Sign in to use this feature.

Years

Between: -

Subjects

remove_circle_outline
remove_circle_outline
remove_circle_outline
remove_circle_outline
remove_circle_outline
remove_circle_outline
remove_circle_outline

Journals

Article Types

Countries / Regions

remove_circle_outline
remove_circle_outline
remove_circle_outline

Search Results (344)

Search Parameters:
Keywords = embryo-specific gene expression

Order results
Result details
Results per page
Select all
Export citation of selected articles as:
18 pages, 3652 KB  
Article
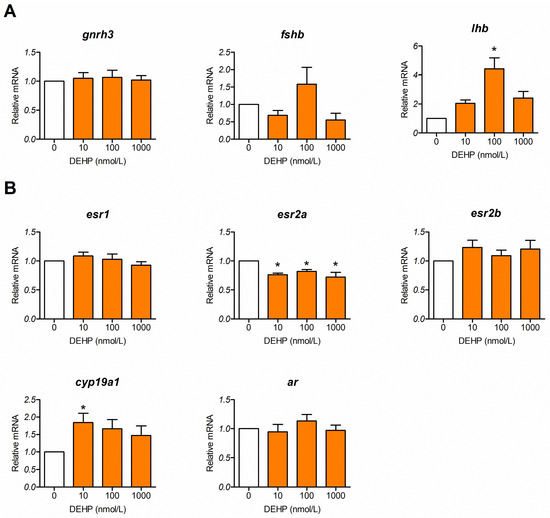
Di(2-ethylhexyl) Phthalate Alters Primordial Germ Cell Distribution and the Reproductive Neuroendocrine Regulatory Axis in Zebrafish Embryos
by Biljana Tesic, Svetlana Fa Nedeljkovic, Zoran Marinović, Zsolt Csenki-Bakos, Maja Marinović, Edward T. Petri, Kristina Pogrmic-Majkic, Bojana Stanic and Nebojsa Andric
Toxics 2025, 13(12), 1032; https://doi.org/10.3390/toxics13121032 - 29 Nov 2025
Viewed by 392
Abstract
Di(2-ethylhexyl) phthalate (DEHP) is known to adversely affect reproduction. Our previous study demonstrated that DEHP exposure during embryogenesis impaired fertility in adult female zebrafish. The objective of this study was to investigate developmental events underlying this effect. Embryos were exposed to DEHP 5 [...] Read more.
Di(2-ethylhexyl) phthalate (DEHP) is known to adversely affect reproduction. Our previous study demonstrated that DEHP exposure during embryogenesis impaired fertility in adult female zebrafish. The objective of this study was to investigate developmental events underlying this effect. Embryos were exposed to DEHP 5 h post-fertilization (hpf), and the distribution of primordial germ cells (PGCs), along with the expression of genes involved in PGC migration, maintenance, and neuroendocrine regulation, was assessed. Molecular docking simulations were performed to evaluate whether DEHP’s main metabolite, mono(2-ethylhexyl) phthalate (MEHP), is able to bind to zebrafish estrogen receptors (Esr). Our results show that DEHP reduced the expression of cxcr4b, cxcr7b, esr1, and esr2a at 24 hpf. Using vasa:egfp transgenic embryos, we found that DEHP altered the distribution of PGCs. In addition, DEHP inhibited the expression of PGC-specific dazl. DEHP also induced the expression of lhb and cyp19a1 and reduced the expression of esr2a in 120 hpf larvae, consistent with disruption of the neuroendocrine reproductive axis. Molecular docking indicates that MEHP can bind to the ligand-binding domains of Esr1, Esr2a, and Esr2b. Collectively, the results show that DEHP disrupts both PGC distribution and early neuroendocrine signaling pathways, providing mechanistic insight into reduced fertility in adult female zebrafish following embryonic DEHP exposure. Full article
(This article belongs to the Section Reproductive and Developmental Toxicity)
Show Figures

