Sign in to use this feature.

Years

Between: -

Subjects

remove_circle_outline
remove_circle_outline
remove_circle_outline
remove_circle_outline
remove_circle_outline
remove_circle_outline
remove_circle_outline
remove_circle_outline
remove_circle_outline

Journals

remove_circle_outline
remove_circle_outline
remove_circle_outline
remove_circle_outline
remove_circle_outline
remove_circle_outline
remove_circle_outline
remove_circle_outline
remove_circle_outline
remove_circle_outline
remove_circle_outline

Article Types

Countries / Regions

remove_circle_outline
remove_circle_outline
remove_circle_outline
remove_circle_outline
remove_circle_outline

Search Results (620)

Search Parameters:
Keywords = dry mixing method

Order results
Result details
Results per page
Select all
Export citation of selected articles as:
19 pages, 2491 KB  
Article
Effect of Waste Glass Incorporation Methods on the Physical, Mechanical and Microstructural Properties of Cementitious Binders
by Jurgita Malaiškienė, Karolina Bekerė and Jelena Škamat
Materials 2026, 19(7), 1346; https://doi.org/10.3390/ma19071346 (registering DOI) - 28 Mar 2026
Abstract
In previous studies, it was established that replacing cement with dispersed glass from various electronic and household devices is challenging due to the formation of agglomerates in the mixture. Therefore, this study addresses this problem by applying different methods for incorporating dispersed glass: [...] Read more.
In previous studies, it was established that replacing cement with dispersed glass from various electronic and household devices is challenging due to the formation of agglomerates in the mixture. Therefore, this study addresses this problem by applying different methods for incorporating dispersed glass: mixing in a conventional Hobart-type mixer, mixing dry components in an intensive Eirich-type mixer, and dispersing the glass particles in water using ultrasonic treatment. Using these 3 glass waste incorporation methods, the properties of hardened cement paste—density, compressive strength, phase composition, and microstructure—were compared. The effects of 4 types of glass (from television screens, washing machines, fluorescent lamps, and solar panels) were analysed. The results showed that lamp glass dispersed in water with ultrasound showed the best performance, while for the other glass types, intensive mixing was more effective. Under these conditions, the compressive strength of the samples increased by up to approximately 24%, and a denser microstructure was obtained compared to other glass incorporation methods. Full article
Show Figures

Figure 1

22 pages, 3725 KB  
Article
Diurnal Variation, Topographical Distribution and Day-to-Day Repeatability of Ocular Surface Epithelial Immune Cells in Individuals with Dry Eye Disease
by Soumen Sadhu, Isabelle Jalbert, Blanka Golebiowski and Fiona Stapleton
J. Clin. Med. 2026, 15(7), 2582; https://doi.org/10.3390/jcm15072582 - 27 Mar 2026
Abstract
Objectives: To assess diurnal changes, topographical differences, and day-to-day repeatability of ocular surface epithelial immune cell (EIC) density and morphology in dry eye disease (DED). Methods: Sixteen participants with moderate-to-severe DED (mean (SE) age 49.4 (4.2) years) underwent in vivo confocal [...] Read more.
Objectives: To assess diurnal changes, topographical differences, and day-to-day repeatability of ocular surface epithelial immune cell (EIC) density and morphology in dry eye disease (DED). Methods: Sixteen participants with moderate-to-severe DED (mean (SE) age 49.4 (4.2) years) underwent in vivo confocal microscopy at three timepoints (day-1 morning and evening and day-2 morning) at six locations: central cornea, inferior whorl, inferior cornea, and temporal cornea, limbus and conjunctiva. Diurnal and topographical variation in EIC density and morphology were analyzed using linear mixed-effects models with adjusted pairwise comparisons. Day-to-day repeatability was assessed using the coefficient of repeatability (CoR) for density and Cohen’s kappa for morphology. Results: EIC density and morphology varied by location (p < 0.001) but not by timepoint at any location (p = 0.59–0.90). Density was highest at the inferior cornea (model-estimated mean: 101.2 (SE: 21.7) cells/mm2) and temporal limbus (104.3 (22.7) cells/mm2), and lowest at the central cornea (26.8 [5.1] cells/mm2 and inferior whorl (38.3 [8.2] cells/mm2; all pairwise, p < 0.001). EICs with large bodies were more frequent in conjunctiva (100%), inferior cornea (94%), and temporal cornea (87%), than in central cornea (34%) and whorl (19%) (all p ≤ 0.007). EICs with dendrites, and with long dendrites were similarly distributed (p < 0.001). Bland–Altman analysis showed low mean bias and EIC density was more repeatable at the central (CoR ± 23.8 cells/mm2) and temporal cornea (±27.5 cells/mm2) than the inferior cornea (±47.9 cells/mm2) or temporal conjunctiva (±42.3 cells/mm2). Morphology agreement was substantial to near-perfect (κ = 0.71–0.97). Conclusions: In DED, EIC density and morphology are diurnally stable and maintain topographic distribution patterns similar to healthy eyes. Day-to-day repeatability show location dependent patterns. The study provides feasibility data for using IVCM for EIC metrics in disease monitoring. Full article
(This article belongs to the Special Issue Ocular Surface Disease: Epidemiology, Diagnosis and Management)
Show Figures

