Sign in to use this feature.

Years

Between: -

Subjects

remove_circle_outline
remove_circle_outline
remove_circle_outline
remove_circle_outline
remove_circle_outline
remove_circle_outline
remove_circle_outline
remove_circle_outline
remove_circle_outline

Journals

remove_circle_outline
remove_circle_outline
remove_circle_outline
remove_circle_outline
remove_circle_outline
remove_circle_outline
remove_circle_outline
remove_circle_outline
remove_circle_outline
remove_circle_outline
remove_circle_outline
remove_circle_outline

Article Types

Countries / Regions

remove_circle_outline
remove_circle_outline
remove_circle_outline
remove_circle_outline
remove_circle_outline

Search Results (1,136)

Search Parameters:
Keywords = electric arc

Order results
Result details
Results per page
Select all
Export citation of selected articles as:
27 pages, 3461 KB  
Article
Energetic Characterization of 3-D Printed Acrylonitrile Butadiene Styrene Fuels for Hybrid Rocket Propulsion Applications
by Stephen A. Whitmore, Ryan J. Thibaudeau and Ava T. Wilkey
Fire 2026, 9(5), 177; https://doi.org/10.3390/fire9050177 - 22 Apr 2026
Viewed by 999
Abstract
Hybrid rocket technologies are gaining recognition as eco-friendly alternatives to traditional propulsion systems. Utah State University’s Propulsion Research Laboratory has developed a High-Performance Green Hybrid Propulsion (HPGHP) technology, leveraging 3D-printed ABS fuel for reliable, low-energy ignition. Among tested materials, only ABS shows suitable [...] Read more.
Hybrid rocket technologies are gaining recognition as eco-friendly alternatives to traditional propulsion systems. Utah State University’s Propulsion Research Laboratory has developed a High-Performance Green Hybrid Propulsion (HPGHP) technology, leveraging 3D-printed ABS fuel for reliable, low-energy ignition. Among tested materials, only ABS shows suitable electrical-breakdown properties for arc ignition. Unfortunately, due to the proprietary formulations in commercial ABS blends, and its limited use as a rocket-propellant, related composition and combustion data are limited. This study uses spectroscopic evaluation and bomb calorimetry to estimate material compositions, enthalpies of formation, and combustion energies for multiple commercially available 3-D print feed stock ABS types, finding minimal differences amongst the samples tested. Based on these test results, “representative” ABS properties including chemical formula, mean molecular weight, enthalpy of formation, and Higher Heating Value, is recommended. Follow-on tests with 5 alternative, commonly used, 3D-printable thermoplastic feed stocks demonstrate that ABS has significantly higher energy content. This result supports ABS’s advantages and utility as a conveniently fabricated hybrid rocket fuel. Full article
(This article belongs to the Special Issue Advanced Analysis of Jet Flames and Combustion)
Show Figures

Figure 1

21 pages, 8473 KB  
Article
Vacuum Degree Monitoring of Distribution Class Vacuum Interrupter Using Non-Contact Coupling Capacitor Based on AC and DC Partial Discharge
by Seungmin Bang, Chanyeol Ryu and Bang-Wook Lee
Energies 2026, 19(8), 2005; https://doi.org/10.3390/en19082005 - 21 Apr 2026
Viewed by 129
Abstract
Vacuum degree inside vacuum interrupter (VI) deteriorates due to cracks from long-term operation of VI, gas emitted from internal arc heat, leakage through the joint, etc. Partial discharge occurs between the two contacts inside the VI or between the contact and floating shield, [...] Read more.
Vacuum degree inside vacuum interrupter (VI) deteriorates due to cracks from long-term operation of VI, gas emitted from internal arc heat, leakage through the joint, etc. Partial discharge occurs between the two contacts inside the VI or between the contact and floating shield, which leads to dielectric breakdown and electrical accidents of high voltage apparatus. In this paper, the study on the vacuum degree monitoring of distribution class vacuum interrupter according to non-contact method of coupling capacitor based on partial discharge was performed. In order to monitor the partial discharge between two contacts inside VI with high accuracy, a partial discharge sensing electrode (PDDE) was designed using the 3D finite element method (FEM). In addition, after calculating the internal capacitance according to the structure and size characteristics inside VI, the capacity of the coupling capacitor to detect the signal was calculated. The partial discharge characteristics according to the vacuum degree were analyzed by applying PDDE and a coupling capacitor. As results, it was found that the partial discharge characteristics inside VI differ depending on the voltage type. In addition, it was confirmed that even if VI has the same internal structure and size, the partial discharge characteristics appear differently. Based on the experimental results, we proposed maintenance criteria for VI for each voltage type. Full article
(This article belongs to the Section F: Electrical Engineering)
Show Figures

