Sign in to use this feature.

Years

Between: -

Subjects

remove_circle_outline
remove_circle_outline
remove_circle_outline
remove_circle_outline
remove_circle_outline
remove_circle_outline
remove_circle_outline
remove_circle_outline
remove_circle_outline

Journals

remove_circle_outline
remove_circle_outline
remove_circle_outline
remove_circle_outline
remove_circle_outline
remove_circle_outline
remove_circle_outline
remove_circle_outline
remove_circle_outline
remove_circle_outline
remove_circle_outline
remove_circle_outline
remove_circle_outline
remove_circle_outline

Article Types

Countries / Regions

remove_circle_outline
remove_circle_outline
remove_circle_outline
remove_circle_outline
remove_circle_outline

Search Results (1,449)

Search Parameters:
Keywords = electrochemical interaction

Order results
Result details
Results per page
Select all
Export citation of selected articles as:
18 pages, 8978 KB  
Article
Biocompatibility Evaluation of Novel Experimental Titanium Alloys for Dental Implants
by Vlad-Gabriel Vasilescu, Lucian Toma Ciocan, Andreea Mihaela Custura, Miruna Stan, Florin Miculescu, Cosmin Mihai Cotrut, Diana Maria Vranceanu, Elisabeta Vasilescu, Marina Imre and Silviu Mirel Pițuru
Dent. J. 2026, 14(1), 6; https://doi.org/10.3390/dj14010006 (registering DOI) - 22 Dec 2025
Abstract
Background/Objectives: The purpose of this study was to assess the in vitro biocompatibility and corrosion resistance of five titanium alloys that have been recently developed for dental implant applications, whose compositions were designed to align with current approaches in the development of [...] Read more.
Background/Objectives: The purpose of this study was to assess the in vitro biocompatibility and corrosion resistance of five titanium alloys that have been recently developed for dental implant applications, whose compositions were designed to align with current approaches in the development of novel biomaterials. Priority was given to limiting the harmfulness associated with specific chemical elements present in common conventional alloys and increasing corrosion resistance to improve the biomaterial–tissue cellular interaction. Methods: For this purpose, five types of titanium alloys with original chemical compositions (Ti1–Ti5) were developed. The electrochemical behavior of the alloys was analyzed by evaluating the corrosion resistance in environments that simulate the oral environment, as well as the cellular behavior, by evaluating the viability, growth, and proliferation of human cells on osteoblasts and gingival fibroblasts. Detailed analysis of the chemical composition by scanning electron microscope (SEM/EDS) methods was used. The corrosion rate of the alloys in artificial saliva was tested using the polarization resistance technique (Tafel). Human osteoblasts (hFOB cell line) and human gingival fibroblasts (hFIB-G cell line) were used to measure biocompatibility in vitro. Results: The Ti5 alloy demonstrated the highest cell viability and the lowest corrosion rate (0.114 μm/year) among all tested compositions, with the Ti3 alloy containing Mo and Zr following closely behind. The Ti2 alloy exhibited reduced biocompatibility because of the inclusion of Ni and Fe in its composition. Conclusions: Taken together, the results of this study provide useful information on the basic characteristics of titanium alloys with original chemical compositions. The titanium alloys were analyzed in comparison with common conventional alloys (Cp–Ti and Ti6Al4V) as well as alloys such as Ti–Zr, Ti–Nb, and Ti–Nb–Zr–Ta, which are considered to be viable alternatives to conventional materials for making dental implants. Full article
(This article belongs to the Special Issue Dental Materials Design and Application)
Show Figures

