Effect of Magnetic Field Inclination on Radiative MHD Casson Fluid Flow over a Tilted Plate in a Porous Medium Using a Caputo Fractional Model
Abstract
1. Introduction
2. Problem Formulation
3. Fractional Modeling Framework and Physical Interpretation
3.1. General Solution Methodology
- Laplace Transform in Time: The Caputo fractional derivative in Equation (20) is transformed using the identitywhich converts the time-fractional partial differential equation into an ordinary differential equation in the spatial variable. This step encapsulates the temporal memory effects within algebraic terms involving , significantly simplifying the subsequent analytical procedure.
- Solve the Spatial ODE: The resulting ODE is solved analytically, subject to the transformed boundary conditions, to obtain the solution in the Laplace domain .
- Series Expansion: To prepare for the inverse transform, the Laplace-domain solution is expressed as an infinite series. This typically involves expanding exponential terms and using the generalized binomial theorem to handle fractional powers of s.
- Inverse Laplace Transform: Using the identity , the inverse transform is applied term-by-term to the series, yielding the final time-domain solution as a convergent infinite series involving the Gamma function.
3.2. Fractional Reaction-Diffusion Model
3.3. Fractional Temperature Model
3.4. Fractional Velocity Model
3.5. Convergence Analysis and Computational Efficiency
- The double series for the temperature and concentration converge absolutely and uniformly for any finite ζ and .
- The triple series for the velocity converges absolutely and uniformly for any finite ζ and .
3.6. Numerical Implementation and Validation
Error Analysis and Series Convergence
4. Skin Friction, Heat, and Mass Transfer Rate Analysis
4.1. Coefficient of Friction
4.2. Nusselt Number
4.3. Sherwood Number
5. Special Conditions
5.1. Classical Derivative Case
5.2. Newtonian Fluid and Omission of Free Convection Case
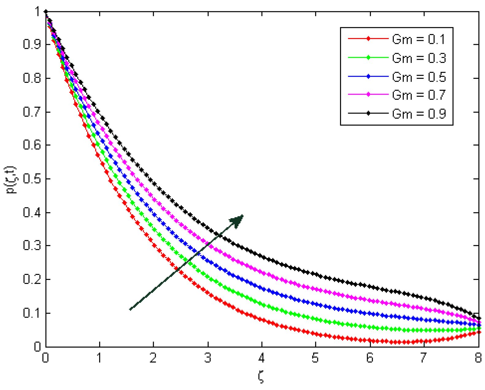
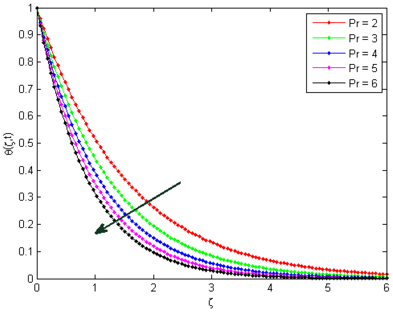
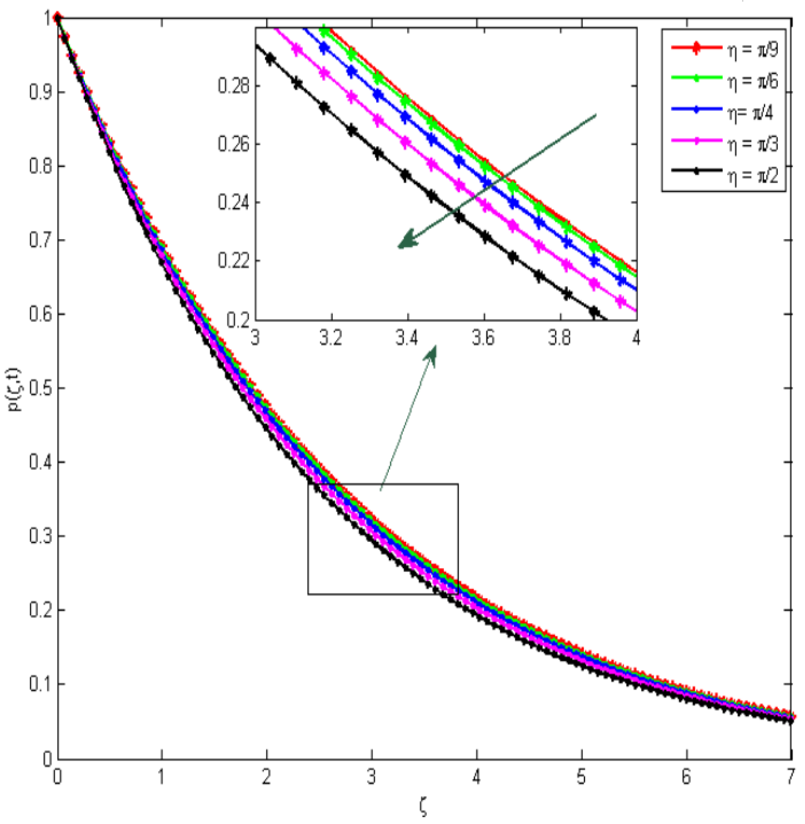
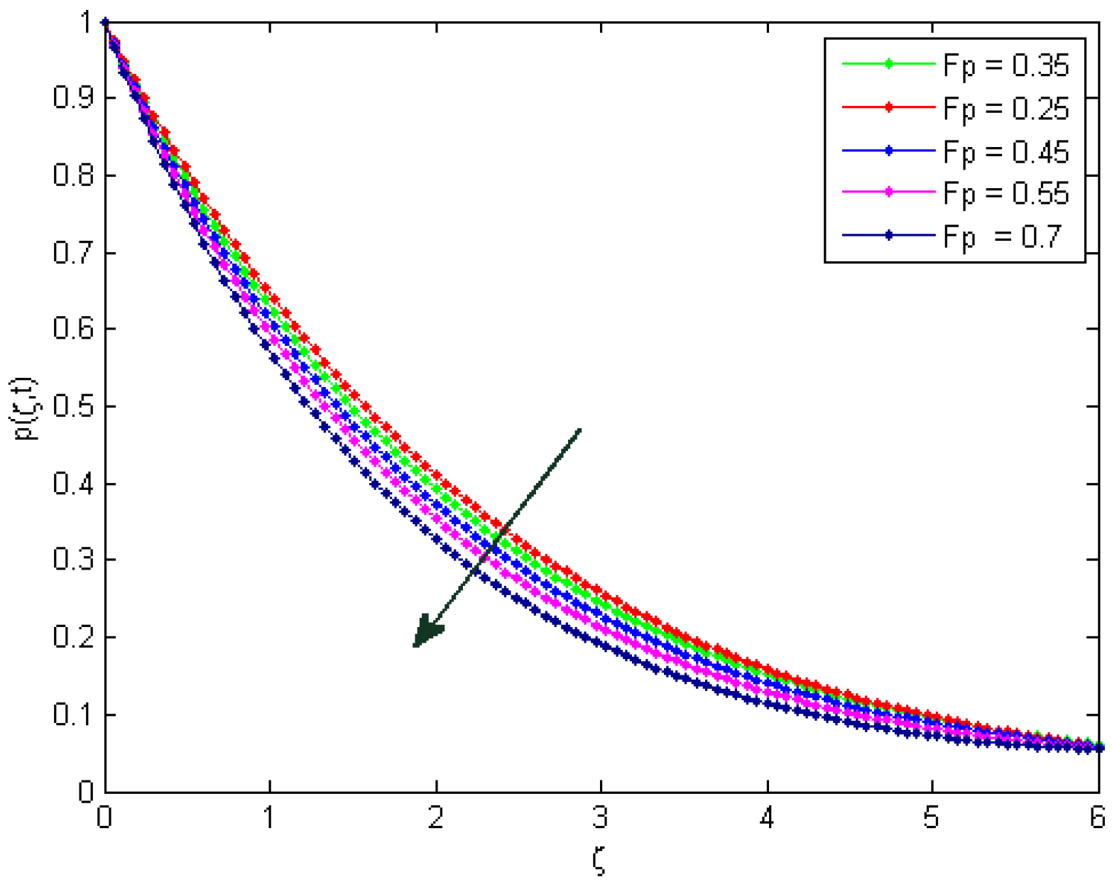
6. Results and Discussion
7. Conclusions
7.1. Modeling and Mathematical Contributions
- A comprehensive fractional-order model was formulated to represent memory effects and anomalous diffusion in a complex multi-physics flow configuration.
