Sign in to use this feature.

Years

Between: -

Subjects

remove_circle_outline
remove_circle_outline
remove_circle_outline
remove_circle_outline
remove_circle_outline
remove_circle_outline
remove_circle_outline
remove_circle_outline
remove_circle_outline

Journals

remove_circle_outline
remove_circle_outline
remove_circle_outline
remove_circle_outline
remove_circle_outline
remove_circle_outline
remove_circle_outline
remove_circle_outline
remove_circle_outline
remove_circle_outline

Article Types

Countries / Regions

remove_circle_outline
remove_circle_outline
remove_circle_outline
remove_circle_outline
remove_circle_outline
remove_circle_outline

Search Results (1,399)

Search Parameters:
Keywords = dynamic magnetic field

Order results
Result details
Results per page
Select all
Export citation of selected articles as:
35 pages, 25749 KB  
Article
Ionized Keplerian Disks Demonstrating Interplay Between Strong Gravity and Magnetism
by Zdeněk Stuchlík and Jaroslav Vrba
Entropy 2025, 27(12), 1253; https://doi.org/10.3390/e27121253 - 12 Dec 2025
Viewed by 76
Abstract
Using the dynamics of charged test particles, we study the interplay of extremely strong gravitational and magnetic fields acting on ionized Keplerian disks. We assume a Schwarzschild spacetime of mass M combined with a dipole magnetic field represented by a dimensionless parameter b [...] Read more.
Using the dynamics of charged test particles, we study the interplay of extremely strong gravitational and magnetic fields acting on ionized Keplerian disks. We assume a Schwarzschild spacetime of mass M combined with a dipole magnetic field represented by a dimensionless parameter b, characterizing the influence of fields near the gravitational radius rg=2GM/c2. The particle dynamics can be realized in three regimes: gravitational (b1), magnetic (b1), and chaotic (b1). We demonstrate the ionization of disks that are originally both orthogonal and inclined to the magnetic field axis and consider both magnetic attraction and magnetic repulsion acting on the ionized particles. The case of secondary ionized equatorial charged disks is also discussed. The ionization in the dipole magnetic field is compared with the case of a Schwarzschild spacetime endowed with an asymptotically uniform magnetic field. The differences in the dipole and uniform fields are significant in the magnetic and chaotic regimes, while they are suppressed in the gravitational regime. Full article
Show Figures

Figure 1

13 pages, 1842 KB  
Article
Unlocking Soil Hydrological Connectivity: FFC-NMR Evidence of the Optimal Zeolite Concentration
by Alessio Nicosia, Calogero Librici, Pellegrino Conte and Vito Ferro
Water 2025, 17(24), 3511; https://doi.org/10.3390/w17243511 - 11 Dec 2025
Viewed by 128
Abstract
Zeolite is a popular soil amendment capable of improving physical and chemical properties of soils. This study investigates how zeolite concentration affects the hydrological connectivity of sandy loam soil. Soil samples with different zeolite concentrations Cz (0, 1, 1.5, 2.5, 5, 10, [...] Read more.
Zeolite is a popular soil amendment capable of improving physical and chemical properties of soils. This study investigates how zeolite concentration affects the hydrological connectivity of sandy loam soil. Soil samples with different zeolite concentrations Cz (0, 1, 1.5, 2.5, 5, 10, 15, and 30%) were analyzed for changes in water dynamics through Fast Field Cycling Nuclear Magnetic Resonance (FFC-NMR) relaxometry. FFC-NMR data revealed that the investigated zeolite can modify the pore size distribution in a wide range (1–15%) of Cz, as the zeolite particle size distribution has a percentage of coarse particles (56%) appreciably higher than that of the original soil (37%). Moreover, a concentration of 1% produces a more relevant increase in the soil’s meso- and macropores, while for Cz > 1.5%, the change in pore size distribution is damped by the increase in water retention that occurs upon increasing zeolite concentration. The analysis also demonstrated that Cz = 1% is sufficient to achieve the highest values of both structural and functional connectivity indexes. In conclusion, for sandy loam soil, adding a zeolite concentration of 1% is sufficient to improve the soil’s physical characteristics, with significant effects on soil hydrological behavior, and can be considered a valid practice to manage the addition of a water resource to the soil. Full article
(This article belongs to the Section Soil and Water)
Show Figures

