Sign in to use this feature.

Years

Between: -

Subjects

remove_circle_outline
remove_circle_outline
remove_circle_outline
remove_circle_outline
remove_circle_outline
remove_circle_outline
remove_circle_outline
remove_circle_outline
remove_circle_outline

Journals

remove_circle_outline
remove_circle_outline
remove_circle_outline
remove_circle_outline
remove_circle_outline

Article Types

Countries / Regions

remove_circle_outline
remove_circle_outline
remove_circle_outline
remove_circle_outline

Search Results (310)

Search Parameters:
Keywords = double-sided process

Order results
Result details
Results per page
Select all
Export citation of selected articles as:
29 pages, 2904 KB  
Article
Design Framework for Porous Mixture Containing 100% Sustainable Binder
by Genhe Zhang, Bo Ning, Feng Cao, Taotao Li, Siyuan Guo, Teng Gao, Biao Ma and Rui Wu
Sustainability 2026, 18(2), 1020; https://doi.org/10.3390/su18021020 - 19 Jan 2026
Viewed by 40
Abstract
This study developed a design framework for porous mixtures using a 100% sustainable non-bituminous epoxy–polyurethane binder system. Conventional design protocols for porous asphalt mixtures exhibit limitations in accurately controlling void content and mixture composition. This study proposed a novel design framework for porous [...] Read more.
This study developed a design framework for porous mixtures using a 100% sustainable non-bituminous epoxy–polyurethane binder system. Conventional design protocols for porous asphalt mixtures exhibit limitations in accurately controlling void content and mixture composition. This study proposed a novel design framework for porous mixtures containing 100% sustainable binder based on statistical analysis and theoretical calculations. The relationships among target air voids, binder content, and aggregate gradation were systematically analyzed, and calculation formulas for coarse aggregate, fine aggregate, and mineral filler contents were derived. A mix design framework was further established by applying the void-filling theory, where the combined volume of binder, fine aggregate, and filler equals the void volume of the coarse aggregate skeleton, thereby ensuring precise control of the target void ratio. Additionally, mixing procedures were investigated with emphasis on feeding sequence, compaction method, and mixing temperature. Results indicated that the optimized feeding sequence significantly improved binder distribution; specimens compacted using the Marshall double-sided compaction method achieved a density of 89.60%. Rheological analysis revealed that at 30 °C, the viscosities of sustainable binder and polyurethane filler were 1280 mPa·s and 6825 mPa·s, respectively, suggesting optimal mixture uniformity. The proposed methodology and process parameters provide essential technical guidance for engineering applications of porous mixtures containing 100% sustainable binder. Full article
(This article belongs to the Special Issue Sustainable Pavement Engineering: Design, Materials, and Performance)
Show Figures

Figure 1

11 pages, 2682 KB  
Article
A Metasticker Composed of Indium-Tin-Oxide-Square-Fractal Rings for Broadband Absorption
by Min-Sik Kim, Won-Woo Choi and Yongjune Kim
Materials 2026, 19(2), 297; https://doi.org/10.3390/ma19020297 - 12 Jan 2026
Viewed by 155
Abstract
This study proposes design and fabrication methods for an electromagnetic metasurface absorber (MA) that absorbs electromagnetic waves using a metasticker attached on a dielectric substrate blocked by a copper sheet. To guarantee a high design freedom as well as make the absorption bandwidth [...] Read more.
This study proposes design and fabrication methods for an electromagnetic metasurface absorber (MA) that absorbs electromagnetic waves using a metasticker attached on a dielectric substrate blocked by a copper sheet. To guarantee a high design freedom as well as make the absorption bandwidth (BW) as broad as possible, a square-fractal ring is chosen as the metapattern, and its design is optimized using a genetic algorithm. To fabricate the square-fractal rings in a simple manner, an indium-tin-oxide film is cut by using a laser-cutting machine. Then, the metasticker is fabricated by assembling the metapatterns on a double-sided adhesive film which could be attached on the dielectric substrate using the opposite side of the film. From measured results of the finalized MA of which damaged regions caused by the laser-cutting process are compensated in the design process, a broad 10 dB reflectance BW is confirmed from 4.39 to 7.51 GHz of which the fractional BW is 52.44% for the normal incidence. Moreover, a fractional BW of 4.35% is measured in a wide incident angle range from 0° to 60° for both the transverse electric and the transverse magnetic polarizations simultaneously. Full article
Show Figures