- Closed-form analytical series solutions for velocity, temperature, and concentration fields were derived through the Laplace transform method, and their convergence was examined and verified using limiting classical cases.
7.2. Key Physical Insights
- The simultaneous inclination of both the plate and the magnetic field generates a combined retarding effect, suppressing velocity and thinning the hydrodynamic boundary layer.
- The fractional parameter enhances velocity, temperature, concentration, and their respective boundary layer thicknesses, confirming its role as a memory- and diffusion-regulating index.
- Increasing magnetic field strength and porosity parameters reduces velocity due to the strengthening of Lorentz and Darcy resistive forces.
- Increasing Prandtl number () decreases temperature and thermal boundary layer thickness, whereas larger Schmidt number () reduces concentration and contracts the solutal boundary layer.
- The skin friction coefficient decreases with increasing inclination angle () and magnetic field parameter ().
7.3. Practical Applications
- Thermal management in porous MHD devices: including nuclear reactor cooling, MHD power generators, and aerospace thermal control systems, where magnetic fields interact with non-Newtonian fluids flowing through porous structures.
- Biomedical transport processes involving Casson-type fluids: such as blood flow in arteries, targeted drug delivery through porous tissues, and synovial fluid dynamics in joints, where yield-stress behavior and memory effects play key physiological roles.
7.4. Future Research Directions
- Extended fractional modeling: introducing distinct fractional orders for velocity (), temperature (), and concentration () to reflect different memory behaviors in each transport mechanism.
- Realistic boundary conditions: incorporating time-dependent thermal and concentration boundary conditions to capture transient operating conditions in practical applications.
- Experimental validation: comparison with laboratory measurements from MHD or biomedical flow experiments to further evaluate predictive capability.
- Advanced numerical implementation: extending the model to complex geometries using meshless methods and virtual element methods, including the CVEM scheme [41] for fractional PDEs.
- Additional physical mechanisms: investigating the effects of multiphase flow, nonlinear radiation, hybrid nanofluids, and cross-diffusion processes.
Author Contributions
Funding
Data Availability Statement
Conflicts of Interest
Appendix A
Appendix A.1. Generalized Binomial Theorem
Appendix A.2. Geometric Series Expansion
Appendix A.3. Stirling’s Approximation and Series Convergence
References
- Debnath, L. Recent applications of fractional calculus to science and engineering. Int. J. Math. Math. Sci. 2003, 2003, 3413–3442. [Google Scholar] [CrossRef]