Graphical abstract

15 pages, 43381 KB  
Article
Cloning and Expression of Col10a1 Gene and Its Response to Wnt/TGF-β Signaling Inhibitors in the Chinese Three-Keeled Pond Turtle (Mauremys reevesii)
by Yue Li, Junxian Zhu, Tong Ren, Xiaoli Liu, Chen Chen, Liqin Ji, Xiaoyou Hong, Chengqing Wei, Haigang Chen, Xinping Zhu, Wei Li and Lihong Dang
Animals 2025, 15(22), 3315; https://doi.org/10.3390/ani15223315 - 17 Nov 2025
Viewed by 497
Abstract
The formation of the Chinese three-keeled pond turtle (Mauremys reevesii) carapace is a complex biological event involving developmental processes such as collagen deposition and ossification. As a key regulator of collagen deposition and ossification, Col10a1 may play a crucial role in [...] Read more.
The formation of the Chinese three-keeled pond turtle (Mauremys reevesii) carapace is a complex biological event involving developmental processes such as collagen deposition and ossification. As a key regulator of collagen deposition and ossification, Col10a1 may play a crucial role in carapace development, though its specific mechanism remains unclear. To investigate the role of Col10a1 during carapace development and its regulatory mechanisms, we cloned its cDNA sequence and performed bioinformatic analysis. This revealed that Col10a1 encodes a stable, hydrophilic, and basic protein, with phylogenetic analysis showing closest evolutionary relationships to other reptiles and the greatest divergence from fish. Further RT-qPCR analysis examined Col10a1 expression patterns in M. reevesii embryos at stages 14, 18, and 22, as well as in various tissues of adult males and females. Results indicated that during embryonic development, Col10a1 expression levels progressively increased alongside the progression of carapace ossification and collagen deposition, suggesting its involvement in regulating this process. In adult tissues, Col10a1 exhibited widespread expression, with particularly high levels in the brain, kidneys, and liver, suggesting potential specialized functions in these organs. Finally, in vitro experiments demonstrated that inhibition of the Wnt/β-catenin pathway with salinomycin sodium salt downregulated the expression of both its target genes (Sp5, Myc, Ccnd1) and Col10a1. In contrast, inhibition of the TGF-β/Smad pathway with oxymatrine suppressed its target genes (Serpine1, Cdkn1a) but concomitantly upregulated Col10a1. These results suggest that Col10a1 expression may be positively regulated by the Wnt/β-catenin pathway and negatively regulated by the TGF-β/Smad pathway. Our findings provide novel insights into the molecular mechanisms governing carapace development and collagen deposition in M. reevesii, laying a crucial foundation for further investigations into the regulatory networks involving Col10a1 during carapace formation. Full article
(This article belongs to the Section Aquatic Animals)
Show Figures

Figure 1

11 pages, 1805 KB  
Communication
Cloning of PoAIL6 Gene Related to Somatic Embryogenesis in Paeonia ostii ‘Fengdan’
by Yanting Chang, Xue Zhang, Yayun Deng, Tao Hu, Zehui Jiang and Wenbo Zhang
Int. J. Mol. Sci. 2025, 26(22), 11006; https://doi.org/10.3390/ijms262211006 - 13 Nov 2025
Viewed by 262
Abstract
AINTEGUMENTA-LIKE6 (AIL6) is a transcription factor specifically expressed in embryos. It is a key to improving peony regeneration through tissue culture. Based on transcriptomic data from our previous research and the published genome data of Paeonia ostii, we identified the PoAIL6 gene [...] Read more.
AINTEGUMENTA-LIKE6 (AIL6) is a transcription factor specifically expressed in embryos. It is a key to improving peony regeneration through tissue culture. Based on transcriptomic data from our previous research and the published genome data of Paeonia ostii, we identified the PoAIL6 gene associated with somatic embryogenesis (SE) in Paeonia ostii ‘Fengdan’. Structural and phylogenetic analyses were conducted on the PoAIL6-encoded protein, and its expression pattern across tissues and embryo developmental stages were explored using real-time quantitative PCR. Our results revealed that PoAIL6 contained two AP2 conserved domains and the characteristic motif of AIL6 genes. Phylogenetic analysis revealed that the PoAIL6 gene has similarity to grape (Vitis vinifera) and cocoa (Theobroma cacao). PoAIL6 exhibited the highest expression during early embryonic development, with expression levels gradually decreasing throughout SE progression. It was most highly expressed in peony seeds and showed relatively high expression in callus tissue. This study underscores the pivotal role of PoAIL6 in the early SE and lays a playground for elucidating its molecular mechanisms, supporting the development of efficient and stable regeneration and transformation systems in peony. Full article
(This article belongs to the Section Molecular Genetics and Genomics)
Show Figures

