Sign in to use this feature.

Years

Between: -

Subjects

remove_circle_outline
remove_circle_outline
remove_circle_outline
remove_circle_outline
remove_circle_outline
remove_circle_outline
remove_circle_outline
remove_circle_outline
remove_circle_outline

Journals

remove_circle_outline
remove_circle_outline
remove_circle_outline
remove_circle_outline
remove_circle_outline
remove_circle_outline

Article Types

Countries / Regions

remove_circle_outline
remove_circle_outline
remove_circle_outline
remove_circle_outline
remove_circle_outline

Search Results (532)

Search Parameters:
Keywords = degradation velocity

Order results
Result details
Results per page
Select all
Export citation of selected articles as:
22 pages, 3044 KB  
Article
Modelling Dynamic Parameter Effects in Designing Robust Stability Control Systems for Self-Balancing Electric Segway on Irregular Stochastic Terrains
by Desejo Filipeson Sozinando, Bernard Xavier Tchomeni and Alfayo Anyika Alugongo
Physics 2025, 7(4), 46; https://doi.org/10.3390/physics7040046 (registering DOI) - 10 Oct 2025
Abstract
In this study, a nonlinear dynamic model is developed to examine the stability and vibration behavior of a self-balancing electric Segway operating over irregular stochastic terrains. The Segway is treated as a three-degrees-of-freedom cart–inverted pendulum system, incorporating elastic and damping effects at the [...] Read more.
In this study, a nonlinear dynamic model is developed to examine the stability and vibration behavior of a self-balancing electric Segway operating over irregular stochastic terrains. The Segway is treated as a three-degrees-of-freedom cart–inverted pendulum system, incorporating elastic and damping effects at the wheel–ground interface. Road irregularities are generated in accordance with international standard using high-order filtered noise, allowing for representation of surface classes from smooth to highly degraded. The governing equations, formulated via Lagrange’s method, are transformed into a Lorenz-like state-space form for nonlinear analysis. Numerical simulations employ the fourth-order Runge–Kutta scheme to compute translational and angular responses under varying speeds and terrain conditions. Frequency-domain analysis using Fast Fourier Transform (FFT) identifies resonant excitation bands linked to road spectral content, while Kernel Density Estimation (KDE) maps the probability distribution of displacement states to distinguish stable from variable regimes. The Lyapunov stability assessment and bifurcation analysis reveal critical velocity thresholds and parameter regions marking transitions from stable operation to chaotic motion. The study quantifies the influence of the gravity–damping ratio, mass–damping coupling, control torque ratio, and vertical excitation on dynamic stability. The results provide a methodology for designing stability control systems that ensure safe and comfortable Segway operation across diverse terrains. Full article
(This article belongs to the Section Applied Physics)
18 pages, 7245 KB  
Article
Simulation Study of the Effect of Multi-Angle ATI-SAR on Sea Surface Current Retrieval Accuracy
by Jiabao Chen, Xiangying Miao, Yong Wan, Jiahui Zhang and Hongli Miao
Remote Sens. 2025, 17(19), 3383; https://doi.org/10.3390/rs17193383 - 8 Oct 2025
Abstract
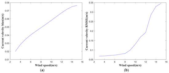
This study investigates the effects of multi-angle along-track interferometric synthetic aperture radar (ATI-SAR) observations on the accuracy of sea surface current retrieval. Utilizing a high-fidelity, full-link SAR ocean simulator, this study systematically assesses the influence of three key factors—the angle between observation directions, [...] Read more.
This study investigates the effects of multi-angle along-track interferometric synthetic aperture radar (ATI-SAR) observations on the accuracy of sea surface current retrieval. Utilizing a high-fidelity, full-link SAR ocean simulator, this study systematically assesses the influence of three key factors—the angle between observation directions, the relative orientation of wind and current, and wind speed—on the precision of two-dimensional (2D) current vector retrievals. Results demonstrate that observation geometry is a dominant factor: retrieval errors are minimized when the two viewing directions are near-orthogonal (~90°), while near-parallel (0° or 180°) geometries result in significant error amplification. Furthermore, the angle between wind and current introduces complex, non-linear error characteristics, with a perpendicular alignment minimizing velocity error but maximizing direction error. Higher wind speeds are found to degrade both velocity and direction retrieval accuracy. Collectively, these findings provide crucial quantitative guidance for optimizing the mission design, observation planning, and algorithm development for future multi-angle ATI-SAR satellite constellations dedicated to ocean current monitoring. Full article
Show Figures