- Sehra; Iftikhar, W.; Haq, S.U.; Jan, S.U.; Khan, I.; Mohamed, A. Caputo–Fabrizio fractional model of MHD second grade fluid with Newtonian heating and heat generation. Sci. Rep. 2022, 12, 22371. [Google Scholar] [CrossRef] [PubMed]
- Khan, M.; Nadeem, S.; Hayat, T.; Siddiqui, A.M. Unsteady motions of a generalized second-grade fluid. Math. Comput. Model. 2005, 41, 629–637. [Google Scholar] [CrossRef]
- Jha, B.K.; Gambo, D.; Adam, U.M. Fractional order analysis of unsteady pressure-driven flow in an annulus with momentum slip. Partial. Differ. Equations Appl. Math. 2023, 7, 100474. [Google Scholar] [CrossRef]
- Kilbas, A.A.; Srivastava, H.M.; Trujillo, J.J. Theory and Applications of Fractional Differential Equations; Elsevier: Amsterdam, The Netherlands, 2006; Volume 204. [Google Scholar]
- Podlubny, I. Fractional Differential Equations: An Introduction to Fractional Derivatives, Fractional Differential Equations, to Methods of Their Solution and Some of Their Applications; Elsevier: Amsterdam, The Netherlands, 1998. [Google Scholar]
- Sadia, H.; Haq, S.U.; Khan, I.; Ashmaig, M.A.M.; Omer, A.S. Time fractional analysis of generalized Casson fluid flow by YAC operator with the effects of slip wall, and chemical reaction in a porous medium. Int. J. Thermofluids 2023, 20, 100466. [Google Scholar]
- Jafari, H.; Mehdinejadiani, B.; Baleanu, D. Fractional calculus for modeling unconfined groundwater. Appl. Eng. Life Soc. Sci. 2019, 7, 119–138. [Google Scholar]
- Alwuthaynani, M.; Ishtiaq, U.; El-Wahed Khalifa, H.A.; Alburaikan, A.; Idress, R.; Popa, I.L. Fractional-order modelling and analytical solutions for MHD casson fluid flow in an inclined channel with heat and mass transfer. Sci. Rep. 2025, 15, 39790. [Google Scholar] [CrossRef]
- He, J. Some applications of nonlinear fractional differential equations and their approximations. Bull. Sci. Technol. 1999, 15, 86–90. [Google Scholar]
- He, J.H. Approximate analytical solution for seepage flow with fractional derivatives in porous media. Comput. Methods Appl. Mech. Eng. 1998, 167, 57–68. [Google Scholar] [CrossRef]
- Grigorenko, I.; Grigorenko, E. Chaotic dynamics of the fractional Lorenz system. Phys. Rev. Lett. 2003, 91, 034101. [Google Scholar] [CrossRef]
- Moreles, M.A.; Peña, J.; Botello, S.; Iturriaga, R. On modeling flow in fractal media form fractional continuum mechanics and fractal geometry. Transp. Porous Media 2013, 99, 161–174. [Google Scholar] [CrossRef]
- Carcione, J.M.; Sanchez-Sesma, F.J.; Luzón, F.; Gavilán, J.J.P. Theory and simulation of time-fractional fluid diffusion in porous media. J. Phys. A Math. Theor. 2013, 46, 345501. [Google Scholar] [CrossRef]
- Choudhary, A.; Kumar, D.; Singh, J. A fractional model of fluid flow through porous media with mean capillary pressure. J. Assoc. Arab. Univ. Basic Appl. Sci. 2016, 21, 59–63. [Google Scholar] [CrossRef]