Figure 1

13 pages, 2566 KB  
Article
The Effects of Adding Walnut Green Husk on the Quality of Alfalfa Mixed Silage, Protein Degradation, Microbial Community, and Their Interrelationships
by Naibi Abulaiti, Gulinigaer Aiyisirehong and Aibibula Yimamu
Metabolites 2026, 16(3), 187; https://doi.org/10.3390/metabo16030187 - 11 Mar 2026
Viewed by 263
Abstract
Objectives: This experiment was conducted to investigate the effects of adding walnut (Juglans regia L.) green husk (WGH) on the quality of alfalfa mixed silage, protein degradation, microbial community, and their interrelationships. Methods: Alfalfa (Medicago sativa L.) fresh grass [...] Read more.
Objectives: This experiment was conducted to investigate the effects of adding walnut (Juglans regia L.) green husk (WGH) on the quality of alfalfa mixed silage, protein degradation, microbial community, and their interrelationships. Methods: Alfalfa (Medicago sativa L.) fresh grass and WGH dried powder were used as raw materials to prepare three mixed silages of alfalfa fresh grass with 80 g/kg (A1), 120 g/kg (A2), and 160 g/kg (A3) of WGH dried powder, respectively, with alfalfa fresh grass silage as the control group (CK). After 60 days of ensilage, samples were taken and analyzed, with three replicates per treatment. Results: WGH treatment significantly improved alfalfa silage fermentation and nutritional quality. It reduced undesirable fermentation products while promoting beneficial lactic acid bacteria and preventing mold growth. Increasing the WGH ratio enhanced dry matter content and digestibility, with only a minor effect on crude protein. These results suggest that WGH is an effective silage additive for improving both fermentation characteristics and feed value. With the increase in the proportion of WGH, the proportions of rapidly degradable protein (PB1) and medium rate degradable protein (PB2) increased linearly, while the proportions of free amino acid nitrogen (FAA-N), peptide nitrogen (Peptide-N), slow degradable protein (PB3) and binding protein (PC) decreased linearly and the protease activity decreased significantly (p < 0.05). Bacterial community analysis showed that the relative abundance of Lactiplantibacillus and Levilactobacillus in the silage increased after WGH was added, while the relative abundance of Acetobacter, Pantoea, Weissella and Serratia decreased. Conclusions: Compared with pure alfalfa silage, the addition of WGH has a positive effect on silage quality, protein degradation and bacterial community structure, and the addition of WGH with 120 g/kg is more suitable. Full article
(This article belongs to the Section Nutrition and Metabolism)
Show Figures