Figure 1

21 pages, 12913 KB  
Article
Process Parameter Effects on the Environmental Performance of Wire Arc Additive Manufacturing of Invar 36 Alloy: A Life Cycle Assessment Approach
by Rosa Abate, Giulio Mattera, Samruddha Kokare, Luigi Nele and Guido Guizzi
Sustainability 2026, 18(8), 4106; https://doi.org/10.3390/su18084106 - 20 Apr 2026
Viewed by 262
Abstract
This study quantitatively evaluates the impact of Wire Arc Additive Manufacturing (WAAM) process parameters on the environmental performance of components produced in Invar 36 alloy. An experimental campaign involving 49 parameter sets was carried out by varying wire feed speed, welding voltage, and [...] Read more.
This study quantitatively evaluates the impact of Wire Arc Additive Manufacturing (WAAM) process parameters on the environmental performance of components produced in Invar 36 alloy. An experimental campaign involving 49 parameter sets was carried out by varying wire feed speed, welding voltage, and welding speed. For each condition, electrical signals, shielding gas consumption, and wire usage were measured and converted into parameter-resolved Life Cycle Inventory (LCI) data. A cradle-to-gate Life Cycle Assessment (LCA) was implemented in SimaPro 9.6 using the European CML-IA baseline v3.10 midpoint method, adopting 1 kg of as-built deposited Invar 36 as the functional unit. Results show that feedstock production represents the dominant hotspot (8.68 kg CO2-eq/kg), while the WAAM stage contributes between 1.13 and 4.12 kg CO2-eq/kg, leading to a total impact ranging from 9.81 to 12.80 kg CO2-eq/kg. As a result, this study demonstrates that process parameter selection strongly influences environmental performance. Indeed, Specific Energy Consumption (SEC) ranges from 0.44 to 1.95 kWh/kg, while argon consumption varies between 0.26 and 1.51 kg/kg of deposited material. By analysing the results and excluding unstable or manufacturing-infeasible deposition regimes, the optimal trade-off between process stability and environmental impact is achieved at approximately WFS = 7 m/min, V = 20 V, and WS = 6.5 mm/s. Beyond quantifying the environmental hotspots of Invar 36 WAAM, this study provides a dedicated, parameter-resolved cradle-to-gate LCA based on experimentally measured foreground data collected across 49 process parameter combinations. By combining environmental assessment with feasibility screening of the investigated deposition regimes, the work identifies not only environmentally favourable conditions, but also parameter regions that are technologically viable for WAAM processing of Invar 36. The resulting dataset provides a benchmark foundation for future sustainability-oriented process optimisation and decision support in WAAM. Full article
Show Figures

Figure 1

20 pages, 5426 KB  
Article
Ignition of Vegetation Induced by Discharge from Abraded Medium-Voltage Insulated Overhead Lines
by Tian Tan, Huajian Peng, Xin Yang, Jiaxi Liu, Mingzhe Li, Shuaiwei Fu and Yafei Huang
Energies 2026, 19(8), 1990; https://doi.org/10.3390/en19081990 - 20 Apr 2026
Viewed by 207
Abstract
Tree contact discharge is a key contributing factor to wildfires caused by medium-voltage insulated conductors. Prolonged abrasion of the insulation layer by branches gradually creates weak points in the insulation. When subjected to lightning strikes, these areas are prone to forming lightning-induced pinholes, [...] Read more.
Tree contact discharge is a key contributing factor to wildfires caused by medium-voltage insulated conductors. Prolonged abrasion of the insulation layer by branches gradually creates weak points in the insulation. When subjected to lightning strikes, these areas are prone to forming lightning-induced pinholes, which can subsequently trigger partial discharge and even ignition. This study systematically investigates the discharge-induced ignition mechanism for 10 kV overhead insulated conductors in tree contact scenarios by establishing an experimental platform integrated with high-speed imaging, ultraviolet detection, and simulation methods. Three types of typical defects were set up in the experiments: complete insulation abrasion, lightning puncture holes accompanied by localized abrasion, and lightning puncture holes without abrasion. The development process and characteristics of different discharge forms were observed and analyzed. The results indicate that the tree contact discharge ignition mechanism can be categorized into two types: thermal accumulation and direct arcing. The former occurs when insulation abrasion or composite defects exist, where sustained partial discharge or a high-resistance current leads to gradual heat accumulation, resulting in an ignition delay lasting tens of seconds. The latter occurs when only small defects such as lightning puncture holes exist in the insulation layer. A concentrated arc forms due to gap breakdown under high voltage, leading to a millisecond-level ignition process. The study found that different discharge forms produce significantly distinct ablation and carbonization patterns on both the insulation layer and the branch surface, reflecting differences in energy transfer pathways. Simulation analysis further indicated that the thickness of the insulation layer affects the electric field distribution in the tree contact gap, with the initial discharge field strength decreasing as the thickness increases. This study provides experimental evidence and classification guidance for tree contact fault monitoring, insulation condition assessment, and wildfire prevention and control in medium-voltage distribution networks. Full article
Show Figures

