Sign in to use this feature.

Years

Between: -

Subjects

remove_circle_outline
remove_circle_outline
remove_circle_outline
remove_circle_outline
remove_circle_outline
remove_circle_outline
remove_circle_outline
remove_circle_outline
remove_circle_outline

Journals

remove_circle_outline
remove_circle_outline
remove_circle_outline
remove_circle_outline
remove_circle_outline
remove_circle_outline
remove_circle_outline
remove_circle_outline
remove_circle_outline
remove_circle_outline
remove_circle_outline
remove_circle_outline
remove_circle_outline

Article Types

Countries / Regions

remove_circle_outline
remove_circle_outline
remove_circle_outline
remove_circle_outline
remove_circle_outline

Search Results (642)

Search Parameters:
Keywords = dynamic uncertainty set

Order results
Result details
Results per page
Select all
Export citation of selected articles as:
23 pages, 1602 KB  
Article
A Two-Stage Distributionally Robust Optimization Framework for UAV-Based Dynamic Inspection with Joint Deployment and Routing
by Xiaokai Lian, Wei Wang and Miao Miao
Appl. Sci. 2026, 16(7), 3207; https://doi.org/10.3390/app16073207 - 26 Mar 2026
Viewed by 98
Abstract
The growing scale and complexity of industrial infrastructure make efficient and reliable inspections a critical challenge. Inspection task demands often vary dynamically, requiring efficient and demand-responsive inspection strategies to ensure stable operation. However, existing UAV inspection approaches typically deploy UAV base stations (UAV-BSs) [...] Read more.
The growing scale and complexity of industrial infrastructure make efficient and reliable inspections a critical challenge. Inspection task demands often vary dynamically, requiring efficient and demand-responsive inspection strategies to ensure stable operation. However, existing UAV inspection approaches typically deploy UAV base stations (UAV-BSs) based on fixed inspection frequencies, which are inadequate for adapting to such dynamic demands and may reduce inspection efficiency. Moreover, these approaches often rely on historical inspection data, whose empirical distributions may deviate from the true distributions, thereby compromising solution robustness. To address these issues, this paper proposes a two-stage distributionally robust optimization (TDRO) framework for joint UAV-BS deployment and inspection routing in dynamic environments. The framework accounts for uncertainties in both inspection frequency and distributional perturbations. Uncertainty sets constructed based on probability metrics are employed to capture deviations between empirical and true distributions, forming the foundation of the two-stage distributionally robust optimization model. The resulting model is solved using column-and-constraint generation (C&CG) integrated with column generation (CG), yielding robust deployment decisions and an effective trade-off between total system cost and inspection efficiency. Simulation results show that the framework effectively addresses inspection frequency uncertainty, reducing the total objective by 5.50% on average, with a further 2.16% reduction when distributional perturbations are considered. Full article
Show Figures

Figure 1

63 pages, 10026 KB  
Article
Critical Regimes of Systemic Risk: Flow Network Cascades in the U.S. Banking System
by Samuel Montañez Jacquez, Luis Alberto Quezada Téllez, Rodrigo Morales Mendoza, Ernesto Moya-Albor, Guillermo Fernández Anaya and Milagros Santos Moreno
Risks 2026, 14(4), 73; https://doi.org/10.3390/risks14040073 - 26 Mar 2026
Viewed by 120
Abstract
Systemic risk in banking systems arises from losses transmitted through networks of contractual exposures. Yet, most widely used measures rely on market-implied volatility and equity prices rather than structural balance sheet fragilities. This paper develops a flow network framework that models systemic risk [...] Read more.
Systemic risk in banking systems arises from losses transmitted through networks of contractual exposures. Yet, most widely used measures rely on market-implied volatility and equity prices rather than structural balance sheet fragilities. This paper develops a flow network framework that models systemic risk as a capacity-constrained loss-diffusion process governed by flow conservation, contractual seniority, and interbank topology. Using regulatory balance sheet data for four major U.S. banks across six quarters of the 2007–2008 financial crisis, we simulate millions of unit-consistent cascade scenarios to characterize the distribution of bank failures and aggregate losses. Despite severe macro-financial stress, the system remains in a subcritical contagion regime, exhibiting frequent single-bank failures, virtually no multi-bank cascades, and quasi-stationary aggregate losses concentrated around USD 420–430B.We extend the model to a stochastic setting in which the initial shock magnitude is randomized while propagation mechanics remain deterministic. The resulting loss distribution remains tightly concentrated and scales approximately linearly with shock size, suggesting that uncertainty in shock realizations does not induce nonlinear cascade amplification. Applying an efficient network benchmark, we estimate that 10–23% of expected systemic loss is attributable to suboptimal network architecture, implying potential gains from structural policy intervention. A comparison with SRISK reveals early divergence and convergence only at peak stress, highlighting the complementary roles of structural and market-based systemic risk measures. Finally, a graph neural network trained on synthetic flow network data fails to reproduce threshold-driven cascade dynamics, underscoring the importance of considering network structures vis-à-vis data-driven approaches. Full article
Show Figures