Figure 1

33 pages, 8666 KB  
Article
Optimization and Performance Evaluation of Multi-Component Binder-Based Mortars Using Particle Packing Techniques
by Vanga Renuka, Sarella Venkateswara Rao, Tezeswi Tadepalli, Katarzyna Kalinowska-Wichrowska, Krzysztof Granatyr, Marta Kosior-Kazberuk, Małgorzata Franus and Adam Masłoń
Materials 2026, 19(5), 1024; https://doi.org/10.3390/ma19051024 - 6 Mar 2026
Viewed by 332
Abstract
The use of a multi-component binder (MCB), consisting of Ordinary Portland Cement (OPC) combined with one or more supplementary cementitious materials (SCMs), has gained prominence for enhancing sustainability and improving the performance of cementitious systems. This study provides an integrated approach to optimize [...] Read more.
The use of a multi-component binder (MCB), consisting of Ordinary Portland Cement (OPC) combined with one or more supplementary cementitious materials (SCMs), has gained prominence for enhancing sustainability and improving the performance of cementitious systems. This study provides an integrated approach to optimize both binder composition and aggregate gradation through advanced mixture design and particle packing techniques. The MCB system consists of OPC partially replaced with SCMs such as fly ash (FA), Ground Granulated Blast Furnace Slag (GGBFS), metakaolin (MK), and silica fume (SF), with particle sizes ranging from micron to sub-micron scale. The D-optimal mixture design (DOD) method is used to determine the optimal material proportions by evaluating the relation between binder composition and wet packing density measured through the wet packing method (WPM). To further enhance packing efficiency, the Modified Toufar Model (MTM) is employed to optimize fine aggregate gradation. The maximum packing density is considered the primary criterion for identifying the optimal mix design, as it reflects the minimum void ratio and the most efficient particle size distribution. The optimized mortar mixes are evaluated for mechanical strength, pozzolanic reactivity, capillary water sorptivity, and drying shrinkage. Results indicate that the optimized MCB and optimized fine aggregate gradation improve the packing density and pozzolanic activity, significantly enhancing strength and durability performance. The incorporation of SCMs offers an effective strategy to improve performance while mitigating carbon emissions. Compared with C100, CFGMS-based systems achieved energy reductions of 35–40% and CO2 emission reductions of 34–48%. Full article
Show Figures

Graphical abstract

22 pages, 8861 KB  
Article
Quantitative Identification of Lithology and Gas-Bearing Properties of Carbonate Reservoirs in the Majiagou Formation, Central Shaanbei Slope, Ordos Basin
by Pengfei Wu, Congjun Feng, Xiaohong Deng, Xinglei Song, Tongyang Lou and Mengsi Sun
Processes 2026, 14(5), 851; https://doi.org/10.3390/pr14050851 - 6 Mar 2026
Viewed by 325
Abstract
The identification of lithology and fluids in reservoirs is the key to the quantitative characterization of gas reservoirs. However, the Ma541 Member of the Majiagou Formation in the Ordos Basin is characterized by strong reservoir heterogeneity, variable lithologic components and complex [...] Read more.
The identification of lithology and fluids in reservoirs is the key to the quantitative characterization of gas reservoirs. However, the Ma541 Member of the Majiagou Formation in the Ordos Basin is characterized by strong reservoir heterogeneity, variable lithologic components and complex gas–water relationships. This leads to severe overlapping of conventional logging responses, posing significant challenges to detailed reservoir evaluation. Taking the Ma541 Member in the central Shaanbei Slope of the Ordos Basin as the research object, this study adopts the logging curve superposition and reconstruction method to quantitatively identify reservoir lithology and fluid properties, and establishes a set of identification standards for lithology-fluid logging curve superposition and reconstruction. The results show that the lithology identification plate constructed by introducing new parameters eliminates dimensional differences and effectively highlights the response characteristics of different lithologies. It can rapidly and effectively identify limestone, limy dolomite, dolomite, argillaceous dolomite, and mudstone with an identification accuracy exceeding 90% and an average accuracy of over 92%. In terms of fluid identification, the constructed ΔΦ3–ΔΦ4–ΔΦ5 3D plate successfully achieved the stereoscopic differentiation of gas layers, gas-bearing water layers, water layers, and dry layers. The gas layer identification accuracy reached 93.9%, which is significantly superior to the traditional 2D crossplot method. Applying this model to the plane prediction of lithology in the Ma541 Member of the study area, it was found that the lithology distribution features “pure in the east and mixed in the west.” The central-eastern and southeastern parts of the study area mainly develop high-quality dolomite and limy dolomite reservoirs, making them favorable areas for natural gas exploration. This study provides effective technical support for the quantitative identification of lithology and fluids in non-cored well sections and improves regional exploration and development efficiency. Full article
Show Figures

