Leaching of Chlorinated Phenols from Creosote NAPL-Impacted Soils and Soil–Cement Mix Designs
Abstract
1. Introduction and Background
2. Site and Testing Background
3. Materials and Methods
3.1. The 2020 Sampling Event
3.2. The 2023 Sampling Event
3.3. Soil Sample Homogenization and Characterization
3.4. Soil Spiking with NAPL
4. Epa Method 1316MTesting
4.1. Laboratory Mix Designs
4.2. Geotechnical Tests
4.3. EPA Method 1315M Semi-Dynamic Leach Testing
5. Results and Discussion
5.1. Geotechnical Baseline Characterization
5.2. Environmental Baseline Characterization
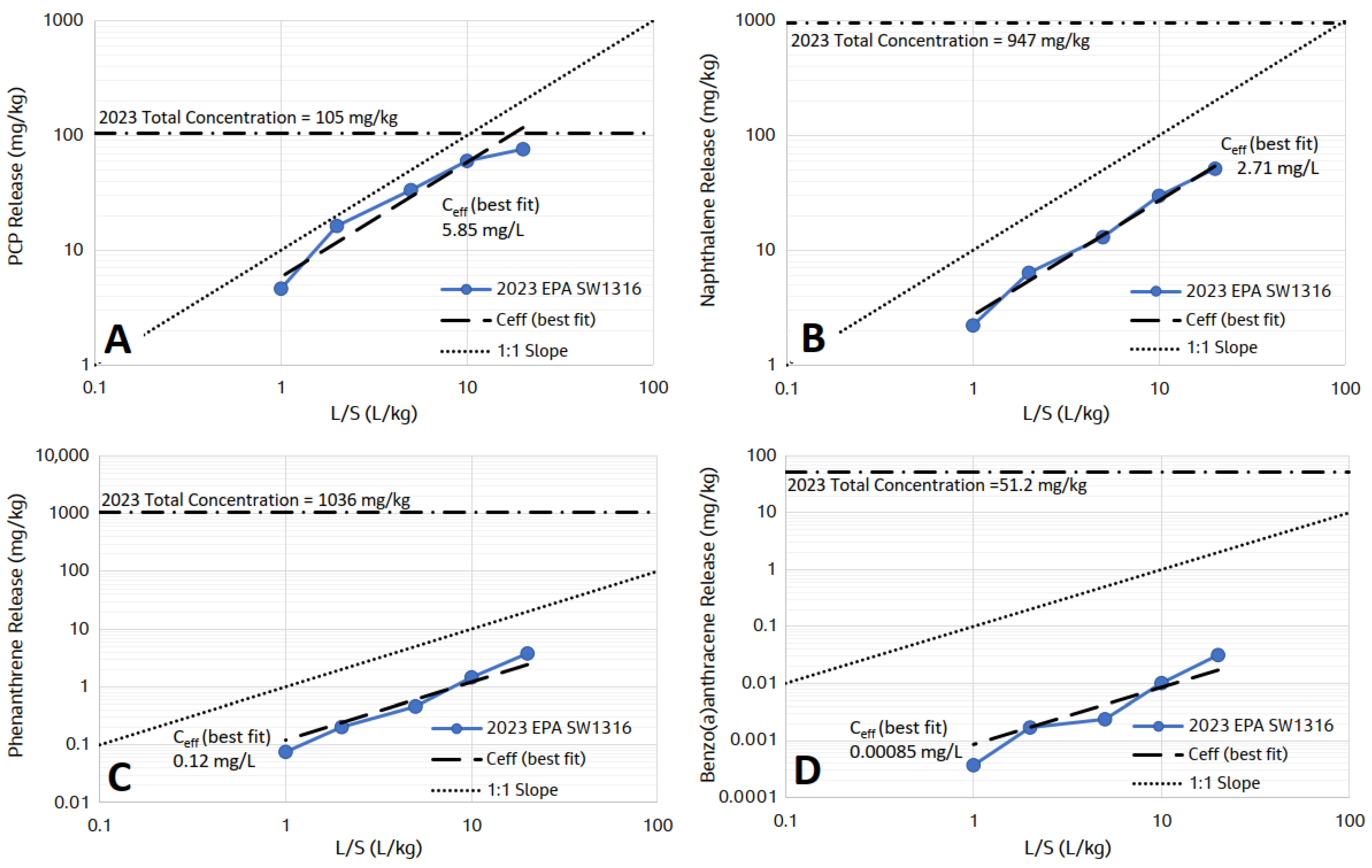
6. Epa Method 1316M Results
7. Mix Design Results
7.1. Hydraulic Conductivity
7.2. Unconfined Compressive Strength
7.3. Epa Method 1315M
8. Concluding Remarks
- All mix designs easily met the site criterion of a K ≤ 1 × 10−6 cm/s.