Graphical abstract

20 pages, 1088 KB  
Article
Users’ Perspectives of Bidirectional Charging in Public Environments
by Érika Martins Silva Ramos, Thomas Lindgren, Jonas Andersson and Jens Hagman
World Electr. Veh. J. 2026, 17(4), 176; https://doi.org/10.3390/wevj17040176 - 26 Mar 2026
Viewed by 194
Abstract
Technological advances such as Vehicle-to-Grid (V2G) have the potential to support renewable energy integration and grid stability, but large-scale deployment depends on users’ willingness to participate, particularly in public charging environments. While prior research has examined V2G from technical feasibility and system-level perspectives, [...] Read more.
Technological advances such as Vehicle-to-Grid (V2G) have the potential to support renewable energy integration and grid stability, but large-scale deployment depends on users’ willingness to participate, particularly in public charging environments. While prior research has examined V2G from technical feasibility and system-level perspectives, everyday public settings remain unexplored. This study investigates electric vehicle (EV) users’ willingness to engage in V2G services in public spaces, with a focus on incentives, expectations, and how participation aligns with existing routines and parking conditions. A mixed-method approach was applied, combining a survey of 544 car users with two waves of user-centered interviews. The survey data were analyzed using factor analysis and linear regression models, while the interview data were thematically analyzed. The results show that users’ evaluations of V2G are shaped by sustainability expectations, perceived efficiency, and uncertainties, and preferences for public V2G participation are strongly influenced by convenience, clarity of the offer, and perceived control. Home charging practices emerged as a key reference point shaping expectations of public V2G services. Across both methods, simple and transparent incentives, such as reduced charging or parking costs, were consistently preferred over more complex reward models, including point-based systems or dynamic energy trading. Concerns related to control over trips, battery degradation, trust in service providers, and added complexity remain important barriers to participation. The findings highlight the need for user-centered and socio-technical design of public V2G services that align with users’ everyday routines, parking conditions, and expectations to support broader adoption beyond the home context. Full article
Show Figures

Figure A1

49 pages, 1088 KB  
Article
Correlation Coefficient-Based Group Decision-Making Approach Under Probabilistic Dual Hesitant Fuzzy Linguistic Environment to Resilient Supplier Selection
by Xiao-Wen Qi, Jun-Ling Zhang, Jun-Tao Lai and Chang-Yong Liang
Systems 2026, 14(3), 334; https://doi.org/10.3390/systems14030334 - 23 Mar 2026
Viewed by 148
Abstract
In order to tackle resilient supplier selection (RSS) of high uncertainty in resilient supply chain management, an effective correlation coefficients-based multicriteria group decision-making (MCGDM) methodology has been constructed. The major contribution of the present study is twofold. Firstly, in view of that extant [...] Read more.
In order to tackle resilient supplier selection (RSS) of high uncertainty in resilient supply chain management, an effective correlation coefficients-based multicriteria group decision-making (MCGDM) methodology has been constructed. The major contribution of the present study is twofold. Firstly, in view of that extant criteria systems are all in lack of theoretical rationality, this paper establishes a capabilities-based analytical framework for intensive evaluation of supplier resilience by taking processual viewpoints of dynamic capabilities theory and risk management theory. Secondly, to empower the proposed correlation coefficients-based MCGDM methodology, probabilistic dual hesitant fuzzy uncertain unbalanced linguistic set (PDHF_UUBLS) is employed to capture hybrid uncertainties in decision processes of RSS. Then, theoretically compliant correlation coefficients (CCs) for PDHF_UUBLS are developed, including statistics-based CC, information energy-based CC and their weighted versions. Especially, information energy-based CCs overcome limitations of statistics-based CCs in special cases, thus exhibiting general applicability. In addition, a compatibility-based programming model has also been developed to objectively derive an unknown weighting vector for DMUs. Furthermore, illustrative case studies and comparative experiments have been carried out to verify effectiveness and stability of the proposed methodology. Taken together, this paper satisfies the new normal demand of resilience building in supply chain management and presents an effective MCGDM methodology for handling the key problems of RSS. Full article
(This article belongs to the Section Systems Practice in Social Science)
Show Figures