Figure 1

20 pages, 3107 KB  
Article
Leaching of Chlorinated Phenols from Creosote NAPL-Impacted Soils and Soil–Cement Mix Designs
by Dennis G. Grubb, Dusty R. V. Berggren and Jyoti K. Chetri
Waste 2026, 4(1), 8; https://doi.org/10.3390/waste4010008 - 5 Mar 2026
Viewed by 193
Abstract
This paper presents the results of a laboratory-based treatability study conducted for a confidential former wood treating site heavily impacted by a creosote non-aqueous-phase liquid (NAPL) containing pentachlorophenol (PCP). PCP impacts in the silty sands extended to approximately 33 ft (10 m) below [...] Read more.
This paper presents the results of a laboratory-based treatability study conducted for a confidential former wood treating site heavily impacted by a creosote non-aqueous-phase liquid (NAPL) containing pentachlorophenol (PCP). PCP impacts in the silty sands extended to approximately 33 ft (10 m) below the ground surface (bgs), with discrete soil samples containing PCP concentrations up to 14,500 mg/kg, and groundwater PCP concentrations forming a main plume exceeding 1 mg/L over 2.16 acres (0.87 ha). Treatability testing was performed on unspiked and NAPL-spiked site soils with total PCP concentrations ranging from 10 to 100 mg/kg, respectively, and leachable PCP concentrations of approximately 3 to 8 mg/L. Stabilization/solidification (S/S) mix designs using 5 to 10 weight percent (wt%, dry-reagent-to-wet-soil mass basis) of a Portland cement (PC) blend and 1 wt% powdered bentonite met the minimum unconfined compressive strength (UCS) and maximum hydraulic conductivity (K) performance criteria of 50 lb/in2 (345 kPa) and 1 × 10−6 cm/s, respectively, within the specified 28-day cure time. Long-term semi-dynamic leach testing was performed on S/S-treated soils using a modified United States Environmental Protection Agency (EPA) Method 1315 test incorporating a polydimethylsiloxane (PDMS) liner to improve the data reliability for hydrocarbons. Results showed that adding 1 wt% organoclay (OC) to the S/S mix designs did not substantially reduce leaching of common semi-volatile organic compounds (SVOCs) such as naphthalene, acenaphthene, phenanthrene and benzo(a)anthracene compared to mixes using only the PC blend with bentonite, consistent with previous studies. However, the inclusion of OC had a decisive effect on PCP immobilization, providing an order-of-magnitude (10×) reduction in the cumulative mass release of PCP over the test duration. This benefit diminished with decreasing degree of chlorination for other phenolic compounds. Full article
Show Figures

Figure 1

15 pages, 4914 KB  
Article
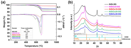
Nickel Catalysts Supported on SiO2-CeO2 Mixed Oxides for Methane Dry Reforming
by Carla Calabrese, Valeria La Parola, Giuseppe Pantaleo and Leonarda Francesca Liotta
Catalysts 2026, 16(3), 231; https://doi.org/10.3390/catal16030231 - 3 Mar 2026
Viewed by 435
Abstract
Nickel-supported catalysts over SiO2-CeO2 mixed oxides were investigated as catalysts for syngas production via dry reforming of methane. SiO2-CeO2 supports were optimized by varying the preparation method and ceria loading with the aim of stabilizing nickel nanoparticles, [...] Read more.
Nickel-supported catalysts over SiO2-CeO2 mixed oxides were investigated as catalysts for syngas production via dry reforming of methane. SiO2-CeO2 supports were optimized by varying the preparation method and ceria loading with the aim of stabilizing nickel nanoparticles, enhancing the catalytic performance, and improving the resistance to coke formation under high-temperature reforming conditions. To investigate the effect of support composition, SiO2-CeO2 mixed oxides with ceria contents ranging from 5 to 30 wt% were prepared using two synthesis routes: sol–gel and wetness impregnation methods. A nickel loading of 5 wt% was deposited on the resulting supports. The catalysts were characterized by XRD, N2 physisorption, temperature-programmed reduction (TPR), and Raman spectroscopy. Catalytic activity tests were carried out over reduced catalysts in an H2-He stream at 750 °C, using a feed mixture containing 15 vol% CH4 and 15 vol% CO2 in He. The effect of temperature on catalytic performance was evaluated in the range of 450–750 °C. Thermogravimetric, XRD and Raman analyses of spent catalysts were used to assess carbon deposition and the nature of crystalline phases. The results highlight the role of CeO2 content and preparation method in determining nickel dispersion, reducibility, catalytic performance in DRM, and coke resistance. Full article
Show Figures