Graphical abstract

21 pages, 8900 KB  
Article
A Pole-Changing Double-Sided Excitation Permanent Magnet Vernier Motor for Electric Tractors
by Han Chen, Yi Du, Feng Xiao and Zhuofan He
Electronics 2026, 15(2), 324; https://doi.org/10.3390/electronics15020324 - 11 Jan 2026
Viewed by 179
Abstract
To further satisfy the extreme operating conditions of electric tractors, a pole-changing double-sided excitation permanent magnet vernier motor (PC-DPMVM) is proposed evolving from the existing PC-SPMVM in this paper. Half of the rotor PMs are transferred to the stator small slots, while a [...] Read more.
To further satisfy the extreme operating conditions of electric tractors, a pole-changing double-sided excitation permanent magnet vernier motor (PC-DPMVM) is proposed evolving from the existing PC-SPMVM in this paper. Half of the rotor PMs are transferred to the stator small slots, while a consequent-pole rotor structure and stator PM structure can be obtained. Firstly, the simulation and experiments of the existing PC-SPMVM are introduced, which shows the deficiency of the maximum torque output. Then, the evolution process of the proposed PC-DPMVM is illustrated. The rotor modulation and stator modulation behaviors of the PC-DPMVM are introduced based on airgap field modulation theory. The main working PM flux density harmonics are deduced further. Next, electromagnetic performance comparisons are made between two PC-PMVMs by using finite element method, and the results reveal that the proposed PC-DPMVM has superior torque output compared with the PC-SPMVM, while the speed regulation abilities of the two motors are similar. It can be concluded that two extra operation regions can be obtained for the PC-DPMVM according to the comparison of torque-speed curve of the two motors. Full article
(This article belongs to the Special Issue Modeling and Control of Power Converters for Power Systems)
Show Figures

Figure 1

18 pages, 63525 KB  
Article
Influence of Single-Sided Ultrasonic Assistance on the Double-Sided Welding Forming Quality of Q355 Thin Plates
by Peng Yin, Wenkai Li, Chunguang Xu, Zekai Wang, Tingting Hao and Lin Wang
Metals 2026, 16(1), 58; https://doi.org/10.3390/met16010058 - 2 Jan 2026
Viewed by 295
Abstract
To solve the problems of large deformation and poor welding quality commonly observed during the double-sided welding of Q355 thin plates, this study systematically investigated the effects of single-sided ultrasonic-assisted welding on the weld formation, microstructure, mechanical properties, and residual stresses of the [...] Read more.
To solve the problems of large deformation and poor welding quality commonly observed during the double-sided welding of Q355 thin plates, this study systematically investigated the effects of single-sided ultrasonic-assisted welding on the weld formation, microstructure, mechanical properties, and residual stresses of the plates, and compared this welding process with conventional ones. Experimental results indicate that ultrasonic assistance is associated with improved weld shape and quality, contributing to a flatter weld surface and more symmetric cross-sectional profile. In contrast to conventional welds, welds produced by single-sided ultrasonic-assisted gas metal arc welding show no obvious oxide inclusions and a reduced tendency for columnar grain growth. In a single tensile test for each welding condition, the measured tensile strength was 552 MPa for conventional welding and 575 MPa for single-sided ultrasonic-assisted gas metal arc welding. These tensile results should be interpreted as indicative trends and require replication to assess scatter and statistical significance. Furthermore, single-sided ultrasonic-assisted gas metal arc welding is associated with lower welding residual stresses, with peak stress values reduced by up to 36.23% along the longitudinal path. This technique provides an engineering reference for improving weld-quality consistency during the double-sided welding of Q355 thin plates without altering the welding specifications. Full article
(This article belongs to the Section Welding and Joining)
Show Figures