Supplementary Materials
Author Contributions
Funding
Data Availability Statement
Acknowledgments
Conflicts of Interest
References
- USEPA. SW-846 Test Method 1315: Mass Transfer Rates of Constituents in Monolithic or Compacted Granular Materials using a Semi-Dynamic Tank Leaching Procedure. In Test Methods for Evaluating Solid Waste: Physical/Chemical Methods SW-846 Method 1315; USEPA: Washington, DC, USA, 2017. [Google Scholar]
- USEPA. Contaminants and Remedial Options at Wood Preserving Sites; Office of Research and Development; USEPA: Washington, DC, USA, 1992. [Google Scholar]
- Bates, E.R.; Sahle-Demessie, E.; Grosse, D.W. Solidification/stabilization for remediation of wood preserving sites: Treatment for dioxins, PCP, creosote, and metals. Remediat. J. 2000, 10, 51–65. [Google Scholar] [CrossRef]
- Wiles, M.C.; Huebner, H.J.; McDonald, T.J.; Donnelly, K.C.; Phillips, T.D. Matrix-immobilized organoclay for the sorption of polycyclic aromatic hydrocarbons and pentachlorophenol from groundwater. Chemosphere 2005, 59, 1455–1464. [Google Scholar] [CrossRef] [PubMed]
- Huang, G.L.; Xiao, H.; Chi, J.; Shiu, W.Y.; Mackay, D. Effects of pH on the aqueous solubility of selected chlorinated phenols. J. Chem. Eng. Data 2000, 45, 411–414. [Google Scholar] [CrossRef]
- Boyd, S.A.; Shaobai, S.; Lee, J.F.; Mortland, M.M. Pentachlorophenol sorption by organo-clays. Clays Clay Miner. 1988, 36, 125–130. [Google Scholar] [CrossRef]
- Brixie, J.M.; Boyd, S.A. Treatment of contaminated soils with organoclays to reduce leachable pentachlorophenol. J. Environ. Qual. 1994, 23, 1283–1290. [Google Scholar] [CrossRef]
- CETCO. Technical Data Sheet: Organoclay PM-199: Organic Adsorption Media; Form TDS_ORGANOCLAY_PM—199_AM_EN-201705_V2, CETCO; CETCO: Hoffman Estates, IL, USA, 2017. [Google Scholar]
- ASTM D3987-12. (2020); Standard Practice for Shake Extraction of Solid Waste with Water. ASTM: West Conshohocken, PA, USA, 2000.
- USEPA. SW-846 Test Method 1312: Synthetic Precipitation Leaching Procedure. In Test Methods for Evaluating Solid Waste: Physical/Chemical Methods SW-846 Method 1312; USEPA: Washington, DC, USA, 1994. [Google Scholar]
- Electric Power Research Institute (EPRI). Leaching Assessment Methods for the Evaluation of the Effectiveness of In Situ Stabilization of Sediment Material at Manufactured Gas Plan Sites, EPRI and Exelon Corporation; First Energy Corporation and Southern Company: Palo Alto, CA, USA, 2009; p. 1015553. [Google Scholar]
- Finney, D.S.; Himmer, T.; Morris, J.J.; Coladonato, S. Demonstrating Leaching Reductions of NAPL-Impacted Soils Treated with Stabilization/Solidification Using Modified EPA Method 1315. J. Hazard. Toxic Radioact. Waste 2015, 19, C4014002. [Google Scholar] [CrossRef]
- Gentry, J.L.; Niemet, M.R.; Grubb, D.G.; Bruno, M.; Berggren, D.R.V.; Tsiamis, C.D. Gowanus Canal Superfund Site II: Stabilization/Solidification (S/S) of MGP-impacted sediments. J. Hazard. Toxic Radioact. Waste 2015, 19, C4014004. [Google Scholar] [CrossRef]
- Grubb, D.G.; Briggs, B. Stabilization/Solidification (S/S) Value Engineering Study—Pesticide Impacted Superfund Site. Presented at the Second Annual RE3 Conference, Hyatt at The Bellevue, Philadelphia, PA, USA, 27–29 January 2015; Sponsored by Enviroblend. [Google Scholar]
- ASTM D1633-17; Standard Test Methods for Compressive Strength of Molded Soil-Cement Cylinders. ASTM: West Conshohocken, PA, USA, 2017.
- ASTM D5084-16a; Standard Test Methods for Measurement of Hydraulic Conductivity of Saturated Porous Materials Using a Flexible Wall Permeameter. ASTM: West Conshohocken, PA, USA, 2016.