Figure 1

33 pages, 2145 KB  
Article
Deep Learning Fractal Superconductivity: A Comparative Study of Physics-Informed and Graph Neural Networks Applied to the Fractal TDGL Equation
by Călin Gheorghe Buzea, Florin Nedeff, Diana Mirilă, Maricel Agop and Decebal Vasincu
Fractal Fract. 2025, 9(12), 810; https://doi.org/10.3390/fractalfract9120810 - 11 Dec 2025
Viewed by 115
Abstract
The fractal extension of the time-dependent Ginzburg–Landau (TDGL) equation, formulated within the framework of Scale Relativity, generalizes superconducting dynamics to non-differentiable space–time. Although analytically well established, its numerical solution remains difficult because of the strong coupling between amplitude and phase curvature. Here we [...] Read more.
The fractal extension of the time-dependent Ginzburg–Landau (TDGL) equation, formulated within the framework of Scale Relativity, generalizes superconducting dynamics to non-differentiable space–time. Although analytically well established, its numerical solution remains difficult because of the strong coupling between amplitude and phase curvature. Here we develop two complementary deep learning solvers for the fractal TDGL (FTDGL) system. The Fractal Physics-Informed Neural Network (F-PINN) embeds the Scale-Relativity covariant derivative through automatic differentiation on continuous fields, whereas the Fractal Graph Neural Network (F-GNN) represents the same dynamics on a sparse spatial graph and learns local gauge-covariant interactions via message passing. Both models are trained against finite-difference reference data, and a parametric study over the dimensionless fractality parameter D quantifies its influence on the coherence length, penetration depth, and peak magnetic field. Across multivortex benchmarks, the F-GNN reduces the relative L2 error on ψ2 from 0.190 to 0.046 and on Bz from approximately 0.62 to 0.36 (averaged over three seeds). This ≈4× improvement in condensate-density accuracy corresponds to a substantial enhancement in vortex-core localization—from tens of pixels of uncertainty to sub-pixel precision—and yields a cleaner reconstruction of the 2π phase winding around each vortex, improving the extraction of experimentally relevant observables such as ξeff, λeff, and local Bz peaks. The model also preserves flux quantization and remains robust under 2–5% Gaussian noise, demonstrating stable learning under experimentally realistic perturbations. The D—scan reveals broader vortex cores, a non-monotonic variation in the penetration depth, and moderate modulation of the peak magnetic field, while preserving topological structure. These results show that graph-based learning provides a superior inductive bias for modeling non-differentiable, gauge-coupled systems. The proposed F-PINN and F-GNN architectures therefore offer accurate, data-efficient solvers for fractal superconductivity and open pathways toward data-driven inference of fractal parameters from magneto-optical or Hall-probe imaging experiments. Full article
Show Figures

Figure 1

20 pages, 4081 KB  
Article
Robot-Enabled Air-Gap Flux Mapping in Misaligned Electric Machines: Measurement Method and Harmonic Signatures
by Hubert Milanowski and Adam K. Piłat
Energies 2025, 18(24), 6447; https://doi.org/10.3390/en18246447 - 9 Dec 2025
Viewed by 122
Abstract
This study presents an experimental framework for mapping the air-gap magnetic flux in electric machines operating under controlled eccentricity and tilt conditions. A six-degree-of-freedom industrial robotic arm positions the rotor, while the stator accommodates a dense single-axis Hall-sensor array. Synchronous data acquisition at [...] Read more.
This study presents an experimental framework for mapping the air-gap magnetic flux in electric machines operating under controlled eccentricity and tilt conditions. A six-degree-of-freedom industrial robotic arm positions the rotor, while the stator accommodates a dense single-axis Hall-sensor array. Synchronous data acquisition at 10 kHz captures magnetic-field dynamics during torque-producing excitation. A coordinate-transformation method synthesises virtual rotor poses from a limited set of physical measurements, eliminating the need for exhaustive mechanical scanning. The proposed approach generates pose-resolved RMS and THD maps, together with harmonic amplitude and phase signatures, thereby revealing localised asymmetries and phase-decoherence effects that are not predicted by idealised finite-element models. In a custom PMSM-like prototype, the local RMS value doubles (from 31 mT to 64 mT), while the THD increases by more than 25% across displacement and tilt grids. These findings provide quantitative experimental evidence of misalignment-induced magnetic-field symmetry breaking, supporting model validation and digital-twin calibration for traction, aerospace, and robotic applications. Full article
(This article belongs to the Section F: Electrical Engineering)
Show Figures