Figure 1

18 pages, 6614 KB  
Article
Structure Optimization of Polymerase Chain Reaction Devices Under High Flow Rate: A Numerical Study
by Naixiang Zhou, Hao Han, Liwei Fang, Shizhen Li and Li Lei
Micromachines 2026, 17(1), 21; https://doi.org/10.3390/mi17010021 - 24 Dec 2025
Viewed by 216
Abstract
Polymerase chain reaction (PCR) is vital in biological and medical research, but microfluidic PCR chips often suffer from limited reagent processing capacity and slow thermal response under high flow rates. To address this, we designed three serpentine microfluidic chips with double-sided heaters: a [...] Read more.
Polymerase chain reaction (PCR) is vital in biological and medical research, but microfluidic PCR chips often suffer from limited reagent processing capacity and slow thermal response under high flow rates. To address this, we designed three serpentine microfluidic chips with double-sided heaters: a standard serpentine chip (case 1), one with unchamfered channel expansion areas (case 2), and one with chamfered expansions (case 3). Using numerical simulations, we analyzed temperature, velocity, and pressure distributions at flow rates of 75, 125, and 175 μL/min. At 175 μL/min, case 2 showed a 41% higher pressure drop than case 1, but also demonstrated significantly improved thermal performance: the constant-temperature zones were extended by 30 mm, 10 mm, and 30 mm at 95 °C, 72 °C, and 55 °C, respectively; the temperature gradient in expansion zones increased by 1.6 times; and the maximum temperature difference decreased by 80%. Case 2 achieved the best trade-off between thermal performance and flow resistance, making it suitable for high-flow-rate PCR applications. Full article
(This article belongs to the Section B1: Biosensors)
Show Figures

Figure 1

18 pages, 3471 KB  
Article
Conceptual Design and Optimization of Reactive Distillation-Based Processes for the Separation of Methanol/Methyl Acetate/Ethyl Acetate with an Ethyl Acetate-Rich Feed Composition
by Cong Jing, Liangxiao Wei, Wei Xiang and Keyan Liu
Separations 2026, 13(1), 7; https://doi.org/10.3390/separations13010007 - 24 Dec 2025
Viewed by 317
Abstract
Industrial effluents often contain azeotropic mixtures that are difficult to separate by conventional distillation. An illustrative case is the methanol/methyl acetate/ethyl acetate (MA/ME/EA) mixture. To address these challenges, this work studies the conceptual design and optimization of the reactive distillation-based hybrid processes for [...] Read more.
Industrial effluents often contain azeotropic mixtures that are difficult to separate by conventional distillation. An illustrative case is the methanol/methyl acetate/ethyl acetate (MA/ME/EA) mixture. To address these challenges, this work studies the conceptual design and optimization of the reactive distillation-based hybrid processes for separating the MA/ME/EA mixture with an EA-rich feed composition (0.25/0.20/0.55 mol fraction). An improved triple-column extractive–reactive distillation with a side-draw product (TCERD-SP) and its heat-integrated variant (TCERD-SP-HI) have been developed. In the TCERD-SP process, EA is strategically withdrawn as a side product, reconfiguring the extractive column into integrated pre-separation and entrainer-recovery sections, thereby reducing entrainer and energy demands. A four-step process design methodology is applied, including thermodynamics analysis, conceptual design, rigorous optimization via Aspen Plus integrated with the genetic algorithm to minimize total annual cost (TAC), and comparative evaluation of economic and environmental performance. The results show that the basic double-column pre-separation-reactive distillation (DCPSRD) process, optimal for a previous feed composition, exhibits unsatisfactory TAC performance for this EA-rich feed composition. Among the configurations studied, the TCERD-SP process exhibits superior performance, saving TAC by 8.4% and 14.4% compared to the TCERD and DCPSRD processes, respectively. In addition, based on the advantage of convenient heat integration between the side reboiler and the reactive distillation column condenser, the heat-integrated TCERD-SP-HI process achieves a further 10.7% TAC reduction. Thus, for this EA-rich feed examined in this work, the TCERD-SP and TCERD-SP-HI processes are demonstrated as effective solutions for recovering these valuable chemicals. Full article
(This article belongs to the Special Issue Separation Technology in Chemical Engineering)
Show Figures

