Sign in to use this feature.

Years

Between: -

Subjects

remove_circle_outline
remove_circle_outline
remove_circle_outline
remove_circle_outline
remove_circle_outline
remove_circle_outline
remove_circle_outline
remove_circle_outline
remove_circle_outline

Journals

remove_circle_outline
remove_circle_outline
remove_circle_outline
remove_circle_outline

Article Types

Countries / Regions

remove_circle_outline
remove_circle_outline
remove_circle_outline
remove_circle_outline
remove_circle_outline

Search Results (654)

Search Parameters:
Keywords = distribution power flow analysis

Order results
Result details
Results per page
Select all
Export citation of selected articles as:
23 pages, 5291 KB  
Article
Thermal Analysis of High-Power Water-Cooled Permanent Magnet Coupling Based on Rotational Centrifugal Fluid–Structure Coupling Field Inversion
by Yuqin Zhu, Wei Liu, Hao Liu and Chuang Yang
Energies 2025, 18(24), 6556; https://doi.org/10.3390/en18246556 - 15 Dec 2025
Viewed by 81
Abstract
An efficient and reliable heat dissipation system is essential for the safe and stable operation of high-power water-cooled couplers. However, thermal analysis methods accounting for the centrifugal effects on coolant flow remain limited. This paper presents a high-accuracy equivalent thermal network model (ETNM) [...] Read more.
An efficient and reliable heat dissipation system is essential for the safe and stable operation of high-power water-cooled couplers. However, thermal analysis methods accounting for the centrifugal effects on coolant flow remain limited. This paper presents a high-accuracy equivalent thermal network model (ETNM) for analyzing the temperature distribution in water-cooled permanent magnet couplers (WPMCs), based on fluid–structure interaction and rotational centrifugal flow-field inversion. First, the ETNM is established based on key assumptions. Subsequently, an eddy current loss calculation method based on permanent magnet mapping is proposed to accurately determine the heat source distribution. The convective heat transfer coefficient of the coolant is then precisely derived by inverting the flow field obtained from fluid–structure coupling simulations under rotational centrifugal conditions. Finally, the model is applied for temperature analysis, and its accuracy is verified through both finite element simulations and experimental tests. The calculated results show errors of only 3.2% compared to numerical simulation and 5.6% compared to experimental data, indicating strong agreement of the proposed thermal analysis method. The accuracy of copper conductor (CC) temperature prediction is improved by 32.73%, and that of permanent magnet (PM) prediction by 33.33%. Furthermore, this method enables accurate estimation of individual component temperatures, effectively preventing operational failures such as PM demagnetization, CC softening, and severe vibrations caused by overheating. Full article
Show Figures

Figure 1

17 pages, 2213 KB  
Article
Multidimensional Optimal Power Flow with Voltage Profile Enhancement in Electrical Systems via Honey Badger Algorithm
by Sultan Hassan Hakmi, Hashim Alnami, Badr M. Al Faiya and Ghareeb Moustafa
Biomimetics 2025, 10(12), 836; https://doi.org/10.3390/biomimetics10120836 - 14 Dec 2025
Viewed by 110
Abstract
This study introduces an innovative Honey Badger Optimization (HBO) designed to address the Optimal Power Flow (OPF) challenge in electrical power systems. HBO is a unique population-based searching method inspired by the resourceful foraging behavior of honey badgers when hunting for food. In [...] Read more.
This study introduces an innovative Honey Badger Optimization (HBO) designed to address the Optimal Power Flow (OPF) challenge in electrical power systems. HBO is a unique population-based searching method inspired by the resourceful foraging behavior of honey badgers when hunting for food. In this algorithm, the dynamic search process of honey badgers, characterized by digging and honey-seeking tactics, is divided into two distinct stages, exploration and exploitation. The OPF problem is formulated with objectives including fuel cost minimization and voltage deviation reduction, alongside operational constraints such as generator limits, transformer settings, and line power flows. HBO is applied to the IEEE 30-bus test system, outperforming existing methods such as Particle Swarm Optimization (PSO) and Gray Wolf Optimization (GWO) in both fuel cost reduction and voltage profile enhancement. Results indicate significant improvements in system performance, achieving 38.5% and 22.78% better voltage deviations compared to GWO and PSO, respectively. This demonstrates HBO’s efficacy as a robust optimization tool for modern power systems. In addition to the single-objective studies, a multi-objective OPF formulation was investigated to produce the complete Pareto front between fuel cost and voltage deviation objectives. The proposed HBO successfully generated a well-distributed set of trade-off solutions, revealing a clear conflict between economic efficiency and voltage quality. The Pareto analysis demonstrated HBO’s strong capability to balance these competing objectives, identify knee-point operating conditions, and provide flexible decision-making options for system operators. Full article
(This article belongs to the Section Biological Optimisation and Management)
Show Figures

