Harmonic Power Sharing Control Method for Microgrid Inverters Based on Disturbance Virtual Impedance
Abstract
1. Introduction
2. Characteristics Analysis of Parallel Inverter Systems
2.1. Fundamental Power Sharing Characteristics
2.2. Harmonic Power Sharing Characteristics
2.3. Definition of Harmonic Power
3. Harmonic Power Sharing Control Method for Parallel Inverters
3.1. Principle of Harmonic Power Sharing
3.2. Current Signal Extraction and Power Calculation
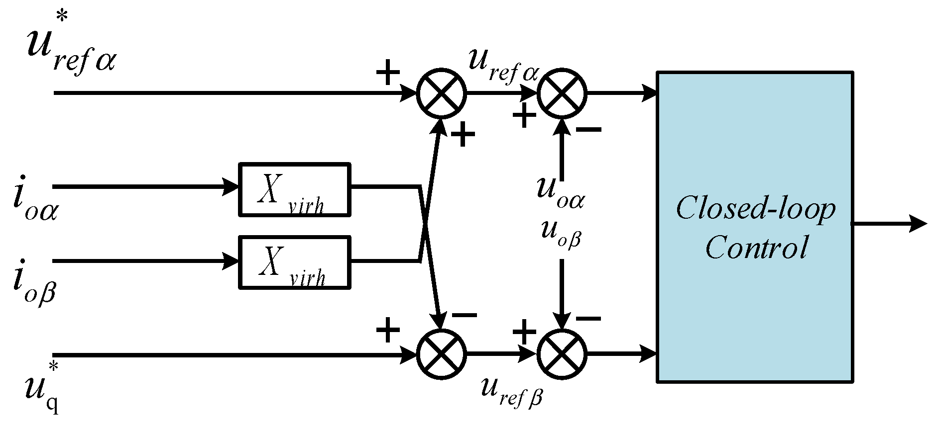
3.3. Control Structure
3.4. Virtual Impedance Voltage Drop Calculation
3.5. Design of the Impedance Coefficient
4. Results
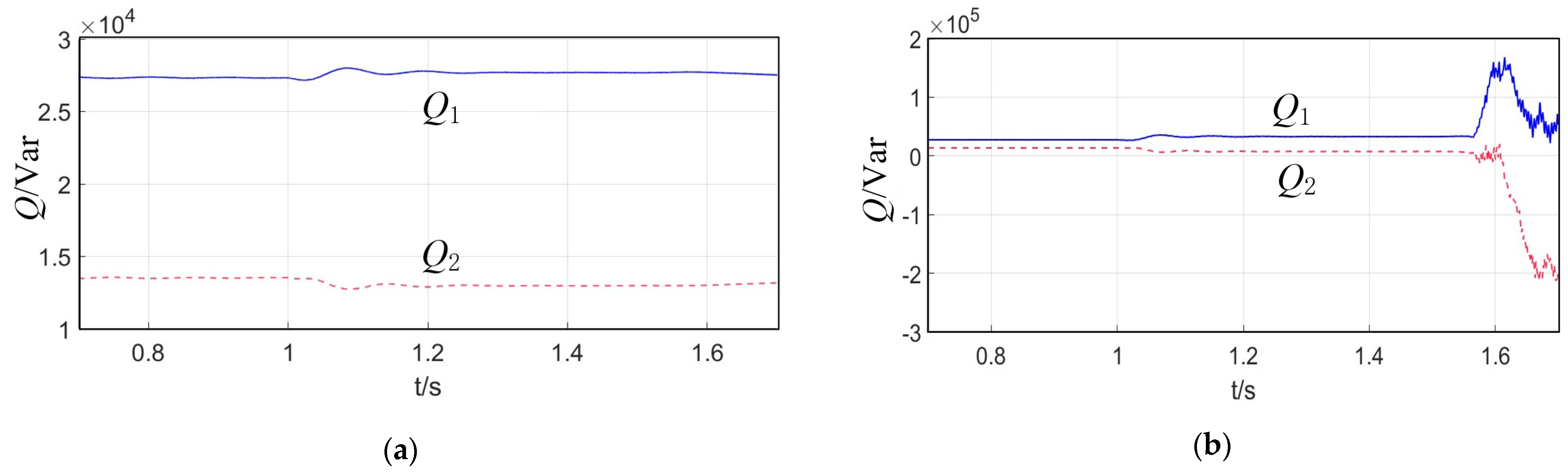
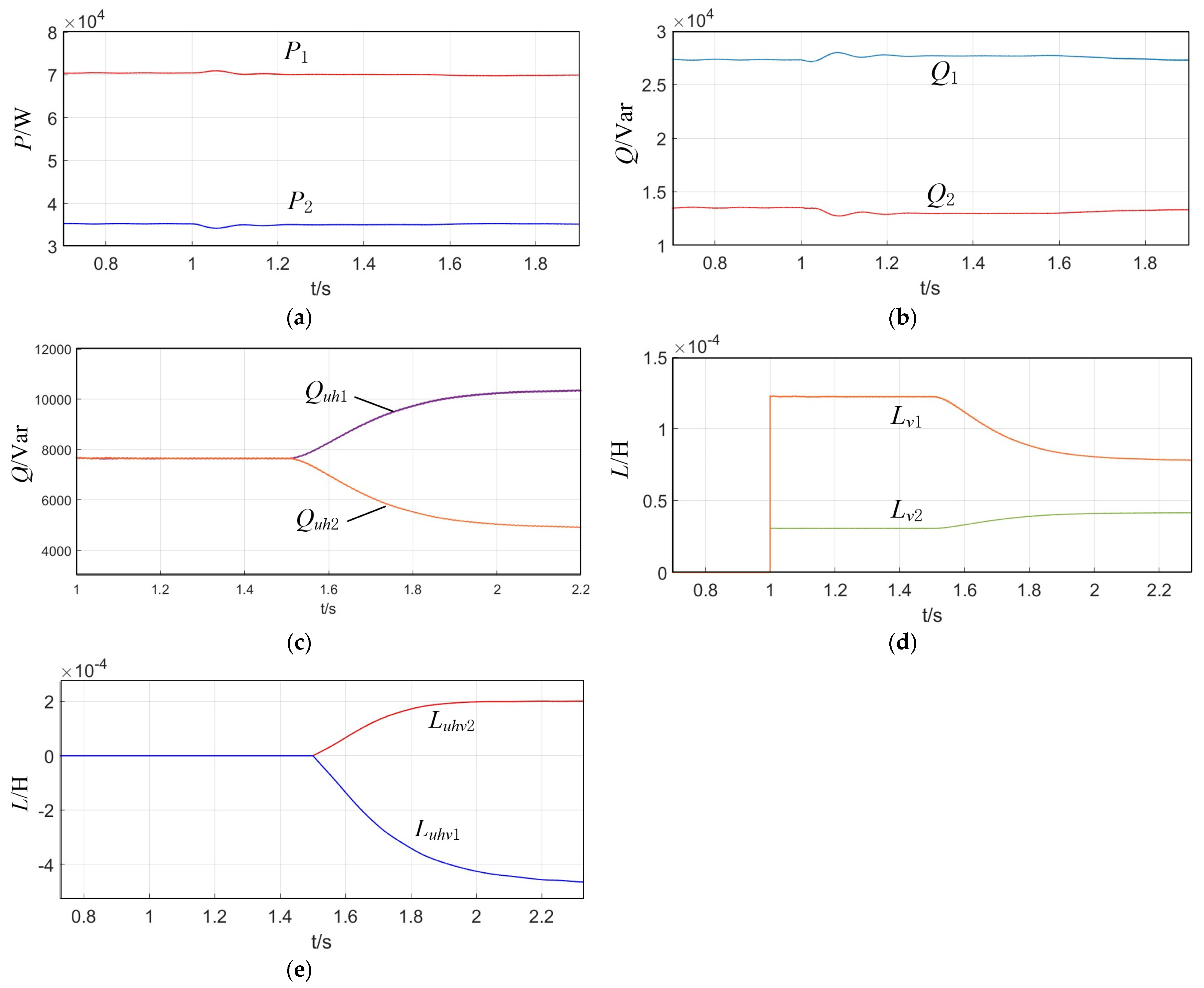
4.1. Experimental Procedure
4.2. Output Current Comparison
5. Conclusions
Author Contributions
Funding
Data Availability Statement
Conflicts of Interest
References
- Blaabjerg, F.; Teodorescu, R.; Liserre, M.; Timbus, A.V. Overview of Control and Grid Synchronization for Distributed Power Generation Systems. IEEE Trans. Ind. Electron. 2006, 53, 1398–1409. [Google Scholar] [CrossRef]
- Parhizi, S.; Lotfi, H.; Khodaei, A.; Bahramirad, S. State of the Art in Research on Microgrids: A Review. IEEE Access 2015, 3, 890–925. [Google Scholar] [CrossRef]
- Blaabjerg, F.; Zhe, C.; Kjaer, S.B. Power Electronics as Efficient Interface in Dispersed Power Generation Systems. IEEE Trans. Power Electron. 2004, 19, 1184–1194. [Google Scholar] [CrossRef]
- Chandorkar, M.C.; Divan, D.M.; Adapa, R. Control of Parallel Connected Inverters in Standalone AC Supply Systems. IEEE Trans. Ind. Appl. 1993, 29, 136–143. [Google Scholar] [CrossRef]
- Guerrero, J.M.; Hang, L.; Uceda, J. Control of Distributed Uninterruptible Power Supply Systems. IEEE Trans. Ind. Electron. 2008, 55, 2845–2859. [Google Scholar] [CrossRef]
- Rocabert, J.; Luna, A.; Blaabjerg, F.; Rodríguez, P. Control of Power Converters in AC Microgrids. IEEE Trans. Power Electron. 2012, 27, 4734–4749. [Google Scholar] [CrossRef]
- Yao, W.; Chen, M.; Matas, J.; Guerrero, J.M.; Qian, Z.M. Design and Analysis of the Droop Control Method for Parallel Inverters Considering the Impact of the Complex Impedance on the Power Sharing. IEEE Trans. Ind. Electron. 2011, 58, 576–588. [Google Scholar] [CrossRef]