Figure 1

42 pages, 30061 KB  
Article
Revealing the Role of Self-Assembly Behavior of High-Assembly-Index Nano Amylopectin Ternary Complexes in the Slow Digestion Mechanism
by Bo Li, Chongxing Huang, Weihong Lu and Xin Yang
Foods 2026, 15(1), 2; https://doi.org/10.3390/foods15010002 - 19 Dec 2025
Viewed by 383
Abstract
Starch complexes have recently been identified as a new dietary supplement for dietary intervention in glycemic metabolism disorders. However, although the amylopectin significantly influenced starch complexes’ anti-digestibility, the underlying regulatory pattern remains unclear. Accordingly, this study constructed nano white waxy maize amylopectin (WMA) [...] Read more.
Starch complexes have recently been identified as a new dietary supplement for dietary intervention in glycemic metabolism disorders. However, although the amylopectin significantly influenced starch complexes’ anti-digestibility, the underlying regulatory pattern remains unclear. Accordingly, this study constructed nano white waxy maize amylopectin (WMA) ternary complexes with a high self-assembly index (SI, 82.58%) using an ultrasound-assisted approach. And the relationship between self-assembly behavior and slow digestibility was revealed. Combined analyses of chemometrics revealed that during the WMA ternary self-assembly process, the increasing free side chains and α-1,6 glycosidic linkages contributed to the rise in potential, thereby generating more assembly sites and binding energy and ultimately elevating SI. Then, along with the transition from a diffuse state to Vh-type crystallinity and spherical configuration, increases in relative crystallinity, double helices, molecular weight, short-range order, and gel-network viscous were observed, whereas semicrystalline lamellar thickness and “blocklet” size decreased. These indicated that both the number and dimensions of hydrolysis channels were reduced. Consequently, the increasing gelatinization temperature led to rising slowly digestible starch content (19.86–43.28%), causing a more stable glycemic release after WMA ternary self-assembly. This investigation provides a key theoretical and technological foundation for the development of novel slow-digesting precision nutrition ingredients. Full article
Show Figures

Graphical abstract

11 pages, 3368 KB  
Article
Charge-Domain Type 2.2 µm BSI Global Shutter Pixel with Dual-Depth DTI Produced by Thick-Film Epitaxial Process
by Toshifumi Yokoyama, Masafumi Tsutsui, Yoshiaki Nishi, Yoshihiro Noguchi, Masahiko Takeuchi, Masahiro Oda and Fenigstein Amos
Sensors 2025, 25(22), 6997; https://doi.org/10.3390/s25226997 - 16 Nov 2025
Viewed by 738
Abstract
We developed a 2.2 µm backside-illuminated (BSI) global shutter (GS) pixel featuring true charge-domain-correlated double sampling (CDS). To enhance the inverse parasitic light sensitivity (1/PLS), we implemented a thick-film epitaxial process incorporating a dual-depth deep trench isolation (DTI) structure. The thickness of the [...] Read more.
We developed a 2.2 µm backside-illuminated (BSI) global shutter (GS) pixel featuring true charge-domain-correlated double sampling (CDS). To enhance the inverse parasitic light sensitivity (1/PLS), we implemented a thick-film epitaxial process incorporating a dual-depth deep trench isolation (DTI) structure. The thickness of the epitaxial substrate was 8.5 µm. This structure was designed using optical simulation. By using a thick epitaxial substrate, it is possible to reduce the amount of light that reaches the memory node. The dual-depth DTI design, with a shallower trench on the readout side, enables efficient signal transfer from the photodiode (PD) to the memory node. To achieve this structure, we developed a process for thick epitaxial substrate, and the dual-depth DTI can be fabricated with a single mask. This pixel represents the smallest charge-domain GS pixel developed to date. Despite its compact size, it achieves a high quantum efficiency (QE) of 83% (monochrome sample: wavelength = 560 nm) and a 1/PLS exceeding 10,000 (white halogen lamp with IR-cut filter). The pixel retains 80% of its peak QE at ±15° incident angles and maintains stable 1/PLS performance even under low F-number (F#) conditions. Full article
Show Figures