Figure 1

24 pages, 3724 KB  
Article
Numerical Investigation of Non-Newtonian Fluid Rheology in a T-Shaped Microfluidics Channel Integrated with Complex Micropillar Structures Under Acoustic, Electric, and Magnetic Fields
by Muhammad Waqas, Arvydas Palevicius, Cengizhan Omer Senol and Giedrius Janusas
Micromachines 2025, 16(12), 1390; https://doi.org/10.3390/mi16121390 - 8 Dec 2025
Viewed by 281
Abstract
Microfluidics is considered a revolutionary interdisciplinary technology with substantial interest in various biomedical applications. Many non-Newtonian fluids often used in microfluidics systems are notably influenced by the external active fields, such as acoustic, electric, and magnetic fields, leading to changes in rheological behavior. [...] Read more.
Microfluidics is considered a revolutionary interdisciplinary technology with substantial interest in various biomedical applications. Many non-Newtonian fluids often used in microfluidics systems are notably influenced by the external active fields, such as acoustic, electric, and magnetic fields, leading to changes in rheological behavior. In this study, a numerical investigation is carried out to explore the rheological behavior of non-Newtonian fluids in a T-shaped microfluidics channel integrated with complex micropillar structures under the influence of acoustic, electric, and magnetic fields. For this purpose, COMSOL Multiphysics with laminar flow, pressure acoustic, electric current, and magnetic field physics is used to examine rheological characteristics of non-Newtonian fluids. Three polymer solutions, such as 2000 ppm xanthan gum (XG), 1000 ppm polyethylene oxide (PEO), and 1500 ppm polyacrylamide (PAM), are used as a non-Newtonian fluids with the Carreau–Yasuda fluid model to characterize the shear-thinning behavior. Moreover, numerical simulations are carried out with different input parameters, such as Reynolds numbers (0.1, 1, 10, and 50), acoustic pressure (5 Mpa, 6.5 Mpa, and 8 Mpa), electric voltage (200 V, 250 V, and 300 V), and magnetic flux (0.5 T, 0.7 T, and 0.9 T). The findings reveal that the incorporation of active fields and micropillar structures noticeably impacts fluid rheology. The acoustic field induces higher shear-thinning behavior, decreasing dynamic viscosity from 0.51 Pa·s to 0.34 Pa·s. Similarly, the electric field induces higher shear rates, reducing dynamic viscosities from 0.63 Pa·s to 0.42 Pa·s, while the magnetic field drops the dynamic viscosity from 0.44 Pa·s to 0.29 Pa·s. Additionally, as the Reynolds number increases, the shear rate also rises in the case of electric and magnetic fields, leading to more chaotic flow, while the acoustic field advances more smooth flow patterns and uniform fluid motion within the microchannel. Moreover, a proposed experimental framework is designed to study non-Newtonian fluid mixing in a T-shaped microfluidics channel under external active fields. Initially, the microchannel was fabricated using a high-resolution SLA printer with clear photopolymer resin material. Post-processing involved analyzing particle distribution, mixing quality, fluid rheology, and particle aggregation. Overall, the findings emphasize the significance of considering the fluid rheology in designing and optimizing microfluidics systems under active fields, especially when dealing with complex fluids with non-Newtonian characteristics. Full article
(This article belongs to the Special Issue Research Progress on Advanced Additive Manufacturing Technologies)
Show Figures