Figure 1

14 pages, 7725 KB  
Article
Conservation and Divergence of E(z) Genes in Green Plants
by Xiaolong Gan, Zihua Chen, Liangsheng Zhang and Xiaojun Chang
Plants 2025, 14(22), 3444; https://doi.org/10.3390/plants14223444 - 11 Nov 2025
Viewed by 381
Abstract
Polycomb Group (PcG) proteins, particularly E(z) (Enhancer of Zeste) genes, play essential roles in transcriptional repression and developmental regulation. To investigate their evolutionary history, we conducted a comprehensive comparative genomic analysis of E(z) homologs across green plants. Phylogenetic analysis revealed that E(z) genes [...] Read more.
Polycomb Group (PcG) proteins, particularly E(z) (Enhancer of Zeste) genes, play essential roles in transcriptional repression and developmental regulation. To investigate their evolutionary history, we conducted a comprehensive comparative genomic analysis of E(z) homologs across green plants. Phylogenetic analysis revealed that E(z) genes are highly conserved, predominantly occurring as single copies in green algae and early land plants. In seed plants, however, E(z) homologs diverged into two major clades, CLF and SWN, likely originating from an ancient duplication predating seed plant diversification. Conserved domain and motif analyses showed that while all E(z) proteins contain the hallmark SET domain, certain lineages also harbor CXC and SANT domains. Moreover, lineage-specific motif divergence was observed, suggesting functional diversification. In angiosperms, further duplications shaped the SWN lineage: in Brassicaceae, SWN genes split into SWN and MEA subclades, whereas in Fabaceae, SWN genes diverged into SWN1 and SWN2. Structural comparisons revealed that both Brassicaceae MEA and Fabaceae SWN2 proteins independently lost approximately 200 amino acids in the central region, indicating convergent structural modifications. Molecular evolutionary analysis showed that Fabaceae SWN1 genes are under purifying selection, consistent with retention of ancestral functions, whereas SWN2 genes experienced strong positive selection, implying functional innovation. Expression profiling of soybean E(z) genes further supported this scenario: SWN1 is broadly expressed across tissues, while SWN2 expression is restricted to the heart-shaped embryo. This pattern mirrors Arabidopsis MEA, suggesting that Fabaceae SWN2 may have evolved imprinted gene functions critical for seed development. Together, our results highlight the evolutionary conservation of E(z) genes in plants and reveal how gene duplication and lineage-specific divergence have driven functional specialization, particularly in Fabaceae SWN2. Full article
(This article belongs to the Section Plant Ecology)
Show Figures

Figure 1

15 pages, 2131 KB  
Article
Molecular Responses to Avian Reovirus Inoculation In Vitro
by Zubair Khalid and Ruediger Hauck
Viruses 2025, 17(11), 1489; https://doi.org/10.3390/v17111489 - 10 Nov 2025
Viewed by 604
Abstract
Avian reovirus (ARV) is an important pathogen of poultry, yet the molecular responses to ARV across cell types remain unknown. The present study explores the differential transcriptomic responses to ARV S1133 infection in three cell types, i.e., chicken embryo kidney (CEK), chicken embryo [...] Read more.
Avian reovirus (ARV) is an important pathogen of poultry, yet the molecular responses to ARV across cell types remain unknown. The present study explores the differential transcriptomic responses to ARV S1133 infection in three cell types, i.e., chicken embryo kidney (CEK), chicken embryo liver (CELi), and macrophage-derived cells (HD11) at 6, 12, and 24 h post-inoculation (hpi). CELi cells exhibited the highest viral replication rates at all timepoints, with maximal titer observed at 24 hpi, whereas HD11 cells showed limited viral replication but extensive host transcriptional activity. Differential gene expression analysis revealed that macrophage-derived (HD11) cells, despite the lower viral load, presented the most pronounced transcriptional changes. CEK cells demonstrated a unique activation of immune-related pathways, specifically those related to lymphocyte chemotaxis and type II interferon response. CELi cells showed upregulation of expression of genes involved in defense against viruses. Protein–protein interaction (PPI) analysis identified key antiviral genes, including IFI6, OASL, RSAD2, SAMD9L, and MX1, as central nodes. In CELi, significant alternative splicing events were observed in transcripts of several genes, including those implicated in immunity. Taken together, results indicate that inoculation of ARV triggered cell-type and time-dependent viral replication and stimulated transcriptional activity linked with unique but functionally interconnected pathways. Full article
(This article belongs to the Special Issue Avian Reovirus)
Show Figures