Figure 1

16 pages, 855 KB  
Article
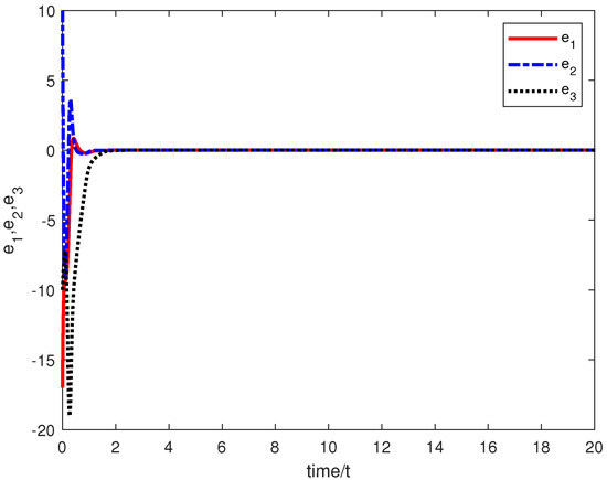
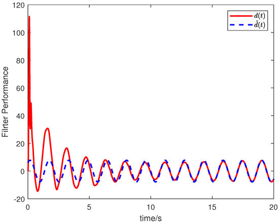
RBF Neural Network Fusion Disturbance Estimation for Robust Synchronization of Chaotic Systems
by Yuanyuan Mao
Mathematics 2026, 14(6), 1054; https://doi.org/10.3390/math14061054 - 20 Mar 2026
Viewed by 106
Abstract
This paper addresses the problem of complete synchronization of chaotic systems subject to external disturbances and parameter uncertainties, proposing a robust control strategy based on radial basis function (RBF) neural network fusion with a disturbance estimator (DE)-based control method. Firstly, a dynamic feedback [...] Read more.
This paper addresses the problem of complete synchronization of chaotic systems subject to external disturbances and parameter uncertainties, proposing a robust control strategy based on radial basis function (RBF) neural network fusion with a disturbance estimator (DE)-based control method. Firstly, a dynamic feedback controller is designed to stabilize the nominal error system. Subsequently, a set of appropriate filters are constructed, and based on these filters, a disturbance estimator that can asymptotically track external disturbances is developed, thereby realizing asymptotic cancelation of external disturbance effects on the synchronization process. Then, an RBF-based compensator is designed to approximate the unmodeled uncertainties of the system with high precision, effectively suppressing the adverse impacts of uncertainties. By integrating the aforementioned dynamic feedback controller, disturbance estimator, and RBF-based compensator, robust complete synchronization between the master and slave chaotic systems is successfully achieved. Finally, a numerical simulation example is presented to validate the feasibility and effectiveness of the proposed control scheme. Full article
(This article belongs to the Special Issue Dynamics, Control, and Applications of Nonlinear Systems)
Show Figures