Figure 1

11 pages, 12575 KB  
Article
Exploring the Role of Vector Potential and Plasma-β in Jet Formation from Magnetized Accretion Flows
by Ishika Palit, Miles Angelo Paloma Sodejana and Hsiang-Yi Karen Yang
Universe 2025, 11(12), 404; https://doi.org/10.3390/universe11120404 - 8 Dec 2025
Viewed by 167
Abstract
In this work, we investigate how the choice of initial vector potential and plasma parameters influences the development of accretion columns and jet formation in magnetized accretion flows. Using general relativistic magnetohydrodynamic simulations, we explore two different configurations of the vector potential [...] Read more.
In this work, we investigate how the choice of initial vector potential and plasma parameters influences the development of accretion columns and jet formation in magnetized accretion flows. Using general relativistic magnetohydrodynamic simulations, we explore two different configurations of the vector potential Aϕ and three plasma beta values (β=50, 100, 500). We analyze how variations in the poloidal magnetic field strength and plasma magnetization affect magnetic flux accumulation near the black hole and the subsequent growth of the accretion column. Our results highlight the dependence of jet launching efficiency and accretion dynamics on the initial magnetic field topology and plasma beta, offering insight into the conditions that favor magnetically arrested disk or standard and normal evolution states. Full article
(This article belongs to the Special Issue New Progress of Black Hole Accretion Disk)
Show Figures

Figure 1

34 pages, 3756 KB  
Review
Smart Nucleic Acid Hydrogel-Based Biosensors: From Molecular Recognition and Responsive Mechanisms to Applications
by Lu Xu, Longjiao Zhu, Xiaoyu Wang, Wenqiang Zhang, Xiaoyun He, Yangzi Zhang and Wentao Xu
Biosensors 2025, 15(12), 799; https://doi.org/10.3390/bios15120799 - 5 Dec 2025
Viewed by 488
Abstract
Smart nucleic acid hydrogels (SNAHs), endowed with stimulus responsiveness, function as programmable molecular switches that can perceive diverse external stimuli and undergo rapid, reversible, and highly specific conformational or performance changes. These dynamic properties have enabled the rational design of biosensors with bionic [...] Read more.
Smart nucleic acid hydrogels (SNAHs), endowed with stimulus responsiveness, function as programmable molecular switches that can perceive diverse external stimuli and undergo rapid, reversible, and highly specific conformational or performance changes. These dynamic properties have enabled the rational design of biosensors with bionic behaviors, facilitating cascaded “recognition–decision–execution” processes that support advanced biological analysis. Consequently, SNAHs are recognized as a core breakthrough for the next generation of intelligent biosensing units. However, a systematic mapping between SNAH design strategies, specific stimuli, and application fields remains lacking. This review mainly analyzes advances in SNAH-based biosensors over the past five years, proposing flexible and feasible design strategies and key trends in customization. Firstly, we systematically summarize molecular recognition modules involved in the construction of SNAHs, including aptamers, DNAzymes, antibodies, and specific binding peptides. Subsequently, we elaborate on the responses of these modules to external stimuli, so as to further facilitate the signal transduction of signals derived from physical, chemical, and biological sources involving temperature, light, magnetic fields, pH, nucleic acids, proteins, other biomolecules, and pathogens. Additionally, the review outlines the research progress of SNAHs in environmental monitoring, food safety, and medical diagnostics. Finally, we provide an integrated perspective on future opportunities and challenges, highlighting the innovative framework for designing SNAH-based biosensors and offering a practical roadmap for next-generation intelligent sensing applications. Full article
Show Figures