- Khuri, R.E.; Berggren, D.R.; Grubb, D.G. EPA LEAF testing of chlorobenzene-impacted sands and soil–cement mix designs. J. Hazard. Toxic Radioact. Waste 2022, 26, 04022019. [Google Scholar] [CrossRef]
- USEPA. SW-846 Test Method 9040C: pH Electrometric Measurement. In Test Methods for Evaluating Solid Waste: Physical/Chemical Methods SW-846 Method 9040C; USEPA: Washington, DC, USA, 2004. [Google Scholar]
- USEPA. SW-846 Test Method 9050A: Specific Conductance. In Test Methods for Evaluating Solid Waste: Physical/Chemical Methods SW-846 Method 9050A; USEPA: Washington, DC, USA, 1996. [Google Scholar]
- USEPA. SW-846 Test Method 8260D: Volatile Organic Compounds by Gas Chromatography/Mass Spectrometry. In Test Methods for Evaluating Solid Waste: Physical/Chemical Methods SW-846 Method 8260D; USEPA: Washington, DC, USA, 2018. [Google Scholar]
- USEPA. SW-846 Test Method 8270E: Semivolatile Organic Compounds by Gas Chromatography/Mass Spectrometry. In Test Methods for Evaluating Solid Waste: Physical/Chemical Methods SW-846 Method 8270E; USEPA: Washington, DC, USA, 2018. [Google Scholar]
- Eaton, A.D.; Clesceri, L.S.; Greenberg, A.E.; Franson, M.A.H. 5310 TOTAL ORGANIC CARBON (TOC) (2017). In Standard Methods for the Examination of Water and Wastewater, 23rd ed.; American Public Health Association: Washington, DC, USA, 2017. [Google Scholar]
- NEN 7375; Leaching Characteristics—Determination of the Leaching of Inorganic Components from Moulded or Monolithic Materials with a Diffusion Test—Solid Earthy and Stony Materials. NEN: Delft, The Netherlands, 2001.
- Shor, L.M.; Garrabrants, A.; Kosson, D.S. Device for Leaching Extraction and Assessment. U.S. Patent 7,930,948, 6 April 2011. [Google Scholar]







| Short ID | Full ID | PC Type | PC/PLC | SC | Bentonite | OC | W/R |
|---|---|---|---|---|---|---|---|
| -- | wt% | wt% | wt% | wt% | L/kg | ||
| M1-2020 | 5.0PS(I-II)-OC (VE) | Type I/II | 3.0 | 2.0 | 1.0 | 1.0 | 1.0 |
| M2-2020 | 5.0PS(I-II) (VE) | Type I/II | 3.0 | 2.0 | 1.0 | -- | 1.0 |
| M3-2020 | 7.5PS(I-II) (VE) | Type I/II | 4.5 | 3.0 | 1.0 | -- | 1.0 |
| M4-2020 | 10PC(I-II) (VE) | Type I/II | 6.0 | 4.0 | 1.0 | -- | 0.9 |
| M1 | 5.0PS(IL)-OC | Type IL | 3.5 | 2.0 | 1.0 | 1.0 | 2.8 |
| M2 | 7.5PS(IL)-OC | Type IL | 4.5 | 3.0 | 1.0 | 1.0 | 2.8 |
| M3 | 5.0PS(IL) | Type IL | 3.0 | 2.0 | 1.0 | -- | 2.8 |
| M4 | 7.5PS(IL) | Type IL | 4.5 | 3.0 | 1.0 | -- | 2.8 |
| M5 | 5.0PS(I-II)-OC | Type I/II | 3.0 | 2.0 | 1.0 | 1.0 | 2.8 |
| M6 | 5.0P(IL)-OC | Type IL | 5.0 | -- | 1.0 | 1.0 | 2.8 |
| M7 | 7.5P(IL)-OC | Type IL | 7.5 | -- | 1.0 | 1.0 | 2.8 |
| M8 | 5.0P(IL) | Type IL | 5.0 | -- | 1.0 | -- | 2.8 |
| M9 | 10PS(IL)-OC | Type IL | 6.0 | 4.0 | 1.0 | 1.0 | 2.8 |
| M10 | 10PS(I-II)-OC | Type I/II | 6.0 | 4.0 | 1.0 | 1.0 | 2.8 |
| I5A/I6A | I5A/I6A | Type I/II | 3.0 | 2.0 | 1.0 | -- | 2.8 |