Figure 1

39 pages, 4643 KB  
Article
Machine Learning-Based Prediction of Irrigation Water Quality Index with SHAP Interpretability: Application to Groundwater Resources in the Semi-Arid Region, Algeria
by Mohamed Azlaoui, Salah Karef, Atif Foufou, Nadjib Haied, Nesrine Azlaoui, Abdelaziz Rabehi, Mustapha Habib and Aziez Zeddouri
Water 2026, 18(8), 959; https://doi.org/10.3390/w18080959 - 17 Apr 2026
Viewed by 326
Abstract
In semi-arid regions, sustainable groundwater management for irrigation is critical for agricultural productivity and food security. This study presents an integrated methodological framework combining hydrochemical characterization, machine learning (ML) modeling, and explainable artificial intelligence (XAI) to predict the Irrigation Water Quality Index (IWQI) [...] Read more.
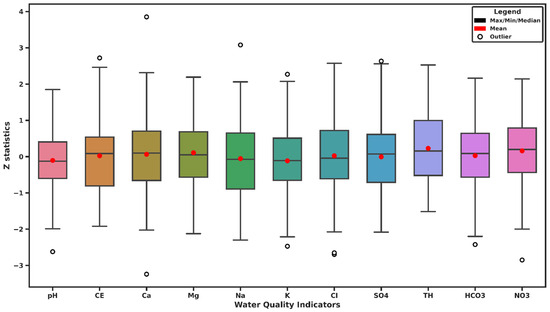
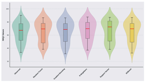
In semi-arid regions, sustainable groundwater management for irrigation is critical for agricultural productivity and food security. This study presents an integrated methodological framework combining hydrochemical characterization, machine learning (ML) modeling, and explainable artificial intelligence (XAI) to predict the Irrigation Water Quality Index (IWQI) in the Ain Oussera plain, Djelfa Province, Algeria. A total of 191 groundwater samples were collected from November 2023 to September 2024 and analyzed for major ions and physicochemical parameters. Multiple irrigation suitability indices were calculated, including Sodium Adsorption Ratio (SAR), Sodium Percentage (Na%), Magnesium Hazard (MH), Permeability Index (PI), Residual Sodium Carbonate (RSC), Soluble Sodium Percentage (SSP), and Kelly’s Ratio (KR). Five ML models were developed and evaluated for IWQI prediction: Random Forest, Gradient Boosting, XGBoost, K-Nearest Neighbors, and Support Vector Regression. Results showed that 55% of groundwater samples exhibited low to no restrictions for irrigation use, while 19% required high to severe restrictions. The XGBoost model demonstrated superior performance, with the highest R2 (0.95) and the lowest RMSE (3.22) among all tested algorithms. SHAP (SHapley Additive exPlanations) analysis provided a transparent interpretation of model predictions, identifying electrical conductivity and Sodium Adsorption Ratio as the most influential parameters affecting IWQI, while chloride, sodium, total hardness, and magnesium had minimal impact. Spatial mapping using Inverse Distance Weighting (IDW) interpolation in ArcGIS 10.8 revealed considerable spatial variability in water quality throughout s the plain. This research addresses a critical gap in North African groundwater management by integrating ML predictive capabilities with XAI transparency, providing water resource managers and agricultural stakeholders with interpretable, data-driven tools for sustainable irrigation planning in water-stressed semi-arid environments. Full article
Show Figures

