into O/W emulsions and tested at an active-equivalent concentration of 10 mg/mL, the formulations increased fibroblast metabolic activity and antioxidant response. In contrast, free extracts at 10 mg/mL showed concentration-dependent cytotoxicity for some matrices, with beer- and yeast-based emulsions demonstrating the strongest effects. The emulsions exhibited good physicochemical stability (pH ~5.7–6.2; viscosity 4750–5150 mPa·s), passed the ISO 11930:2012 challenge test, and were well tolerated in patch testing. In a double-blind, randomized split-forearm study on 50 healthy volunteers over 30 days, beer, yeast, and spent grain-based formulations improved skin parameters versus baseline. TEWL decreased (e.g., beer: 16.22 ± 5.12 to 10.77 ± 2.22 mg·m−2·h−1; yeast: 16.29 ± 5.66 to 10.18 ± 1.08; spent grain: 14.45 ± 4.34 to 11.66 ± 2.28), hydration increased (beer: 35.15 ± 5.93 to 42.26 ± 3.78; yeast: 33.27 ± 4.87 to 42.92 ± 2.48; spent grain: 34.22 ± 5.19 to 41.16 ± 3.17, and elasticity improved for beer and yeast formulations (62.33 ± 3.27 to 70.24 ± 2.12 N/m) and yeast (61.21 ± 4.72 to 72.13 ± 5.55 N/m). Based on these findings, brewing-derived ingredients demonstrate potential as cosmetic actives, with formulation critically determining their clinical efficacy. Full article
(This article belongs to the Topic Oxidative Stress and Inflammation, 3rd Edition)
Show Figures

Figure 1

18 pages, 726 KB  
Review
Starch Nanoparticles by Sonochemical Protocols: Food Industry, Nutraceutical, and Drug Delivery Applications
by Adriana García-Gurrola, Abraham Wall-Medrano and Alberto A. Escobar-Puentes
Polysaccharides 2026, 7(1), 28; https://doi.org/10.3390/polysaccharides7010028 - 3 Mar 2026
Viewed by 702
Abstract
This review summarizes scientific advances about the sonochemical synthesis of starch nanoparticles (St-NPs) for the food industry, as well as nutraceutical and drug delivery applications. High-intensity ultrasonication (HIU) has been explored as a versatile and environmentally friendly alternative to conventional methods for synthesizing [...] Read more.
This review summarizes scientific advances about the sonochemical synthesis of starch nanoparticles (St-NPs) for the food industry, as well as nutraceutical and drug delivery applications. High-intensity ultrasonication (HIU) has been explored as a versatile and environmentally friendly alternative to conventional methods for synthesizing St-NPs with high yields (>90%), controlled size (~100 nm), and minimal effluent generation. Thus, HIU has been explored (pre- or post-treatment) to mitigate the inherent disadvantages (high-cost, low yields, and environmental impact) of hydrothermal gelatinization, acid/alkaline hydrolysis, enzymatic hydrolysis, enzyme branching, water-in-oil and oil-in-water emulsions, non-solvent nanoprecipitation, extrusion, high-pressure homogenization, high-energy milling, and cold plasma. Conventional sources of starch (corn [normal, waxy, high-amylose] and potato) and other unconventional sources (tubers [cassava, yam, malanga], seeds and grains [sorghum, barley, quinoa, lotus], breadfruit, pinhao seed, Araucaria angustifolia) have been subjected to single or assisted sonochemical protocols to obtain St-NPS with unique structural, physicochemical, and technological properties. The physical–mechanical effects of ultrasonication (cavitation, heat, and pressure) directly promote surface functionalization (i.e., esterification, pore formation) and impact the St-NPS’s particle size, double-helix structure, enzymatic-resistance properties, crystallinity, and intra- and intermolecular arrangements. Pickering additives in food systems, colloids in beverages, nanocomposites in biofilms for food packaging, and nanocarriers for drug and nutraceutical delivery (oral and transdermal) have been the most reported applications. Full article
Show Figures