| I5A/I6A-OC | I5A/I6A-OC | Type I/II | 3.0 | 2.0 | 1.0 | 1.0 | 2.8 |
| Soil ID | MC | LOI | Grain Size Distribution | Atterberg Limits | |||||||
|---|---|---|---|---|---|---|---|---|---|---|---|
| ASTM D2166 | ASTM D2974 | ASTM D6913/7928/2487 | ASTM D4318 | ||||||||
| MC (wt%) | MC (wt%) | LOI (wt%) | Sample Description | Classification (USCS) | Gravel (wt%) | Sand (wt%) | Fines (wt%) | LL | PL | PI | |
| 2020 Bulk Sample | N/M | 20 | 1.4 | Silty Sand | SM | 2.1 | 64.4 | 33.5 | Non-Plastic | ||
| 2023 Soil Replicate 1 | 24.1 | 15 | 2.2 | Silty Sand | SM | 0.7 | 67.4 | 31.9 | Non-Plastic | ||
| 2023 Soil Replicate 2 | 22.3 | 16 | 1.6 | Silty Sand | SM | 2.6 | 63.8 | 33.6 | Non-Plastic | ||
| Analyte | Units | NAPL (2020) | NAPL (2023) | |||
| General Chemistry | ||||||
| Density | g/mL | 0.968 | 0.976 | |||
| Volatile Organic Compounds by SW8260D | ||||||
| Xylene (total) | mg/kg | 3.78 | 0.022 | U | ||
| Semi-volatile Organic Compounds by SW8270E-SCAN | ||||||
| Phenolics | Pentachlorophenol | mg/kg | 14,600 | 10,600 | ||
| 2,3,4,6-Tetrachlorophenol | mg/kg | 718 | 590 | |||
| 2,4,5-Trichlorophenol | mg/kg | 126 | J | 88.7 | ||
| 2,4-Dimethylphenol | mg/kg | 89.0 | U | 24.0 | U | |
| 2,4-Dichlorophenol | mg/kg | 0.2 | U | 13.0 | U | |
| 3&4-Methylphenol | mg/kg | 41.0 | U | 9.6 | J | |
| 2,4,6-Trichlorophenol | mg/kg | 0.1 | U | 9.2 | U | |
| 2-Methylphenol | mg/kg | 32.0 | U | 8.9 | U | |
| 2-Chlorophenol | mg/kg | 0.1 | U | 8.2 | U | |
| Phenol | mg/kg | 26.0 | U | 3.9 | U | |
| Other SVOCs | Phenanthrene | mg/kg | 40,800 | 34,800 | ||
| Fluoranthene | mg/kg | 16,200 | 17,300 | |||
| Fluorene | mg/kg | 12,300 | 8980 | |||
| Acenaphthene | mg/kg | 11,900 | 9110 | |||
| Naphthalene | mg/kg | 11,300 | 6110 | |||
| Pyrene | mg/kg | 9800 | 7660 | |||
| Dibenzofuran | mg/kg | 9030 | 6380 | |||
| Anthracene | mg/kg | 3910 | 3600 | |||
| 2-Methylnaphthalene | mg/kg | 3270 | 2300 | |||
| 1-Methylnaphthalene | mg/kg | 2590 | 2920 | |||
| Chrysene | mg/kg | 2220 | 2140 | |||
| Benzo(a)anthracene | mg/kg | 1950 | 2350 | |||
| 1,1′-Biphenyl | mg/kg | 1780 | 1690 | |||
| Benzo(b)fluoranthene | mg/kg | 1060 | 1090 | |||
| Carbazole | mg/kg | 659 | 742 | |||
| Benzo(a)pyrene | mg/kg | 551 | 459 | |||
| Benzo(k)fluoranthene | mg/kg | 393 | 357 | |||
| Acenaphthylene | mg/kg | 293 | 220 | |||
| Indeno(1,2,3-cd)pyrene | mg/kg | 202 | 146 | |||
| Benzo(g,h,i)perylene | mg/kg | 148 | 140 | |||
| bis(2-Ethylhexyl)phthalate | mg/kg | 60.2 | J | 51.8 | ||
| Dibenz(a,h)anthracene | mg/kg | 59.2 | 66.4 | |||
| 2015 Data | As-Is Soil | NAPL-Spiked Soil | ||||||||||
| 2020 | 2023 | 2020 | 2023 | |||||||||
| General Chemistry | ||||||||||||
| NAPL Addition | mL/kg | -- | -- | 12 | 12 | |||||||
| pH (SW9045D) | SU | NT | NT | NT | NT | 6.97 | ||||||
| Solids Content | wt%, g/g-wet | NT | 82.3 | 81.2 | 82.0 | 81.5 | ||||||
| Moisture Content | wt%, g/g-dry | NT | 21.5 | 23.3 | 22.0 | 22.7 | ||||||