Graphical abstract

20 pages, 5186 KB  
Article
Experimental Evaluation of Performance in Polyethylene Terephthalate Modified Asphalt Mixtures Using Dry Mixing Methods
by Ba Tu Vu and Manh Tuan Nguyen
Polymers 2026, 18(5), 577; https://doi.org/10.3390/polym18050577 - 27 Feb 2026
Viewed by 287
Abstract
High-quality pavement materials at reasonable prices are crucial for managing many heavy truck loads and hot weather conditions that present significant challenges for researchers, managers, and engineers. One effective strategy is to incorporate polymers into modified asphalt or asphalt mixtures. However, there are [...] Read more.
High-quality pavement materials at reasonable prices are crucial for managing many heavy truck loads and hot weather conditions that present significant challenges for researchers, managers, and engineers. One effective strategy is to incorporate polymers into modified asphalt or asphalt mixtures. However, there are several notable challenges when using polymers in asphalt concrete, particularly related to mixing procedures and methods. Worldwide, two primary mixing methods are commonly used, including traditional dry and modified dry techniques. The dry method is usually preferred for using polyethylene terephthalate (PET) due to its various advantages. The indirect tensile strength, static resilient modulus, dynamic modulus, and fatigue tests were examined for all asphalt mixtures with PET using both dry methods. The findings from this research suggest that the modified dry mixing method is more effective, particularly regarding fatigue resistance, based on a systematic analysis of the results. In addition to these experimental investigations, an analysis of flexible pavement design for a typical pavement section has been conducted. This analysis utilized the experimental resilient modulus of all mixtures to predict fatigue life based on the Asphalt Institute model. Full article
(This article belongs to the Special Issue Sustainable Polymer Materials for Pavement Applications)
Show Figures

Figure 1

18 pages, 2540 KB  
Article
Influence of Sociodemographic Factors and Incontinence Care Practices on the Development of Incontinence-Associated Dermatitis
by Maria Piedad Garcia-Ruiz, Rosa Maria Torres-Bautista, Maria Dolores Lopez-Franco, Agustina Orozco-Cuadrado, Vicenta Nava-Anguis, Araceli Alarcon-Juarez and Francisco Pedro García-Fernández
J. Clin. Med. 2026, 15(5), 1752; https://doi.org/10.3390/jcm15051752 - 25 Feb 2026
Viewed by 240
Abstract
Objectives: The general objective of the study was to analyze the influence of sociodemographic factors and care and hygiene practices on the appearance of Incontinence-Associated Dermatitis (IAD). The specific objectives were to identify the relationship between sociodemographic variables (age, sex, comorbidities) and the [...] Read more.
Objectives: The general objective of the study was to analyze the influence of sociodemographic factors and care and hygiene practices on the appearance of Incontinence-Associated Dermatitis (IAD). The specific objectives were to identify the relationship between sociodemographic variables (age, sex, comorbidities) and the incidence of IAD, and to evaluate hygiene protocols (cleaning products and absorbent use and practices) and compare time to IAD onset according to the hygiene practices used. Methods: A multicenter, prospective cohort study was conducted across 10 social health centers. The study population consisted of older institutionalized patients with urinary and/or mixed incontinence who used absorbents continuously. The variables included risk assessment using validated scales, such as the Braden scale and the Perianal Assessment Tool (PAT), as well as ad hoc questionnaires. Survival analysis of time-to-event onset was assessed using the Kaplan–Meier curve and the Log-Rank test. Results: A statistically significant association was found between the occurrence of IAD and the Braden scale (p = 0.004) and the PAT scale (p = 0.02). However, no statistically significant association was found with age, sex, or the Barthel Index. Regarding hygiene, soapy wipes were associated with the highest incidence of IAD. In contrast, dry wipes were the most effective, with the lowest cumulative risk and the longest time-to-event (p = 0.001). The brand of the absorbent used had a significant influence (p = 0.024), suggesting that the “B” brand prevented one IAD per six patients compared with the “A” brand. The frequency of absorbent changes did not show a statistically significant association. Conclusions: The risk of developing IAD was strongly linked to the scores of the Braden and PAT scales, the brand of the absorbent (“B” being more effective), and the cleaning product used, with dry wipes being the most protective compared to soapy wipes. On the other hand, factors such as age, sex, degree of dependence (Barthel), or frequency of absorbent change did not show a significant influence on the appearance of IAD. Full article
(This article belongs to the Section Geriatric Medicine)
Show Figures