Figure 1

12 pages, 3224 KB  
Article
Magnetic and Electrical Properties of La2−xBixNiMnO6 (x = 0.2, 0.5 and 1.0) Synthesized by High-Temperature and High-Pressure Method
by Lei Xing
Symmetry 2026, 18(4), 671; https://doi.org/10.3390/sym18040671 - 17 Apr 2026
Viewed by 205
Abstract
Polycrystalline La2−xBixNiMnO6 (x = 0.2, 0.5, 1.0) samples were synthesized via a high-temperature and high-pressure method, with their structural, magnetic, and electrical properties systematically characterized. X-ray diffraction (XRD) confirms a monoclinic double perovskite structure (space group P21 [...] Read more.
Polycrystalline La2−xBixNiMnO6 (x = 0.2, 0.5, 1.0) samples were synthesized via a high-temperature and high-pressure method, with their structural, magnetic, and electrical properties systematically characterized. X-ray diffraction (XRD) confirms a monoclinic double perovskite structure (space group P21/n) for all samples, while Bi3+ induces a lattice volume expansion trend inferred from XRD peak shifts due to its larger ionic radius than La3+. Magnetically, all exhibit ferromagnetism and soft magnetic features, with magnetization decreasing as Bi content increases. The x = 0.2 and 0.5 samples show two distinct Curie temperatures, both decreasing with Bi substitution, whereas the higher Curie temperature vanishes in the x = 1.0 sample, likely due to Bi-induced structural changes. Electrically, all display semiconducting behavior (resistivity: x = 0.5 > x = 0.2 > x = 1.0) and negative magnetoresistance (MR) at 200 K, peaking at 12% (x = 0.5) and 7.5% (x = 1.0). For the x = 1.0 sample, negative magnetoresistance strengthens with decreasing temperature (130–200 K), with magnetoresistance-field (MR-H) curves showing herringbone and arc shapes. Full article
Show Figures

Figure 1

20 pages, 4158 KB  
Article
Influence of Train Speed on Transient Current Evolution in Traction Network Under Pantograph–Catenary Offline Conditions
by Changchun Lv, Wanting Xue, Jun Guo and Xuan Wu
Energies 2026, 19(8), 1913; https://doi.org/10.3390/en19081913 - 15 Apr 2026
Viewed by 417
Abstract
To investigate the influence of train operating speed on the transient characteristics of the pantograph–catenary arc, this paper establishes an integrated simulation model encompassing the traction network, electric locomotive, and arc. In this model, the traction network adopts a chain circuit model based [...] Read more.
To investigate the influence of train operating speed on the transient characteristics of the pantograph–catenary arc, this paper establishes an integrated simulation model encompassing the traction network, electric locomotive, and arc. In this model, the traction network adopts a chain circuit model based on multi-conductor transmission line theory. The electric locomotive model considers the train body and the on-board transformer. For the pantograph–catenary offline arc, an improved Habedank model is employed, which takes the train operating speed and arc current as variables. Based on this model, this paper systematically investigates the variation patterns of arc electrical parameters and transient currents in each line of the traction network with train operating speed under pantograph–catenary offline. The simulation results indicate that as train speed increases, both the steady-state arc voltage and the maximum voltage at arc ignition rise, and the arc extinction time at current zero-crossing is prolonged. The peak arc currents on the contact wire, feeder, protective wire, and rails decrease, while the transient current on the ground wire increases. This study can provide a reference for the electromagnetic compatibility design, insulation coordination optimization, and electromagnetic protection of high-speed railway traction power supply systems. Full article
Show Figures

Figure 1

15 pages, 8016 KB  
Article
A Comprehensive Performance Assessment of the Combined URSA and Dedicated Notching Methods in Flux-Switching Machines
by Basak Tepretmez, Zeynep Tufek and Emrah Cetin
Machines 2026, 14(4), 434; https://doi.org/10.3390/machines14040434 - 14 Apr 2026
Viewed by 288
Abstract
This study focuses on improving the electromagnetic performance of flux-switching permanent magnet (FSPM) machines as a high-efficiency alternative aligned with the “green industry” concept. FSPM machines offer high torque density and mechanical robustness due to their stator-mounted magnet design; however, they suffer from [...] Read more.
This study focuses on improving the electromagnetic performance of flux-switching permanent magnet (FSPM) machines as a high-efficiency alternative aligned with the “green industry” concept. FSPM machines offer high torque density and mechanical robustness due to their stator-mounted magnet design; however, they suffer from cogging torque and torque ripple caused by magnet–stator tooth interactions. Three structural optimization methods were applied to a 12-slot, 10-pole reference FSPM machine: rotor notching, unequal rotor slot arc (URSA), and a hybrid approach combining both techniques. Eight models (D0–D7) were analyzed using genetic algorithms and the two-dimensional finite element method (FEM). Results demonstrate significant performance improvements while maintaining power density. The D1 design reduced torque ripple from 9.2% to 1.59%, achieving approximately a sixfold improvement. The D3 design yielded the lowest cogging torque at 0.4 Nm. Hybrid configurations (D5–D7) exhibited consistent performance with high back-EMF amplitude and uniform torque distribution. Physical manufacturability was validated through laser-cut prototype production of the optimized models. These findings highlight the strategic potential of FSPM machines for electric vehicle and industrial automation applications requiring precise positioning and high efficiency. Full article
(This article belongs to the Section Electrical Machines and Drives)
Show Figures