Figure 1

27 pages, 640 KB  
Article
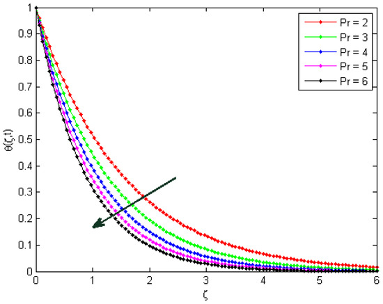
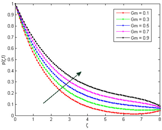
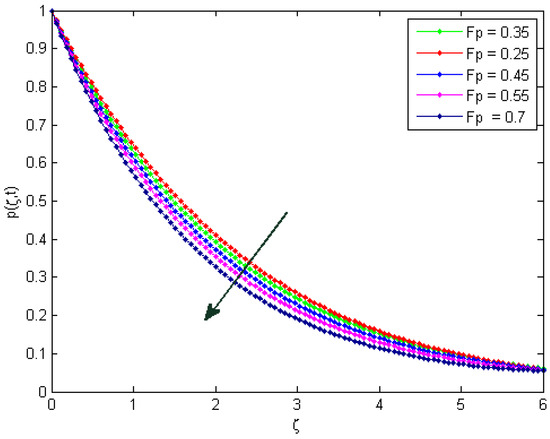
Effect of Magnetic Field Inclination on Radiative MHD Casson Fluid Flow over a Tilted Plate in a Porous Medium Using a Caputo Fractional Model
by Mehari Fentahun Endalew and Xiaoming John Zhang
Fractal Fract. 2025, 9(12), 809; https://doi.org/10.3390/fractalfract9120809 - 10 Dec 2025
Viewed by 586
Abstract
This research employs a Caputo fractional-derivative model to investigate the effects of magnetic field inclination and thermal radiation on the unsteady flow of a Casson fluid over an inclined plate in a porous medium. The model incorporates memory effects to generalize the classical [...] Read more.
This research employs a Caputo fractional-derivative model to investigate the effects of magnetic field inclination and thermal radiation on the unsteady flow of a Casson fluid over an inclined plate in a porous medium. The model incorporates memory effects to generalize the classical formulation, while also accounting for internal heat generation and a chemical reaction. The governing equations are solved analytically using the Laplace transform, yielding power-series solutions in the time domain. Convergence analysis and benchmarking confirm the reliability and accuracy of the derived solutions. Key physical parameters are analyzed, and their impacts on the system are presented both graphically and in tabular form. The results indicate that increasing the inclination of the plate and magnetic field significantly suppresses the velocity distribution and reduces the associated boundary-layer thickness. Conversely, a higher fractional-order parameter enhances the velocity, temperature, and species concentration profiles by reducing memory effects. This study makes a significant contribution to the fractional modeling of unsteady heat and mass transfer in complex non-Newtonian fluids and provides valuable insights for the precise control of transport processes in industrial, chemical, and biomedical applications. Full article
Show Figures