Figure 1

27 pages, 3935 KB  
Article
Research on Object Detection and Tracking Methods for aLow-Speed Mobile Platform
by Gang Liu, Tao Jiang, Ming Ye, Yang Xu and Pengyu Zhao
Sensors 2025, 25(22), 6869; https://doi.org/10.3390/s25226869 - 10 Nov 2025
Viewed by 653
Abstract
Enhancing the positioning stability and accuracy of autonomous following systems poses a significant challenge, particularly in dynamic indoor environments susceptible to occlusion and interference. This paper proposes an innovative approach that integrates Ultra-Wideband (UWB) technology with computer vision-based gait analysis to overcome these [...] Read more.
Enhancing the positioning stability and accuracy of autonomous following systems poses a significant challenge, particularly in dynamic indoor environments susceptible to occlusion and interference. This paper proposes an innovative approach that integrates Ultra-Wideband (UWB) technology with computer vision-based gait analysis to overcome these limitations. First, a low-power, high-update-rate UWB positioning network is established based on an optimized Double-Sided Two-Way Ranging (DS-TWR) protocol. To compensate for UWB’s deficiencies under Non-Line-of-Sight (NLOS) conditions, a visual gait recognition process utilizing the GaitPart framework is introduced for target identification and relative motion estimation. Subsequently, an Extended Kalman Filter (EKF) is developed to seamlessly fuse absolute UWB measurements with gait-based relative kinematic information, thereby generating precise and robust estimates of the leader’s trajectory. This estimated path is tracked by a differentially driven mobile platform via a Model Predictive Controller (MPC). Experimental results demonstrate that the tracking deviation for most trajectory points remains within 50 mm, with a maximum observed deviation of 115 mm during turns, confirming its strong robustness and practical utility in real-world intelligent vehicle applications. Full article
Show Figures

Figure 1

20 pages, 3636 KB  
Article
Evaluation Method for Resin Mold Using Reflective Wavefront Sensor
by Kazumasa Tatsumi, Kentaro Saeki, Shin Kubota, Yoshikatsu Kaneda, Kenji Uno, Kazuhiko Ohnuma and Tatsuo Shiina
Sensors 2025, 25(21), 6682; https://doi.org/10.3390/s25216682 - 1 Nov 2025
Viewed by 542
Abstract
Recent advances in molding technology have enabled the fabrication of plastic molded components with complex geometries. In contact lens (CL) manufacturing, a double-sided molding process using resin molds is employed, in which the front and back surfaces of the lens are replicated through [...] Read more.
Recent advances in molding technology have enabled the fabrication of plastic molded components with complex geometries. In contact lens (CL) manufacturing, a double-sided molding process using resin molds is employed, in which the front and back surfaces of the lens are replicated through injection molding. However, thermal deformation during polymerization can alter the mold shape, thereby affecting the optical characteristics of the final lenses. This study proposes a high-precision optical evaluation method for resin molds used in contact lens (CL) manufacturing, utilizing a reflective wavefront sensor and optical coherence tomography (OCT). The wavefront sensor demonstrated high measurement accuracy (≈1/100λ) and reproducibility (≈1/200λ) as confirmed using reference samples, and yielded values of approximately 0.012–0.015 μm for the resin molds. Five mold designs with radii of curvature ranging from 6.500 to 8.500 mm were evaluated, revealing that Zernike coefficients varied depending on design and thermal treatment conditions. In particular, astigmatism (Z04) and coma aberrations (Z07) exhibited pronounced trends. A strong correlation was also observed between the Zernike coefficient Z07 and the mold thickness asymmetry measured by OCT. When the thickness difference increased by 2.3 times due to thermal treatment, Z07 increased to 1.9 times. In contrast, Z04 showed no consistent trend and exhibited significant variability (standard deviation > 0.5 μm) after polymerization. The proposed method enables precise detection of subtle shape variations and aberrations, providing valuable feedback for optimizing molding conditions and improving the quality of contact lens production. Furthermore, this method can also be applied to the quality evaluation of other optical components. Full article
(This article belongs to the Section Industrial Sensors)
Show Figures