Figure 1

17 pages, 3489 KB  
Article
Sustainable Nonstructural Concrete Using Field-Sourced Recycled Concrete Aggregate from Bridge Demolition: Mechanical Behavior and Performance Boundaries
by Tianjiao Zhao, Chelsea Buckhalter and George Wang
Infrastructures 2026, 11(4), 136; https://doi.org/10.3390/infrastructures11040136 - 14 Apr 2026
Viewed by 312
Abstract
The use of recycled concrete aggregate (RCA) derived from demolished bridges offers a practical approach for reducing reliance on virgin aggregates in transportation construction. The goal of this study is to investigate the mechanical performance of concrete incorporating coarse RCA obtained from bridge [...] Read more.
The use of recycled concrete aggregate (RCA) derived from demolished bridges offers a practical approach for reducing reliance on virgin aggregates in transportation construction. The goal of this study is to investigate the mechanical performance of concrete incorporating coarse RCA obtained from bridge demolition projects in eastern North Carolina and to evaluate its suitability for local nonstructural concrete applications. Aggregate characterization, fresh concrete evaluation, compressive strength testing at 7, 28, and 90 days, and full stress–strain analysis were conducted in accordance with ASTM standards. Three replicate cylinders (4 in. × 8 in./102 mm × 203 mm) were tested per mixture and age. Results indicate that increasing RCA replacement primarily affected density and early-age strength, with a limited influence on long-term compressive strength. Although mixtures with high RCA contents exhibited slightly reduced 7-day strength and lower unit weight, all mixtures exceeded Class B strength requirements specified by the North Carolina Department of Transportation at later ages. Stress–strain analysis showed stable post-peak behavior and no systematic increase in brittleness with RCA content. Mixtures incorporating locally available electric arc furnace steel slag demonstrated additional strength enhancement. These results present systematic relationships among RCA replacement levels, strength development, and deformation behavior under practical processing conditions. The study establishes experimentally grounded insight into the mechanical behavior of transportation-derived recycled aggregates and defines practical performance boundaries for their use in nonstructural transportation concrete, especially in eastern North Carolina infrastructure rehabilitation projects. Full article
Show Figures