- Rodríguez, P.; Timbus, A.V.; Teodorescu, R.; Liserre, M.; Blaabjerg, F. Flexible Active Power Control of Distributed Power Generation Systems During Grid Faults. IEEE Trans. Ind. Electron. 2007, 54, 2583–2592. [Google Scholar] [CrossRef]
- He, J.; Li, Y.W.; Blaabjerg, F.; Wang, X. Active Harmonic Filtering Using Current-Controlled, Grid-Connected DG Units with Closed-Loop Power Control. IEEE Trans. Power Electron. 2014, 29, 642–653. [Google Scholar] [CrossRef]
- He, J.; Li, Y.W. An Enhanced Microgrid Load Demand Sharing Strategy. IEEE Trans. Power Electron. 2012, 27, 3984–3995. [Google Scholar] [CrossRef]
- Han, H.; Liu, Y.; Sun, Y.; Su, M.; Guerrero, J.M. An Improved Droop Control Strategy for Reactive Power Sharing in Islanded Microgrid. IEEE Trans. Power Electron. 2015, 30, 3133–3141. [Google Scholar] [CrossRef]
- Zhong, Q.C.; Wang, Y.; Ren, B. UDE-Based Robust Droop Control of Inverters in Parallel Operation. IEEE Trans. Ind. Electron. 2017, 64, 7552–7562. [Google Scholar] [CrossRef]
- Zhu, Y.; Zhuo, F.; Wang, F.; Liu, B.; Zhao, Y. A Wireless Load Sharing Strategy for Islanded Microgrid Based on Feeder Current Sensing. IEEE Trans. Power Electron. 2015, 30, 6706–6719. [Google Scholar] [CrossRef]
- Savaghebi, M.; Jalilian, A.; Vasquez, J.C.; Guerrero, J.M. Secondary Control for Voltage Quality Enhancement in Microgrids. IEEE Trans. Smart Grid 2012, 3, 1893–1902. [Google Scholar] [CrossRef]
- Meng, L.; Tang, F.; Savaghebi, M.; Vasquez, J.C.; Guerrero, J.M. Tertiary Control of Voltage Unbalance Compensation for Optimal Power Quality in Islanded Microgrids. IEEE Trans. Energy Convers. 2014, 29, 802–815. [Google Scholar] [CrossRef]
- Guo, F.; Wen, C.; Mao, J.; Chen, J.; Song, Y.D. Distributed Cooperative Secondary Control for Voltage Unbalance Compensation in an Islanded Microgrid. IEEE Trans. Ind. Inform. 2015, 11, 1078–1088. [Google Scholar] [CrossRef]
- Han, Y.; Shen, P.; Zhao, X.; Guerrero, J.M. An Enhanced Power Sharing Scheme for Voltage Unbalance and Harmonics Compensation in an Islanded AC Microgrid. IEEE Trans. Energy Convers. 2016, 31, 1037–1050. [Google Scholar] [CrossRef]