Figure 1

25 pages, 1360 KB  
Article
A Randomized Controlled Trial on the Safety and Cognitive Benefits of a Novel Functional Drink from a Purple Waxy Corn Byproduct in Peri- and Postmenopausal Women
by Jintanaporn Wattanathorn, Woranan Kirisattayakul and Woraluk Somboonporn
Antioxidants 2025, 14(10), 1262; https://doi.org/10.3390/antiox14101262 - 20 Oct 2025
Viewed by 843
Abstract
Fulfilling the demand for functional food with cost safety and environmental sustainability, our novel anthocyanin-enriched functional drink containing the purple waxy corn cob-derived functional ingredient “MP1” showed cognitive enhancing effects with safety in bilaterally ovariectomized rats, a validated model of menopause. Since no [...] Read more.
Fulfilling the demand for functional food with cost safety and environmental sustainability, our novel anthocyanin-enriched functional drink containing the purple waxy corn cob-derived functional ingredient “MP1” showed cognitive enhancing effects with safety in bilaterally ovariectomized rats, a validated model of menopause. Since no clinical evidence that confirms the mentioned effect was available until now, we conducted a two-arm, randomized, double-blind, placebo-controlled, crossover study to confirm the benefits mentioned above. A total of 32 menopausal participants were divided into placebo and MP1 (400 mg) groups, and were subject to a 2-month study period. Safety parameters, working memory and brain components, especially N100 and P300, the negative and positive potentials derived from the event-related potential (ERP) which indicated attention and cognitive processing, together with oxidative stress markers acetylcholinesterase (AChE) and monoamine oxidase (MAO), were assessed at baseline and every month. No serious side effects or toxicity signs were observed. Subjects who consumed MP1 also had decreased N100 and P300 latency, improved working memory and decreased oxidative stress status. Therefore, a byproduct of purple corn can successfully serve as a novel functional ingredient for developing a cognitive enhancer drink with the qualities of safety, cost reduction, and environmental sustainability promotion. Full article
Show Figures

Figure 1

13 pages, 3269 KB  
Article
Carbon Footprint Accounting and Analysis of Chinese Furniture Enterprises’ Panel Cabinets
by Yi Liu, Yiboran Wang, Chengling Wang, Tianchen Zhou, Jing Hu and Zhihui Wu
Sustainability 2025, 17(20), 9267; https://doi.org/10.3390/su17209267 - 18 Oct 2025
Viewed by 707
Abstract
Amid global efforts to reach carbon neutrality, quantifying the cradle-to-gate carbon footprint of panel kitchen cabinets is vital for the transformation of China’s furniture industry to low carbon emissions. This study aims to quantify and compare the cradle-to-gate carbon footprints of three L-shaped [...] Read more.
Amid global efforts to reach carbon neutrality, quantifying the cradle-to-gate carbon footprint of panel kitchen cabinets is vital for the transformation of China’s furniture industry to low carbon emissions. This study aims to quantify and compare the cradle-to-gate carbon footprints of three L-shaped panel cabinets made of different materials and to identify the most effective carbon reduction strategies for the Chinese furniture industry. The emission factor method proposed by the Intergovernmental Panel on Climate Change (IPCC) was utilized. The results revealed significant differences in the carbon footprints among the three cabinet products. Specifically, Product A, featuring a DuPont stone countertop from the United States and domestically produced double-sided decorative door panels, exhibited the highest carbon footprint which was 998.5 kgCO2eq. Product B, with an Italian natural marble countertop and single-sided acrylic door panels, had the lowest carbon footprint which was 610.7 kgCO2eq. The carbon footprints indicated that key stages such as cabinet bodies, countertops, hardware, and cabinet doors were substantial contributors. Raw material production and processing emerged as the primary sources of carbon emissions, with countertop transportation also contributing significantly. Based on the results, this paper proposed several carbon reduction suggestions. These include optimizing material selection, enhancing energy efficiency in raw material production and processing, optimizing transportation methods, emphasizing the carbon reduction potential of hardware components, and strengthening carbon footprint monitoring and management. Full article
Show Figures