| Volatile Organic Compounds by EPA SW8260D | ||||||||||||
| 1,2,3-Trichlorobenzene | mg/kg | 0.354 | U | 0.18 | U | 9.70 | U | 1.80 | U | 9.20 | U | |
| 1,2,4-Trichlorobenzene | mg/kg | 0.354 | U | 0.18 | U | 9.70 | U | 1.80 | U | 9.20 | U | |
| 2-Butanone (MEK) | mg/kg | 4.72 | U | 0.27 | U | 9.45 | U | 2.70 | U | 8.90 | U | |
| Acetone | mg/kg | 2.36 | U | 0.29 | U | 16.00 | U | 2.90 | U | 15.50 | U | |
| Benzene | mg/kg | 0.354 | U | 0.104 | 1.800 | U | 0.330 | U | 1.650 | U | ||
| Carbon disulfide | mg/kg | NR | 0.067 | U | 2.100 | U | 0.680 | U | 1.950 | U | ||
| Chlorobenzene | mg/kg | 0.354 | U | 0.111 | J | 1.800 | U | 0.335 | U | 1.650 | U | |
| Ethylbenzene | mg/kg | 1.09 | J | 1.24 | 1.80 | U | 1.17 | 2.28 | U | |||
| Isopropylbenzene | mg/kg | 0.354 | U | 0.578 | 5.500 | U | 0.527 | J | 5.200 | U | ||
| m,p-Xylene | mg/kg | 3.57 | 4.35 | 4.96 | 3.84 | 6.75 | ||||||
| Methyl acetate | mg/kg | NR | 0.1 | U | 5.40 | U | 1.00 | U | 5.10 | U | ||
| Methylene chloride | mg/kg | 0.354 | U | 0.18 | U | 10.00 | U | 1.80 | U | 9.60 | U | |
| o-Xylene | mg/kg | 1.6 | 2.1 | 2.02 | J | 1.78 | 2.49 | J | ||||
| Styrene | mg/kg | 0.564 | J | 1.01 | 1.600 | U | 0.799 | J | 1.450 | |||
| Toluene | mg/kg | 1.19 | 0.84 | 2.000 | U | 0.874 | 1.950 | U | ||||
| Xylene (total) | mg/kg | 5.17 | 6.45 | 6.98 | 5.62 | 8.38 | ||||||
| Semi-volatile Organic Compounds by EPA SW8270E-SCAN | ||||||||||||
| Phenolics | Pentachlorophenol | mg/kg | 25.6 | 8.6 | 4.5 | 54.55 | 105.05 | |||||
| 2,3,4,6-Tetrachlorophenol | mg/kg | NR | 0.944 | J | 1.2 | 2.965 | J | 4.025 | ||||
| 2,4,5-Trichlorophenol | mg/kg | 0.782 | U | 0.15 | U | 0.8 | U | 0.575 | U | 0.15 | U | |
| 2,4,6-Trichlorophenol | mg/kg | 0.12 | U | 0.7 | U | 0.46 | U | 0.12 | U | |||
| 2,4-Dichlorophenol | mg/kg | 0.17 | U | 0.9 | U | 0.655 | U | 0.17 | U | |||
| 2,4-Dimethylphenol | mg/kg | 7.30 | 1.44 | 6.6 | 1.4 | U | 4.78 | |||||
| 2-Chlorophenol | mg/kg | 0.099 | U | 0.5 | U | 0.38 | U | 0.099 | U | |||
| 2-Methylphenol | mg/kg | 2.19 | 1.59 | 2.8 | 0.5115 | J | 1.805 | |||||
| 3&4-Methylphenol | mg/kg | 3.15 | 2.25 | 4.2 | 1.0775 | J | 2.62 | |||||
| Phenol | mg/kg | 0.782 | U | 1.02 | 1.9 | 0.453 | 1.3405 | |||||
| Other SVOCs | Phenanthrene | mg/kg | 573 | 670 | 469.5 | E | 579.5 | 1036 | ||||
| Fluoranthene | mg/kg | 318 | 262 | 285.0 | 226 | 325.5 | ||||||
| Fluorene | mg/kg | 215 | 195 | 199.5 | 180 | 236 | ||||||
| Acenaphthene | mg/kg | 191 | 174 | 198.5 | 177 | 233.5 | ||||||
| Naphthalene | mg/kg | 578 | 634 | 1092.0 | E | 445 | 947 | |||||
| Pyrene | mg/kg | 188 | 141 | 174.5 | 149 | 201 | ||||||
| Dibenzofuran | mg/kg | 153 | 147 | 140.5 | 132.5 | 172.5 | ||||||
| Anthracene | mg/kg | 167 | 95.8 | 115.4 | 71.45 | 94.7 | ||||||
| 2-Methylnaphthalene | mg/kg | 175 | 146 | 189.0 | 119.5 | 153.7 | ||||||