- Endalew, M.F.; Sarkar, S. A numerical study of forced convection casson nanofluid flow past a wedge with melting process. In ASME International Mechanical Engineering Congress and Exposition; American Society of Mechanical Engineers: New York, NY, USA, 2020; Volume 84584, p. V010T10A018. [Google Scholar]
- Iftikhar, N.; Baleanu, D.; Riaz, M.B.; Husnine, S.M. Heat and Mass Transfer of Natural Convective Flow with Slanted Magnetic Field via Fractional Operators. J. Appl. Comput. Mech. 2020, 7, 189–212. [Google Scholar]
- Rehman, A.U.; Jarad, F.; Riaz, M.B.; Shah, Z.H. Generalized Mittag-Leffler Kernel form solutions of free convection heat and mass transfer flow of Maxwell fluid with Newtonian heating: Prabhakar fractional derivative approach. Fractal Fract. 2022, 6, 98. [Google Scholar] [CrossRef]
- Saqib, M.; Ali, F.; Khan, I.; Sheikh, N.A.; Jan, S.A.A. Exact solutions for free convection flow of generalized Jeffrey fluid: A Caputo-Fabrizio fractional model. Alex. Eng. J. 2018, 57, 1849–1858. [Google Scholar] [CrossRef]
- Sene, N. Fractional model and exact solutions of convection flow of an incompressible viscous fluid under the Newtonian heating and mass diffusion. J. Math. 2022, 2022, 8785197. [Google Scholar] [CrossRef]
- Vieru, D.; Fetecau, C.; Fetecau, C. Time-fractional free convection flow near a vertical plate with Newtonian heating and mass diffusion. Therm. Sci. 2015, 19, 85–98. [Google Scholar] [CrossRef]
- Asjad, M.I.; Karim, R.; Hussanan, A.; Iqbal, A.; Eldin, S.M. Applications of fractional partial differential equations for MHD Casson fluid flow with innovative ternary nanoparticles. Processes 2023, 11, 218. [Google Scholar] [CrossRef]
- Islam, M.R.; Reza-E-Rabbi, S.; Yousuf Ali, M.; Rasel, M.M.H.; Ahmmed, S.F. Numerical simulation of mass and heat transport phenomena of hydromagnetic flow of Casson fluid with sinusoidal boundary conditions. Eng. Rep. 2023, 5, e12659. [Google Scholar] [CrossRef]
- Saeed, S.T.; Inc, M.; Alqarni, M.Z.; Radwan, N. Series solution of time-fractional MHD viscoelastic model through non-local kernel approach. Opt. Quantum Electron. 2024, 56, 861. [Google Scholar] [CrossRef]
- Sehra; Sadia, H.; Haq, S.U.; Khan, I. Time fractional Yang–Abdel–Cattani derivative in generalized MHD Casson fluid flow with heat source and chemical reaction. Sci. Rep. 2023, 13, 16494. [Google Scholar] [CrossRef] [PubMed]
- Maiti, S.; Shaw, S.; Shit, G. Caputo–Fabrizio fractional order model on MHD blood flow with heat and mass transfer through a porous vessel in the presence of thermal radiation. Phys. Stat. Mech. Its Appl. 2020, 540, 123149. [Google Scholar] [CrossRef]
- Jamil, D.F.; Saleem, S.; Roslan, R.; Al-Mubaddel, F.S.; Rahimi-Gorji, M.; Issakhov, A.; Din, S.U. Analysis of non-Newtonian magnetic Casson blood flow in an inclined stenosed artery using Caputo-Fabrizio fractional derivatives. Comput. Methods Programs Biomed. 2021, 203, 106044. [Google Scholar] [CrossRef]