Figure 1

11 pages, 3494 KB  
Article
A Simulation and Experimental Study of the Current Contact Notch Structure on the Fracture Capacity of Pyro-Breakers
by Jifei Ye, Guanghong Wang, Hua Li, Zhiquan Song and Peng Fu
Modelling 2025, 6(4), 159; https://doi.org/10.3390/modelling6040159 - 3 Dec 2025
Viewed by 197
Abstract
The current contact of pyro-breakers must rapidly interrupt current when the superconducting magnet loses its superconductivity. To enhance the microsecond-scale current-breaking capability of pyro-breakers in nuclear fusion devices, this study investigates the impact of current contact notch structures on dynamic fracture behavior. Through [...] Read more.
The current contact of pyro-breakers must rapidly interrupt current when the superconducting magnet loses its superconductivity. To enhance the microsecond-scale current-breaking capability of pyro-breakers in nuclear fusion devices, this study investigates the impact of current contact notch structures on dynamic fracture behavior. Through multi-physics field modeling and controlled explosive testing, it is revealed for the first time that the rectangular-notch structure demonstrates enhanced fracture performance relative to the V-notch configuration under explosive impact loading conditions, achieving a 27.3% reduction in fracture initiation time alongside a 47.5% increase in crack propagation width. These findings provide a robust theoretical basis for designing pyro-breakers with enhanced fast-break capabilities in fusion devices. Full article
Show Figures

Figure 1

10 pages, 2007 KB  
Communication
Negative and Reversible Magnetorheological Response for Magnetic Rubbers
by Rentaro Kanamori, Tomoya Sako, Hiroaki Okazaki, Mika Kawai and Tetsu Mitsumata
Gels 2025, 11(12), 969; https://doi.org/10.3390/gels11120969 - 2 Dec 2025
Viewed by 216
Abstract
A material exhibiting a reversible decrease in elastic modulus upon application of a magnetic field has been successfully developed for the first time. The material is a composite of natural rubber and carbonyl iron with a particle diameter of 8.3 μm. The storage [...] Read more.
A material exhibiting a reversible decrease in elastic modulus upon application of a magnetic field has been successfully developed for the first time. The material is a composite of natural rubber and carbonyl iron with a particle diameter of 8.3 μm. The storage modulus in the absence of magnetic field is 155 kPa and it decreases to 89.5 kPa by applying a magnetic field of 500 mT. The rubber composite underwent reversible changes in the dynamic modulus even after 30 cycles of on-off switching of the magnetic field. Full article
(This article belongs to the Special Issue Rheological Properties and Applications of Gel-Based Materials)
Show Figures

Figure 1

17 pages, 7682 KB  
Review
Cardiac Computed Tomography: Technological Developments and Clinical Applications
by Katsuya Suzuki, Hiroyuki Takaoka, Ryosuke Irie, Moe Matsumoto, Yoshitada Noguchi, Shuhei Aoki, Kazuki Yoshida, Haruto Matsumoto, Satomi Yashima, Makiko Kinoshita, Haruka Sasaki, Noriko Suzuki-Eguchi and Yoshio Kobayashi
J. Cardiovasc. Dev. Dis. 2025, 12(12), 473; https://doi.org/10.3390/jcdd12120473 - 2 Dec 2025
Viewed by 370
Abstract
Cardiac computed tomography (CT) has long evolved as a highly accurate screening tool for coronary artery disease. New technologies such as multi-detector rows and artifact reduction by a new motion correction algorithm have made it possible to evaluate coronary artery stenosis with higher [...] Read more.
Cardiac computed tomography (CT) has long evolved as a highly accurate screening tool for coronary artery disease. New technologies such as multi-detector rows and artifact reduction by a new motion correction algorithm have made it possible to evaluate coronary artery stenosis with higher diagnostic accuracy and lower radiation exposure. In addition to the anatomical evaluation of coronary arteries, the introduction of fluid dynamic analysis enables the measurement of coronary fractional flow reserve (FFR) for each stenotic lesion, which can only be achieved through invasive catheter evaluation. Myocardial ischemia can now also be detected using myocardial stress perfusion CT imaging. In addition, with the advent of dual-energy imaging or new image reconstruction technology, the addition of late contrast phase imaging enables myocardial late enhancement and left ventricular (LV) extracellular volume (ECV) analysis, which was previously possible only with cardiac magnetic resonance imaging (MRI). It has also been reported that LV ECV may be useful in predicting prognosis in cases with cardiomyopathies. In addition, retrospective imaging of the entire heart in a single cardiac cycle is now possible with lower radiation exposure, enabling not only morphological evaluation of the heart and valves but also myocardial strain analysis, which has conventionally been evaluated mainly by echocardiography and is expected to be applied in clinical practice in the future. Cardiac CT, which overcomes the weaknesses of other modalities while demonstrating greater usefulness through the latest technological development, is expected to expand its field of application to the entire heart analysis. The purpose of this review is to provide an overview of the technological development of cardiac CT, which has seen remarkable development in recent years, along with its clinical utility, with the aim of enabling clinicians to fully utilize it in daily practice. Full article
(This article belongs to the Topic Cardiac Imaging: State of the Art, 2nd Edition)
Show Figures