Figure 1

20 pages, 375 KB  
Article
Higher-Order Fuzzy Difference Equations: Existence, Stability, and Illustrative Numerical Examples
by Hashem Althagafi and Ahmed Ghezal
Mathematics 2026, 14(6), 1051; https://doi.org/10.3390/math14061051 - 20 Mar 2026
Viewed by 153
Abstract
This paper examines the dynamics of positive solutions to a system of fuzzy difference equations, which provide effective tools for modeling dynamical systems with uncertain or imprecise parameters. The main objective is to establish the existence, uniqueness, and qualitative properties of positive solutions [...] Read more.
This paper examines the dynamics of positive solutions to a system of fuzzy difference equations, which provide effective tools for modeling dynamical systems with uncertain or imprecise parameters. The main objective is to establish the existence, uniqueness, and qualitative properties of positive solutions within a fuzzy framework. After recalling some fundamental notions from fuzzy set theory, we analyze the dynamics of the proposed system. The main results prove the existence of a unique positive fuzzy solution under suitable conditions and establish the boundedness, continuity, and convergence of the solutions. In particular, all solutions converge to a unique positive equilibrium point. Numerical experiments for (l1,l2)=(2,3) and (l1,l2)=(4,1) with uncertainty levels γ=0.2 and γ=0.8 illustrate the theoretical results and confirm the convergence toward the unique positive equilibrium. Full article
(This article belongs to the Special Issue Nonlinear Dynamics, Chaos, and Mathematical Physics)
Show Figures

Figure 1

24 pages, 1985 KB  
Article
Planning Method for Power System Considering Flexible Integration of Renewable Energy and Heterogeneous Resources
by Yuejiao Wang, Shumin Sun, Zhipeng Lu, Yiyuan Liu, Yu Zhang, Nan Yang and Lei Zhang
Processes 2026, 14(6), 984; https://doi.org/10.3390/pr14060984 - 19 Mar 2026
Viewed by 251
Abstract
The large-scale grid integration of distributed renewable energy enhances the flexible regulation capacity of the power system. However, the inherent randomness and volatility of its output, coupled with weak coupling access characteristics, pose severe challenges to the safe and stable operation of the [...] Read more.
The large-scale grid integration of distributed renewable energy enhances the flexible regulation capacity of the power system. However, the inherent randomness and volatility of its output, coupled with weak coupling access characteristics, pose severe challenges to the safe and stable operation of the power system. To address these issues, this paper proposes a power system planning method suitable for urban power grids. To accurately characterize the uncertainty of renewable energy output, the method incorporates the concept of multi-scenario stochastic optimization and introduces a dynamic scenario generation method for wind and solar power based on nonparametric kernel density estimation and standard multivariate normal distribution sequence sampling. This method generates a set of typical daily dynamic output scenarios for wind and solar power that closely match actual output characteristics. Considering the spatiotemporal response characteristics of flexible resources, the Soft Open Point (SOP) DC link enables flexible cross-node power transmission and spatiotemporal coupling regulation of flexible resources. Therefore, this paper constructs a mathematical model for the grid integration of flexible resources based on the SOP DC link. By integrating operational constraints such as power flow constraints in the power grid and source-load uncertainty constraints, a power system planning model is established. However, traditional convex optimization methods require approximate simplifications of the model, which can easily lead to a loss of accuracy. Although the Particle Swarm Optimization (PSO) algorithm is suitable for nonlinear optimization, it is prone to getting trapped in local optima. Therefore, this paper introduces an improved PSO algorithm based on refraction opposite learning, which enhances the algorithm’s global optimization capability by expanding the particle search space and increasing population diversity. Finally, simulation verification is conducted based on an improved IEEE-39 bus test system, and the results show that the proposed scenario generation method achieves a sum of squared errors of only 4.82% and a silhouette coefficient of 0.94, significantly improving accuracy compared to traditional methods such as Monte Carlo sampling. Full article
Show Figures

