Structure Optimization of Polymerase Chain Reaction Devices Under High Flow Rate: A Numerical Study
Abstract
1. Introduction
2. Numerical Simulation and Verification
2.1. Physical Model
2.2. Governing Equations and Boundary Conditions
2.3. Grid Independence Verification
3. Results and Discussion
3.1. Numerical Model Verification
3.2. Influence of Serpentine Microfluidic Chip Structure on Heat Transfer Characteristics
3.3. Influence of Serpentine Microfluidic Chip Structure on Velocity Distribution
3.4. Influence of Serpentine Microfluidic Chip Structure on Pressure Drop Characteristics
4. Conclusions
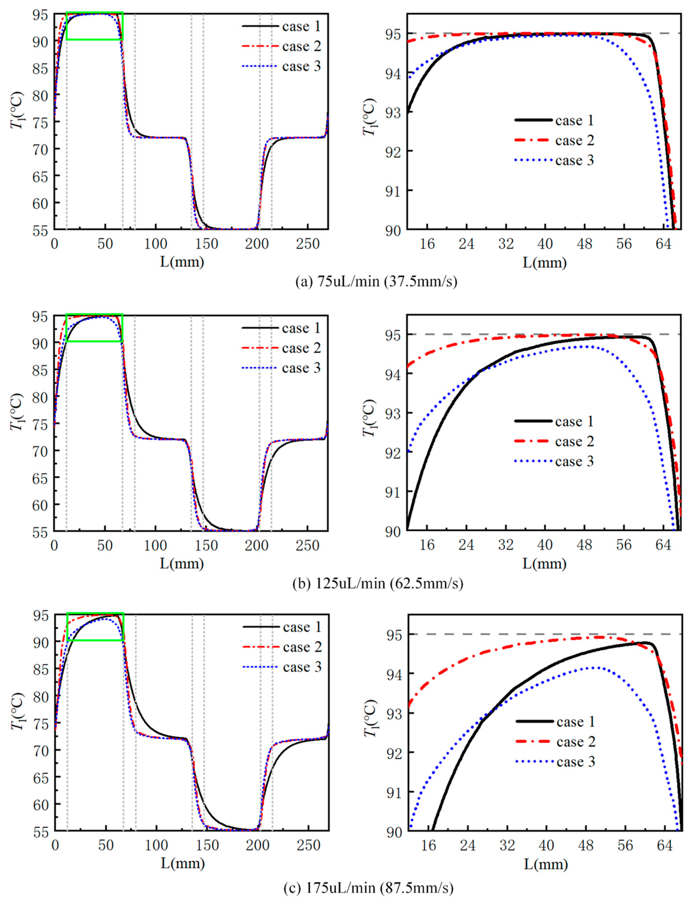
- At a flow rate of 75 µL/min, the fluid velocity is slow, and all three structures successfully meet the required design temperature requirements. However, when the flow rate is further increased to 175 µL/min, only case 2 among the three structures can meet the design temperature requirements. Although the maximum fluid temperature in case 3 is 0.6 °C lower than that in case 1, the temperature curve in the ordinary straight flow channel area within the 95 °C temperature zone is gentler, indicating a more uniform fluid temperature. The constant temperature areas of case 2 and case 3 in the 72 °C and 55 °C temperature zones are 10 mm and 30 mm longer than that of case 1, respectively.
- At a flow rate of 175 µL/min, when the fluid flows from the 72 °C temperature zone into the 55 °C temperature zone, case 2 is about 1.6 times that of the ordinary straight flow channel area at the corresponding position. The introduction of the flow channel extension areas can effectively shorten the length of the inlet section and increase the fluid temperature gradient, so that the fluid temperature can quickly transition to the design temperature of the next temperature zone, and improve the temperature uniformity of the fluid in each temperature zone.
- At the volume flow rate of 175 μL/min, the fluid temperature curve in case 1 fluctuates the most along path 1. The maximum temperature difference is 3.5 °C. In case 2, the fluid temperature curve fluctuates the least along path 1, and the maximum temperature difference in the 95 °C temperature area is only 0.7 °C. The maximum temperature difference is reduced by 80% compared with case 1.
- As the flow channel expansion areas are wider than the ordinary flow channels, the internal flow velocity is relatively low; however, the flow velocity at the four sharp corners in these areas is the lowest. This phenomenon occurs because the fluid flow at these corners is hindered, leading to sudden changes in flow direction and the formation of flow dead zones. Consequently, energy loss occurs, which contributes to a higher pressure drop at both the inlet and outlet. In case 2, the pressure drop at the inlet and outlet increases to 83.08 Pa, representing a 41% increase compared to case 1. When considering the overall performance, the serpentine double-sided heating microfluidic chip with unchamfered flow channel expansion areas (case 2) represents the optimal structure.