Figure 1

22 pages, 6006 KB  
Article
Optimal Electrolyzer Placement Strategy via Probabilistic Voltage Stability Assessment in Renewable-Integrated Distribution Systems
by Hyeon Woo, Yeunggurl Yoon, Xuehan Zhang, Jintae Cho and Sungyun Choi
Sustainability 2025, 17(24), 11027; https://doi.org/10.3390/su172411027 - 9 Dec 2025
Viewed by 146
Abstract
Stable operating conditions in electrolyzers are crucial for preserving system durability, ensuring highly pure hydrogen production, and enabling the sustainable utilization of surplus renewable electricity. However, in active distribution networks, the output uncertainty of distributed energy resources, such as renewable energy sources (RES) [...] Read more.
Stable operating conditions in electrolyzers are crucial for preserving system durability, ensuring highly pure hydrogen production, and enabling the sustainable utilization of surplus renewable electricity. However, in active distribution networks, the output uncertainty of distributed energy resources, such as renewable energy sources (RES) on the generation side and load demand side, can lead to voltage fluctuations that threaten the operational stability of electrolyzers and limit their contribution to a low-carbon energy transition. This paper proposes a novel framework for optimal electrolyzer placement, tailored to their operational requirements and to the planning of sustainable renewable-integrated distribution systems. First, probabilistic scenario generation is carried out for RES and load to capture the characteristics of their inherent uncertainties. Second, based on these scenarios, continuous power-flow-based P–V (power–voltage) curve analysis is conducted to evaluate voltage stability and identify the loadability and load margin for each bus. Finally, the optimal siting of electrolyzers is determined by analyzing the load margins obtained from the voltage stability assessment and deriving a probabilistic electrolyzer hosting capacity. A case study under various uncertainty scenarios examines how applying this method influences the ability to maintain acceptable voltage levels at each bus in the grid. The results indicate that the method can significantly improve the likelihood of stable electrolyzer operation, support the reliable integration of green hydrogen production into distribution networks, and contribute to the sustainable planning of other voltage-sensitive equipment. Full article
(This article belongs to the Special Issue Sustainable Energy: Addressing Issues Related to Renewable Energy)
Show Figures

Figure 1

28 pages, 8306 KB  
Article
Coordinated Voltage and Power Factor Optimization in EV- and DER-Integrated Distribution Systems Using an Adaptive Rolling Horizon Approach
by Wonjun Yun, Phi-Hai Trinh, Jhi-Young Joo and Il-Yop Chung
Energies 2025, 18(23), 6357; https://doi.org/10.3390/en18236357 - 4 Dec 2025
Viewed by 238
Abstract
The penetration of distributed energy resources (DERs), such as photovoltaic (PV) generation and electric vehicles (EVs), in distribution systems has been increasing rapidly. At the same time, load demand is rising due to the proliferation of data centers and the growing use of [...] Read more.
The penetration of distributed energy resources (DERs), such as photovoltaic (PV) generation and electric vehicles (EVs), in distribution systems has been increasing rapidly. At the same time, load demand is rising due to the proliferation of data centers and the growing use of artificial intelligence. These trends have introduced new operational challenges: reverse power flow from PV generation during the day and low-voltage conditions during periods of peak load or when PV output is unavailable. To address these issues, this paper proposes a two-stage adaptive rolling horizon (ARH)-based model predictive control (MPC) framework for coordinated voltage and power factor (PF) control in distribution systems. The proposed framework, designed from the perspective of a distributed energy resource management system (DERMS), integrates EV charging and discharging scheduling with PV- and EV-connected inverter control. In the first stage, the ARH method optimizes EV charging and discharging schedules to regulate voltage levels. In the second stage, optimal power flow analysis is employed to adjust the voltage of distribution lines and the power factor at the substation through reactive power compensation, using PV- and EV-connected inverters. The proposed algorithm aims to maintain stable operation of the distribution system while minimizing PV curtailment by computing optimal control commands based on predicted PV generation, load forecasts, and EV data provided by vehicle owners. Simulation results on the IEEE 37-bus test feeder demonstrate that, under predicted PV and load profiles, the system voltage can be maintained within the normal range of 0.95–1.05 per unit (p.u.), the power factor is improved, and the state-of-charge (SOC) requirements of EV owners are satisfied. These results confirm that the proposed framework enables stable and cooperative operation of the distribution system without the need for additional infrastructure expansion. Full article
Show Figures