Figure 1

16 pages, 2440 KB  
Article
Small RNA-Seq Reveals the Effect of Formaldehyde Treatment on Chicken Embryo Liver microRNA Profiles
by Saffet Teber, Mustafa Özdemir, Ghulam Asghar Sajid, Selma Büyükkılıç Beyzi, Mehmet Kizilaslan, Yunus Arzık, Servet Yalçın, Stephen N. White and Mehmet Ulas Cinar
Int. J. Mol. Sci. 2025, 26(21), 10633; https://doi.org/10.3390/ijms262110633 - 31 Oct 2025
Viewed by 457
Abstract
Formaldehyde (FA) is commonly used for hatchery disinfection, where it reduces microbial growth, ensures successful egg hatch and enhances healthy production, but its specific effects on embryonic development remain unclear. MicroRNAs (miRNAs) regulate gene expression post-transcriptionally and may mediate FA-induced transcriptional responses. Here, [...] Read more.
Formaldehyde (FA) is commonly used for hatchery disinfection, where it reduces microbial growth, ensures successful egg hatch and enhances healthy production, but its specific effects on embryonic development remain unclear. MicroRNAs (miRNAs) regulate gene expression post-transcriptionally and may mediate FA-induced transcriptional responses. Here, we investigated the impact of FA treatment on miRNA profiles in chicken embryo liver. Small RNA-seq libraries were constructed and sequenced using the Illumina NextSeq platform. Reads were trimmed and quantified using miRDeep2 version 2.0.0.3. Differential expression analysis was performed with DESeq2 (p-adjusted < 0.05 and |log2FC| > 1). Target genes of differentially expressed miRNAs (DEMs) were predicted with miRDB, and GO/KEGG/Reactome enrichment was conducted. Out of 662 total mature miRNAs detected, differential expression analysis identified 30 DEMs (11 up-regulated, 19 down-regulated). The highest fold increase was determined for gga-miR-3533 (log2FC = 4.45), and the most significant decrease was determined for gga-miR-133b (log2FC = −3.38). Pathway analysis revealed miRNAs affecting signaling pathways along with modules related to post-translational protein modification, immune system, and oxidative stress pathways. Our study demonstrates that FA treatment can affect critical biological processes by altering miRNA-mediated regulation in the developing embryonic liver and point to the need for functional validation of miRNA-target interactions to help determine mechanisms for FA benefits. Long term, these data may help serve as reference to identify new treatments with optimized response profiles. Full article
(This article belongs to the Special Issue Molecular Research in Avian Genetics)
Show Figures

Figure 1

11 pages, 620 KB  
Article
Seed Dormancy Variability in Lonicera etrusca and Its Relationship with Environmental Heterogeneity Across Localities
by Alejandro Santiago, Jesus Márquez-Pablo, Natalia Celaya-Rojas, José María Herranz and Pablo Ferrandis
Seeds 2025, 4(4), 52; https://doi.org/10.3390/seeds4040052 - 24 Oct 2025
Viewed by 542
Abstract
Seed dormancy is a key ecological attribute influencing germination timing and the ability of species to establish in variable environments. This study investigated whether inter-population variability in seed dormancy expression exists in Lonicera etrusca, a Mediterranean shrub known for producing seeds with [...] Read more.
Seed dormancy is a key ecological attribute influencing germination timing and the ability of species to establish in variable environments. This study investigated whether inter-population variability in seed dormancy expression exists in Lonicera etrusca, a Mediterranean shrub known for producing seeds with underdeveloped embryos and multiple dormancy types. Seeds were collected from four geographically and ecologically distinct populations in central Iberia and subjected to a series of germination experiments simulating natural seasonal temperature regimes, stratification treatments, and gibberellic acid application. Across all populations, seeds exhibited morphological dormancy (MD) and varying degrees of morphophysiological dormancy (MPD), including non-deep simple and deep complex types. Despite high intra-specific variability in dormancy expression, no significant differences were found among populations for germination patterns or embryo growth responses. This indicates that dormancy variability is an intrinsic, conserved feature of the species rather than a locally adaptive trait. The homogenization of germination strategies across populations may be facilitated by bird-mediated seed dispersal, promoting gene flow and limiting local selection. These findings support the hypothesis that dormancy polymorphism in L. etrusca reflects a flexible germination strategy that enhances colonization potential across heterogeneous Mediterranean environments, rather than an environmentally induced plastic response. Full article
Show Figures