- This study is primarily based on numerical simulations, and the predicted temperature and pressure characteristics require further confirmation through experimental testing. Additionally, there remains room for optimizing the geometric shape of the flow channel expansion zones to enhance heat transfer performance while simultaneously reducing pressure losses. Future work could also explore the influence of different fluid media or surface modifications on PCR chip performance.
Author Contributions
Funding
Data Availability Statement
Conflicts of Interest
Abbreviations
| PCR | Polymerase chain reaction |
| PMMA | Polymethyl Methacrylate |
References
- Mullis, K.; Faloona, F.; Scharf, S.; Saiki, R.; Horn, G.; Erlich, H. Specific enzymatic amplification of dna invitro—The polymerase chain-reaction. Cold Spring Harb. Symp. Quant. Biol. 1986, 51, 263–273. [Google Scholar] [CrossRef] [PubMed]
- Whitesides, G.M. The origins and the future of microfluidics. Nature 2006, 442, 368–373. [Google Scholar] [CrossRef]
- Jing, W.W.; Zhao, W.; Liu, S.X.; Li, L.; Tsai, C.-T.; Fan, X.; Wu, W.; Li, J.; Yang, X.; Sui, G. Microfluidic Device for Efficient Airborne Bacteria Capture and Enrichment. Anal. Chem. 2013, 85, 5255–5262. [Google Scholar] [CrossRef]
- Chin, C.D.; Linder, V.; Sia, S.K. Commercialization of microfluidic point-of-care diagnostic devices. Lab A Chip 2012, 12, 2118–2134. [Google Scholar] [CrossRef]
- Zhang, C.S.; Xu, J.L.; Ma, W.L.; Zheng, W.L. PCR microfluidic devices for DNA amplification. Biotechnol. Adv. 2006, 24, 243–284. [Google Scholar] [CrossRef]
- Li, Y.Y.; Xing, D.; Zhang, C.S. Rapid detection of genetically modified organisms on a continuous-flow polymerase chain reaction microfluidics. Anal. Biochem. 2009, 385, 42–49. [Google Scholar] [CrossRef]
- Wang, W.; Li, Z.X.; Guo, Z.Y. Numerical simulation of msicro flow-through PCR chip. Microscale Thermophys. Eng. 2005, 9, 281–293. [Google Scholar] [CrossRef]
- Chen, J.J.; Li, K.T. Analysis of PCR Kinetics inside a Microfluidic DNA Amplification System. Micromachines 2018, 9, 48. [Google Scholar] [CrossRef]
- Abid, H.A.; Ong, J.W.; Song, Z.; Lin, E.S.; Liew, O.W.; Ng, sT.W. Thermal study of polymerase chain reaction with capillary tubes. Int. J. Heat Mass Transf. 2021, 176, 121508. [Google Scholar] [CrossRef]
- Zhou, R.R.; Ding, Y.G.; Sun, Y.; Yang, J.; Yu, Y.; Pang, J.; Chen, J.; Wang, F. Spatial continuous-flow polymerase chain reaction structure controlled by single-temperature driver. AIP Adv. 2023, 13, 075117. [Google Scholar] [CrossRef]
- Meng, X.K.; Duanmu, L.; Gong, P. Simulation analysis and experimental verification of thermodynamic characteristics of integrated droplet digital PCR chip. Microfluid. Nanofluidics 2024, 28, 41. [Google Scholar] [CrossRef]
- Nakano, H.; Matsuda, K.; Yohda, M.; Nagamune, T.; Endo, I.; Yamane, T. High-speed polymerase chain-reaction in constant flow. Biosci. Biotechnol. Biochem. 1994, 58, 349–352. [Google Scholar] [CrossRef]
- Kopp, M.U.; de Mello, A.J.; Manz, A. Chemical amplification: Continuous-flow PCR on a chip. Science 1998, 280, 1046–1048. [Google Scholar] [CrossRef] [PubMed]
- Chou, C.F.; Changrani, R.; Roberts, P.; Sadler, D.; Burdon, J.; Zenhausern, F.; Lin, S.; Mulholland, A.; Swami, N.; Terbrueggen, R. A miniaturized cyclic PCR device—Modeling and experiments. Microelectron. Eng. 2002, 61, 921–925. [Google Scholar] [CrossRef]