Figure 1

21 pages, 4612 KB  
Article
Hot Cladding of Al–Cu–Mn-Based Secondary Alloy Sheets: A Computational–Experimental Investigation
by Alexander Koshmin, Alexander Zinoviev, Anna Khakimova, Konstantin Lukashevich, Ruslan Barkov and Dmitriy Demin
J. Manuf. Mater. Process. 2025, 9(10), 336; https://doi.org/10.3390/jmmp9100336 - 14 Oct 2025
Viewed by 807
Abstract
This study investigates the double-sided hot cladding of an experimental Al–2%Cu–1.5%Mn–1%Zn–0.7%Mg–0.4%Fe–0.4%Si alloy with commercially pure aluminum A1050 under combined hot deformation. Finite element modeling was employed to analyze the evolution of shear strains, normal stresses, and flow stresses in the deformation zone during [...] Read more.
This study investigates the double-sided hot cladding of an experimental Al–2%Cu–1.5%Mn–1%Zn–0.7%Mg–0.4%Fe–0.4%Si alloy with commercially pure aluminum A1050 under combined hot deformation. Finite element modeling was employed to analyze the evolution of shear strains, normal stresses, and flow stresses in the deformation zone during cladding. The results indicate that increasing the degree of reduction significantly alters the distribution and direction of shear strains: at low reductions (20–30%), shear directions in the base and cladding layers coincide, while reductions above 40% induce opposing shear directions. Temperature was identified as the dominant factor affecting normal stress and flow stress differences between layers, whereas deformation magnitude primarily influenced peak stresses at the neutral section of the deformation zone. Experimental validation was conducted over a temperature range of 300–450 °C and relative reductions of 20–60%, demonstrating successful layer bonding in all cases except at low temperatures and reductions (300–375 °C, 20–30%). Based on combined modeling and experimental data, a predictive model for estimating peel strength during hot rolling cladding was developed, offering a robust tool for optimizing process parameters and ensuring reliable interlayer bonding in investigated aluminum alloys. Full article
Show Figures

Figure 1

23 pages, 8320 KB  
Article
A Comparison of Discrete Crack and Smeared Crack Methods Applied to CFRP/Al Riveting Damage Modeling
by Minghao Zhang, Kun Tian, Zengqiang Cao and Tong-Earn Tay
Materials 2025, 18(19), 4511; https://doi.org/10.3390/ma18194511 - 28 Sep 2025
Viewed by 740
Abstract
Carbon-fiber-reinforced-polymer/aluminum (CFRP/Al) double-sided countersunk riveted joint is a key joining technology for lightweight and high-performance aircraft structures. Advanced numerical simulation techniques are helpful in predicting riveting damage evolution and the optimization of the joining process. In this study, a discrete crack modeling (DCM) [...] Read more.
Carbon-fiber-reinforced-polymer/aluminum (CFRP/Al) double-sided countersunk riveted joint is a key joining technology for lightweight and high-performance aircraft structures. Advanced numerical simulation techniques are helpful in predicting riveting damage evolution and the optimization of the joining process. In this study, a discrete crack modeling (DCM) method based on the floating node method (FNM) was employed to investigate the initial riveting damage behavior and interference characteristics during the electromagnetic riveting (EMR) process with five cases of rivet-hole clearances. The results were compared with those obtained from the conventional smeared crack method (SCM). The findings show that the interference distribution along the axial direction of the joint is non-uniform, and increasing the rivet-hole clearance helps alleviate the initial riveting damage. The FNM accurately modeled the initiation and propagation of matrix cracks and delamination, albeit at the cost of some computational efficiency. Full article
Show Figures