Figure 1

24 pages, 11059 KB  
Article
Large-Scale Modeling of Urban Rooftop Solar Energy Potential Using UAS-Based Digital Photogrammetry and GIS Spatial Analysis: A Case Study of Sofia City, Bulgaria
by Stelian Dimitrov, Martin Iliev, Bilyana Borisova, Stefan Petrov, Ivo Ihtimanski, Leonid Todorov, Ivan Ivanov, Stoyan Valchev and Kristian Georgiev
Urban Sci. 2026, 10(4), 210; https://doi.org/10.3390/urbansci10040210 - 14 Apr 2026
Viewed by 986
Abstract
Urban rooftop photovoltaic systems represent a substantial yet still underutilized renewable energy resource, particularly in high-density residential environments. Accurate large-scale assessment of rooftop solar potential, however, remains challenging due to the complex geometry of urban morphology and the limited availability of high-resolution geospatial [...] Read more.
Urban rooftop photovoltaic systems represent a substantial yet still underutilized renewable energy resource, particularly in high-density residential environments. Accurate large-scale assessment of rooftop solar potential, however, remains challenging due to the complex geometry of urban morphology and the limited availability of high-resolution geospatial data. This study presents a large-scale methodological framework for estimating the theoretical photovoltaic potential of urban rooftop spaces using Unmanned Aerial System (UAS)-based digital photogrammetry and GIS-based spatial analysis. The approach integrates centimeter-resolution Digital Surface Models (DSMs) and orthophotos derived from fixed-wing UAS surveys with detailed rooftop vectorization and solar radiation modeling implemented in a GIS environment. The methodology accounts for rooftop geometry, surface orientation, slope, shading effects, and rooftop-mounted obstacles. The methodology consists of data collection of high-resolution RGB imagery suitable for detailed three-dimensional reconstruction. The images are captured with a UAS equipped with a S.O.D.A. 3D photogrammetric camera, creating a dense, georeferenced three-dimensional point cloud based on UAS imagery. Based on the point cloud, a high-resolution Digital Surface Model (DSM) was produced. Rooftop boundaries and rooftop-mounted structures were digitized on the basis of an orthophoto created from UAS imagery. The analysis workflow consists of solar modeling using ArcGIS Pro, including calculating the solar radiation. The next methodological step is to filter low radiation rooftops, steep slopes, and northern-oriented rooftops. Finally, we calculate the potential electricity production. The framework was applied to high-density residential districts in Sofia, Bulgaria, dominated by prefabricated panel buildings with predominantly flat rooftops. Drone applications in such studies are typically restricted to modeling individual roofs, which severely limits their scalability for district-wide evaluations. To overcome this, the study employs a specialized fixed-wing UAS uniquely certified for legal operations over densely populated urban environments. This platform rapidly maps large territories, ensuring consistent lighting and shading conditions that significantly enhance the accuracy of subsequent rooftop digitization. Furthermore, the resulting centimeter-level precision enables the exact vectorization of micro-rooftop obstacles. Capturing these intricate details is a critical innovation that effectively prevents the overestimation of solar energy potential commonly observed in conventional large-scale models. Solar radiation was modeled at the pixel level for a full annual cycle and filtered using photovoltaic suitability criteria, including minimum annual radiation thresholds, slope, and aspect constraints. Theoretical electricity production was subsequently estimated using zonal statistics and system performance parameters representative of contemporary photovoltaic installations. The results indicate a total theoretical annual electricity potential of approximately 76.7 GWh for the analyzed rooftop spaces, with an average production of about 34 MWh per rooftop and pronounced spatial variability driven by rooftop geometry and exposure conditions. The findings demonstrate the significant renewable energy potential embedded in existing urban rooftop infrastructure and highlight the applicability of UAS-based photogrammetry for high-resolution, large-area solar potential assessments. The proposed framework provides actionable information for urban energy planning, municipal solar cadaster development, and the strategic integration of photovoltaic systems into dense urban environments, particularly in regions lacking open-access high-resolution geospatial datasets. Full article
(This article belongs to the Special Issue Remote Sensing & GIS Applications in Urban Science)
Show Figures

Figure 1

29 pages, 1375 KB  
Article
A Distribution-Free Neural Estimator for Mean Reversion, with Application to Energy Commodity Markets
by Carlo Mari and Emiliano Mari
Mathematics 2026, 14(8), 1302; https://doi.org/10.3390/math14081302 - 13 Apr 2026
Viewed by 201
Abstract
Accurate estimation of the mean-reversion speed α in the AR(1) process Xt+1=(1α)Xt+εt is central to energy-commodity modelling. Classical estimators such as GARCH, jump-diffusion, and regime-switching produce model-conditioned estimates by [...] Read more.
Accurate estimation of the mean-reversion speed α in the AR(1) process Xt+1=(1α)Xt+εt is central to energy-commodity modelling. Classical estimators such as GARCH, jump-diffusion, and regime-switching produce model-conditioned estimates by embedding α within distributional assumptions, so that different model choices yield different α^ values from the same series without a principled criterion to adjudicate. We propose a distribution-free neural estimator based on a Temporal Convolutional Network (TCN) trained on synthetic AR(1) series with Sinh-ArcSinh (SAS) innovations. Distribution-free here means that no parametric family is assumed for the innovation distribution at inference time: the estimator imposes no distributional hypothesis when processing a new series. The SAS family serves as a training vehicle—not a model for the real data—chosen for its ability to span a broad range of tail weights and asymmetry profiles. The theoretical foundation is spectral invariance: the Yule–Walker equations establish that the autocorrelation structure ρk=(1α)k depends on α alone, provided innovations are uncorrelated across lags—a condition satisfied not only by i.i.d. innovations but also by conditionally heteroscedastic processes such as GARCH. The TCN therefore generalises to volatility-clustering environments without modification, learning to extract α from temporal dependence alone, independently of the marginal innovation distribution and of the temporal variance structure. On held-out test series the estimator outperforms all classical competitors, with the advantage growing monotonically with non-Gaussianity. A robustness analysis on three out-of-distribution innovation families and on AR(1)-GARCH(1,1) processes empirically validates the spectral invariance guarantee across both marginal and temporal variance structure, including near-integrated GARCH processes where innovation kurtosis far exceeds the training range. The distribution-free α^ enables a two-stage pipeline in which α and the innovation distribution are characterised independently—a decoupling structurally impossible in classical likelihood-based approaches. Once trained, the TCN acts as a universal mean-reversion estimator applicable to any price series without re-fitting. Applied to four energy markets—Italian natural gas (PSV price), Italian electricity (PUN price), US Henry Hub, and US PJM West Hub—spanning log-return kurtosis from near-Gaussian to strongly heavy-tailed, the TCN yields robust, distribution-free estimates of mean-reversion speed. Full article
Show Figures