- Liu, B.; Liu, Z.; Liu, J.; An, R.; Zheng, H.; Shi, Y. An Adaptive Virtual Impedance Control Scheme Based on Small-AC-Signal Injection for Unbalanced and Harmonic Power Sharing in Islanded Microgrids. IEEE Trans. Power Electron. 2019, 34, 12333–12355. [Google Scholar] [CrossRef]
- Li, H.; Han, Y.; Yang, P.; Xiong, J.; Wang, C. A Proportional Harmonic Power Sharing Scheme for Hierarchical Controlled Microgrids Considering Unequal Feeder Impedances and Nonlinear Loads. In Proceedings of the 2017 IEEE Energy Conversion Congress and Exposition (ECCE), Cincinnati, OH, USA, 1–5 October 2017. [Google Scholar] [CrossRef]
- Qi, Y.; Lin, P.; Wang, Y.; Tang, Y. Two-Dimensional Impedance-Shaping Control with Enhanced Harmonic Power Sharing for Inverter-Based Microgrids. IEEE Trans. Power Electron. 2019, 34, 11407–11419. [Google Scholar] [CrossRef]
- An, R.; Liu, Z.; Liu, J.; Liu, B. A Comprehensive Solution to Decentralized Coordinative Control of Distributed Generations in Islanded Micro-Grid Based on Dual-Frequency-Droop. IEEE Trans. Power Electron. 2022, 37, 3583–3598. [Google Scholar] [CrossRef]
- He, J.; Li, Y.W.; Blaabjerg, F. An Enhanced Islanding Microgrid Reactive Power, Imbalance Power, and Harmonic Power Sharing Scheme. IEEE Trans. Power Electron. 2015, 30, 3389–3401. [Google Scholar] [CrossRef]
- Huang, W.; Shuai, Z.; Shen, X.; Li, Y.; Shen, Z.J. Dynamical Reconfigurable Master-Slave Control Architecture (DRMSCA) for Voltage Regulation in Islanded Microgrids. IEEE Trans. Power Electron. 2022, 37, 249–263. [Google Scholar] [CrossRef]
- Wang, J.; Liu, Z.; Feng, K.; Liu, J. An Adaptive Droop and Feedforward Control Based Transient Power Sharing and Decoupling Method for Grid-Forming Inverters in Islanded Microgrids. IEEE Trans. Ind. Electron. 2025, 72, 4800–4810. [Google Scholar] [CrossRef]














| Parameter | Value |
|---|---|
| DC input voltage, Vdc | 800 V |
| Switching frequency, fs | 40 kHz |
| Filter inductance, Lf | 58 μH |
| Filter capacitance, Cf | 60 μF |
| Line impedance (Inverter 1), L1 | 1.5 mH |
| Line resistance (Inverter 1), R1 | 0.01 Ω |
| Line impedance (Inverter 2), L2 | 1.5 mH |
| Line resistance (Inverter 2), R2 | 0.01 Ω |