Figure 1

16 pages, 6126 KB  
Article
Modulating Casein-Stabilized Emulsions Through the Incorporation of Different Emulsifiers: Impacts on Microstructure and Oral Tribology
by Shujun Ji, Ping Liu, Mengya Sun, Mengmeng Xu, Xiaojie Zhang, Qiongyu Wang, Zhihua Pang and Xinqi Liu
Foods 2026, 15(5), 846; https://doi.org/10.3390/foods15050846 - 3 Mar 2026
Viewed by 373
Abstract
This study investigated the combined effects of oil concentration, emulsifier type, and saliva on the lubrication behavior of casein-based oil-in-water emulsions to support the design of milk-based foods with optimized mouthfeel. Emulsions stabilized with Tween 20, whey protein isolate (WPI), or sucrose ester [...] Read more.
This study investigated the combined effects of oil concentration, emulsifier type, and saliva on the lubrication behavior of casein-based oil-in-water emulsions to support the design of milk-based foods with optimized mouthfeel. Emulsions stabilized with Tween 20, whey protein isolate (WPI), or sucrose ester were prepared at oil concentrations ranging from 0.01% to 3%, and their viscosity, microstructure, tribological properties, and ζ-potential were systematically characterized, with human saliva incorporated to simulate oral conditions. Oil concentration did not significantly alter viscosity, although droplet aggregation increased with higher oil levels. Lubrication performance was governed primarily by emulsifier type: Tween 20 generated an oil film at approximately 0.2% oil, WPI exhibited progressively enhanced lubricity with increasing oil concentration, and sucrose ester produced consistently poor lubrication due to its rigid interfacial layers. Saliva addition improved lubrication across all systems and reduced oil precipitation by promoting the formation of smaller, more stable structures. These findings demonstrate that emulsifier selection is central to modulating oil–protein–saliva interactions, with WPI at moderate oil levels yielding favorable lubrication with controlled oil release, thereby providing a mechanistic basis for developing healthier, palatable milk-based foods. Full article
Show Figures

Figure 1

21 pages, 2326 KB  
Article
Immunogenicity and Protective Effects of an Ag85B Tuberculosis Subunit Vaccine Formulated with Synthetic TLR4 Agonists in BCG-Boosted Mice
by Soo-Min Kim, Jin-Seung Yun, EunJung Shin, Jinhee Lee, You-Jin Kim, Hye-Sook Jeong, Yong Woo Jung and Dokeun Kim
Vaccines 2026, 14(3), 214; https://doi.org/10.3390/vaccines14030214 - 26 Feb 2026
Viewed by 767
Abstract
Background/Objectives: Tuberculosis (TB) remains a major global health challenge, and the Bacillus Calmette–Guérin (BCG) vaccine has limited efficacy against adult pulmonary disease. Protein subunit vaccines are a promising alternative but require strong adjuvants to induce cell-mediated immunity. Synthetic agonists targeting toll-like receptor 4 [...] Read more.
Background/Objectives: Tuberculosis (TB) remains a major global health challenge, and the Bacillus Calmette–Guérin (BCG) vaccine has limited efficacy against adult pulmonary disease. Protein subunit vaccines are a promising alternative but require strong adjuvants to induce cell-mediated immunity. Synthetic agonists targeting toll-like receptor 4 (TLR4) and stimulators of interferon genes (STINGs) have emerged as effective immunostimulants. Therefore, we aimed to evaluate the immunogenicity and protective efficacy of Ag85B-based subunit vaccines formulated with synthetic TLR4 and STING agonists in a BCG-boosted mouse model. Methods: Three synthetic adjuvants—QTP709-1, QTP709-3, and QTP701—were formulated as oil-in-water emulsions containing distinct surfactant and immunostimulant components. The potential of vaccine formulations to activate dendritic cells (DCs) and elicit Ag85B-specific immune responses, including IgG subclass levels, interferon-γ (IFN-γ) enzyme-linked immunosorbent spots, and polyfunctional T-cell responses, was assessed by flow cytometry. Protective efficacy was evaluated based on pulmonary bacterial burden and histopathology following Mycobacterium tuberculosis (M. tb) Erdman challenge. Results: All formulations promoted DC maturation and enhanced antigen-specific immune responses. Each adjuvant elicited strong Ag85B-specific humoral immunity, increased IFN-γ secretion, and polyfunctional CD4+ and CD8+ T cells co-producing IFN-γ, TNF-α, and interleukin-2. Among them, QTP709-1 was associated with increased levels of chemokine receptor 5-associated chemokines and showed a trend toward reduced lung bacterial burden and histopathological inflammation following M. tb challenge. Conclusions: Synthetic TLR4 and STING agonists were associated with enhanced immunogenicity of TB subunit vaccines and showed evidence of protective potential, with TLR4-based formulations exhibiting more pronounced immunological responses. QTP709-1 exhibited strong immunostimulatory and protective effects, supporting its potential as a candidate adjuvant for next-generation TB vaccines. Full article
Show Figures