Figure 1

40 pages, 460 KB  
Article
Digitalization in Local Government: A Socio-Technical Case Study of a City Planning Department in a Swedish Municipality
by Aina El Masry and Diana Chronéer
Buildings 2026, 16(6), 1185; https://doi.org/10.3390/buildings16061185 - 18 Mar 2026
Viewed by 236
Abstract
This study examines the governance of digitalization in municipal administration, with a focus on city planning services, specifically spatial planning, building permits, and geodata management, in a large Swedish municipality. Digitalization is understood here not as the adoption of isolated technologies, but as [...] Read more.
This study examines the governance of digitalization in municipal administration, with a focus on city planning services, specifically spatial planning, building permits, and geodata management, in a large Swedish municipality. Digitalization is understood here not as the adoption of isolated technologies, but as organizational and process-oriented transformation enabled by digital systems such as GIS platforms, case management systems, and digital planning information. While national policy frameworks set ambitious digitalization goals, previous research shows that local authorities often face significant obstacles, including fragmented processes, technical limitations, and complex governance structures. These challenges create a persistent gap between strategic ambitions and daily work practices. This study employs a qualitative case study approach drawing on semi-structured interviews with employees in technical, operational, and strategic roles, as well as an analysis of policy documents and internal process descriptions. Using a socio-technical perspective, the analysis applies the Technology–Organization–Environment (TOE) framework to examine how digital systems, organizational structures, and external institutional demands interact in practice. The findings highlight substantial challenges related to system integration, data quality, uneven digital competencies, and the ongoing disconnect between strategic goals and operational realities. The study emphasizes the need for clearer governance structures, stronger cross-functional collaboration, and work practices that bridge technical and organizational dimensions. Building on the empirical analysis, the study proposes a conceptual framework that extends the TOE framework by identifying three interrelated structural mechanisms: technological lock-in, organizational inertia, and institutional uncertainty. This framework contributes theoretically by deepening the understanding of socio-technical digitalization dynamics in local government. Practically, it provides municipalities with an analytical tool to assess and reflect on their digitalization conditions. Full article
(This article belongs to the Section Architectural Design, Urban Science, and Real Estate)
Show Figures

Figure 1

37 pages, 637 KB  
Article
AI Agents as Universal Task Solvers
by Alessandro Achille and Stefano Soatto
Entropy 2026, 28(3), 332; https://doi.org/10.3390/e28030332 - 16 Mar 2026
Viewed by 761
Abstract
We describe AI agents as stochastic dynamical systems and frame the problem of learning to reason as in transductive inference: Rather than approximating the distribution of past data as in classical induction, the objective is to capture its algorithmic structure so as [...] Read more.
We describe AI agents as stochastic dynamical systems and frame the problem of learning to reason as in transductive inference: Rather than approximating the distribution of past data as in classical induction, the objective is to capture its algorithmic structure so as to reduce the time needed to solve new tasks. In this view, information from past experience serves not only to reduce a model’s uncertainty, as in Shannon’s classical theory, but to reduce the computational effort required to find solutions to unforeseen tasks. Working in the verifiable setting, where a checker or reward function is available, we establish three main results. First, we show that the optimal speed-up for a new task is tightly related to the algorithmic information it shares with the training data, yielding a theoretical justification for the power-law scaling empirically observed in reasoning models. Second, while the compression view of learning, rooted in Occam’s Razor, favors simplicity, we show that transductive inference yields its greatest benefits precisely when the data-generating mechanism is most complex. Third, we identify a possible failure mode of naïve scaling: in the limit of unbounded model size and computing, models with access to a reward signal can behave as savants, brute-forcing solutions without acquiring transferable reasoning strategies. Accordingly, we argue that a critical quantity to optimize when scaling reasoning models is time, the role of which in learning has remained largely unexplored. Full article
Show Figures