Figure 1

21 pages, 2007 KB  
Article
A Capacitance-to-Ground Measuring Method for Medium-Voltage Power Grid of a Ship Based on the Combination of High and Low Frequencies
by Shuai Wang, Liang Chen, Zhikang Li and Zhenghe Zhao
Sensors 2025, 25(23), 7310; https://doi.org/10.3390/s25237310 - 1 Dec 2025
Viewed by 289
Abstract
With the increase in capacity of large ship electric power systems, medium-voltage electric power systems have gradually become an inevitable choice. Among China’s large ships, the neutral point of the power system is usually grounded by high resistance, and its grounding parameters need [...] Read more.
With the increase in capacity of large ship electric power systems, medium-voltage electric power systems have gradually become an inevitable choice. Among China’s large ships, the neutral point of the power system is usually grounded by high resistance, and its grounding parameters need to be determined, taking the system’s capacitance to ground as a reference. Under different working conditions, the capacitance to the ground of the system will change, which requires online real-time measurement of the capacitance to the ground to provide a basis. However, the current flowing through the distributed capacitance and the capacitance itself cannot be directly measured by measuring instruments. Currently, the most commonly used method is the signal injection method, which can realize the secondary side measurement. This paper analyzed the traditional signal injection methods and found that all these methods are not suitable for real-time measurement of the capacitance to the ground of the medium-voltage electric power system of a ship. Among the current methods, this paper proposes combining the dual-frequency method and the high-frequency method. Through error analysis, for systems with different capacitances to ground, the frequency selection of the dual-frequency method will affect the measurement accuracy. To ensure the measurement accuracy, it is necessary to adopt the principle of “one low frequency + one high frequency”. Therefore, based on the dual-frequency method and the high-frequency method, the paper proposed an improved dual-frequency method, taking a combination method of high frequency and low frequency for capacitance measurement of medium-voltage power systems with high resistance grounding. Then the paper studied the high- and low-frequency selection scheme by simulation comparison and finally determined the frequency selection scheme of 5000/120 Hz. The paper also carried out simulation and experimental verification and finally proved that under the selected frequency selection scheme, the proposed method can accurately measure the capacitance to ground in a medium-voltage power grid with high resistance grounding. Full article
(This article belongs to the Section Electronic Sensors)
Show Figures

Figure 1

15 pages, 5972 KB  
Article
Thermal Hydraulics and Solid Mechanics Multiphysics Safety Analysis of a Heavy Water Reactor with Thorium-Based Fuel
by Bayan Kurbanova, Yuriy Sizyuk, Ansar Aryngazin, Zhanna Alsar, Ahmed Hassanein and Zinetula Insepov
J. Nucl. Eng. 2025, 6(4), 53; https://doi.org/10.3390/jne6040053 - 30 Nov 2025
Viewed by 300
Abstract
Growing environmental awareness has renewed interest in thorium as a nuclear fuel, underscoring the need for further studies to evaluate how reactors perform when conventional fuels are replaced with thorium-based alternatives. In this study, thermal hydraulics and solid mechanics computations were simulated using [...] Read more.
Growing environmental awareness has renewed interest in thorium as a nuclear fuel, underscoring the need for further studies to evaluate how reactors perform when conventional fuels are replaced with thorium-based alternatives. In this study, thermal hydraulics and solid mechanics computations were simulated using COMSOL multiphysics to investigate the safe operating conditions of a heavy water reactor with thorium-based fuel. The thermo-mechanical analysis of the fuel rod under transient heating conditions provides critical insights into strain, displacement, stress, and coolant flow behavior at elevated volumetric heat sources. After 3 s of heating, the strain distribution in the fuel exhibits a high-strain core surrounded by a low-strain rim, with peak volumetric strain increasing nearly linearly from 0.006 to 0.014 as heat generation rises. Displacement profiles confirm that radial deformation is concentrated at the outer surface, while axial elongation remains uniform and scales systematically with power. The resulting von Mises stress fields show maxima at the outer surface, increasing from ~0.06 to 0.15 GPa at the centerline with higher heat input but remaining within structural safety margins. Cladding simulations demonstrate nearly uniform axial expansion, with displacements increasing from ~0.012 mm to 0.03 mm across the investigated power range, and average strain remains negligible (≈10−4), while mean stresses increase moderately yet stay well below the yield strength of zirconium alloys, confirming safe elastic behavior. Hydrodynamic analysis shows that coolant velocity decreases smoothly along the axial direction but maintains stability, with only minor reductions under increased heat sources. Overall, the coupled thermo-mechanical and fluid-dynamic results confirm that both the fuel and cladding remain structurally stable under the studied conditions. By using COMSOL’s multiphysics capabilities, and unlike most legacy codes optimized for uranium-based fuel, this work is designed to easily incorporate non-traditional fuels such as thorium-based systems, including user-defined material properties, temperature-dependent thermal polynomial formulas, and mechanical response. Full article
(This article belongs to the Special Issue Advances in Thermal Hydraulics of Nuclear Power Plants)
Show Figures