Figure 1

29 pages, 2082 KB  
Article
Vibration Analysis of Laminated Composite Beam with Magnetostrictive Layers Flexibly Restrained at the Ends
by Bogdan Marinca, Nicolae Herisanu and Vasile Marinca
Mathematics 2025, 13(23), 3856; https://doi.org/10.3390/math13233856 - 1 Dec 2025
Viewed by 184
Abstract
The dynamic model and nonlinear forced vibration of a laminated beam with magnetostrictive layers, embedded on a nonlinear elastic Winkler–Pasternak foundation, in the presence of an electromagnetic actuator, mechanical impact, dry friction, a longitudinal magnetic field, and van der Waals force is investigated [...] Read more.
The dynamic model and nonlinear forced vibration of a laminated beam with magnetostrictive layers, embedded on a nonlinear elastic Winkler–Pasternak foundation, in the presence of an electromagnetic actuator, mechanical impact, dry friction, a longitudinal magnetic field, and van der Waals force is investigated in the present work. The dynamic equations of this complex system are established based on von Karman theory and Hamilton’s principle. Then, by means of the Galerkin–Bubnov procedure, the partial differential equations are transformed into ordinary differential equations. The Optimal Auxiliary Functions Method (OAFM) is applied to solve the nonlinear differential equation. The results obtained are validated by comparisons with numerical results given by the Runge–Kutta procedure. Local stability in the neighborhood of the primary resonance is examined by means of the homotopy perturbation method, the Jacobian matrix, and the Routh–Hurwitz criteria. Global stability is studied by introducing the control law input function and using the approximate solution obtained by the OAFM in the construction of the Lyapunov function. La Salle’s invariance principle and Potryagin’s principle complete our study. The effects of some parameters are graphically presented. Our paper reveals the immense potential of the OAFM in the study of complex nonlinear dynamical systems. Full article
(This article belongs to the Special Issue Mathematical Modelling of Nonlinear Dynamical Systems)
Show Figures

Figure 1

17 pages, 6497 KB  
Article
NMR Analysis of Imbibition and Damage Mechanisms of Fracturing Fluid in Jimsar Shale Oil Reservoirs
by Lei Bai, Huiying Guo, Zhaowen Jiang, Yating Sun, Yan Li, Yuning Han, Xuejing Han, Shenglai Yang and Shuai Zhao
Processes 2025, 13(12), 3875; https://doi.org/10.3390/pr13123875 - 1 Dec 2025
Viewed by 205
Abstract
Optimizing the shut-in and flowback processes is crucial for improving oil recovery and mitigating formation damage in shale oil development. However, the mechanisms governing fracturing fluid migration and its impact on permeability, particularly across different lithologies, remain poorly understood. This study investigates the [...] Read more.
Optimizing the shut-in and flowback processes is crucial for improving oil recovery and mitigating formation damage in shale oil development. However, the mechanisms governing fracturing fluid migration and its impact on permeability, particularly across different lithologies, remain poorly understood. This study investigates the spontaneous imbibition behavior of fracturing fluid and the resulting permeability damage in two predominant lithotypes (dolomitic siltstone and argillaceous siltstone) from the Jimsar shale oil reservoir. By integrating low-field nuclear magnetic resonance (NMR) monitoring with core flooding experiments, we dynamically characterize fluid migration and quantitatively evaluate damage rates. The results reveal that lithology exerts a fundamental control on these processes. Dolomitic siltstone, with its higher brittle mineral content and well-connected pore network, facilitates deeper fracturing fluid invasion (30.47 mm) and more efficient oil displacement. In contrast, argillaceous siltstone, which is rich in clay minerals, exhibits stronger capillary trapping and suffers more severe permeability damage (~70%) compared to dolomitic siltstone (~46%), primarily due to the synergistic effects of water blocking and clay swelling. Furthermore, the impact of shut-in time on permeability damage follows a non-monotonic trend, reflecting a dynamic competition between imbibition-driven oil recovery and fluid-induced damage. Flowback analysis on core plugs reveals an economic critical point, beyond which further permeability recovery becomes marginal. This core-scale finding underscores the importance of the initial flowback stage for efficient cleanup and provides a scientific basis for optimizing flowback strategies in the Jimsar shale and similar unconventional reservoirs. These findings offer guidance for designing lithology-specific fracturing fluid systems, optimizing shut-in durations, and tailoring flowback strategies in the Jimsar shale and analogous unconventional reservoirs. Full article
(This article belongs to the Section Energy Systems)
Show Figures