Figure 1

26 pages, 4174 KB  
Article
An Adaptive Neuro-Fuzzy Fractional-Order PID Controller for Energy-Efficient Tracking of a 2-DOF Hip–Knee Lower-Limb Exoskeleton
by Mukhtar Fatihu Hamza and Auwalu Muhammad Abdullahi
Modelling 2026, 7(2), 54; https://doi.org/10.3390/modelling7020054 - 12 Mar 2026
Viewed by 239
Abstract
For safe and efficient human–robot interaction, lower-limb exoskeletons used for assistance and rehabilitation need to be precisely and energy-efficiently controlled. By creating an adaptive neuro-fuzzy fractional-order PID (ANFIS-FOPID) controller, this project seeks to improve tracking accuracy, robustness, and energy efficiency in a two-degree-of-freedom [...] Read more.
For safe and efficient human–robot interaction, lower-limb exoskeletons used for assistance and rehabilitation need to be precisely and energy-efficiently controlled. By creating an adaptive neuro-fuzzy fractional-order PID (ANFIS-FOPID) controller, this project seeks to improve tracking accuracy, robustness, and energy efficiency in a two-degree-of-freedom hip–knee exoskeleton. The Euler–Lagrange formulation is used to derive a nonlinear dynamic model, and a Lyapunov-based stability analysis is used to show that the closed-loop system remains uniformly ultimately bounded under disturbances and parameter uncertainties. The suggested controller performs noticeably better than traditional PID and fixed-parameter FOPID controllers, according to numerical simulations conducted under both normal and perturbed conditions. The ANFIS FOPID achieves root mean square errors below 0.028 rad and lowers the integral absolute errors at the hip and knee joints to 0.1454 and 0.1480, as opposed to 0.3496–0.3712 for PID controllers. Under ±10% parameter uncertainty, the total control-energy proxy drops from 2870.0 (PID) to 936.25, a 67.4% decrease, and stays at 1587.93. Statistically significant variations in energy consumption are confirmed by one-way ANOVA (p < 10−176). Large effect sizes are found (η2 = 0.237–0.314). These results demonstrate the superior tracking performance, robustness, and energy efficiency of the ANFIS-FOPID controller. The results set a quantitative standard for future experimental validation and hardware-in-the-loop implementation, despite being based on high-fidelity simulations. Full article
Show Figures

Figure 1

32 pages, 1722 KB  
Article
A Four-Reference-Point Sliding-Window Game-Theoretic Model for Sustainable Emergency Decision-Making
by Xuefeng Ding and Jintong Wang
Sustainability 2026, 18(6), 2793; https://doi.org/10.3390/su18062793 - 12 Mar 2026
Viewed by 150
Abstract
To address high uncertainty, dynamic evolution, and limited information in emergency decision-making for major sudden disasters, this paper proposes a sliding-window game-theoretic method with four reference points for emergency response selection. Firstly, interval-valued T-spherical fuzzy sets are adopted to capture decision-makers’ uncertain and [...] Read more.
To address high uncertainty, dynamic evolution, and limited information in emergency decision-making for major sudden disasters, this paper proposes a sliding-window game-theoretic method with four reference points for emergency response selection. Firstly, interval-valued T-spherical fuzzy sets are adopted to capture decision-makers’ uncertain and hesitant evaluations in interval form. Subsequently, a four-reference-point framework, including the external, internal, average development speed, and ideal proximity reference points, is established to reflect stage-dependent psychological baselines. Furthermore, criterion weights are updated by a sliding-window game-theoretic combination weighting scheme that integrates entropy, anti-entropy, criteria importance through intercriteria correlation, and the coefficient of variation, and performs rolling updates across stages. Prospect values are then computed relative to the four reference points and aggregated to rank alternatives at each stage. Finally, a case study of the 2024 Huludao extreme rainfall event applies the proposed method to evaluate four candidate schemes across six criteria over three decision stages. Results show that rescue cost has the highest weight in all stages, while the importance of rescue speed decreases and social impact increases as the response progresses. The proposed method identifies a comprehensive flood relief scheme led by the People’s Liberation Army and the People’s Armed Police Force as the best option in all stages, because it achieves the highest comprehensive prospect values among all alternatives. Comparative analyses indicate more consistent identification of the optimal scheme than existing approaches, supporting sustainable and resource-efficient disaster management. Full article
(This article belongs to the Section Hazards and Sustainability)
Show Figures