Figure 1

27 pages, 5433 KB  
Article
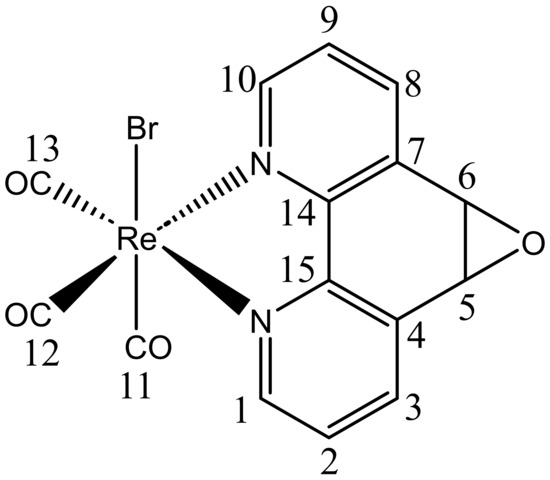
Comprehensive Structural, Electronic, and Biological Characterization of fac-[Re(CO)3(5,6-epoxy-5,6-dihydro-1,10-phenanthroline)Br]: X-Ray, Aromaticity, Electrochemistry, and HeLa Cell Viability
by Alexander Carreño, Vania Artigas, Evys Ancede-Gallardo, Rosaly Morales-Guevara, Roxana Arce, Luis Leyva-Parra, Angel A. Martí, Camila Videla, María Carolina Otero and Manuel Gacitúa
Inorganics 2026, 14(1), 3; https://doi.org/10.3390/inorganics14010003 - 22 Dec 2025
Abstract
The rhenium(I) tricarbonyl complex fac-[Re(CO)3(5,6-epoxy-5,6-dihydro-1,10-phenanthroline)Br] (ReL) has previously demonstrated promising luminescent properties, enabling its direct application as a probe for walled cells such as Candida albicans and Salmonella enterica. In this new study, we present a significantly expanded and [...] Read more.
The rhenium(I) tricarbonyl complex fac-[Re(CO)3(5,6-epoxy-5,6-dihydro-1,10-phenanthroline)Br] (ReL) has previously demonstrated promising luminescent properties, enabling its direct application as a probe for walled cells such as Candida albicans and Salmonella enterica. In this new study, we present a significantly expanded and comprehensive characterization of ReL, incorporating a wide range of experimental and computational techniques not previously reported. These include variable-temperature 1H and 13C NMR spectroscopy, CH-COSY, single-crystal X-ray diffraction, Hirshfeld surface analysis, DFT calculations, Fukui functions, non-covalent interaction (NCI) indices, and electrochemical profiling. Structural analysis confirmed a pseudo-octahedral geometry with the bromide ligand positioned cis to the epoxy group. NMR data revealed the coexistence of cis and trans isomers in solution, with the trans form being slightly more stable. DFT calculations and aromaticity descriptors indicated minimal electronic differences between isomers, supporting their unified treatment in subsequent analyses. Electrochemical studies revealed two oxidation and two reduction events, consistent with ECE and EEC mechanisms, including a Re(I) → Re(0) transition at −1.50 V vs. SCE. Theoretical redox potentials showed strong agreement with experimental data. Biological assays revealed a dose-dependent cytotoxic effect on HeLa cells, contrasting with previously reported low toxicity in microbial systems. These findings, combined with ReL’s luminescent and antimicrobial properties, underscore its multifunctional nature and highlight its potential as a bioactive and imaging agent for advanced therapeutic and microbiological applications. Full article
(This article belongs to the Special Issue Biological Activity of Metal Complexes)
Show Figures

Figure 1

17 pages, 3642 KB  
Review
PEDOT:PSS as a Bio-Solid Electrolyte Interphase for Neural Interfaces: From Molecular Design to Interfacial Intelligence
by Zhen Liu, Jia Liu, Peng Zhang and Xirong Xu
Polymers 2026, 18(1), 20; https://doi.org/10.3390/polym18010020 - 21 Dec 2025
Abstract
Poly(3,4-ethylenedioxythiophene):poly(styrenesulfonate) (PEDOT:PSS) has become one of the most influential materials in neural engineering, offering high electrical conductivity, mechanical softness, and stable processing in complex aqueous media. Beyond these well-known merits, recent studies indicate that PEDOT:PSS can be regarded as a bio-solid electrolyte interphase [...] Read more.
Poly(3,4-ethylenedioxythiophene):poly(styrenesulfonate) (PEDOT:PSS) has become one of the most influential materials in neural engineering, offering high electrical conductivity, mechanical softness, and stable processing in complex aqueous media. Beyond these well-known merits, recent studies indicate that PEDOT:PSS can be regarded as a bio-solid electrolyte interphase (bio-SEI) that governs the interactions between neural probes and biological tissue. In this framework, PEDOT:PSS functions as a selective and adaptive interphase that mediates ion and electron transport, buffers mechanical mismatch, and mitigates chemical or biological degradation at the device-tissue boundary. This review critically summarizes the progress in molecular design, synthesis, and post-treatment strategies that enhance PEDOT:PSS stability and compatibility within physiological environments. Developments such as polydopamine-assisted adhesion, zwitterionic modification, and hybridization with soft hydrogels have expanded its role from a passive coating to an active, self-regulating interphase that prolongs implant performance. We further discuss how the hierarchical structure of PEDOT:PSS—from its molecular organization to device-level morphology—contributes to long-term electrochemical and biological stability. By treating PEDOT:PSS as an intrinsic bio-SEI rather than a simple conductive coating, this perspective highlights its central role in the development of durable, biocompatible, and intelligent neural interfaces for next-generation implantable electronics. Full article
(This article belongs to the Special Issue Nature-Inspired and Polymers-Based Flexible Electronics and Sensors)
Show Figures