| 1-Methylnaphthalene | mg/kg | NR | 62.5 | 102.5 | 51.25 | 80.8 | ||||||
| Chrysene | mg/kg | 47.2 | 43.8 | 50.1 | 34.2 | 50.45 | ||||||
| Benzo(a)anthracene | mg/kg | 51.3 | 41.7 | 55.5 | 34.55 | 51.2 | ||||||
| 1,1′-Biphenyl | mg/kg | NR | 35.4 | 38.6 | 32.8 | 41.35 | ||||||
| Benzo(b)fluoranthene | mg/kg | 38.8 | 17.6 | 34.5 | 18.4 | 31.6 | ||||||
| Carbazole | mg/kg | 93 | 60.8 | 54.4 | 35.7 | 45.65 | ||||||
| Benzo(a)pyrene | mg/kg | 25.0 | 11.4 | 24.3 | 11.75 | 22.65 | ||||||
| Benzo(k)fluoranthene | mg/kg | 12.5 | 5.98 | 13.9 | 6.175 | 8.6 | ||||||
| Acenaphthylene | mg/kg | 8.41 | 5.37 | 11.3 | 5.82 | 8.48 | ||||||
| Indeno(1,2,3-cd)pyrene | mg/kg | 8.94 | 4.31 | 9.9 | 3.055 | 3.055 | ||||||
| Benzo(g,h,i)perylene | mg/kg | 8.8 | 3.51 | 10.4 | 3.235 | 3.235 | ||||||
| bis(2-Ethylhexyl)phthalate | mg/kg | 0.782 | U | 0.047 | U | 0.3 | U | 0.18 | U | 0.175 | J | |
| Dibenz(a,h)anthracene | mg/kg | 2.7 | 0.971 | 3.21 | 0.961 | 2.63 | ||||||
| Hexachlorobenzene | mg/kg | 0.051 | U | 0.28 | U | 0.19 | U | 0.051 | U | |||
| Aniline | mg/kg | 0.782 | U | NR | 1.0 | 0.4785 | J | 0.8245 | ||||
| Pyridine | mg/kg | 0.782 | U | NR | 0.4 | J | 0.26 | U | 0.094 | J | ||
| Parameter | Method | Units | 2020 | 2023 |
|---|---|---|---|---|
| General Chemistry | ||||
| pH | SW9040 | SU | 7.59 | 8.33 |
| Alkalinity, Bicarbonate | SM4500D | mg/L | 256 | 262 |
| Alkalinity, Total as CaCO3 | SM2320B | mg/L | 257 | 266 |
| Sulfate | EPA 300.0 | mg/L | 6.8 | 3.7 |
| Chloride | EPA 300.0 | mg/L | 60.5 | 67.1 |
| Parameter/Analyte | Method | Units | Select Effective Solubilities, Ceff | |||||||||||
| Liquid/Solid Ratio | L/kg | 20 | 10 | 5 | 2 | 1 | ||||||||
| General Chemistry | ||||||||||||||
| pH | SM4500 | SU | 7.8 | 7.54 | 7.34 | 7.04 | 6.95 | |||||||
| Conductivity | SM2510B | mS/cm | 0.80 | 1.43 | 2.05 | 2.66 | 2.76 | |||||||
| Dissolved Organic Carbon | SM5310 | mg/L | 18.3 | 24.9 | 39.9 | 74.3 | 106 | |||||||
| VOCs | ||||||||||||||
| Styrene | SW8260D | mg/L | 0.014 | 0.0186 | J | 0.0212 | 0.0245 | 0.0214 | 0.020 | |||||
| Xylene (total) | SW8260D | mg/L | 0.0943 | 0.111 | 0.119 | 0.126 | 0.114 | 0.11 | ||||||
| m,p-Xylene | SW8260D | mg/L | 0.0611 | 0.072 | 0.0756 | 0.0809 | 0.0741 | 0.073 | ||||||
| o-Xylene | SW8260D | mg/L | 0.0332 | 0.0385 | 0.0429 | 0.0448 | 0.0403 | 0.040 | ||||||
| Toluene | SW8260D | mg/L | 0.0202 | 0.0287 | 0.034 | 0.0465 | 0.0394 | 0.034 | ||||||
| Ethylbenzene | SW8260D | mg/L | 0.0199 | 0.0228 | 0.0233 | 0.028 | 0.0243 | 0.024 | ||||||
| SVOCs | ||||||||||||||
| Phenolics | Pentachlorophenol | SW8270SIM | mg/L | 3.8 | 6.01 | 6.69 | 8.14 | 4.62 | 6.16 | |||||
| 2,3,4,6-Tetrachlorophenol | SW8270E | mg/L | 0.181 | J | 0.342 | E | 0.762 | 0.621 | 0.32 | |||||
| 2,4,5-Trichlorophenol | SW8270E | mg/L | 0.0295 | 0.0291 | 0.0337 | 0.0299 | 0.0157 | |||||||
| 2,4,6-Trichlorophenol | SW8270E | mg/L | 0.0014 | J | 0.0018 | J | 0.0029 | J | 0.0043 | J | 0.0025 | J | ||