| RL load inductance, LL1 | 13.4 mH |
| RL load resistance, RL1 | 8.7 Ω |
| Nonlinear load resistance, RL2 | 3.1Ω |
| Droop coefficient, m1 (Inverter 1) | 2.5 × 10−5 (rad·s−1/W) |
| Droop coefficient, m2 (Inverter 2) | 5 × 10−5 (rad·s−1/W) |
| Rated angular frequency, ω0 | 100π (rad/s) |
| Rated active power, P0 (Inverter 1) | 80 kW |
| Rated active power, P0 (Inverter 2) | 40 kW |
| Rated RMS voltage, V | 220 V |
| Impedance coefficient, g1 (Inverter 1) | 4 × 10−9 |
| Impedance coefficient, g2 (Inverter 2) | 1.6 × 10−8 |
| Harmonic adjustment gain, kL | 2 × 10−7 |
Disclaimer/Publisher’s Note: The statements, opinions and data contained in all publications are solely those of the individual author(s) and contributor(s) and not of MDPI and/or the editor(s). MDPI and/or the editor(s) disclaim responsibility for any injury to people or property resulting from any ideas, methods, instructions or products referred to in the content. |
© 2026 by the authors. Licensee MDPI, Basel, Switzerland. This article is an open access article distributed under the terms and conditions of the Creative Commons Attribution (CC BY) license.
Share and Cite
Chang, F.; Song, G.; Li, S.; Li, B.; Lou, Z.; Liang, Y.; Wang, D.; Zhang, Y. Harmonic Power Sharing Control Method for Microgrid Inverters Based on Disturbance Virtual Impedance. Energies 2026, 19, 1015. https://doi.org/10.3390/en19041015
Chang F, Song G, Li S, Li B, Lou Z, Liang Y, Wang D, Zhang Y. Harmonic Power Sharing Control Method for Microgrid Inverters Based on Disturbance Virtual Impedance. Energies. 2026; 19(4):1015. https://doi.org/10.3390/en19041015
Chicago/Turabian StyleChang, Fei, Genglun Song, Shubao Li, Bao Li, Zinan Lou, Yufei Liang, Danyang Wang, and Yan Zhang. 2026. "Harmonic Power Sharing Control Method for Microgrid Inverters Based on Disturbance Virtual Impedance" Energies 19, no. 4: 1015. https://doi.org/10.3390/en19041015
APA StyleChang, F., Song, G., Li, S., Li, B., Lou, Z., Liang, Y., Wang, D., & Zhang, Y. (2026). Harmonic Power Sharing Control Method for Microgrid Inverters Based on Disturbance Virtual Impedance. Energies, 19(4), 1015. https://doi.org/10.3390/en19041015