Graphical abstract

24 pages, 4915 KB  
Article
Laser-Deposited Multilayer Coatings for Brake Discs: Corrosion Performance of 316L/430L Systems Reinforced with WC and TiC Particles
by Mohammad Masafi, Mo Li, Heinz Palkowski and Hadi Mozaffari-Jovein
Materials 2026, 19(1), 24; https://doi.org/10.3390/ma19010024 - 20 Dec 2025
Abstract
Grey cast iron brake discs are widely used in automotive applications due to their excellent thermal and mechanical properties. However, stricter environmental regulations such as Euro 7 demand improved surface durability to reduce particulate emissions and corrosion-related failures. This study evaluates multilayer coatings [...] Read more.
Grey cast iron brake discs are widely used in automotive applications due to their excellent thermal and mechanical properties. However, stricter environmental regulations such as Euro 7 demand improved surface durability to reduce particulate emissions and corrosion-related failures. This study evaluates multilayer coatings fabricated by Laser Metal Deposition (LMD) as a potential solution. Two multi-layer systems were investigated: 316L + (316L + WC) and 316L + (430L + TiC), which were primarily reinforced with ceramic additives to increase wear resistance, with their influence on corrosion being critically evaluated. Electrochemical tests in 5 wt.% NaCl solution (DIN 17475) revealed that the 316L + (316L + WC) coating exhibited the lowest corrosion current density and most stable passive behavior, consistent with the inherent passivation of the austenitic 316L matrix. In contrast, the 316L + (430L + TiC) system showed localized corrosion associated with micro-galvanic interactions, despite the chemical stability of TiC particles. Post-corrosion SEM and EDS confirmed chromium depletion and chloride accumulation at corroded sites, while WC particles exhibited partial dissolution. These findings highlight that ceramic reinforcements do not inherently improve corrosion resistance and may introduce localized degradation mechanisms. Nevertheless, LMD-fabricated multilayer coatings demonstrate potential for extending brake disc service life, provided that matrix–reinforcement interactions are carefully optimized. Full article
(This article belongs to the Special Issue Additive Manufacturing of Alloys and Composites (2nd Edition))
Show Figures

Figure 1

15 pages, 1641 KB  
Article
Heterointerface Engineering of Pt Nanoparticles Confined on i-MXene for Efficient ORR and HER Catalysis
by Haizheng Zhuang and Yufeng Song
Catalysts 2026, 16(1), 1; https://doi.org/10.3390/catal16010001 - 19 Dec 2025
Viewed by 77
Abstract
Platinum is known as the most efficient catalyst for oxygen reduction reaction (ORR) and hydrogen evolution reaction (HER). However, Pt catalysts still encounter high loading demands, poor atom utilization, and uncontrolled nanoparticle aggregation, which severely restrict their practical use. To address these issues, [...] Read more.
Platinum is known as the most efficient catalyst for oxygen reduction reaction (ORR) and hydrogen evolution reaction (HER). However, Pt catalysts still encounter high loading demands, poor atom utilization, and uncontrolled nanoparticle aggregation, which severely restrict their practical use. To address these issues, we designed a Pt-W1.33C hybrid catalyst with strong interfacial coupling between Pt nanoparticles and the vacancy-rich i-MXene, W1.33C matrix. This robust Pt-W1.33C interaction effectively restricts Pt overgrowth, producing uniformly dispersed nanoparticles with an average physical size of 3.1 nm. The results show that the modulated electronic structure facilitates electron transfer from W1.33C to neighboring Pt sites, which reduces the energy barriers of chemical reactions and enhances the intrinsic electrochemical catalytic activity of the hybridized catalysts. As a result, the Pt-W1.33C catalyst with low Pt loading achieves an ORR overpotential of 320 mV at 0.1 mA cm−2, an HER overpotential of 36 mV at 10 mA cm−2, and Tafel slopes of 66 and 27.8 mV dec−1 for ORR and HER, respectively. The enhanced ORR and HER performance of Pt-W1.33C can be attributed to the synergistic interplay between Pt and W1.33C, including the disordered stacking of W1.33C, high conductivity of W1.33C, high catalytic activity of Pt, and strong Pt-W1.33C interfacial coupling, which, together, optimize electronic interaction and active-site accessibility in the hybrid catalyst. Full article
(This article belongs to the Special Issue Catalytic Materials in Electrochemical and Fuel Cells)
Show Figures