| 2,4-Dichlorophenol | SW8270E | mg/L | 0.0037 | J | 0.0042 | 0.0066 | 0.001 | U | 0.0058 | |||||
| 2,4-Dimethylphenol | SW8270E | mg/L | 0.112 | 0.155 | 0.46 | 0.698 | 0.571 | |||||||
| 2-Chlorophenol | SW8270E | mg/L | 0.00074 | U | 0.00074 | U | 0.0012 | J | 0.00074 | U | 0.00074 | U | ||
| 2-Methylphenol | SW8270E | mg/L | 0.0769 | 0.113 | 0.345 | 0.629 | 0.593 | |||||||
| 3&4-Methylphenol | SW8270E | mg/L | 0.0661 | 0.101 | 0.216 | 0.582 | 0.548 | |||||||
| Phenol | SW8270E | mg/L | 0.0059 | 0.0091 | 0.0176 | 0.0409 | 0.0301 | |||||||
| Other SVOCs | Phenanthrene | SW8270SIM | mg/L | 0.189 | 0.146 | 0.092 | 0.102 | 0.0755 | 0.12 | |||||
| Fluoranthene | SW8270SIM | mg/L | 0.0212 | 0.0172 | 0.00867 | 0.00952 | 0.006 | 0.013 | ||||||
| Fluorene | SW8270SIM | mg/L | 0.183 | 0.149 | 0.129 | 0.143 | 0.0977 | 0.14 | ||||||
| Acenaphthene | SW8270SIM | mg/L | 0.312 | 0.3 | 0.209 | 0.243 | 0.165 | 0.25 | ||||||
| Naphthalene | SW8270E | mg/L | 2.63 | 2.3 | 2.43 | 3.22 | 1.93 | 2.32 | ||||||
| Pyrene | SW8270SIM | mg/L | 0.0175 | 0.0102 | 0.00508 | 0.00508 | 0.00282 | |||||||
| Dibenzofuran | SW8270E | mg/L | 0.17 | J | 0.153 | 0.128 | 0.129 | 0.0769 | 0.13 | |||||
| Anthracene | SW8270SIM | mg/L | 0.0228 | 0.0188 | 0.0149 | 0.0184 | 0.0101 | 0.02 | ||||||
| 2-Methylnaphthalene | SW8270SIM | mg/L | 0.369 | 0.35 | 0.253 | 0.291 | 0.213 | 0.30 | ||||||
| 1-Methylnaphthalene | SW8270SIM | mg/L | 0.244 | 0.19 | 0.168 | 0.192 | 0.13 | 0.18 | ||||||
| Chrysene | SW8270SIM | mg/L | 0.00123 | 0.00088 | 0.00029 | J | 0.0006 | 0.00027 | J | 0.00065 | ||||
| Benzo(a)anthracene | SW8270SIM | mg/L | 0.00157 | 0.00101 | 0.00047 | 0.00084 | 0.00037 | 0.00085 | ||||||
| 1,1′-Biphenyl | SW8270E | mg/L | 0.0737 | 0.0514 | 0.0456 | 0.0514 | 0.0313 | 0.051 | ||||||
| Benzo(b)fluoranthene | SW8270SIM | mg/L | 0.00087 | 0.00039 | 0.00012 | U | 0.00023 | 0.00012 | U | |||||
| Carbazole | SW8270E | mg/L | 0.329 | 0.229 | 0.485 | 0.348 | 0.203 | 0.319 | ||||||
| Benzo(a)pyrene | SW8270SIM | mg/L | 0.00048 | 0.00018 | J | 0.00012 | U | 0.00014 | J | 0.00012 | U | |||
| Benzo(k)fluoranthene | SW8270SIM | mg/L | 0.00025 | J | 0.0002 | U | 0.0002 | U | 0.0002 | U | 0.0002 | U | ||
| Acenaphthylene | SW8270SIM | mg/L | 0.0155 | 0.0152 | 0.0136 | 0.0159 | 0.0115 | 0.0143 | ||||||
| bis(2-Chloroethyl)ether | SW8270E | mg/L | 0.0011 | J | 0.00086 | U | 0.00086 | U | 0.00086 | U | 0.00086 | U | ||
| Pyridine | SW8270E | mg/L | 0.0027 | J | 0.0028 | J | 0.0012 | J | 0.00062 | U | 0.0023 | J |
| ID | PC/PLC Type | PC or PLC | SC | B | OC | W/R | DBD | 28-Day K | 28-day UCS | 56-Day UCS | |||
|---|---|---|---|---|---|---|---|---|---|---|---|---|---|
| wt% | wt% | wt% | wt% | L/kg | kN/m3 | lb/ft3 | cm/s | kPa | lb/in2 | kPa | lb/in2 | ||
| M1-2020 | Type I/II | 3.0 | 2.0 | 1.0 | 1.0 | 1.0 | 14.8 | 94.3 | 1.9 × 10−7 | 1758 ± 572 | 255 ± 83 | NT | |