Figure 1

22 pages, 3080 KB  
Article
Modeling the Conditions for Stabilizing Aqueous Phase Evaporation in Highly Stable Water-Hydrocarbon Emulsions Under Mechanical Turbulence to Suppress Unstable Phase Transfer and Reduce Accident Risks
by Aliya Gabdelfayazovna Safiulina and Ismagil Shakirovich Khusnutdinov
Processes 2026, 14(4), 678; https://doi.org/10.3390/pr14040678 - 17 Feb 2026
Cited by 1 | Viewed by 397
Abstract
Vast quantities of liquid hydrocarbon and oil-containing wastes are generated and accumulate annually. Dewatering such sludges presents a significant technological challenge due to the high content of emulsified and chemically bound water. Consequently, the development of integrated approaches, particularly thermomechanical methods, have emerged [...] Read more.
Vast quantities of liquid hydrocarbon and oil-containing wastes are generated and accumulate annually. Dewatering such sludges presents a significant technological challenge due to the high content of emulsified and chemically bound water. Consequently, the development of integrated approaches, particularly thermomechanical methods, have emerged as a promising strategy. These methods aim to disrupt the emulsion stability and enhance water evaporation efficiency. This study provides a theoretical basis for stabilizing the evaporation of the aqueous phase through mechanical agitation within boiling emulsions. A quantitative mathematical model is developed to identify critical conditions that prevent explosive boiling. Under intensive mixing, water globule diameters decrease by 80–85% within the first 5 s, while their settling time exceeds the dispersion time by hundreds of times—effectively inhibiting the accumulation of a critical aqueous-phase mass. Energy analysis reveals that, at a superheat temperature of 110 °C, the maximum permissible droplet diameter is approximately 0.5 mm; at 150 °C, it must not exceed 0.25 mm to avoid explosive boiling. To ensure safe operation, mixer rotational speeds of at least 100–200 rpm are required, with higher speeds (>200 rpm) necessary near 150 °C. The mechanical agitation modes proposed herein enable controlled, non-explosive evaporation of water from complex emulsions. Collectively, these findings lay a theoretical foundation for the industrial-scale deployment of thermomechanical dewatering technologies—offering a safer, more efficient pathway for managing challenging sludge streams. Full article
Show Figures