Figure 1

18 pages, 545 KB  
Review
Imprinting Disorders and Epigenetic Alterations in Children Conceived by Assisted Reproductive Technologies: Mechanisms, Clinical Outcomes, and Prenatal Diagnosis
by Antonella Gambadauro, Valeria Chirico, Francesca Galletta, Ferdinando Gulino, Roberto Chimenz, Giorgia Serraino, Immacolata Rulli, Alessandro Manganaro, Eloisa Gitto and Lucia Marseglia
Genes 2025, 16(10), 1242; https://doi.org/10.3390/genes16101242 - 21 Oct 2025
Viewed by 2063
Abstract
Assisted reproductive technologies (ARTs) have revolutionized infertility treatment, leading to the birth of over 10 million children worldwide. Despite their success, increasing concerns have been expressed regarding the potential long-term outcomes of ART-conceived individuals, particularly in relation to imprinting disorders (IDs). IDs result [...] Read more.
Assisted reproductive technologies (ARTs) have revolutionized infertility treatment, leading to the birth of over 10 million children worldwide. Despite their success, increasing concerns have been expressed regarding the potential long-term outcomes of ART-conceived individuals, particularly in relation to imprinting disorders (IDs). IDs result from the abnormal expression of imprinted genes, which are expressed in a parent-of-origin-specific manner and regulated by epigenetic mechanisms (e.g., DNA methylation). Disruption of these processes, through environmental, genetic, or procedural factors, can lead to disorders such as Beckwith–Wiedemann syndrome (BWS), Silver–Russell syndrome (SRS), Angelman syndrome (AS), and Prader–Willi syndrome (PWS). These syndromes are characterized by distinct clinical features, including growth abnormalities, neurodevelopmental delay, endocrine dysfunction, and cancer predisposition. ART procedures, especially ovarian hyperstimulation, in vitro fertilization (IVF), and embryo culture, coincide with critical periods of epigenetic reprogramming and may contribute to epimutations in imprinting control regions. In this review, we explored epidemiology, molecular mechanisms, and prenatal diagnostic strategies related to these four IDs in the context of ART. The findings suggest a higher prevalence of BWS and SRS in ART-conceived children. The data regarding AS and PWS are more controversial, with conflicting results across populations and methodologies. Although a causal link between ART and IDs remains debated, evidence suggests the potential contribution of ART procedures to epigenetic dysregulation in susceptible individuals. Further large-scale, methodologically rigorous studies will be essential to clarify this association and inform safer ART practices. Full article
(This article belongs to the Special Issue Genes and Pediatrics)
Show Figures

Figure 1

11 pages, 1473 KB  
Article
Regulation of DNA Methylation Through EBP1 Interaction with NLRP2 and NLRP7
by Nayeon Hannah Son, Matthew So and Christopher R. Lupfer
DNA 2025, 5(4), 49; https://doi.org/10.3390/dna5040049 - 17 Oct 2025
Viewed by 600
Abstract
Background/Objectives: Mutations in NACHT, LRR and PYD domain-containing protein 2 (NLRP2) and NLRP7 genes, members of the NOD-like receptor (NLR) family of innate immune sensors, result in recurrent miscarriages and reproductive wastage in women. These genes have been identified to be maternal [...] Read more.
Background/Objectives: Mutations in NACHT, LRR and PYD domain-containing protein 2 (NLRP2) and NLRP7 genes, members of the NOD-like receptor (NLR) family of innate immune sensors, result in recurrent miscarriages and reproductive wastage in women. These genes have been identified to be maternal effect genes in humans and mice regulating early embryo development. Previous research in vitro suggests that NLRP2 and NLRP7 regulate DNA methylation and/or immune signaling through inflammasome formation. However, the exact mechanisms underlying NLRP2 and NLRP7 function are not well defined. Methods: To determine the interacting proteins required for NLRP2/NLRP7-mediated regulation of DNA methylation, yeast 2-hybrid screens, coimmunoprecipitation, and FRET studies were performed and verified the ability of novel protein interactions to affect global DNA methylation by 5-methylcytosine-specific ELISA. Results: Various methodologies employed in this research demonstrate a novel protein interaction between human ErbB3-binding protein 1 (EBP1, also known as proliferation-associated protein 2G4 (PA2G4) and NLRP2 or NLRP7. In addition, NLRP2 and NLRP7 regulate EBP1 gene expression. Functionally, global DNA methylation levels appeared to decrease further when NLRP2 and NLRP7 were co-expressed with EBP1, although additional studies may need to confirm the significance of this effect. Conclusions: Since EBP1 is implicated in apoptosis, cell proliferation, DNA methylation, and differentiation, our discovery significantly advances our understanding of how mutations in NLRP2 or NLRP7 may contribute to reproductive wastage in women through EBP1. Full article
Show Figures