Figure 1

23 pages, 10145 KB  
Article
Insulator-Integrated Voltage-Current Sensor Based on Electric Field Coupling and Tunneling Magnetoresistance Technology
by Xiangyu Tan, Yuan Liu, Ningbo Sun and Wenbin Zhang
Energies 2025, 18(23), 6296; https://doi.org/10.3390/en18236296 - 29 Nov 2025
Viewed by 170
Abstract
This paper proposes an integrated sensor for voltage and current distribution network insulators, based on electric field coupling and TMR magnetic sensing, to address the issues of traditional voltage and current separation measurement, insulator safety after primary and secondary fusion, uncertainty in voltage [...] Read more.
This paper proposes an integrated sensor for voltage and current distribution network insulators, based on electric field coupling and TMR magnetic sensing, to address the issues of traditional voltage and current separation measurement, insulator safety after primary and secondary fusion, uncertainty in voltage measurement gain, and interference resistance in TMR current measurements. Through simulation and optimization, the design of the embedded voltage-sensing unit in the insulator is achieved, ensuring uniform electric field distribution, determining the transfer function, and minimizing partial discharge, thereby ensuring insulator safety and improving voltage measurement accuracy. Additionally, a self-integrating circuit design is used to widen the low-frequency dynamic range and increase the voltage division ratio. Moreover, an open-type two-stage magnetic ring current sensor based on TMR is proposed, with optimized magnetic ring dimensions to detect currents from low to medium ranges, addressing eccentricity errors and improving sensitivity, immunity to interference, and magnetic field uniformity. The experimental results show that this integrated sensor can effectively ensure measurement accuracy, stability, and dynamic range. Full article
Show Figures