Figure 1

20 pages, 6294 KB  
Article
Corrosion Inhibition in Concrete: Synergistic Performance of Hybrid Steel-Polypropylene Fiber Reinforcement Against Marine Salt Spray
by Jianqiao Yu, Jamal A. Abdalla, Rami A. Hawileh, Xiaoyue Zhang and Zhigang Zhang
Polymers 2025, 17(19), 2645; https://doi.org/10.3390/polym17192645 - 30 Sep 2025
Viewed by 248
Abstract
In the marine salt spray environment, steel fiber reinforced concrete (SFRC) structures are often subjected to accelerated durability degradation, primarily due to chloride-induced corrosion. To address this issue, polypropylene (PP) fibers were incorporated to partially replace steel fibers in the formulation of hybrid [...] Read more.
In the marine salt spray environment, steel fiber reinforced concrete (SFRC) structures are often subjected to accelerated durability degradation, primarily due to chloride-induced corrosion. To address this issue, polypropylene (PP) fibers were incorporated to partially replace steel fibers in the formulation of hybrid fiber reinforced concrete (HFRC), thereby enhancing its resistance to chloride corrosion. The results demonstrate that all HFRC mixtures achieved a compressive strength of approximately 65 MPa at 28 d. After 200 d of salt spray exposure, the compressive strength of the HFRC containing PP fibers decreased at a significantly slower rate than that of the control group (M0) incorporating sole steel fibers, with the former still meeting the high-strength concrete standard (>60 MPa). Regardless of the exposure duration to salt spray, the wave velocity of the HF series remained higher than that of M0. This suggests that the PP fibers play a significant role in preserving the matrix’s compactness, effectively mitigating deterioration caused by chloride corrosion. Furthermore, after 200 d of exposure, the peak chloride content, critical corrosion depth, and chloride diffusion coefficient of HF2 were 0.58%, 16 mm, and 1.24 × 10−12 m2/s, respectively, all of which were lower than those of the other specimens. This demonstrates that incorporating 0.3 vol% PP fibers most effectively enhances the chloride corrosion resistance of HFRC. Full article
(This article belongs to the Special Issue Fiber-Reinforced Polymer Composites: Progress and Prospects)
Show Figures

Figure 1

23 pages, 8283 KB  
Article
Research on Deterioration Characteristics of Tuffaceous Sandstone Under Acidic Wet–Dry Cycles
by Dunwen Liu, Mengzhao Wang, Chengtao Yang and Xiaofei Sun
Appl. Sci. 2025, 15(19), 10465; https://doi.org/10.3390/app151910465 - 26 Sep 2025
Viewed by 197
Abstract
Conducted against the background of a highway project in Zhuji, Zhejiang Province, this study investigates the deterioration behavior of tuffaceous sandstone under the combined action of acid rain and wet–dry cycles. Laboratory experiments were carried out to explore its mechanical properties and damage [...] Read more.
Conducted against the background of a highway project in Zhuji, Zhejiang Province, this study investigates the deterioration behavior of tuffaceous sandstone under the combined action of acid rain and wet–dry cycles. Laboratory experiments were carried out to explore its mechanical properties and damage evolution mechanisms. Standard specimens prepared from field rock samples were subjected to wet–dry cycles using an acidic solution with pH ≈ 5.0. By integrating uniaxial compression, Brazilian splitting, ultrasonic wave monitoring, and acoustic emission techniques, a systematic analysis was carried out to evaluate the degradation of mechanical parameters, the evolution of wave velocity, and the underlying damage and failure mechanisms. The results indicate the following: (1) With the increase in the number of acidic dry–wet cycles, the compressive and tensile strengths of tuffaceous sandstone decrease significantly; the deterioration rate first decreases and then increases, with 150 cycles identified as the critical threshold for strength deterioration, beyond which the material enters a stage of rapid degradation. (2) The evolution of ultrasonic wave velocity shows a significant negative correlation with strength deterioration, and the attenuation rate of wave velocity exhibits a consistent trend with the number of cycles as that of strength deterioration. (3) Acoustic emission RA-AF analysis reveals that tensile cracks in tuffaceous sandstone gradually decrease while shear cracks slowly increase, with cracks primarily developing along the weakly cemented tuffaceous areas. (4) This study established fitting formulas for the deterioration of compressive and tensile strengths with the number of cycles, as well as a damage calculation formula based on changes in wave velocity. (5) This study provides practical support for mitigating natural disasters, such as slope instability, induced by this type of combined weathering. Full article
Show Figures