Graphical abstract

14 pages, 2113 KB  
Article
Comparative Transcriptome Analysis Reveals the Role of the FST Gene in Goose Muscle Development
by Cui Wang, Yi Liu, Mingxia Li, Yunzhou Yang, Jiuli Dai, Shufang Chen, Huiying Wang and Daqian He
Animals 2025, 15(20), 3009; https://doi.org/10.3390/ani15203009 - 16 Oct 2025
Viewed by 614
Abstract
Muscle growth is a critical determinant of meat yield and quality in livestock. Although follistatin (FST) is recognized as a key regulator of skeletal muscle development and fat metabolism, its specific function in geese remains largely unexplored. In this study, we identified two [...] Read more.
Muscle growth is a critical determinant of meat yield and quality in livestock. Although follistatin (FST) is recognized as a key regulator of skeletal muscle development and fat metabolism, its specific function in geese remains largely unexplored. In this study, we identified two transcript variants of goose FST (gFST) in Zhedong White geese: gFST-X1 (1125 bp), encoding a 343-amino acid protein with a 28-amino acid signal peptide and four conserved domains, and gFST-X2, which contains a 243 bp insertion within the gFST-X1 transcript. RT-qPCR analysis revealed that gFST mRNA expression varied across tissues from female embryos (25 days), adults (70 days), and laying geese (270 days), as well as in skeletal muscle satellite cells (SMSCs) at embryonic day 16 (E16d). Overexpression of gFST in SMSCs resulted in 3596 differentially expressed genes (DEGs), including 2247 upregulated and 1349 downregulated genes (padj < 0.01). Key stemness markers (PAX7, PAX3) and myogenic regulators (MYOG, MYOD, MYF5) were significantly downregulated, whereas genes associated with lipid metabolism (PPARG, FABP5, ACSL5) and myosin-related processes (MYO1D, MYO1F, MYO1E) were markedly upregulated (padj < 0.01). Functional enrichment analysis linked these DEGs to the TGF-β, PPAR signaling, fatty acid metabolism, and Notch signaling pathways. These transcriptomic findings were further validated by qRT-PCR. Collectively, our results demonstrate the dual regulatory role of gFST in skeletal muscle development and provide new mechanistic insights into muscle development in geese. Full article
(This article belongs to the Special Issue Livestock and Poultry Genetics and Breeding Management)
Show Figures

Figure 1

12 pages, 1192 KB  
Article
Environmental Amoxicillin Exposure Induces Cardiotoxicity in Zebrafish Embryos: A Comprehensive Assessment of Heart Function and Molecular Responses
by Azza Naïja, Dalal Mohamed, Somaiya Abdulhakim, Amera Mohamed and Huseyin Cagatay Yalcin
Antibiotics 2025, 14(10), 1029; https://doi.org/10.3390/antibiotics14101029 - 14 Oct 2025
Viewed by 563
Abstract
Background/Objectives. Environmental pollution poses a significant threat to human health, primarily through the degradation of natural ecosystems. Emerging organic contaminants (EOCs), such as pharmaceuticals like amoxicillin, are especially concerning due to their persistence and potential harm to non-target species. This study evaluates the [...] Read more.
Background/Objectives. Environmental pollution poses a significant threat to human health, primarily through the degradation of natural ecosystems. Emerging organic contaminants (EOCs), such as pharmaceuticals like amoxicillin, are especially concerning due to their persistence and potential harm to non-target species. This study evaluates the cardiotoxic effects of Amoxicillin (AMX) on Zebrafish embryos (Danio rerio), specifically heart function, blood flow, and gene expression linked to cardiogenesis, inflammation, and apoptosis. Methods. Zebrafish embryos were exposed to concentrations of AMX corresponding to environmentally relevant levels, wastewater effluents, as well as acute experimental exposures. Mortality and hatching rates were all assessed, along with heart function and gene expression analysis of key cardiac and inflammatory markers. Results/Conclusions. The findings suggest that higher AMX concentrations have cardiotoxic effects, emphasizing the need for stringent environmental monitoring of antibiotic residuals. Full article
(This article belongs to the Topic Antimicrobial Agents and Nanomaterials—2nd Edition)
Show Figures