Figure 1

37 pages, 3380 KB  
Article
Analysis and Evaluation of the Operating Profile of a DC Inverter in a PV Plant
by Silvia Baeva, Ivelina Hinova and Plamen Stanchev
Energies 2025, 18(23), 6306; https://doi.org/10.3390/en18236306 - 30 Nov 2025
Viewed by 202
Abstract
The inverter is the key element that converts the intermittent DC power of the PV array into a quality AC flow to the grid and simultaneously performs functions such as power factor control, reactive services, and grid code compliance. Therefore, the detailed operating [...] Read more.
The inverter is the key element that converts the intermittent DC power of the PV array into a quality AC flow to the grid and simultaneously performs functions such as power factor control, reactive services, and grid code compliance. Therefore, the detailed operating profile of the inverter, how the power, dynamics, power quality, and efficiency evolve over time, is critical for both the scientific understanding of the system and the daily operation (O&M). Monitoring only aggregated energy indicators or single KPIs (e.g., PR) is often insufficient: it does not distinguish weather-related variations from technical limitations (clipping, curtailment), does not show dynamic loads (ramp rate), and does not provide confidence in the quality of the injected energy (PF, P–Q behavior). These deficiencies motivate research that simultaneously covers the physical side of the conversion, the operational dynamics, and the climatic reference of the resource. The analysis covers the window of 25 January–15 April 2025 (winter→spring). Due to the pronounced seasonality of the solar resource and temperature regime, all quantitative results and conclusions regarding efficiency, dynamics, clipping, and degradation are valid only for this window; generalizations to other seasons require additional data. In the next stage, we will add ≥12 months of data and perform a comparable seasonal analysis. Full specifications of the measuring equipment (DC/AC current/voltage, clock synchronization, separate high-frequency PQ-logger) and quantitative uncertainty estimates, including distribution to key indicators (η, PR, THD, IDC), are presented. The PVGIS per-kWp climate reference is anchored to the nameplate DC peak and cross-checked against percentile scaling; a±ε scale error shifts PR by ε and changes ΔE proportionally only on hours with P^>P. The capacity for the climate reference (PVGIS per-kWp) is calibrated to the tabulated DC peak power Ccert and is cross-validated using a percentile scale (Q0.99). Full article
(This article belongs to the Special Issue Challenges and Opportunities in the Global Clean Energy Transition)
Show Figures

Figure 1

21 pages, 3406 KB  
Article
Analysis of Reactor Coolant Pump Start-Up Under Loss of Power Accident Based on Thermo-Fluid-Structure Interaction
by Qiang Fu, Jiahao Wu, Rongsheng Zhu and Shouqi Yuan
Processes 2025, 13(12), 3828; https://doi.org/10.3390/pr13123828 - 26 Nov 2025
Viewed by 272
Abstract
This study investigates a shielded reactor coolant pump (RCP) using a thermo-fluid–structure interaction approach to numerically simulate the internal flow characteristics, impeller forces, and rotor vibration modes during rapid start-up following a loss of power accident under high-temperature and high-pressure conditions. A three-dimensional [...] Read more.
This study investigates a shielded reactor coolant pump (RCP) using a thermo-fluid–structure interaction approach to numerically simulate the internal flow characteristics, impeller forces, and rotor vibration modes during rapid start-up following a loss of power accident under high-temperature and high-pressure conditions. A three-dimensional fluid–structure coupling model was established, employing the SST k-ω turbulence model and a one-way fluid–structure interaction method. The effects of three different start-up acceleration rates on pump head, pressure pulsation, vortex structures, turbulent kinetic energy distribution, and dynamic stress on the impeller were systematically analyzed. The results indicate that the medium-acceleration scenario (4.5 s start-up time) exhibits the most favorable performance in terms of pressure pulsation control, vorticity suppression, and stress distribution, effectively avoiding cavitation and structural resonance while ensuring a smooth and reliable start-up process. Modal analysis reveals that the rotor system is predominantly characterized by bending vibrations with satisfactory torsional stiffness and appropriately set critical speeds, presenting no resonance risks. This research provides theoretical foundations and engineering references for the safe restart of RCPs under extreme operational conditions. Full article
(This article belongs to the Section Process Control and Monitoring)
Show Figures