- Kim, J.A.; Lee, J.Y.; Seong, S.; Cha, S.H.; Lee, S.H.; Kim, J.J.; Park, T.H. Fabrication and characterization of a PDMS-glass hybrid continuous-flow PCR chip. Biochem. Eng. J. 2006, 29, 91–97. [Google Scholar] [CrossRef]
- Mohr, S.; Zhang, Y.H.; Macaskill, A.; Day, P.J.R.; Barber, R.W.; Goddard, N.J.; Emerson, D.R.; Fielden, P.R. Numerical and experimental study of a droplet-based PCR chip. Microfluid. Nanofluid. 2007, 3, 611–621. [Google Scholar] [CrossRef]
- Sun, Y.; Satyanarayan, M.V.D.; Nguyen, N.T.; Kwok, Y.C. Continuous flow polymerase chain reaction using a hybrid PMMA-PC microchip with improved heat tolerance. Sens. Actuators B-Chem. 2008, 130, 836–841. [Google Scholar] [CrossRef]
- Moschou, D.; Vourdas, N.; Kokkoris, G.; Papadakis, G.; Parthenios, J.; Chatzandroulis, S.; Tserepi, A. All-plastic, low-power, disposable, continuous-flow PCR chip with integrated microheaters for rapid DNA amplification. Sens. Actuators B-Chem. 2014, 199, 470–478. [Google Scholar] [CrossRef]
- Tachibana, H.; Saito, M.; Shibuya, S.; Tsuji, K.; Miyagawa, N.; Yamanaka, K.; Tamiya, E. On-chip quantitative detection of pathogen genes by autonomous microfluidic PCR platform. Biosens. Bioelectron. 2015, 74, 725–730. [Google Scholar] [CrossRef]
- Abed, W.M.; Whalley, R.D.; Dennis, D.J.C.; Poole, R.J. Experimental investigation of the impact of elastic turbulence on heat transfer in a serpentine channel. J. Non-Newton. Fluid Mech. 2016, 231, 68–78. [Google Scholar] [CrossRef]
- Madadelahi, M.; Ghazimirsaeed, E.; Shamloo, A. Design and fabrication of a two-phase diamond nanoparticle aided fast PCR device. Anal. Chim. Acta 2019, 1068, 28–40. [Google Scholar] [CrossRef]
- Chang, Y.J.; You, H. Efficient Bond of PDMS and Printed Circuit Board with An Application on Continuous-flow Polymerase Chain Reaction. Biochip J. 2020, 14, 349–357. [Google Scholar] [CrossRef]
- Zagklavara, F.; Jimack, P.K.; Kapur, N.; Querin, O.M.; Thompson, H.M. Optimisation of microfluidic polymerase chain reaction devices. E3S Web Conf. 2021, 321, 01007. [Google Scholar] [CrossRef]
- Mota, A.C.C.Z. Real-Time Droplet Monitoring for Digital Polymerase Chain Reaction in Microfluidic Chip. Master’s Thesis, Universidade NOVA de Lisboa, Lisbon, Portugal, 2021. [Google Scholar]
- Hsieh, H.Y.; Chang, R.; Huang, Y.Y.; Juan, P.-H.; Tahara, H.; Lee, K.-Y.; Vo, D.N.K.; Tsai, M.-H.; Wei, P.-K.; Sheen, H.-J.; et al. Continuous polymerase chain reaction microfluidics integrated with a gold-capped nanoslit sensing chip for Epstein-Barr virus detection. Biosens. Bioelectron. 2022, 195, 113672. [Google Scholar] [CrossRef]
- Indulakshmi, B.; Prasad, N.; Kumar, R.S. Passive Control of Annealing in Polymerase Chain Reaction Using Phase Changing Materials. In Proceedings of the IEEE International Conference on Signal Processing, Informatics, Communication and Energy Systems (SPICES), Thiruvananthapuram, India, 10–12 March 2022; Volume 2. [Google Scholar]
- Zagklavara, F.; Jimack, P.K.; Kapur, N.; Querin, O.M.; Thompson, H.M. Multi-objective optimisation of polymerase chain reaction continuous flow systems. Biomed. Microdevices 2022, 24, 16. [Google Scholar] [CrossRef]
- Chen, J.J.; Qiu, X.C. The effect of the surface passivation on polymerase chain reaction inside a continuous flow microfluidic chip. Microsyst. Technol. 2024, 31, 25–43. [Google Scholar] [CrossRef]
- Yang, Q.S.; Zhou, W.C.; Li, H.; Huang, J.; Song, Z.; Cheng, L.; Wu, Y.; Mu, D. A continuous polymerase chain reaction 3D spiral microreactor capable of facile and on-demand fabrication. Anal. Chim. Acta 2024, 1310, 342692. [Google Scholar] [CrossRef] [PubMed]