Figure 1

17 pages, 1028 KB  
Article
Evolution of Pristine Emulsions and Hypothesis Explaining Their Existence
by Andrei Dukhin, Renliang Xu and Darrell Velegol
Int. J. Mol. Sci. 2026, 27(4), 1837; https://doi.org/10.3390/ijms27041837 - 14 Feb 2026
Viewed by 265
Abstract
The term “pristine emulsion” is used for differentiating emulsions that consist of only water and oil with no surfactant from the Pickering emulsions, which are also surfactant-free but stabilized with colloidal particles. We review 22 papers dedicated to such emulsions prepared from a [...] Read more.
The term “pristine emulsion” is used for differentiating emulsions that consist of only water and oil with no surfactant from the Pickering emulsions, which are also surfactant-free but stabilized with colloidal particles. We review 22 papers dedicated to such emulsions prepared from a wide variety of liquids. We studied here the evolution of one such emulsion, hexadecane-in-water at 4% vl, over a long period of time, from days to weeks. We discovered that the droplet size grows with time, with a rate that depends on mixing conditions, which supports a coalescence hypothesis. However, this coalescence is unusual because the size reaches a certain constant value, which contradicts typical coalescence behavior. To explain this peculiarity and such emulsification in general, we employ a theoretical model that was developed for explaining pristine nano-bubble stability. We hypothesize the existence of a layer of structured water molecules at the interface, following Eastoe and Ellis (Adv in Colloid and Interface Sci., 134–135, 89–95, 2007) and others. We point out that the Electric Double Layer exerts a force on the water dipole moments in this layer (dielectrostatic force) that compensates Kelvin’s pressure. The droplet size calculated using this model is close to the measured size. The second factor associated with this layer is the repulsion of the water dipole moments, which we show can compensate for the surface tension tangential to the interface. After ruling out alternative hypotheses with our data, we conclude that the model suggested for explaining the stability of nano-bubbles is also consistent with our results for these “pristine emulsions”. Full article
(This article belongs to the Special Issue Current Research on Colloidal Emulsions: Preparation and Applications)
Show Figures

Figure 1

27 pages, 1703 KB  
Review
Research on Low-Damage CO2 Foam Flooding System: Review and Outlook
by Jierui Liu, Zhen Cui, Shisheng Liang, Xinyuan Zou, Wenli Luo, Wenjuan Wang, Bo Dong and Xiaohu Xue
Molecules 2026, 31(4), 642; https://doi.org/10.3390/molecules31040642 - 12 Feb 2026
Viewed by 520
Abstract
Tight oil reservoirs are widely recognized as a critical successor in global unconventional energy development and are generally characterized by distinct geological features, including fine pore throats, pronounced heterogeneity, and a high concentration of clay minerals (e.g., montmorillonite and mixed-layer illite/smectite). Severe hydration, [...] Read more.
Tight oil reservoirs are widely recognized as a critical successor in global unconventional energy development and are generally characterized by distinct geological features, including fine pore throats, pronounced heterogeneity, and a high concentration of clay minerals (e.g., montmorillonite and mixed-layer illite/smectite). Severe hydration, swelling, and fines migration are readily induced during water injection or conventional water-based fluid operations, thereby resulting in irreversible impairment of reservoir permeability. Despite the excellent injectivity and capacity for viscosity reduction associated with CO2 flooding, sweep efficiency is severely compromised by viscous fingering and gas channeling, which are induced by the inherent low viscosity of the gas. While CO2 foam technology is widely acknowledged as a pivotal solution for addressing mobility control challenges, its implementation is hindered by a primary technical bottleneck: the incompatibility between traditional water-based foam systems and strongly water-sensitive reservoirs. A dual challenge comprising water injectivity constraints and gas channeling is presented by strongly water-sensitive tight oil reservoirs. To address these impediments, three emerging low-damage CO2 foam systems are critically evaluated in this review. First, the synergistic mechanisms of novel quaternary ammonium salts and polymers in inhibiting clay hydration and enhancing foam stability within modified water-based systems are elucidated. Next, the physical isolation strategy of substituting the water phase with a non-aqueous phase (oil/organic solvent) in organic emulsion systems is analyzed, highlighting advantages in wettability alteration and the mitigation of water blocking. Finally, the prospect of waterless operations using CO2-soluble foam systems—wherein supercritical CO2 is utilized as a surfactant carrier to generate foam or viscosify fluids via in situ formation water—is discussed. It is revealed by comparative analysis that: (1) Modified water-based systems are identified as the most economically viable option for reservoirs with moderate water sensitivity, wherein cationic stabilizers are utilized to inhibit hydration; (2) Superior wettability alteration and the elimination of aqueous phase damage are provided by organic emulsion systems, rendering them ideal for ultra-sensitive, high-value reservoirs, despite higher solvent costs; (3) CO2-soluble systems are recognized as the future direction for “waterless” flooding, specifically tailored for ultra-tight formations (<0.1 mD) where injectivity is critical. Current challenges, such as surfactant solubility, high-temperature stability, and cost control, are identified through a comparative analysis of these three systems with respect to structure-activity relationships, rheological properties, damage control capabilities, and economic feasibility. What is more, an outlook is provided on the molecular design of future environmentally sustainable, cost-effective CO2-philic materials and smart injection strategies. Consequently, theoretical foundations and technical support are established for the efficient exploitation of strongly water-sensitive tight oil reservoirs. By bridging the gap between reservoir damage control and mobility enhancement, this study identifies viable strategies for enhanced oil recovery. Crucially, it supports carbon neutrality and sustainable energy targets via CCUS integration. Full article
(This article belongs to the Special Issue Chemistry Applied to Enhanced Oil Recovery)
Show Figures