Figure 1

30 pages, 10674 KB  
Article
Analysis of the Demagnetization of a PMSG Using a Coupled Electromagnetic–Fluid–Thermal Numerical Model
by Jorge E. Morón-Monreal, Francisco J. Martinez-Rios, Concepcion Hernandez and Marco A. Arjona
Energies 2025, 18(23), 6149; https://doi.org/10.3390/en18236149 - 24 Nov 2025
Viewed by 363
Abstract
This article presents a multiphysics simulation methodology to predict the temperature-dependent demagnetization phenomenon of a 900 W permanent-magnet synchronous generator (PMSG). For the 2D electromagnetic model, a commercial finite element method (FEM) package was used to determine the power loss distribution under steady-state [...] Read more.
This article presents a multiphysics simulation methodology to predict the temperature-dependent demagnetization phenomenon of a 900 W permanent-magnet synchronous generator (PMSG). For the 2D electromagnetic model, a commercial finite element method (FEM) package was used to determine the power loss distribution under steady-state conditions, accounting for temperature-dependent demagnetization. The thermal analysis was carried out on a 3D model using computational fluid dynamics (CFD) software, where a polyhedral mesh, rotor rotation effects, and turbulent modeling were implemented. Two simulation cases were evaluated: Case 1, electromagnetic losses at constant temperature without FEM-CFD coupling; Case 2, bidirectional FEM-CFD coupling under steady-state conditions. The analysis confirms that in Cases 1 and 2, there is no risk of irreversible demagnetization, thus validating the selection of the permanent magnet (PM) and the design of the PMSG. Additionally, the methodology accurately captured the heat transfer effects resulting from natural convection and turbulent flow in the critical regions. The CFD modeling convergence criteria, based on residuals and flow monitors, demonstrated numerical stability and a satisfactory mesh discretization in both the FEM and CFD domains, providing valid feedback on the PM temperatures. The proposed methodology provides a robust and accurate tool for coupled electromagnetic–fluid–thermal analysis of the PMSG at rated operating conditions. Full article
(This article belongs to the Special Issue Advances in Permanent Magnet Synchronous Generator)
Show Figures

Figure 1

12 pages, 1072 KB  
Article
Microvascular Imaging of Hepatic Hemangiomas
by Hakan Baş and Süleyman Filiz
Diagnostics 2025, 15(22), 2917; https://doi.org/10.3390/diagnostics15222917 - 18 Nov 2025
Viewed by 659
Abstract
Background/Objectives: We aimed to characterize the microvascular imaging (MI) to demonstrate in hepatic hemangiomas in routine practice and to quantify the impact of lesion depth on MI signal detectability, and—when present—describe the distribution of MI appearances. Methods: In this single-center, retrospective study from [...] Read more.
Background/Objectives: We aimed to characterize the microvascular imaging (MI) to demonstrate in hepatic hemangiomas in routine practice and to quantify the impact of lesion depth on MI signal detectability, and—when present—describe the distribution of MI appearances. Methods: In this single-center, retrospective study from January 2021 to December 2023, we screened 91 patients with 121 focal hepatic lesions on ultrasound. Lesions without typical hemangioma enhancement on dynamic MRI or dynamic CT were excluded. Two radiologists independently assessed MI signals and patterns using the Jeon classification, blinded to clinical and CT/MRI data; inter-observer agreement was quantified with Cohen’s κ. Results: Of 121 screened lesions, 36 lacked typical enhancement and were excluded; 85 hemangiomas remained. A total of 13 were excluded for motion artifacts near the heart or pulsatile vessels, yielding 72 hemangiomas (61 patients) for analysis. No lesion showed flow on color or power Doppler. MI signals were detected in 68/72 hemangiomas (94.4%). Among signal-positive lesions (n = 68), the patterns were non-specific in 25.0% (17/68), nodular rim in 22.1% (15/68), strip rim in 17.6% (12/68), central dot-like in 16.2% (11/68), peripheral dot-like in 10.3% (7/68), and staining in 8.8% (6/68). Signal-negative lesions were deeper than signal-positive lesions (median depth: 85 mm vs. 41.5 mm; p < 0.05). The inter-observer agreement was very good (κ = 0.821, 95% CI 0.767–0.921). Conclusions: MI is a reproducible, contrast-free technique that demonstrates hemangioma vascularity with high detection rates, particularly in more superficial lesions. In this cohort, lesion depth rather than size was the primary determinant of MI signal detectability. MI should be considered complementary to CT/MRI and may be especially useful where contrast agents are unavailable or contraindicated. Full article
(This article belongs to the Special Issue Advanced Ultrasound Techniques in Diagnosis)
Show Figures