- Zhang, J.Z.; An, J.; Xin, G.M.; Wang, X.; Huang, J.; Li, L.; Wu, Z. Thermal and hydrodynamic characteristics of single-phase flow in manifold microchannels with countercurrent regions. Int. J. Heat Mass Transf. 2023, 211, 124265. [Google Scholar] [CrossRef]
- Park, J.; Park, H. Thermal cycling characteristics of a 3D-printed serpentine microchannel for DNA amplification by polymerase chain reaction. Sens. Actuators A Phys. 2017, 268, 183–187. [Google Scholar] [CrossRef]
- Park, J.; Park, H. Numerical method for optimization of thermal cycling in 3D-printed polymerase chain reaction device. Microelectron. Eng. 2020, 227, 111306. [Google Scholar] [CrossRef]













| Structure | Parameter | Variable | Value |
|---|---|---|---|
| Case 1 | chip length | lt | 293.48 mm |
| chip width | wt | 150.06 mm | |
| denaturation zone width | wd | 43.78 mm | |
| extension zone width | we | 62.5 mm | |
| annealing zone width | wa | 33.78 mm | |
| channel width | wc | 2 mm | |
| channel depth | hc | 1 mm | |
| thickness of heating blocks | h1/h3 | 1 mm | |
| chip thickness | ht | 3 mm | |
| Case 2/Case 3 | chip length | lt | 293.48 mm |
| chip width | wt | 150.06 mm | |
| denaturation zone width | wd | 43.78 mm | |
| extension zone width | we | 62.5 mm | |
| annealing zone width | wa | 33.78 mm | |
| channel width | wc | 2 mm | |
| channel depth | hc | 1 mm | |
| thickness of heating blocks | h1/h3 | 1 mm | |
| chip thickness | ht | 3 mm | |
| length of flow channel extension area | lex | 12 mm | |
| width of flow channel extension area | wex | 10 mm |
| Copper | PMMA | Water | |
|---|---|---|---|
| ρ [kg/m3] | 8978 | 1170 | 998.2 |
| μ [kg/(m·s)] | 0.001003 | ||
| cp [J/(kg·K)] | 381 | 1470 | 4182 |
| k [W/(m·K)] | 387.6 | 0.17 | 0.6 |
| Mesh | Number (Million) | Tout (℃) | Relative Error |
|---|---|---|---|
| Mesh 1 | 1.24 | 59.7828 | 0.51% |
| Mesh 2 | 2.47 | 59.57613 | 0.16% |
| Mesh 3 | 3.62 | 59.55042 | 0.12% |
| Mesh 4 | 5.95 | 59.52665 | 0.08% |
| Mesh 5 | 7.82 | 59.47818 | - |
Disclaimer/Publisher’s Note: The statements, opinions and data contained in all publications are solely those of the individual author(s) and contributor(s) and not of MDPI and/or the editor(s). MDPI and/or the editor(s) disclaim responsibility for any injury to people or property resulting from any ideas, methods, instructions or products referred to in the content. |
© 2025 by the authors. Licensee MDPI, Basel, Switzerland. This article is an open access article distributed under the terms and conditions of the Creative Commons Attribution (CC BY) license.
Share and Cite
Zhou, N.; Han, H.; Fang, L.; Li, S.; Lei, L. Structure Optimization of Polymerase Chain Reaction Devices Under High Flow Rate: A Numerical Study. Micromachines 2026, 17, 21. https://doi.org/10.3390/mi17010021
Zhou N, Han H, Fang L, Li S, Lei L. Structure Optimization of Polymerase Chain Reaction Devices Under High Flow Rate: A Numerical Study. Micromachines. 2026; 17(1):21. https://doi.org/10.3390/mi17010021
Chicago/Turabian StyleZhou, Naixiang, Hao Han, Liwei Fang, Shizhen Li, and Li Lei. 2026. "Structure Optimization of Polymerase Chain Reaction Devices Under High Flow Rate: A Numerical Study" Micromachines 17, no. 1: 21. https://doi.org/10.3390/mi17010021
APA StyleZhou, N., Han, H., Fang, L., Li, S., & Lei, L. (2026). Structure Optimization of Polymerase Chain Reaction Devices Under High Flow Rate: A Numerical Study. Micromachines, 17(1), 21. https://doi.org/10.3390/mi17010021