Figure 1

17 pages, 4174 KB  
Article
Transcriptomic Profiling of Peripheral Blood Identifies Candidate Genes for Early Pregnancy Diagnosis in Sika Deer
by Yushi Zhang, Huimin Sun, Bingfeng Fan, Lixiang Liu, Yu Tang, Ying Zhang, Xulin Zhang, Xiaoyu Chu, Feiyu Peng, Jie Cao and Baozeng Xu
Animals 2025, 15(20), 2960; https://doi.org/10.3390/ani15202960 - 13 Oct 2025
Viewed by 677
Abstract
With estrus confined to three winter months, early pregnancy detection is essential for reproductive management in farmed sika deer. However, the development of reliable non-invasive early pregnancy detection techniques has been hindered by limited understanding of their reproductive physiology. To identify pregnancy-specific biomarkers [...] Read more.
With estrus confined to three winter months, early pregnancy detection is essential for reproductive management in farmed sika deer. However, the development of reliable non-invasive early pregnancy detection techniques has been hindered by limited understanding of their reproductive physiology. To identify pregnancy-specific biomarkers in sika deer, we performed RNA-sequencing (RNA-Seq) on maternal peripheral blood collected on days 0, 7, 15, and 20 after artificial insemination. Using time-series clustering analysis and weighted gene co-expression network analysis (WGCNA), we identified key genes and pathways at each stage. Notably, maternal-fetal recognition-related interferon-stimulated genes (ISGs; IFNAR1/2, STAT1/2, MX1/2, and RSAD2), anti-apoptotic and immune-regulatory genes (BCL2, XIAP, and IL10), and cysteine metabolism genes (CTH, CBS, GCLC, and GCLM) were upregulated by day 7, suggesting their role in supporting corpus luteum development through immune regulation and redox homeostasis. By days 15–20, upregulated genes were enriched in pathways related to mitochondrial function, cell adhesion, and cell cycle regulation, indicating their involvement in embryo adhesion and syndesmochorial placentation. In conclusion, this study demonstrates that ISGs, immune-regulatory genes and cysteine metabolism genes are detectable as early as day 7 post-insemination, highlighting their promise as early pregnancy biomarkers and providing a molecular basis for non-invasive diagnostic development in sika deer. Full article
(This article belongs to the Section Animal Reproduction)
Show Figures

Figure 1

15 pages, 4930 KB  
Article
The TBXT Gene and Brachyury Protein Are Differentially Expressed During the Early Embryonic Development of Hu and Hulunbuir Sheep
by Daqing Wang, Yifan Zhao, Guifang Cao, Jiajia Zhang and Caiyun Wang
Life 2025, 15(10), 1560; https://doi.org/10.3390/life15101560 - 5 Oct 2025
Viewed by 698
Abstract
In this study, SweAMI FISH fluorescence in situ hybridization and immunofluorescence were used to analyze the spatiotemporal expression characteristics of the TBXT gene and Brachyury protein in 16-day-old Hulunbuir sheep embryos and 19-day-old Hu sheep embryos and to explore their regulatory effects on [...] Read more.
In this study, SweAMI FISH fluorescence in situ hybridization and immunofluorescence were used to analyze the spatiotemporal expression characteristics of the TBXT gene and Brachyury protein in 16-day-old Hulunbuir sheep embryos and 19-day-old Hu sheep embryos and to explore their regulatory effects on the development of sheep tails and related organs. The study showed the following: At 16 days of embryonic age, the TBXT gene was concentratedly expressed in the heart, somites, neural tube, and mesonephros of both sheep breeds; at 19 days of embryonic age, it was concentratedly expressed in the limb ectoderm and tail bud of Hulunbuir sheep, and in the midgut and tail bud of Hu sheep. At 16 days of embryonic age, the BRACHYURY protein was concentratedly expressed in the neural tube, somites, brain vesicles, and mesonephros of both sheep breeds; at 19 days of embryonic age, it was concentratedly expressed in the heart and hindgut of Hulunbuir sheep, and in the tail bud and hindgut of Hu sheep. In summary, this shows that there are differences in the temporal and spatial expressions of the TBXT gene and BRACHYURY protein between the two sheep breeds. There are also site-specific and time-specific differences in the regulation of the above genes and proteins during tail and related organ development between the two breeds, which confirms that the molecular regulation pathways of tail and related organ development are different between the two breeds. This study provides an experimental basis for screening molecular markers related to goat tail development and breed improvement. Full article
(This article belongs to the Section Proteins and Proteomics)
Show Figures