Graphical abstract

40 pages, 5487 KB  
Communication
Physics-Informed Temperature Prediction of Lithium-Ion Batteries Using Decomposition-Enhanced LSTM and BiLSTM Models
by Seyed Saeed Madani, Yasmin Shabeer, Michael Fowler, Satyam Panchal, Carlos Ziebert, Hicham Chaoui and François Allard
World Electr. Veh. J. 2026, 17(1), 2; https://doi.org/10.3390/wevj17010002 - 19 Dec 2025
Viewed by 143
Abstract
Accurately forecasting the operating temperature of lithium-ion batteries (LIBs) is essential for preventing thermal runaway, extending service life, and ensuring the safe operation of electric vehicles and stationary energy-storage systems. This work introduces a unified, physics-informed, and data-driven temperature-prediction framework that integrates mathematically [...] Read more.
Accurately forecasting the operating temperature of lithium-ion batteries (LIBs) is essential for preventing thermal runaway, extending service life, and ensuring the safe operation of electric vehicles and stationary energy-storage systems. This work introduces a unified, physics-informed, and data-driven temperature-prediction framework that integrates mathematically governed preprocessing, electrothermal decomposition, and sequential deep learning architectures. The methodology systematically applies the governing relations to convert raw temperature measurements into trend, seasonal, and residual components, thereby isolating long-term thermal accumulation, reversible entropy-driven oscillations, and irreversible resistive heating. These physically interpretable signatures serve as structured inputs to machine learning and deep learning models trained on temporally segmented temperature sequences. Among all evaluated predictors, the Bidirectional Long Short-Term Memory (BiLSTM) network achieved the highest prediction fidelity, yielding an RMSE of 0.018 °C, a 35.7% improvement over the conventional Long Short-Term Memory (LSTM) (RMSE = 0.028 °C) due to its ability to simultaneously encode forward and backward temporal dependencies inherent in cyclic electrochemical operation. While CatBoost exhibited the strongest performance among classical regressors (RMSE = 0.022 °C), outperforming Random Forest, Gradient Boosting, Support Vector Regression, XGBoost, and LightGBM, it remained inferior to BiLSTM because it lacks the capacity to represent bidirectional electrothermal dynamics. This performance hierarchy confirms that LIB thermal evolution is not dictated solely by historical load sequences; it also depends on forthcoming cycling patterns and entropic interactions, which unidirectional and memoryless models cannot capture. The resulting hybrid physics-data-driven framework provides a reliable surrogate for real-time LIB thermal estimation and can be directly embedded within BMS to enable proactive intervention strategies such as predictive cooling activation, current derating, and early detection of hazardous thermal conditions. By coupling physics-based decomposition with deep sequential learning, this study establishes a validated foundation for next-generation LIB thermal-management platforms and identifies a clear trajectory for future work extending the methodology to module- and pack-level systems suitable for industrial deployment. Full article
(This article belongs to the Section Vehicle Management)
Show Figures