- Abbas, S.; Nisa, Z.U.; Nazar, M.; Metwally, A.S.M.; Kędzia, K.; Jan, A.Z.; Kamolova, N. Effect of chemical reaction on MHD Casson natural convection flow over an oscillating plate in porous media using Caputo fractional derivative. Int. J. Therm. Sci. 2025, 207, 109355. [Google Scholar] [CrossRef]
- Abbas, S.; Nisa, Z.U.; Nazar, M.; Amjad, M.; Ali, H.; Jan, A.Z. Application of heat and mass transfer to convective flow of Casson fluids in a microchannel with Caputo–Fabrizio derivative approach. Arab. J. Sci. Eng. 2024, 49, 1275–1286. [Google Scholar] [CrossRef]
- Endalew, M.F.; Zhang, X. Unsteady Radiative MHD Casson Fluid Flow Over an Impulsively Started Porous Plate with Caputo Fractional Derivatives. Eng. Rep. 2025, 7, e70308. [Google Scholar] [CrossRef]
- Nandy, S.K. Analytical solution of MHD stagnation-point flow and heat transfer of Casson fluid over a stretching sheet with partial slip. ISRN Thermodyn. 2013, 2013, 108264. [Google Scholar] [CrossRef]
- Mukhopadhyay, S.; De, P.R.; Bhattacharyya, K.; Layek, G. Casson fluid flow over an unsteady stretching surface. Ain Shams Eng. J. 2013, 4, 933–938. [Google Scholar] [CrossRef]
- Endalew, M.F.; Sarkar, S.; Seth, G.S. Convective and dissipative temporal flow of Casson nanofluid past a tilted plate in a porous medium with Navier’s slip and slanted magnetic field. Spec. Top. Rev. Porous Media: Int. J. 2021, 12, 43–64. [Google Scholar] [CrossRef]
- Endalew, M.F. Analytical study of heat and mass transfer effects on unsteady Casson fluid flow over an oscillating plate with thermal and solutal boundary conditions. Heat Transf. 2021, 50, 6285–6299. [Google Scholar] [CrossRef]
- Endalew, M.F.; Goshu, M.D.; Tegegne, Y.C. Unsteady MHD Thin Film Flow of a Second-Grade Fluid past a Tilted Plate under the Impact of Thermal Radiation and Chemical Reaction. J. Appl. Math. 2022, 2022, 9491308. [Google Scholar] [CrossRef]
- Endalew, M.F.; Sarkar, S. Modeling and analysis of unsteady casson fluid flow due to an exponentially accelerating plate with thermal and solutal convective boundary conditions. J. Appl. Math. 2023, 2023, 3065357. [Google Scholar] [CrossRef]
- Ahmad, J.; Ali, F.; Murtaza, S.; Khan, I. Caputo time fractional model based on generalized Fourier’s and Fick’s laws for Brinkman-type fluid: Exact solution via integral transform. Fractals 2023, 31, 2340163. [Google Scholar]
- Sene, N. Solution procedure for fractional Casson fluid model considered with heat generation and chemical reaction. Sustainability 2023, 15, 5306. [Google Scholar] [CrossRef]
- Pattnaik, J.R.; Dash, G.C.; Singh, S. Radiation and mass transfer effects on MHD flow through porous medium past an exponentially accelerated inclined plate with variable temperature. Ain Shams Eng. J. 2017, 8, 67–75. [Google Scholar] [CrossRef]
- Hu, S.; Fan, C.; Chen, C.; Young, D. Method of fundamental solutions for Stokes’ first and second problems. J. Mech. 2005, 21, 25–31. [Google Scholar] [CrossRef]