Figure 1

18 pages, 2414 KB  
Article
Co-Ce PROX Catalysts for Renewable, Climate-Independent, and Emission-Free “On-Board” Energy
by Silviya Zh. Todorova, Bozhidar K. Grahovski, Elena Maria Anghel, Daniela B. Karashanova, Zlatka Geshkova, Hristo Kolev, Diana Filkova, Krasimir Tenchev, Iliyana Hristova and Vesselin Idakiev
Processes 2026, 14(4), 711; https://doi.org/10.3390/pr14040711 - 21 Feb 2026
Viewed by 506
Abstract
Trace amounts of CO in H2-rich gas can poison Pt electrodes in proton-exchange-membrane fuel cells, necessitating selective CO removal. Preferential oxidation of CO (PROX) offers an efficient route to oxidize CO while preserving H2. Although noble-metal-based catalysts are widely [...] Read more.
Trace amounts of CO in H2-rich gas can poison Pt electrodes in proton-exchange-membrane fuel cells, necessitating selective CO removal. Preferential oxidation of CO (PROX) offers an efficient route to oxidize CO while preserving H2. Although noble-metal-based catalysts are widely used, their high cost has driven interest in non-precious alternatives. Co3O4–CeO2 catalysts have emerged as particularly promising due to their high activity and stability. Two series of Co–Ce/SiO2 catalysts were prepared via impregnation: in the first, Ce was introduced and calcined prior to Co deposition; in the second, Co and Ce nitrates were co-deposited from a mixed aqueous solution. The latter method enhances the interaction between Co3O4 and CeO2, increasing the availability of surface oxygen species. Stability tests on the most active sample demonstrated remarkable durability, maintaining near-complete CO conversion over 100 h on dry stream. Full article
Show Figures

Figure 1

17 pages, 5336 KB  
Article
Thermo-Responsive Hydroxypropyl Methylcellulose and Sodium Alginate Composite Hydrogels and Their Fire Extinguishing Properties
by Xiaodong Pei, Jiahui Chen, Huafeng Liu, Liang Wang, Zhendong Miao, Yujie Yuan, Jialin Xi, Chenglin Li, Chenhao Tian and Yanzhao Liu
Fire 2026, 9(2), 88; https://doi.org/10.3390/fire9020088 - 16 Feb 2026
Viewed by 576
Abstract
To effectively prevent and control coal spontaneous combustion, a novel heat-sensitive hydrogel for mine fire prevention and extinguishment was developed using hydroxypropyl methylcellulose (HPMC) and the organic flame-retardant, sodium alginate (SA). The hydrogel was prepared through single-factor variable control and material compounding. First, [...] Read more.
To effectively prevent and control coal spontaneous combustion, a novel heat-sensitive hydrogel for mine fire prevention and extinguishment was developed using hydroxypropyl methylcellulose (HPMC) and the organic flame-retardant, sodium alginate (SA). The hydrogel was prepared through single-factor variable control and material compounding. First, the optimal formulation of the hydrogel was determined using analytical instruments and techniques, including a viscometer, vacuum drying oven, and the inverted test tube method. Subsequently, its microstructural characteristics were examined using scanning electron microscopy (SEM) and infrared spectroscopy (FTIR). Finally, a fire suppression test platform was established to perform comparative experiments, verifying the hydrogel’s fire prevention, extinguishing, and cooling performance. Experimental results demonstrated that the optimal hydrogel formulation consists of 2.5 wt% HPMC and 0.3 wt% SA. At this ratio, the hydrogel exhibits excellent fluidity and water retention, ensuring prolonged coverage and wetting of coal surfaces. The gel undergoes a sol–gel phase transition at 58 °C, enabling it to fill voids, bind and reinforce coal particles, and reduce exposed surface area. After drying, the hydrogel forms a uniformly smooth surface capable of both coating the coal body and encapsulating individual coal particles. Following the hydrogel treatment, the coal sample retains its original functional groups, indicating that no chemical reactions occur during mixing. Compared with traditional inhibitors, the hydrogel demonstrates superior fire suppression performance, more effectively covering and encapsulating burning coal. It rapidly reduces the temperature to 28 °C by the cooling effect of water evaporation from the hydrogel, and it maintains thermal stability, achieving outstanding fire-extinguishing efficiency. Full article
Show Figures