Figure 1

18 pages, 2500 KB  
Proceeding Paper
Interface Engineering in Hybrid Energy Systems: A Case Study of Enhance the Efficiency of PEM Fuel Cell and Gas Turbine Integration
by Abdullatif Musa, Gadri Al-Glale and Magdi Hassn Mussa
Eng. Proc. 2025, 117(1), 15; https://doi.org/10.3390/engproc2025117015 - 18 Dec 2025
Viewed by 59
Abstract
Integrating electrochemical fuel cells and internal combustion engines can enhance the total efficiency and sustainability of power systems. This study presents a promising solution by integrating a Proton Exchange Membrane Fuel Cell (PEMFC) with a mini gas turbine, forming a hybrid system called [...] Read more.
Integrating electrochemical fuel cells and internal combustion engines can enhance the total efficiency and sustainability of power systems. This study presents a promising solution by integrating a Proton Exchange Membrane Fuel Cell (PEMFC) with a mini gas turbine, forming a hybrid system called the “Oya System.” This approach aims to mitigate the efficiency losses of gas turbines during high ambient temperatures. The hybrid model was designed using Aspen Plus for modelling and the EES simulation program for solving mathematical equations. The primary objective of this research is to enhance the efficiency of gas turbine systems, particularly under elevated ambient temperatures. The results demonstrate a notable increase in efficiency, rising from 37.97% to 43.06% at 10 °C (winter) and from 31.98% to 40.33% at 40 °C (summer). This improvement, ranging from 5.09% in winter to 8.35% in summer, represents a significant achievement aligned with the goals of the Oya System. Furthermore, integrating PEMFC contributes to environmental sustainability by utilising hydrogen, a clean energy source, and reducing greenhouse gas emissions. The system also enhances efficiency through waste heat recovery, further optimising performance and reducing energy losses. This research highlights the critical role of interface engineering in the hybrid system, particularly the interaction between the PEMFC and the gas turbine. Integrating these two systems involves complex interfaces that facilitate the transfer of electrochemistry, energy, and materials, optimising the overall performance. This aligns with the conference session’s focus on green technologies and resource efficiency. The Oya System exemplifies how innovative hybrid systems can enhance performance while promoting environmentally friendly processes. Full article
Show Figures

Figure 1

15 pages, 3242 KB  
Article
Graphitic Carbon Nitride-Decorated Cobalt Diselenide Composites for Highly Efficient Hydrogen Evolution Reaction
by Abu Talha Aqueel Ahmed, Saravanan Sekar, Sutha Sadhasivam, Balaji Murugan, Sangeun Cho, Youngmin Lee, Sejoon Lee and Sankar Sekar
Int. J. Mol. Sci. 2025, 26(24), 12188; https://doi.org/10.3390/ijms262412188 - 18 Dec 2025
Viewed by 112
Abstract
Transition-metal dichalcogenides have emerged as promising non-noble-metal electrocatalysts for efficient hydrogen production through the hydrogen evolution reaction (HER). In this work, we fabricated the graphitic carbon nitride-decorated cobalt diselenide (gC3N4-CoSe2) nanocomposites via the facile hydrothermal method. The [...] Read more.
Transition-metal dichalcogenides have emerged as promising non-noble-metal electrocatalysts for efficient hydrogen production through the hydrogen evolution reaction (HER). In this work, we fabricated the graphitic carbon nitride-decorated cobalt diselenide (gC3N4-CoSe2) nanocomposites via the facile hydrothermal method. The prepared gC3N4-CoSe2 nanocomposites displayed an interconnected and aggregated morphology of gC3N4-decorated CoSe2 nanoparticles with offering large surface area of 82 m2/g. The gC3N4-CoSe2 nanocomposites exhibited excellent HER activity with a low overpotential (141 mV) and tiny Tafel slope (62 mV/dec) with excellent durability for 100 h at 10 mA/cm2 in an alkaline electrolyte. These outstanding HER performances of gC3N4-CoSe2 can be ascribed to the synergistic interaction between the electrochemically active porous CoSe2 nanoparticles and the highly conductive gC3N4 nanosheets. These results indicate that the gC3N4-CoSe2 nanocomposites hold promising and efficient HER electrocatalysts for sustainable green hydrogen production. Full article
(This article belongs to the Section Molecular Nanoscience)
Show Figures

Figure 1

22 pages, 8029 KB  
Article
Early-Stage Fault Diagnosis for Batteries Based on Expansion Force Prediction
by Liye Wang, Yong Li, Yuxin Tian, Jinlong Wu, Chunxiao Ma, Lifang Wang and Chenglin Liao
Energies 2025, 18(24), 6619; https://doi.org/10.3390/en18246619 - 18 Dec 2025
Viewed by 157
Abstract
With the continuous expansion of the electric vehicle market, lithium-ion batteries have also been rapidly developed, but this has brought about concerns over the safety of lithium-ion batteries. Research on the correlation mechanism between the expansion and safety of lithium-ion batteries is a [...] Read more.
With the continuous expansion of the electric vehicle market, lithium-ion batteries have also been rapidly developed, but this has brought about concerns over the safety of lithium-ion batteries. Research on the correlation mechanism between the expansion and safety of lithium-ion batteries is a key step in the construction of a battery life cycle safety evaluation system. In this paper, the physicochemical mechanism of early safety faults in batteries was analyzed from three dimensions of electricity, heat, and force. The interactions of electrochemical side reactions, thermal runaway chain reactions, and mechanical fault mechanisms were analyzed, and the core induction of early safety risk was explored. A battery coupling model based on electrical, thermal, and mechanical dimensions was built, and the accuracy of the coupling model was verified by a variety of test conditions. Based on the coupling model, the stress distribution of the battery under different safety boundary conditions was simulated, and then the average expansion force of the battery surface was calculated through the stress distribution results. Through this process, a multi-parameter database based on the test and simulation data was obtained. According to the data of battery parameters at different times, an early safety classification method based on the battery expansion force was proposed, and a classification model between battery dimension data and safety level was proposed based on the nonlinear dynamic sparse regression method, and the classification accuracy was validated. From the perspective of fault warning, by establishing a multi-physical coupling model of electrical, thermal, and mechanical fields, the space-time evolution law of battery expansion under different working conditions can be dynamically monitored, and the fault criterion based on the expansion force can be established accordingly to provide quantitative indicators for safety risk classification warnings, and improve the battery’s reliability and durability. Full article
Show Figures