- Desiderio, L.; Falletta, S.; Ferrari, M.; Scuderi, L. CVEM-BEM coupling for the simulation of time-domain wave fields scattered by obstacles with complex geometries. Comput. Methods Appl. Math. 2023, 23, 353–372. [Google Scholar] [CrossRef]
















| Study | Geometry | Fractional Operator | Casson Fluid | Magnetic Field Inclination | Radiation | Convergence Analysis |
|---|---|---|---|---|---|---|
| Abbas et al. [28] | Oscillating plate | Caputo | Yes | No | No | Not reported |
| Abbas et al. [29] | Microchannel | Caputo–Fabrizio | Yes | No | Yes | Not reported |
| Endalew and Zhang [30] | Horizontal plate | Caputo | Yes | No | Yes | Yes |
| Present work | Tilted plate | Caputo | Yes | Yes | Yes | Yes |
| , MAE = , RMSE = , MaxErr = | |||
| 0.0 | 1.000000 | 1.000000 | 0.000000 |
| 1.0 | 0.278986 | 0.188993 | 0.089983 |
| 2.0 | 0.030372 | 0.035106 | 0.004734 |
| 4.0 | 0.000015 | 0.001159 | 0.001144 |
| 6.0 | 0.000000 | 0.000015 | 0.000015 |
| 8.0 | 0.000000 | 0.000000 | 0.000000 |
| , MAE = , RMSE = , MaxErr = | |||
| 0.0 | 1.000000 | 1.000000 | 0.000000 |
| 1.0 | 0.436499 | 0.271857 | 0.164642 |
| 2.0 | 0.119652 | 0.061388 | 0.058264 |
| 4.0 | 0.001855 | 0.002088 | 0.000233 |
| 6.0 | 0.000023 | 0.000047 | 0.000024 |
| 8.0 | 0.000000 | 0.000000 | 0.000000 |
| , MAE = , RMSE = , MaxErr = | |||
| 0.0 | 1.000000 | 1.000000 | 0.000000 |
| 1.0 | 0.512302 | 0.345261 | 0.167041 |
| 2.0 | 0.190021 | 0.084833 | 0.105188 |
| 4.0 | 0.008766 | 0.002398 | 0.006368 |
| 6.0 | 0.000084 | 0.000031 | 0.000053 |
| 8.0 | 0.000000 | 0.000000 | 0.000000 |
| , MAE = , RMSE = , MaxErr = | |||
| 0.0 | 1.000000 | 1.000000 | 0.000000 |
| 1.0 | 0.571459 | 0.437242 | 0.134217 |
| 2.0 | 0.257715 | 0.115226 | 0.142489 |
| 4.0 | 0.023598 | 0.002331 | 0.021267 |
| 6.0 | 0.000685 | 0.000011 | 0.000674 |
| 8.0 | 0.000006 | 0.000000 | 0.000006 |
| N | |||
|---|---|---|---|
| Truncation | Series Solution | Incremental Change | Error vs. Reference |
| 10 | 0.472318 | 1.8 | 4.0 |
| 15 | 0.489623 | 8.4 | 2.3 |
| 20 | 0.500156 | 3.5 | 1.2 |
| 25 | 0.506871 | 1.7 | 6.2 |
| 30 | 0.509824 | 8.5 | 3.3 |
| 35 | 0.511248 | 4.3 | 1.9 |
| 40 | 0.511962 | 2.1 | 9.8 |
| 45 | 0.512164 | 1.1 | 6.1 |
| 50 | 0.512277 | 5.6 | 3.3 |
| 55 | 0.512325 | 2.9 | 1.5 |
| 60 | 0.512341 | 1.6 | 0.0 |
| Pr | R | t | ||||||||||||
|---|---|---|---|---|---|---|---|---|---|---|---|---|---|---|
| 0.5 | 0.1 | 0.2 | 0.75 | 5 | 2 | 0.1 | 2 | 0.5 | 2 | 0.803 | – | – | ||
| 1 | 0.2 | 0.2 | 0.75 | 5 | 2 | 0.1 | 2 | 0.5 | 2 | 0.98875 | – | – | ||
| 0.5 | 0.1 | 0.2 | 0.75 | 5 | 2 | 0.1 | 2 | 0.5 | 2 | 0.803 | – | – | ||
| 0.5 | 0.2 | 0.2 | 0.75 | 5 | 2 | 0.1 | 2 | 0.5 | 2 | 0.74706 | – | – | ||
| 0.5 | 0.1 | 0.1 | 0.75 | 5 | 2 | 0.1 | 2 | 0.5 | 2 | 0.89367 | – | – | ||
| 0.5 | 0.1 | 0.2 | 0.75 | 5 | 2 | 0.1 | 2 | 0.5 | 2 | 0.803 | – | – | ||
| 0.5 | 0.1 | 0.2 | 0.75 | 5 | 2 | 0.1 | 2 | 0.5 | 2 | 0.803 | – | – | ||
| 0.5 | 0.1 | 0.2 | 0.75 | 5 | 2 | 0.1 | 2 | 0.5 | 2 | 0.7834 | – | – | ||
| 0.5 | 0.1 | 0.2 | 0.75 | 5 | 2 | 0.1 | 2 | 0.5 | 2 | 0.803 | – | – | ||