Figure 1

20 pages, 1386 KB  
Article
A New Functional Setting for Term Structure Modeling Using the Heath–Jarrow–Morton Framework
by Michael Pokojovy, Ebenezer Nkum and Thomas M. Fullerton
Econometrics 2026, 14(1), 14; https://doi.org/10.3390/econometrics14010014 - 11 Mar 2026
Viewed by 232
Abstract
The well-known Heath–Jarrow–Morton (HJM) framework provides a universal and efficacious instrument for modeling the stochastic evolution of an entire yield curve by explaining the interest rate dynamics in continuous time under no-arbitrage conditions. Existing implementations involve exponentially weighted function spaces as theoretical settings [...] Read more.
The well-known Heath–Jarrow–Morton (HJM) framework provides a universal and efficacious instrument for modeling the stochastic evolution of an entire yield curve by explaining the interest rate dynamics in continuous time under no-arbitrage conditions. Existing implementations involve exponentially weighted function spaces as theoretical settings for the former stochastic evolution. While the choice of weight can have a drastic effect on model calibration and subsequent forecasting, it cannot be estimated from market data and does not allow for any objective interpretation. The proposed approach does not have this shortcoming as it adopts a suitably designed unweighted function space. The HJM equation is discretized using a finite difference approach. The resulting semiparametric model is then calibrated on real-world yield data with a new type of functional principal component analysis (PCA)-based approach. Backtesting and benchmarking are conducted against the one-factor Vasicek model using historical data to illustrate its simulation capabilities for prediction and uncertainty quantification. Additionally, in contrast to widely studied US treasuries, negative interest rates are observed for AAA Euro Bonds during the sample period employed for this study. Accordingly, the framework allows for the possibility of negative yields. Full article
Show Figures

Figure 1

25 pages, 2827 KB  
Article
Carbon Emission Optimization of Renewable-Powered Battery-Swapping Logistics Systems via Stackelberg Game-Based Scheduling
by Zetian Liu and Yushan Li
Energies 2026, 19(5), 1347; https://doi.org/10.3390/en19051347 - 6 Mar 2026
Viewed by 218
Abstract
This paper investigates the multi-objective optimization of the peak–valley difference, operating cost, and carbon emissions for urban logistics battery-swapping stations (BSSs) under photovoltaic uncertainty and stochastic demand. Unlike conventional plug-in charging, battery swapping decouples energy replenishment from the vehicle dwell time, enabling rapid [...] Read more.
This paper investigates the multi-objective optimization of the peak–valley difference, operating cost, and carbon emissions for urban logistics battery-swapping stations (BSSs) under photovoltaic uncertainty and stochastic demand. Unlike conventional plug-in charging, battery swapping decouples energy replenishment from the vehicle dwell time, enabling rapid service, but introducing discrete swap arrivals and power–inventory coupling challenges that continuous-load models cannot capture. A Stackelberg game-based framework models grid–BSS interactions, where the grid acts as the leader by setting time-of-use prices and BSSs respond by optimizing charging/discharging schedules. Carbon emissions are quantified using real-time carbon intensity data obtained from the Electricity Maps platform. The battery-swapping demand is modeled as a Poisson process, and a unified power–inventory coupling model captures the bidirectional dependence among PV generation, grid purchases, energy storage operations, and battery inventory dynamics, where the inventory feasibility constrains the power decisions. For multi-station coordination, an adaptive ADMM decomposes the problem into parallelizable sub-problems. Case studies of a 49-vehicle fleet across three BSSs in Qingdao, China, show that, compared with a no-optimization baseline, the proposed method reduces the peak–valley difference by approximately 21.6%, the operating cost by approximately 10.2%, and carbon emissions by approximately 15.7%. Compared with the single-objective counterparts, the multi-objective formulation further improves the peak–valley difference by approximately 26.9% and increases emission reduction by approximately 16.9%; paired t-tests on repeated runs indicate statistical significance (p < 0.05). The framework provides a scalable methodology for low-carbon BSS scheduling with explicit power–inventory coupling. Full article
(This article belongs to the Section B1: Energy and Climate Change)
Show Figures