Figure 1

11 pages, 1586 KB  
Article
Toward Detection of Inert PFAS: Single/Few-CNT Devices for Sensing PFOA
by Collins Dormena, Obed Appiah and Taher Ghomian
Sensors 2025, 25(24), 7653; https://doi.org/10.3390/s25247653 - 17 Dec 2025
Viewed by 213
Abstract
Electron transport in carbon nanotubes (CNTs) is highly sensitive to interactions with their local environment, making them promising candidates for sensing applications. Specifically, this could allow detection of electrochemically and optically inert compounds that typically require complex and expensive analytical techniques. In this [...] Read more.
Electron transport in carbon nanotubes (CNTs) is highly sensitive to interactions with their local environment, making them promising candidates for sensing applications. Specifically, this could allow detection of electrochemically and optically inert compounds that typically require complex and expensive analytical techniques. In this study, we examine how single-walled carbon nanotubes (SWCNTs) respond to perfluorooctanoic acid (PFOA), a common per- and polyfluoroalkyl substance (PFAS). To improve sensitivity, we employ a single/few-CNT device setup where a small number of SWCNTs were aligned across nanogaps between gold electrodes with the dielectrophoresis method. This structure addresses the challenges of large CNT networks, such as inter-CNT interactions, drift, and degradation, resulting in improved stability for practical applications. Results showed that device resistance drops as a function of PFOA concentrations. Additionally, positive gate voltage enhances sensitivity by attracting negatively charged PFOA molecules to the SWCNT surface. Specifically, we report that the sensitivity increases by nearly an order of magnitude under a 0.3 V gate bias. Impedance spectroscopy reveals distinct amplitude and phase signatures, enabling selective detection of PFOA among different analytes. Applying gate voltage further enhances sensor selectivity, highlighting the potential of gated SWCNT devices for accurate and selective environmental monitoring. The device demonstrates promising performance as a robust platform for creating single/few-CNT nanosensors for detecting electrochemically and optically inert substances like PFAS molecules. Full article
(This article belongs to the Special Issue Bio & Chem Sensors: Young Scientists in the Americas)
Show Figures

Figure 1

39 pages, 2987 KB  
Review
Atmospheric Pressure Plasma for Carbon Material Modification and Synthesis: A Comprehensive Review
by Siqi Deng, Nozomi Takeuchi and Toshiro Kaneko
Materials 2025, 18(24), 5662; https://doi.org/10.3390/ma18245662 - 17 Dec 2025
Viewed by 202
Abstract
Atmospheric pressure plasma (APP) has emerged as a versatile tool for the functionalization, modification, and synthesis of carbon-based materials. This review summarizes the historical development, underlying principles, and current progress of APP in material science, with a particular focus on carbon nanomaterials. The [...] Read more.
Atmospheric pressure plasma (APP) has emerged as a versatile tool for the functionalization, modification, and synthesis of carbon-based materials. This review summarizes the historical development, underlying principles, and current progress of APP in material science, with a particular focus on carbon nanomaterials. The fundamentals of plasma parameters are introduced to highlight their roles in driving plasma–surface interactions and establish the diagnostics for these parameters. Recent advances in gas-phase and plasma–liquid systems and the influence of different plasma chemistries have led to different material functionalization results, which are discussed. Applications of plasma-treated carbon in energy storage, environment, and biomedicine are critically reviewed, demonstrating significant improvements in electrochemical performance, adsorption efficiency, and biocompatibility. Finally, current challenges are outlined alongside future perspectives on integrating APP. This review aims to provide a comprehensive reference for researchers seeking to exploit APP as a green and scalable platform for next-generation carbon materials. Full article
(This article belongs to the Special Issue Advances in Plasma Treatment of Materials)
Show Figures