Figure 1

24 pages, 6536 KB  
Article
Research on Multiphysics Simulation of Arcing During Hot Plugging/Unplugging of Electrical Connector Contacts Made of Cu/Ni/Ag Composite Material
by Jidong Sun, Chengming Tang, Yangseng Xu, Yafeng Zhang, Wei Li and Yue Hu
Coatings 2026, 16(4), 459; https://doi.org/10.3390/coatings16040459 - 11 Apr 2026
Viewed by 416
Abstract
Cu/Ni/Ag composite materials are widely used in the manufacturing of electrical connector contacts due to their excellent electrical conductivity and good wear resistance. During hot plugging and unplugging operations, electrical connectors inevitably generate arc discharge, leading to melting, splashing, and erosion of the [...] Read more.
Cu/Ni/Ag composite materials are widely used in the manufacturing of electrical connector contacts due to their excellent electrical conductivity and good wear resistance. During hot plugging and unplugging operations, electrical connectors inevitably generate arc discharge, leading to melting, splashing, and erosion of the contact material, which severely threaten system reliability and service life. To investigate the arc behavior of Cu/Ni/Ag composite electrical connectors during plugging and unplugging, this paper establishes a multiphysics coupling model incorporating electric field, fluid heat transfer, and laminar flow based on the COMSOL simulation software (version 6.2). The model employs a multiphysics coupling approach, incorporating electric field, fluid heat transfer, and laminar flow, to systematically simulate the formation and evolution mechanisms of the arc during plugging and unplugging. The study focuses on analyzing the effects of plugging and unplugging speed, operating voltage, and arc gap distance on the arc, exploring the temporal and spatial evolution characteristics and distribution patterns of arc temperature. The simulation results reveal that the arc temperature follows a radially decreasing gradient, with the core region exceeding 10,000 K. When the operating voltage increases to 1000 V, the arc peak temperature rises to 1.3 × 104 K. As the arc gap distance increases, the arc coverage area expands, and the peak arc temperature increases by approximately 2% to 8%. As the plugging/unplugging speed is increased to 500 mm/s, the peak temperature of the arc increases from 1.19 × 104 K to 1.3 × 104 K. The distribution characteristics of the magnetic field are clearly correlated with the arc temperature field and the electric field intensity distribution and the current density also exhibits typical constriction characteristics. Prolonged arc duration is correlated with an upward trend in peak temperature. Further analysis indicates that the temperature distribution characteristics of the arc are constrained by the competition mechanism of energy deposition and diffusion, while the evolution characteristics of the arc are regulated by the coupling effect of electromagnetic field and mechanical work. The research results provide a theoretical basis and simulation methods for the design of arc-resistant structures in Cu/Ni/Ag composite electrical connectors. Full article
Show Figures