Figure 1

23 pages, 6714 KB  
Article
Potential Properties and Applications of Wires with Helical Structure in High-Voltage Overhead Power Lines and PV Systems
by Adam Steckiewicz, Maciej Zajkowski and Andrijana Jovanovic
Energies 2025, 18(22), 6008; https://doi.org/10.3390/en18226008 - 16 Nov 2025
Viewed by 484
Abstract
High-voltage overhead power lines consist of the non-insulated, densely packed round or trapezoidal aluminum strands supported by a reinforced core. This configuration may ensure the acceptable investment cost, mass per unit length, and aerodynamic effects caused by wind; however, the ampacity is lower [...] Read more.
High-voltage overhead power lines consist of the non-insulated, densely packed round or trapezoidal aluminum strands supported by a reinforced core. This configuration may ensure the acceptable investment cost, mass per unit length, and aerodynamic effects caused by wind; however, the ampacity is lower than those of copper wires, which limits the power transmission. Today, it is especially important, since the peak power generation of, e.g., photovoltaics forces power lines to casually distribute high currents. To potentially improve long- and short-term capabilities of energy distribution, instead of a cylindrical wire, the helical structure was proposed. Preserving an identical core, the conductor was formed as many elongated helices wrapped around an aluminum tube. The design was meant to significantly enlarge the outer surface of the wire, improving the heat transfer of the line, which then allowed us to enhance its ampacity. The solution was investigated numerically utilizing a 3D model with the coupled electrical, heat transfer, and laminar flow analysis. Based on this, the parameters (unit weight, unit resistance, and aerodynamic drag) of such modified wires were identified. Then, at different current loadings and wind speeds, the conductors were studied and compared with the ACSS (aluminum conductor steel-supported). The optimal variants of helical wires were suggested and the results indicated that using the helical conductor makes it possible to increase the ampacity of power lines (with the same unit weight, resistance, and cross-section of the ACSS wire) by 44% at low wind speed, even up to 160% at higher temperatures. Full article
(This article belongs to the Special Issue Advances in Solar Energy and Energy Efficiency—2nd Edition)
Show Figures

Figure 1

16 pages, 8616 KB  
Perspective
The Pullback Pressure Gradient: Transforming Invasive Coronary Physiology from Lesion Assessment to Disease Pattern Characterization—A Perspective
by Artur Dziewierz, Barbara Zdzierak, Stanisław Bartuś and Wojciech Zasada
Medicina 2025, 61(11), 2034; https://doi.org/10.3390/medicina61112034 - 14 Nov 2025
Viewed by 796
Abstract
This perspective comprehensively analyzes the invasive pullback pressure gradient (PPG), a novel physiological index that characterizes the longitudinal distribution of coronary artery disease and guides revascularization strategy modified in 14% of patients in the PPG Global Registry based on PPG assessment. We trace [...] Read more.
This perspective comprehensively analyzes the invasive pullback pressure gradient (PPG), a novel physiological index that characterizes the longitudinal distribution of coronary artery disease and guides revascularization strategy modified in 14% of patients in the PPG Global Registry based on PPG assessment. We trace the historical development from subjective pullback curve analysis to a standardized, quantitative metric and describe the procedural aspects of both motorized and manual PPG acquisition. We synthesize evidence supporting PPG’s clinical utility in predicting post-percutaneous coronary intervention outcomes, guiding revascularization decisions, and improving patient-centered outcomes. A central focus is PPG’s mechanistic role in explaining the physiological basis of discordance between fractional flow reserve (FFR) and instantaneous wave-free ratio (iFR), linking focal disease to FFR-positive/iFR-negative patterns and diffuse disease to FFR-negative/iFR-positive patterns. We conclude that PPG represents a fundamental advancement in coronary physiology, shifting clinical focus from individual stenoses to overall disease patterns. This paradigm shift provides deeper understanding of coronary artery disease pathophysiology and offers a powerful predictive tool to guide personalized revascularization strategies. Prospective randomized trials will be essential to solidify its role as a cornerstone of modern interventional cardiology practice. Full article
(This article belongs to the Section Cardiology)
Show Figures