Graphical abstract

24 pages, 6300 KB  
Article
Microstructural Analysis and Subgrade Improvement of Silty Sand Using Xanthan Gum Biopolymer and Eggshell Powder
by Ajanta Kalita, Nisha Kumari Singh, Ghritartha Goswami, Sudip Basack and Moses Karakouzian
CivilEng 2026, 7(1), 11; https://doi.org/10.3390/civileng7010011 - 11 Feb 2026
Viewed by 467
Abstract
The demand for sustainable and environmentally friendly soil stabilization methods for subgrade improvement for pavements has led to exploring techniques that minimize ecological impact while optimizing engineering properties. Traditional stabilizers like cement and lime, though effective, have significant environmental drawbacks, including a high [...] Read more.
The demand for sustainable and environmentally friendly soil stabilization methods for subgrade improvement for pavements has led to exploring techniques that minimize ecological impact while optimizing engineering properties. Traditional stabilizers like cement and lime, though effective, have significant environmental drawbacks, including a high carbon footprint, disruption of vegetation, and health risks to workers. This study investigates the efficiency of biopolymers and eggshell powder as eco-friendly, sustainable soil stabilization agents. Parameters such as compaction characteristics, California Bearing Ratio (CBR), and micro-structural analysis were assessed. The research evaluates soil samples treated with varying concentrations of biopolymer (1%, 2%, and 3%) and eggshell powder (4%, 6%, and 8%). Results indicated that biopolymer addition slightly decreased the maximum dry density (MDD) and increased the optimum moisture content (OMC), while eggshell powder slightly increased MDD and decreased OMC. The optimal mix, soil + 1% xantham gum + 6% eggshell powder, enhanced CBR by 225.6% and 323.8% for soaked and unsoaked conditions, respectively. The scanning electron microscope revealed that treated soil samples transformed into a hard solid matrix, demonstrating improved stability. EDX analysis revealed the mineralogical composition of the mixes. Overall, the use of biopolymers and eggshell powder not only enhances soil strength but also promotes environmental sustainability. Full article
(This article belongs to the Section Geotechnical, Geological and Environmental Engineering)
Show Figures

Figure 1

19 pages, 596 KB  
Systematic Review
Breaking the Chain of Infection: A Systematic Review of Environmental Decontamination of Candidozyma auris (2017–2025)
by Aristotelis Papadimitriou, Lida-Paraskevi Drosopoulou, Maria Tseroni, Flora V. Kontopidou, Athanasios Tsakris and Georgia Vrioni
J. Fungi 2026, 12(2), 131; https://doi.org/10.3390/jof12020131 - 11 Feb 2026
Viewed by 744
Abstract
Candidozyma auris is an emerging multidrug-resistant yeast that readily contaminates healthcare environments, persisting on dry surfaces and enabling transmission and difficult-to-control outbreaks. A systematic review of environmental hygiene interventions targeting C. auris was conducted, focusing on efficacy against planktonic cells and surface-associated biofilms [...] Read more.
Candidozyma auris is an emerging multidrug-resistant yeast that readily contaminates healthcare environments, persisting on dry surfaces and enabling transmission and difficult-to-control outbreaks. A systematic review of environmental hygiene interventions targeting C. auris was conducted, focusing on efficacy against planktonic cells and surface-associated biofilms (including dry-surface biofilms, DSB where available). PubMed and Scopus were searched for English-language records published from 1 January 2017 to 30 September 2025, and study selection followed PRISMA 2020. Thirty-six studies from nine countries met the inclusion criteria. These were predominantly laboratory efficacy evaluations using carrier/suspension or quantitative surface methods reporting log10 Colony Forming Unit (CFU) reductions; only seven studies assessed biofilm-associated C. auris. Across clades I–IV, chlorine-based disinfectants and oxidizing chemistries (hydrogen peroxide/peracetic acid formulations) most consistently achieved high-level reductions (often ≥ 5 log10 CFU) under label-relevant conditions. In contrast, products containing only quaternary ammonium compounds (QACs) frequently underperformed and demonstrated greater variability. No-touch methods, particularly 254 nm ultraviolet-C light (UV-C), provided meaningful adjunctive reductions, but were highly dependent on dose delivery and geometry, and evidence for ozone-based approaches was mixed. Limited data on C. auris DSBs suggest planktonic testing may overestimate real-world conditions and underscore the importance of endpoints, such as transfer prevention and regrowth suppression. Full article
(This article belongs to the Special Issue Advances and Innovations in Fungal Infections)
Show Figures