Graphical abstract

26 pages, 927 KB  
Review
Multilevel Mechanisms of Magnetic Nanoparticles in Enhancing Dark Fermentative Hydrogen Production: From Pure to Mixed Cultures
by Junwei Yan and Zhangzhang Xie
Hydrogen 2025, 6(4), 120; https://doi.org/10.3390/hydrogen6040120 - 14 Dec 2025
Viewed by 265
Abstract
Dark fermentative hydrogen production is constrained by challenges including low hydrogen yield and operational instability. Magnetic nanoparticles (MNPs) have emerged as promising additives for enhancing biohydrogen production due to their unique physicochemical characteristics, such as high specific surface area, excellent electrical conductivity, and [...] Read more.
Dark fermentative hydrogen production is constrained by challenges including low hydrogen yield and operational instability. Magnetic nanoparticles (MNPs) have emerged as promising additives for enhancing biohydrogen production due to their unique physicochemical characteristics, such as high specific surface area, excellent electrical conductivity, and inherent magnetic recyclability. This review systematically compares the enhancement mechanisms of MNPs in two distinct microbial systems: pure cultures and mixed cultures. In pure cultures, MNPs function primarily at the cellular and molecular levels through the following: (1) serving as sustained-release sources of essential metallic cofactors like Fe and Ni to promote hydrogenase synthesis and activation; (2) acting as efficient electron carriers that facilitate intracellular and extracellular electron transfer; and (3) redirecting central carbon metabolism toward high-hydrogen-yield acetate-type fermentation. In mixed cultures, which are more representative of practical applications, MNPs operate at the ecological level through the following: (1) modifying microenvironmental niches to exert selective pressure that enriches hydrogen-producing bacteria, such as Clostridium; (2) forming conductive networks that promote direct interspecies electron transfer and strengthen syntrophic metabolism; and (3) enhancing system robustness via toxin adsorption and pH buffering. Despite promising phenomenological improvements, critical knowledge gaps remain, including unclear structure–activity relationships of MNPs, insufficient quantification of electron transfer pathways, unknown genetic regulatory mechanisms, and overlooked magnetobiological effects. Future research should integrate electrochemical monitoring, multi-omics analyses, and advanced characterization techniques to deepen the mechanistic understanding of nanomaterial–microbe interactions. This review aims to provide theoretical insights and practical strategies for developing efficient and sustainable MNP–microorganism hybrid systems for scalable biohydrogen production. Full article
(This article belongs to the Special Issue Advances in Hydrogen Production, Storage, and Utilization)
Show Figures

Figure 1

27 pages, 3101 KB  
Review
Recent Progress in Nanomaterials for Electrochemical Sensing of Natural Bioactive Compounds
by Branka B. Petković, Miloš Ognjanović and Dalibor M. Stanković
Chemosensors 2025, 13(12), 429; https://doi.org/10.3390/chemosensors13120429 - 11 Dec 2025
Viewed by 283
Abstract
The market for bioactive compounds of natural origin has expanded greatly over the past few years. These compounds can be found as individual supplements or food additives. Due to the importance of this market, incorrect data on their composition can often be found. [...] Read more.
The market for bioactive compounds of natural origin has expanded greatly over the past few years. These compounds can be found as individual supplements or food additives. Due to the importance of this market, incorrect data on their composition can often be found. Therefore, monitoring their concentration is of great importance. Although there are various methods for their selective and sensitive determination, electrochemical sensors represent an important tool in this field. With the development of nanotechnology, additional importance has been given to these sensors. Strictly controlled synthesis procedures can yield nanomaterials with unique morphological properties and significantly improved electrocatalytic capabilities. The integration of two or more nanomaterials in the form of a nanocomposite and/or nanohybrids allows for the synergistic effect of each of the components. Thus, excellent final characteristics are obtained in the field of electrochemical sensors, such as improved sensor stability, selectivity, and lower detection limits. In recent years, various forms of carbon nanomaterials, polymer films, metal and metal oxide nanoparticles (or simply metal/metal oxide nanoparticles), MOFs, porous nanomaterials, MXenes, and others with clearly defined characteristics represent an important step forward in this field. Carefully prepared, these materials achieve strong interactions with selected analytes, which results in significant progress in analytical methods for monitoring biologically active compounds. Therefore, this review summarizes the latest trends in this field, focusing on the method of material preparation, final morphology and electrocatalytic properties, selectivity, and sensitivity. Conclusions and expected future directions in this field are also given in order to improve current analytical performance. Full article
(This article belongs to the Special Issue Nanostructured Materials for Electrochemical Sensing)
Show Figures