Figure 1

17 pages, 8272 KB  
Article
Comparative Microencapsulation of Six Vegetable Oils in Gum Arabic Freeze-Dried Systems: Surfactant Effects on Encapsulation Efficiency and Stability
by Elodie Melro, Marta L. Correia, Carolina F. Jesus, Andreia A. S. Alves, Filipe E. Antunes, Margarida Lindo and Daniel Ribeiro
Colloids Interfaces 2026, 10(1), 22; https://doi.org/10.3390/colloids10010022 - 11 Feb 2026
Viewed by 689
Abstract
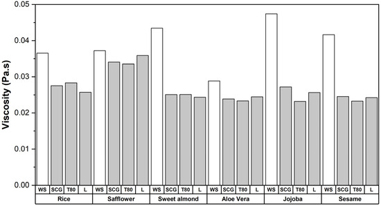
Gum arabic (GA) is a promising polymer for oil microencapsulation due to its emulsifying and film-forming properties and regulatory acceptance. Here we introduce a fully natural, low-energy emulsion–freeze-drying route and a head-to-head screening framework that compares surfactant chemistry and oil identity under identical [...] Read more.
Gum arabic (GA) is a promising polymer for oil microencapsulation due to its emulsifying and film-forming properties and regulatory acceptance. Here we introduce a fully natural, low-energy emulsion–freeze-drying route and a head-to-head screening framework that compares surfactant chemistry and oil identity under identical processing conditions. Rice oil was used as a model to evaluate two oil:GA ratios (1:3 and 1:0.3, solid basis) and three surfactants (Tween 80, sodium cocoyl glutamate (SCG), and lecithin) at 0.1–1%. Emulsions were characterized by Dynamic Light Scattering (DLS) (z-average, PDI), emulsification index, and viscosity, then freeze-dried and evaluated for encapsulation efficiency (EE). High oil load (1:0.3) gave EE = 0% for all conditions, whereas GA-rich emulsions (1:3) enabled encapsulation, with 0.1% surfactant selected as optimal. Using this formulation window, six oils (rice, jojoba, aloe vera, sweet almond, safflower, sesame) were screened, yielding EE values from 0 to 95%. Safflower and sesame showed high EE without surfactant, while rice, sweet almond, aloe vera, and jojoba benefited mainly from SCG or lecithin. Despite producing smaller droplets, Tween 80 generated polydisperse, low-stability emulsions and did not improve EE. Overall, EE is governed by GA–surfactant interfacial cohesion and oil chemistry rather than droplet size alone. Full article
(This article belongs to the Section Interfacial Properties)
Show Figures

Graphical abstract

Back to TopTop