Figure 1

15 pages, 10820 KB  
Article
Wnt/β-Catenin Pathway Activation Confers Fumonisin B1 Tolerance in Chicken Intestinal Organoid Monolayers by Enhancing Intestinal Stem Cell Function
by Shuai Zhang, Yanan Cao, Yiyi Shan, Xueli Zhang, Liangxing Xia, Haifei Wang, Shenglong Wu and Wenbin Bao
Animals 2025, 15(19), 2850; https://doi.org/10.3390/ani15192850 - 29 Sep 2025
Viewed by 732
Abstract
Fumonisin B1 (FB1) is a prevalent mycotoxin in moldy grains and feeds, highly toxic to livestock and compromising product quality while threatening food safety. Poultry exhibit low susceptibility to FB1, but the underlying tolerance mechanisms remain unclear. Traditional 3D chicken intestinal organoid models [...] Read more.
Fumonisin B1 (FB1) is a prevalent mycotoxin in moldy grains and feeds, highly toxic to livestock and compromising product quality while threatening food safety. Poultry exhibit low susceptibility to FB1, but the underlying tolerance mechanisms remain unclear. Traditional 3D chicken intestinal organoid models cannot simulate direct interaction between the epithelial monolayer and FB1, limiting the study of FB1–chicken intestinal crosstalk. Here, we established a 2D chicken intestinal organoid monolayer model, derived from intestinal crypts of 18-day-old specific pathogen-free chicken embryos, to systematically explore poultry’s resistance mechanisms against FB1. Using this model, we compared FB1-induced effects with those in a porcine intestinal epithelial cell model. Results showed that FB1 exposure did not reduce transepithelial electrical resistance, induce abnormal expression of tight junction genes, or cause significant fluctuations in inflammatory factor levels in chicken intestinal organoid monolayers. Mechanistically, FB1 enhances chicken intestinal stem cell function by activating the Wnt/β-catenin pathway, thereby promoting epithelial regeneration and renewal to increase FB1 resistance and decrease toxin sensitivity in chickens. This study reveals a strategy for enhancing FB1 tolerance in poultry by promoting intestinal stem cell function, providing a new perspective for developing mycotoxin prevention and control strategies. Full article
(This article belongs to the Section Poultry)
Show Figures

Figure 1

27 pages, 5912 KB  
Article
Expression Dynamics of Neurotransmitter System Genes in Early Sea Urchin Embryos: Insights from a Four-Species Comparative Transcriptome Analysis
by Yuri B. Shmukler, Nina M. Alyoshina, Yulia O. Nikishina and Denis A. Nikishin
Biology 2025, 14(9), 1262; https://doi.org/10.3390/biology14091262 - 12 Sep 2025
Viewed by 1311
Abstract
Transmitters such as serotonin, dopamine, noradrenaline, and acetylcholine act as regulators or triggers of numerous processes in the early embryo, including in sea urchins. However, the identity of these mechanisms relative to mature nervous systems remains controversial. The aim of this study was [...] Read more.
Transmitters such as serotonin, dopamine, noradrenaline, and acetylcholine act as regulators or triggers of numerous processes in the early embryo, including in sea urchins. However, the identity of these mechanisms relative to mature nervous systems remains controversial. The aim of this study was to comprehensively characterize the transcriptomic basis of these as well as glutamatergic, GABAergic and histaminergic systems by comparing publicly available RNA-Seq data across four sea urchin species (Mesocentrotus franciscanus, Lytechinus variegatus, Paracentrotus lividus, Strongylocentrotus purpuratus) during early development (egg to early gastrula). Transcript abundance was normalized using the geometric mean of housekeeping genes (GHG) to facilitate comparative analysis and to use the universal significance threshold. We detected mRNA transcripts encoding numerous components (enzymes, receptors, transporters) for all seven transmitter systems from the earliest stages, suggesting a complex signaling potential prior to neurogenesis. The expression of multiple mRNAs of receptors for the same transmitter indirectly supports our earlier notion of the possibility of simultaneous regulation of different processes by this transmitter even in the single-cell embryo. Notably, transcripts for key synthesis enzymes (TPH, DBH) were often low, indicating limited de novo synthesis, while transcripts for degradation enzymes (MAO, AChE) were abundant. Consistent expression across species was observed for specific receptors such as HTR6, D1-like dopamine, β-adrenergic receptors and the α7 subunit of nicotinic AChR. However, the expression profiles of many components, particularly glutamatergic receptors and metabolic enzymes, showed considerable interspecies variability. These findings indicate that multiple transmitter systems are transcriptionally represented early in development, suggesting substantial molecular overlap with mature systems, while the diversity between species points to possible evolutionary plasticity. This comparative transcriptomic dataset provides a basis for targeted functional studies of the role and interactions of these pre-nervous transmitter pathways in orchestrating embryogenesis. Full article
(This article belongs to the Special Issue Research Advances in Aquatic Omics)
Show Figures

Figure 1

Back to TopTop