Figure 1

43 pages, 6344 KB  
Article
Comparing Light Rail and Bus Semirapid Transit on a Level Playing Field: A Model Oriented to Ex Ante Evaluation Under Uncertain Conditions
by Emilio Conles, Alfonso Orro and Margarita Novales
Future Transp. 2026, 6(2), 59; https://doi.org/10.3390/futuretransp6020059 - 6 Mar 2026
Viewed by 292
Abstract
Light Rail Transit (LRT) and Bus Semirapid Transit (BST) are two different forms of semirapid, medium-capacity transit systems. Over recent decades, there has been an ongoing, unresolved debate on which of these two technologies brings about a higher net contribution to a society’s [...] Read more.
Light Rail Transit (LRT) and Bus Semirapid Transit (BST) are two different forms of semirapid, medium-capacity transit systems. Over recent decades, there has been an ongoing, unresolved debate on which of these two technologies brings about a higher net contribution to a society’s welfare. This study seeks to shed light on this topic through the design, development, and computational execution of a model specifically devised for forecasting transport-related outcomes that would result from the implementation of either an LRT or BST system in a given corridor. This model dynamically systematizes the mutual interactions between travel demand prognoses, the supply attributes of a typical set of modal alternatives, the valuation of those modal alternatives from travelers’ perspectives, and travelers’ consequent choices, taking into account the specific differences between LRT and BST. Furthermore, the model incorporates a methodological treatment of uncertainty through the application of Monte Carlo random simulation techniques. In practice, the model is applied to a case study based on artificial data representative of usual conditions seen in corridors with enough ridership to consider these transit systems. The specific results indicate that LRT generates a moderately higher benefit for travelers in these circumstances, but this turns into a very slight advantage for BST when the investment costs are deducted. Ultimately, this research will contribute to better-informed decision making when selecting a semirapid, medium-capacity transit system, leading to more efficient budget allocation. Full article
Show Figures

Figure 1

20 pages, 1050 KB  
Review
Economic Evaluation of Multi-Objective Schistosomiasis Control Through Systemic Causality: Theoretical Advances and Governance Implications
by Menghua Yu, Xinyue Liu, Na Shi, Jiaqi Su, Lefei Han, Jian He, Yaoqian Wang, Suying Guo, Wangping Deng, Chao Lv, Lijuan Zhang, Bo Fu, Hanhui Hu, Jing Xu, Xiao-Nong Zhou and Xiaoxi Zhang
Trop. Med. Infect. Dis. 2026, 11(3), 72; https://doi.org/10.3390/tropicalmed11030072 - 5 Mar 2026
Viewed by 327
Abstract
Schistosomiasis elimination is increasingly constrained less by the technical efficacy of single interventions than by systemic dynamics in coupled human–animal–environment settings, including nonlinear feedback, spatial heterogeneity, and cross-sectoral govern frictions. We conducted a systematic methodological review (search date: 1 January 2026) across PubMed, [...] Read more.
Schistosomiasis elimination is increasingly constrained less by the technical efficacy of single interventions than by systemic dynamics in coupled human–animal–environment settings, including nonlinear feedback, spatial heterogeneity, and cross-sectoral govern frictions. We conducted a systematic methodological review (search date: 1 January 2026) across PubMed, Web of Science, Scopus, EconLit, and CNKI to identify studies that (i) addressed schistosomiasis control, (ii) used explicit system-based, causal, or network-oriented analytical structures, and (iii) incorporated economic evaluation with multi-domain outcomes. We synthesized modeling architectures, economic methods, and approaches to trade-offs and uncertainty, and applied an evidence-informed systemic causality framework to assess decision-analytic adequacy. The literature grouped into three related strands: transmission and system dynamics models that capture feedback processes and rebound risks; economic evaluations dominated by cost-effectiveness analyses; and cross-sectoral or surveillance-oriented decision models optimizing implementation under resource constraints. Across strands, elimination-stage investments such as surveillance, environmental management, and coordination exhibit strong externalities and quasi-public-good properties that are systematically undervalued in single-sector, single-metric frameworks. We argue that decision-relevant evaluation should be reframed as a multi-objective resource allocation problem that integrates systemic modeling with economic valuation, explicitly addresses uncertainty, and applies multi-criteria decision analysis to support long-horizon, cross-sectoral decision-making. Full article
(This article belongs to the Section Neglected and Emerging Tropical Diseases)
Show Figures

Figure 1

Back to TopTop