Figure 1

23 pages, 3221 KB  
Article
Improved DBSCAN-Based Electricity Theft Detection Using Spatiotemporal Fusion Features
by Jianlin Chen, Zhe Guan, Wei Bai, Jiayue Liu, Yanlong Zhao, Junyu Zhou and Lan Xiong
Appl. Sci. 2025, 15(22), 12028; https://doi.org/10.3390/app152212028 - 12 Nov 2025
Viewed by 362
Abstract
Electricity theft is a major source of non-technical losses in distribution networks, threatening both economic revenues and power supply reliability. This study addresses the identification of nodes exhibiting anomalous load behavior (anomalous nodes) in 10 kV distribution feeders. Based on the IEEE-33 bus [...] Read more.
Electricity theft is a major source of non-technical losses in distribution networks, threatening both economic revenues and power supply reliability. This study addresses the identification of nodes exhibiting anomalous load behavior (anomalous nodes) in 10 kV distribution feeders. Based on the IEEE-33 bus benchmark system, the disturbance patterns induced by abnormal consumption are analyzed. The results show that voltage and current fluctuations intensify with increasing electrical distance from the power source, while branch loss peaks localize at the affected terminals and propagate unidirectionally along the power flow path. Building on these findings, an improved density-based spatial clustering of applications with noise (DBSCAN) method is proposed, integrating five spatial network features and sixteen temporal electrical features extracted from voltage, current, and power series. Prior to clustering, the features are standardized and reduced via principal component analysis (PCA), retaining over 90% of the cumulative variance. Validation on a hybrid dataset demonstrates that the proposed method achieves 90.7% accuracy, 87.5% recall, and an F1-score of 0.895, outperforming traditional K-means and approaching supervised CNN models without requiring labeled data. These results confirm the method’s robustness and suitability for practical deployment in distribution networks. Full article
Show Figures

Figure 1

17 pages, 1728 KB  
Article
Multi-Criteria-Based Key Transmission Section Identification and Prevention–Emergency Coordinated Optimal Control Strategy
by Xinyu Peng, Chuan He, Honghao Zhang, Lu Nan, Tianqi Liu, Jian Gao, Biao Wang, Xi Ye and Xinwei Sun
Energies 2025, 18(22), 5871; https://doi.org/10.3390/en18225871 - 7 Nov 2025
Viewed by 344
Abstract
Large-scale blackouts in power systems are often triggered by weak links susceptible to cascading failures. As the concentrated reflection of the system’s weak links, identifying key transmission sections and further implementing safety control measures are of great significance for ensuring the stable operation [...] Read more.
Large-scale blackouts in power systems are often triggered by weak links susceptible to cascading failures. As the concentrated reflection of the system’s weak links, identifying key transmission sections and further implementing safety control measures are of great significance for ensuring the stable operation of the system. This paper proposes a multi-criteria-based method for identifying key transmission sections and an optimal strategy for the prevention–emergency coordinated control of key transmission sections. Firstly, a line criticality index based on three characteristics—topology, power flow, and voltage—has been established to identify critical lines. Furthermore, search for all initial transmission sections that include the critical line, and form the initial transmission section set for each critical line, then, based on the analysis of the Theil index of power flow impact rate distribution after the failure of critical lines, a key transmission section identification method integrating multiple criteria is proposed. Then, based on the anticipated faults of key transmission sections, an optimization model for the prevention–emergency coordinated control of key transmission sections is established. A constraint relaxation factor is introduced to divide the above model into two independent sub-problems, then the golden section method is applied to update the value of constraint relaxation factors, so as to iteratively search for the optimal solution of the model. Finally, the feasibility and correctness of the proposed method are verified through the simulation and analysis of the IEEE 39-bus system. The results demonstrate that the proposed method can effectively identify the key transmission sections of the system and improve the operational safety of the system through the prevention–emergency coordinated optimal control strategy. Full article
Show Figures

Figure 1

Back to TopTop