Figure 1

19 pages, 957 KB  
Article
Metabolic and Lactation Effects of Rumen-Protected Choline Supplementation in Peripartum Dairy Cows and Its Effects on Calf Growth Until Weaning
by Ugur Serbester and Melisa Topaktas
Metabolites 2026, 16(2), 122; https://doi.org/10.3390/metabo16020122 - 10 Feb 2026
Viewed by 453
Abstract
Background: This study evaluated the effects of rumen-protected choline (RUPCHOL) supplementation in dairy cows from 21 days before calving to 28 days postpartum. The objective was to determine how RUPCHOL influences metabolic status, milk composition, and subsequent calf growth until weaning. Methods: Twenty-seven [...] Read more.
Background: This study evaluated the effects of rumen-protected choline (RUPCHOL) supplementation in dairy cows from 21 days before calving to 28 days postpartum. The objective was to determine how RUPCHOL influences metabolic status, milk composition, and subsequent calf growth until weaning. Methods: Twenty-seven pregnant Holstein cows were assigned to a Control group (n = 13) or an RUPCHOL group (n = 14), both receiving a total mixed ration (TMR), with the RUPCHOL group supplemented with 15 g/day of choline chloride. Cows were monitored during prepartum, calving, and postpartum periods for body weight, body condition score, dry matter intake, rectal temperature, milk yield and composition, and blood metabolites. Results: RUPCHOL supplementation tended to reduce serum aspartate aminotransferase and lowered concentrations of non-esterified fatty acids and β-hydroxybutyrate, indicating improved metabolic status. Milk total solids, fat, and protein percentages were higher in RUPCHOL-fed cows, suggesting enhanced milk quality. Maternal supplementation did not affect colostrum immunoglobulin G (IgG) content or calf body weight and body measurements (heart girth, wither height, hip height, and body length) from birth to weaning. Conclusions: In summary, RUPCHOL supplementation improved indicators of metabolic health and milk composition of dairy cows during the peripartum period without altering calf growth outcomes. Full article
(This article belongs to the Section Animal Metabolism)
Show Figures

Figure 1

21 pages, 3573 KB  
Article
Influence of Sewage Sludge Ash on Clay Properties
by Ali Firat Cabalar, Nurullah Akbulut and Ozgur Yildiz
Appl. Sci. 2026, 16(4), 1727; https://doi.org/10.3390/app16041727 - 10 Feb 2026
Viewed by 381
Abstract
This study aims to evaluate the effectiveness of sewage sludge ash (SSA) as a sustainable stabilizing agent for low-plasticity clay and to assess the applicability of machine learning techniques for predicting strength parameters. SSA was mixed with CL-type clay at contents of 0%, [...] Read more.
This study aims to evaluate the effectiveness of sewage sludge ash (SSA) as a sustainable stabilizing agent for low-plasticity clay and to assess the applicability of machine learning techniques for predicting strength parameters. SSA was mixed with CL-type clay at contents of 0%, 5%, 10%, 15%, 20%, and 30% by dry weight. A comprehensive laboratory testing program was conducted, including Atterberg limits, compaction, fall cone, vane shear, and unconfined compressive strength (UCS) tests. The results showed that Atterberg limits increased with increasing SSA contents. As the SSA content increased up to 30%, the maximum dry unit weight decreased by approximately 6%, while the optimum water content increased by about 14%. The addition of SSA significantly enhanced the shear strength, with UCS-derived strength increments ranging from 264 to 771 kPa for 4-day-cured specimens and from 515 to 1351 kPa for 32-day-cured specimens. These findings demonstrate the strong potential of SSA as an alternative and sustainable soil stabilizer. In addition, Self-Organizing Maps (SOMs) were employed to analyze the distribution and relationships of parameters within the experimental dataset, followed by Support Vector Machines (SVMs) for classification and prediction. Using the experimental results, the undrained shear strength parameters obtained from fall cone (su-FCT) and laboratory vane shear (su-LVT) tests were predicted with accuracies of 83% and 79%, respectively. The novelty of this study lies in the integrated experimental–data-driven framework, in which extensive laboratory testing is combined with machine learning methods to both validate and reliably predict the strength behavior of SSA-stabilized clay. Full article
(This article belongs to the Section Civil Engineering)
Show Figures

Figure 1

Back to TopTop