Figure 1

27 pages, 6828 KB  
Article
Evaluation of the Inhibitory Efficiency of Yohimbine on Corrosion of OLC52 Carbon Steel and Aluminum in Acidic Acetic/Acetate Media
by George-Daniel Dima, Mircea Laurențiu Dan, Nataliia Rudenko and Nicolae Vaszilcsin
Coatings 2025, 15(12), 1458; https://doi.org/10.3390/coatings15121458 - 10 Dec 2025
Viewed by 182
Abstract
The present study assesses the effectiveness of the indole-type alkaloid Yohimbine (YHB) as a green corrosion inhibitor for OLC52 carbon steel and Al in 0.25/0.25 mol L−1 acetic acid/potassium acetate solutions relevant for de-icing applications. Electrochemical techniques, including cyclic and linear sweep [...] Read more.
The present study assesses the effectiveness of the indole-type alkaloid Yohimbine (YHB) as a green corrosion inhibitor for OLC52 carbon steel and Al in 0.25/0.25 mol L−1 acetic acid/potassium acetate solutions relevant for de-icing applications. Electrochemical techniques, including cyclic and linear sweep voltammetry, chronoamperometry, and electrochemical impedance spectroscopy have been combined with the evaluation of adsorption isotherms and molecular modeling calculations. YHB significantly decreases the corrosion rate for both metals, attaining inhibitory efficiencies of up to 95% for OLC52 and 91% for Al at 298 K, while maintaining high protection efficiency even at higher temperatures. The Langmuir adsorption model and the values of Gadso between −31 and −41 kJ mol−1 indicate a spontaneous adsorption process defined by a mixed physicochemical mechanism, resulting in the formation of a compact protective film. Quantum molecular descriptors support the ability of YHB molecules to interact with metal surfaces via donor–acceptor interactions and electrostatic interactions. The findings demonstrate the potential of YHB as an environmentally friendly inhibitor for the protection of ferrous and non-ferrous alloys in mildly acidic acetic/acetate media used in de-icing solutions. Full article
Show Figures

Figure 1

15 pages, 2424 KB  
Article
Ionomer-Regulated Cu/Co Tandem Catalysis for Efficient Electrochemical Nitrate-to-Ammonia Conversion
by Quan Zhou, Lewa Zhang, Ziluo Wang, Qiutong Wang and Chenyuan Zhu
Catalysts 2025, 15(12), 1156; https://doi.org/10.3390/catal15121156 - 9 Dec 2025
Viewed by 376
Abstract
Electrochemical nitrate reduction to ammonia offers a sustainable route for nitrogen fixation, yet achieving high efficiency and selectivity remains challenging. Here, a Sustainion-enabled Cu/Co tandem catalyst is developed to couple compositional synergy with ionomer-mediated interfacial regulation. The optimized Cu60Co40/Sus/C [...] Read more.
Electrochemical nitrate reduction to ammonia offers a sustainable route for nitrogen fixation, yet achieving high efficiency and selectivity remains challenging. Here, a Sustainion-enabled Cu/Co tandem catalyst is developed to couple compositional synergy with ionomer-mediated interfacial regulation. The optimized Cu60Co40/Sus/C electrode delivers a Faradaic efficiency of 91.3% and an NH3 yield rate of 2.63 mmol gcat.−1 h−1 at −0.3 V vs. RHE, surpassing Cu-Co/Nafion/C and Cu-Co/C counterparts. Structural analyses confirm that Sustainion prevents nanoparticle aggregation and maintains robust Cu/Co interfaces. Electrochemical and in situ spectroscopic studies reveal that the cationic quaternary ammonium groups of Sustainion electrostatically enrich NO3/NO2 intermediates, facilitating their adsorption and hydrogenation toward NH3 formation. The combined structural stabilization and intermediate modulation enable efficient tandem catalysis between Cu-driven nitrate activation and Co-mediated hydrogenation. This work provides molecular-level insight into ionomer–catalyst interactions and highlights interfacial engineering as a powerful strategy for sustainable ammonia synthesis. Full article
Show Figures

Graphical abstract

Back to TopTop