Figure 1

21 pages, 590 KB  
Article
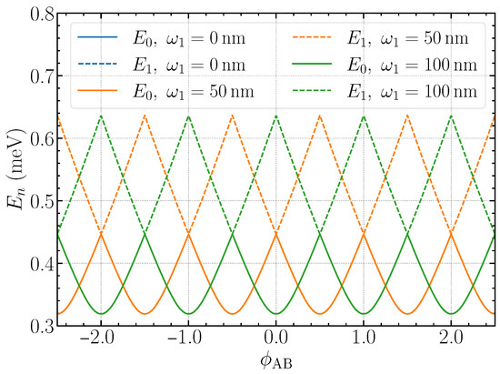
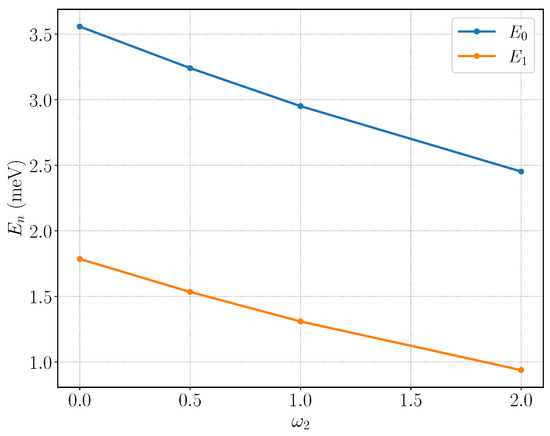
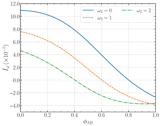
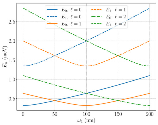
Nonrelativistic Quantum Dynamics in a Twisted Screw Spacetime
by Faizuddin Ahmed and Edilberto O. Silva
Universe 2025, 11(12), 391; https://doi.org/10.3390/universe11120391 - 27 Nov 2025
Viewed by 228
Abstract
We investigate the nonrelativistic quantum dynamics of a spinless particle in a screw-type spacetime endowed with two independent twist controls that interpolate between a pure screw dislocation and a homogeneous twist. From the induced spatial metric, we build the covariant Schrödinger operator, separate [...] Read more.
We investigate the nonrelativistic quantum dynamics of a spinless particle in a screw-type spacetime endowed with two independent twist controls that interpolate between a pure screw dislocation and a homogeneous twist. From the induced spatial metric, we build the covariant Schrödinger operator, separate variables to obtain a single radial eigenproblem, and include a uniform axial magnetic field and an Aharonov–Bohm (AB) flux by minimal coupling. Analytically, we identify a clean separation between a global, AB-like reindexing set by the screw parameter and a local, curvature-driven mixing generated by the distributed twist. We derive the continuity equation and closed expressions for the azimuthal and axial probability currents, establish practical parameter scalings, and recover limiting benchmarks (AB, Landau, and flat space). Numerically, a finite-difference Sturm–Liouville solver (with core excision near the axis and Langer transform) resolves spectra, wave functions, and currents. The results reveal AB periodicity and reindexing with the screw parameter, Landau fan trends, twist-induced level tilts and avoided crossings, and a geometry-induced near-axis backflow of the axial current with negligible weight in cross-section integrals. The framework maps the geometry and fields directly onto measurable spectral shifts, interferometric phases, and persistent-current signals. Full article
(This article belongs to the Section Foundations of Quantum Mechanics and Quantum Gravity)
Show Figures

Figure 1

13 pages, 5502 KB  
Article
Levitation Characteristics of an Aged Superconducting Magnetic Bearing
by Tilo Espenhahn, Marcus Dietzel and Ruben Hühne
Appl. Sci. 2025, 15(23), 12563; https://doi.org/10.3390/app152312563 - 27 Nov 2025
Viewed by 229
Abstract
Superconducting magnetic bearings are friction-free devices and therefore in principle suitable for long-term operation, as no wear is observed. However, other degradation mechanisms can influence the operation. Up to now, it has not been clear to what extent degradation of either the bulk [...] Read more.
Superconducting magnetic bearings are friction-free devices and therefore in principle suitable for long-term operation, as no wear is observed. However, other degradation mechanisms can influence the operation. Up to now, it has not been clear to what extent degradation of either the bulk superconductors or the permanent magnets impacts the overall bearing performance on long timescales. Therefore, we studied the bearing properties of a 20-year-old rotational superconducting magnetic bearing, which was cooled down occasionally in an open liquid nitrogen bath for presentation. Otherwise, the bearing was stored under ambient conditions. To characterize the current status, we measured the bearing’s static and dynamic stiffness in radial and axial directions. Comparing our results to the values measured after the setup of the bearing revealed a stiffness degradation of up to 77%. This decrease is mainly attributed to the degradation of the bearing’s superconducting bulks and the permanent magnets. Analysis of both components showed clear signs of degradation. The permanent magnetic rotor’s magnetic field is around 19% smaller compared to the original state. The superconducting bulks now only inhomogeneously trap magnetic flux. Critical current calculation based on this data revealed a significant reduction compared to the original measurements. Nonetheless, the bearing allows for a stable levitation. Full article
(This article belongs to the Special Issue Applied Superconductivity: Material, Design, and Application)
Show Figures

Figure 1

Back to TopTop