| M2-2020 | Type I/II | 3.0 | 2.0 | 1.0 | -- | 1.0 | 15.4 | 98.0 | 2.2 × 10−7 | 3089 ± 731 | 448 ± 106 | ||
| M3-2020 | Type I/II | 4.5 | 3.0 | 1.0 | -- | 1.0 | 14.6 | 93.0 | 1.7 × 10−7 | 4606 ± 83 | 668 ± 12 | ||
| M4-2020 | Type I/II | 6.0 | 4.0 | 1.0 | -- | 0.9 | 14.5 | 92.5 | 2.2 × 10−7 | 2358 ± 1393 | 342 ± 202 | ||
| M1 | Type IL | 3.0 | 2.0 | 1.0 | 1.0 | 2.8 | 11.7 | 74.4 | 1.1 × 10−7 | 545 ± 34 | 79 ± 5 | 614 ± 127 | 89 ± 18.4 |
| M3 | Type IL | 3.0 | 2.0 | 1.0 | -- | 2.8 | 12.0 | 76.7 | 1.5 × 10−7 | 552 ± 34 | 80 ± 5 | 710 ± 54 | 103 ± 7.78 |
| M2 | Type IL | 4.5 | 3.0 | 1.0 | 1.0 | 2.8 | 10.9 | 69.6 | 5.0 × 10−7 | 414 ± 34 | 60 ± 5 | 517 ± 20 | 75 ± 2.83 |
| M4 | Type IL | 4.5 | 3.0 | 1.0 | -- | 2.8 | 11.2 | 71.3 | 1.6 × 10−7 | 476 ± 34 | 69 ± 5 | 676 ± 20 | 98 ± 2.83 |
| M9 | Type IL | 6.0 | 4.0 | 1.0 | 1.0 | 2.8 | NT | 296 ± 131 | 43 ± 19 | NT | |||
| M5 | Type I/II | 3.0 | 2.0 | 1.0 | 1.0 | 2.8 | 11.4 | 72.5 | 3.4 × 10−7 | 331 ± 62 | 48 ± 9 | 396 ± 24 | 57.5 ± 3.54 |
| M10 | Type I/II | 6.0 | 4.0 | 1.0 | 1.0 | 2.8 | NT | 262 ± 7 | 38 ± 1 | NT | |||
| M6 | Type IL | 5.0 | -- | 1.0 | 1.0 | 2.8 | 11.1 | 70.5 | 5.7 × 10−7 | 179 ± 7 | 26 ± 1 | 203 ± 5 | 29.5 ± 0.71 |
| M8 | Type IL | 5.0 | -- | 1.0 | -- | 2.8 | 11.4 | 72.4 | 5.3 × 10−7 | 172 ± 34 | 25 ± 5 | 265 ± 63 | 38.5 ± 9.19 |
| M7 | Type IL | 7.5 | -- | 1.0 | 1.0 | 2.8 | 10.6 | 67.3 | 7.2 × 10−7 | 186 ± 7 | 27 ± 1 | 238 ± 5 | 34.5 ± 0.71 |
Disclaimer/Publisher’s Note: The statements, opinions and data contained in all publications are solely those of the individual author(s) and contributor(s) and not of MDPI and/or the editor(s). MDPI and/or the editor(s) disclaim responsibility for any injury to people or property resulting from any ideas, methods, instructions or products referred to in the content. |
© 2026 by the authors. Licensee MDPI, Basel, Switzerland. This article is an open access article distributed under the terms and conditions of the Creative Commons Attribution (CC BY) license.
Share and Cite
Grubb, D.G.; Berggren, D.R.V.; Chetri, J.K. Leaching of Chlorinated Phenols from Creosote NAPL-Impacted Soils and Soil–Cement Mix Designs. Waste 2026, 4, 8. https://doi.org/10.3390/waste4010008
Grubb DG, Berggren DRV, Chetri JK. Leaching of Chlorinated Phenols from Creosote NAPL-Impacted Soils and Soil–Cement Mix Designs. Waste. 2026; 4(1):8. https://doi.org/10.3390/waste4010008
Chicago/Turabian StyleGrubb, Dennis G., Dusty R. V. Berggren, and Jyoti K. Chetri. 2026. "Leaching of Chlorinated Phenols from Creosote NAPL-Impacted Soils and Soil–Cement Mix Designs" Waste 4, no. 1: 8. https://doi.org/10.3390/waste4010008
APA StyleGrubb, D. G., Berggren, D. R. V., & Chetri, J. K. (2026). Leaching of Chlorinated Phenols from Creosote NAPL-Impacted Soils and Soil–Cement Mix Designs. Waste, 4(1), 8. https://doi.org/10.3390/waste4010008