Figure 1

14 pages, 2199 KB  
Article
Development of an Optical Calorimeter Sensor for the Arc Thermal Performance Value (ATPV) Determination on Arc-Rated Materials for Personal Protective Equipment
by Fernanda Cristina Salvador Soares, Márcio Bottaro, Paulo Futoshi Obase, Rogério Masaro, Gleison Elias da Silva and Josemir Coelho Santos
Sensors 2026, 26(8), 2352; https://doi.org/10.3390/s26082352 - 10 Apr 2026
Viewed by 423
Abstract
The determination of the arc rating of arc-resistant materials for the manufacture of personal protective clothing is conducted by measuring the incident and transmitted energies through calorimetry using thermocouples coupled to copper discs during the electric arc events. In this study, custom calorimeters [...] Read more.
The determination of the arc rating of arc-resistant materials for the manufacture of personal protective clothing is conducted by measuring the incident and transmitted energies through calorimetry using thermocouples coupled to copper discs during the electric arc events. In this study, custom calorimeters were constructed by incorporating both a thermocouple wire and an embedded optical-fiber temperature sensor, and the arc ratings of different fabrics were determined in terms of their arc-thermal-performance value (ATPV). The results revealed differences between the measurements obtained with the two sensor types. Notably, the absence of electromagnetic interferences generated by the arc current and the enhanced time response achieved with the optical-fiber temperature sensor signal led to an ATPV arc rating approximately 27% lower than that measured with the thermocouple. These findings underscore the importance of investigating the current methodology used for determining arc ratings to ensure accurate measurement of incident and transmitted energy. Full article
(This article belongs to the Special Issue Optical Fibre Sensors for Challenging Applications)
Show Figures

Figure 1

44 pages, 11137 KB  
Review
Cold Metal Transfer-Based Wire Arc Additive Manufacturing of Al–Si Alloys: Technology Principles, Process Control, Material Behaviour and Defect Formation
by Gabriela Rodríguez-García, Jorge Salguero, Moisés Batista, Leandro González-Rovira and Irene Del Sol
Machines 2026, 14(4), 421; https://doi.org/10.3390/machines14040421 - 10 Apr 2026
Viewed by 500
Abstract
Wire Arc Additive Manufacturing (WAAM) has gained attention as a metal additive manufacturing process producing complex large-scale components with high deposition rates and lower costs. Cold Metal Transfer (CMT) offers reduced heat input and enhanced control of metal transfer, making it suitable for [...] Read more.
Wire Arc Additive Manufacturing (WAAM) has gained attention as a metal additive manufacturing process producing complex large-scale components with high deposition rates and lower costs. Cold Metal Transfer (CMT) offers reduced heat input and enhanced control of metal transfer, making it suitable for aluminium. This review analyses CMT-based WAAM with a focus on Al–Si alloys, providing a synthesis for this material system and establishing a structured comparison of representative studies on process fundamentals, arc mode variants, and key processing parameters. The influence of electrical and kinematic parameters and thermal management on process and geometrical stability, microstructural evolution, defect formation, and mechanical behaviour is discussed. Process behaviour is governed by the temporal distribution of heat input within the CMT cycle and thermal history. Control of heat input can reduce porosity, microstructural heterogeneity, and geometric instability, while advanced CMT modes can improve process stability and material efficiency under appropriate process configurations. Mechanical performance depends on the interaction between process parameters, microstructure, and defects, leading to variability and anisotropy. Despite progress, challenges related to process repeatability, narrow processing windows, defect susceptibility, and predictive capability remain. Future research should focus on parameter optimization, integrated modelling, real-time control, and WAAM-specific alloys to enable reliable industrial implementation. Full article
Show Figures

Graphical abstract

21 pages, 2763 KB  
Article
Study on Electromagnetic Transient Characteristics and Mechanism of Pantograph–Catenary Arc Under Typical Operating Conditions
by Changchun Lv, Wanting Xue, Jun Guo and Xuan Wu
Appl. Sci. 2026, 16(7), 3486; https://doi.org/10.3390/app16073486 - 3 Apr 2026
Viewed by 296
Abstract
To systematically analyze the differences and underlying mechanisms of pantograph–catenary arc discharge characteristics under different operating conditions, this paper measures the complete transient waveforms of arc current, external electric field, and voltage between carriages under various operating conditions based on a unified experimental [...] Read more.
To systematically analyze the differences and underlying mechanisms of pantograph–catenary arc discharge characteristics under different operating conditions, this paper measures the complete transient waveforms of arc current, external electric field, and voltage between carriages under various operating conditions based on a unified experimental platform, using flexible current probes, electric field sensors, and active differential probes for synchronous acquisition. The research results reveal the quantitative correlation and physical mechanism between the mechanical parameters of the pantograph–catenary system and the electromagnetic transient responses under four typical conditions: fixed gap between the pantograph and catenary, pantograph raising, pantograph lowering, and pantograph–catenary separation vibration. These findings provide references for condition monitoring, fault warning, pantograph optimization design, and system-level electromagnetic compatibility evaluation of the pantograph–catenary system. Full article
Show Figures

Figure 1

Back to TopTop