Graphical abstract

22 pages, 2891 KB  
Article
Distribution and Temporal Variations in Negative Pressure Along the Length of the Borehole During Directional Long Drilling
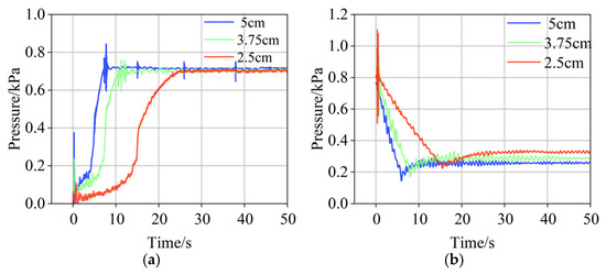
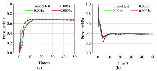
by Jun Liu, Qinghua Zhang and Jianwei Wang
Processes 2025, 13(9), 3001; https://doi.org/10.3390/pr13093001 - 20 Sep 2025
Viewed by 513
Abstract
Pre-extraction gas technology is commonly used in coal mines to extract gas from single coal seams, initial protective layers, and both unprotected and protected coal seams. With the development of drilling equipment, directional long drilling, pre-extraction, coal seam gas technology has been widely [...] Read more.
Pre-extraction gas technology is commonly used in coal mines to extract gas from single coal seams, initial protective layers, and both unprotected and protected coal seams. With the development of drilling equipment, directional long drilling, pre-extraction, coal seam gas technology has been widely applied, and negative pressure extraction is one of the key factors affecting the effectiveness of directional long drilling gas extraction. In order to determine the reasonable length of directional long boreholes, studying the negative pressure distribution and time-varying rules within such boreholes is of great significance for guiding later borehole layout and gas extraction. The COMSOL Multiphysics software v.5.3. was used to couple and solve the dynamic model of temperature, stress, and seepage in coal-containing gas, as well as the mathematical model of negative pressure attenuation in directional long boreholes. The gas pressure distribution in the coal surrounding the directional long borehole and the distribution and time-varying law of negative pressure in the borehole were studied. Then, the distribution and time-varying law of negative pressure in directional long borehole extraction were tested on site. Research has shown that the negative pressure attenuation during directional long drilling has a relatively small impact on the effectiveness of coal gas extraction, while the negative pressure at the hole opening is the key factor affecting the effectiveness of gas extraction. In the early stage of extraction, as the drilling depth increases, the pressure loss inside the hole increases and the negative pressure inside the hole decreases. As the extraction time becomes longer, the pressure loss inside the borehole decreases and the negative pressure inside the borehole gradually returns to the negative pressure value at the orifice. The gas flow velocity inside the extraction borehole gradually increases from the bottom of the hole to the hole opening, and the flow velocity at the bottom of the hole remains basically constant. The gas flow velocity inside the hole gradually decreases with the extension of extraction time, and the smaller the distance from the extraction hole opening, the greater the flow attenuation. The collapse of drilling holes during extraction affects the attenuation of negative pressure inside the hole in the short term. As the extraction time increases, the impact of the collapse on the negative pressure inside the hole is limited. The temperature of coal can significantly affect the negative pressure and gas flow distribution inside the pores. Considering the temperature effect, the gas flow velocity inside the pores is higher and the pressure loss is lower in the short term. On-site tests have determined that the depth of ultra-long directional drilling holes is shallower than 327 m, and the negative pressure changes inside the borehole are not significantly different from the negative pressure at the hole opening. The negative pressure stabilization speed near the hole opening and bottom is fast, usually reaching its peak within 3–10 min. The negative pressure stabilization process from the borehole opening to the hole bottom shows a “fast slow fast” trend. When using double-sided extraction, the time for negative pressure to reach stability is significantly shortened compared to single-sided extraction, and double-sided extraction is beneficial for improving the effectiveness of coalbed methane extraction. Full article
(This article belongs to the Special Issue Circular Economy on Production Processes and Systems Engineering)
Show Figures

Figure 1

Back to TopTop