| 0.5 | 0.1 | 0.2 | 0.75 | 5 | 2 | 0.1 | 2 | 0.5 | 2 | 0.74158 | – | – | ||
| 0.5 | 0.1 | 0.2 | 0.5 | 5 | 2 | 0.1 | 2 | 0.5 | 2 | 0.78235 | 1.7037 | – | ||
| 0.5 | 0.1 | 0.2 | 0.95 | 5 | 2 | 0.1 | 2 | 0.5 | 2 | 0.73668 | 1.6351 | – | ||
| 0.5 | 0.1 | 0.2 | 0.75 | 5 | 2 | 0.1 | 2 | 0.5 | 2 | 0.76956 | 1.6557 | – | ||
| 0.5 | 0.1 | 0.2 | 0.75 | 10 | 2 | 0.1 | 2 | 0.5 | 2 | 0.77548 | 1.7504 | – | ||
| 0.5 | 0.1 | 0.2 | 0.75 | 5 | 2 | 0.1 | 2 | 0.5 | 2 | 0.76956 | 1.6557 | – | ||
| 0.5 | 0.1 | 0.2 | 0.75 | 5 | 4 | 0.1 | 2 | 0.5 | 2 | 0.87864 | 2.2353 | – | ||
| 0.5 | 0.1 | 0.2 | 0.75 | 5 | 2 | 0.1 | 2 | 0.5 | 2 | 0.76956 | – | 0.65597 | ||
| 0.5 | 0.1 | 0.2 | 0.75 | 5 | 2 | 0.15 | 2 | 0.5 | 2 | 0.73389 | – | 0.92768 | ||
| 0.5 | 0.1 | 0.2 | 0.75 | 5 | 2 | 0.1 | 2 | 0.5 | 2 | 0.76956 | – | 0.48047 | ||
| 0.5 | 0.1 | 0.2 | 0.75 | 5 | 2 | 0.1 | 4 | 0.5 | 2 | 0.88151 | – | 0.65597 | ||
| 0.5 | 0.1 | 0.2 | 0.75 | 5 | 2 | 0.1 | 2 | 0.5 | 2 | 0.76956 | 1.6557 | 0.49182 | ||
| 0.5 | 0.1 | 0.2 | 0.75 | 5 | 2 | 0.1 | 2 | 0.6 | 2 | 0.78993 | 1.6175 | 0.48047 | ||
| 0.5 | 0.1 | 0.2 | 0.75 | 5 | 2 | 0.1 | 2 | 0.5 | 2 | 0.803 | 1.6175 | 0.48047 | ||
| 0.5 | 0.1 | 0.2 | 0.75 | 5 | 2 | 0.1 | 2 | 0.5 | 3 | 0.8411 | 1.5933 | 0.47329 |
Disclaimer/Publisher’s Note: The statements, opinions and data contained in all publications are solely those of the individual author(s) and contributor(s) and not of MDPI and/or the editor(s). MDPI and/or the editor(s) disclaim responsibility for any injury to people or property resulting from any ideas, methods, instructions or products referred to in the content. |
© 2025 by the authors. Licensee MDPI, Basel, Switzerland. This article is an open access article distributed under the terms and conditions of the Creative Commons Attribution (CC BY) license (https://creativecommons.org/licenses/by/4.0/).
Share and Cite
Endalew, M.F.; Zhang, X.J. Effect of Magnetic Field Inclination on Radiative MHD Casson Fluid Flow over a Tilted Plate in a Porous Medium Using a Caputo Fractional Model. Fractal Fract. 2025, 9, 809. https://doi.org/10.3390/fractalfract9120809
Endalew MF, Zhang XJ. Effect of Magnetic Field Inclination on Radiative MHD Casson Fluid Flow over a Tilted Plate in a Porous Medium Using a Caputo Fractional Model. Fractal and Fractional. 2025; 9(12):809. https://doi.org/10.3390/fractalfract9120809
Chicago/Turabian StyleEndalew, Mehari Fentahun, and Xiaoming John Zhang. 2025. "Effect of Magnetic Field Inclination on Radiative MHD Casson Fluid Flow over a Tilted Plate in a Porous Medium Using a Caputo Fractional Model" Fractal and Fractional 9, no. 12: 809. https://doi.org/10.3390/fractalfract9120809
APA StyleEndalew, M. F., & Zhang, X. J. (2025). Effect of Magnetic Field Inclination on Radiative MHD Casson Fluid Flow over a Tilted Plate in a Porous Medium Using a Caputo Fractional Model. Fractal and Fractional, 9(12), 809. https://doi.org/10.3390/fractalfract9120809