Figure 1

23 pages, 23760 KB  
Article
Optimization of Inlet Flow Pattern and Performance Enhancement in Oil-Gas Multiphase Pumps Using Helical Static Mixer
by Wei Han, Lingrui Zhu, Longlong Zhao, Huiyu Chen, Hongfa Huang, Wanquan Deng and Lei Ji
Actuators 2025, 14(10), 469; https://doi.org/10.3390/act14100469 - 26 Sep 2025
Viewed by 201
Abstract
With increasing global energy demand and depletion of onshore oil–gas resources, deep-sea hydrocarbon exploration and development have become strategically vital. As core subsea transportation equipment, the performance of helico-axial multiphase pumps directly determines the efficiency and economic feasibility of deep-sea extraction. However, non-uniform [...] Read more.
With increasing global energy demand and depletion of onshore oil–gas resources, deep-sea hydrocarbon exploration and development have become strategically vital. As core subsea transportation equipment, the performance of helico-axial multiphase pumps directly determines the efficiency and economic feasibility of deep-sea extraction. However, non-uniform inflow patterns caused by uneven gas–liquid distribution in pipelines degrade pressure-boosting capability and reduce pump efficiency under actual operating conditions. To address this, an optimization method employing helical static mixers was developed. A mixer with a 180° helical angle was designed and installed upstream of the pump inlet. Numerical simulations demonstrate that the mixer enhances gas-phase distribution uniformity in stratified flow, improving efficiency and head across varying gas void fractions (GVFs). At a stratification height ratio (Ψ) of 0.32, efficiency increased by 15.41% and head rose by 15.64 m, while turbulent kinetic energy (TKE) at the impeller outlet decreased by up to 50%. For slug flow conditions, the mixer effectively suppressed gas volume fraction fluctuations, consistently improving efficiency under different slug flow coefficients (φ) with a maximum head increase of 9.82%. The optimized flow field exhibits uniform gas–liquid velocity distribution, stable pressure boosting, and significantly reduced TKE intensity within impeller passages. Full article
Show Figures

Figure 1

27 pages, 9537 KB  
Article
Preserving the Past: Analyzing Structural Damage, Policy Implementation, and Conservation Efforts for 19th-Century Heritage Buildings in Peunayong, Aceh
by Muftiadi, Muttaqin Hasan, Cut Dewi and Mirza Irwansyah
Sustainability 2025, 17(19), 8594; https://doi.org/10.3390/su17198594 - 24 Sep 2025
Viewed by 302
Abstract
The conservation of 19th-century heritage shophouses in Peunayong, Banda Aceh, illustrates a global challenge where material deterioration, structural decline, and weak governance intersect. Previous studies often examined these dimensions separately—focusing on architectural authenticity, structural safety, or heritage policy—but rarely in an integrated manner. [...] Read more.
The conservation of 19th-century heritage shophouses in Peunayong, Banda Aceh, illustrates a global challenge where material deterioration, structural decline, and weak governance intersect. Previous studies often examined these dimensions separately—focusing on architectural authenticity, structural safety, or heritage policy—but rarely in an integrated manner. This study addresses that gap by combining facade condition surveys, non-destructive structural testing, and policy analysis to evaluate the state and future of Peunayong’s historic shophouses. Fieldwork on 45 buildings employed visual documentation, interviews, questionnaires, and Schmidt Hammer and Ultrasonic Pulse Velocity (UPV) tests. The visual observation was measured using a Likert scale. Results show that 62.3% of shophouses experienced severe facade damage, primarily due to unregulated renovations erasing historical features. Windows, ornaments, and fascia boards were among the most degraded. Structural tests revealed that while some shophouses retained safe load-bearing capacity, others showed critical weaknesses below safety thresholds. Policy analysis highlighted an implementation deficit: despite recognition of Peunayong in urban spatial plans, the buildings remain unregistered as cultural heritage, leaving them unprotected and subject to uncontrolled alterations. Currently, 55.6% retain original facade features, while 44.4% have been modified. By framing conservation as a triple crisis of authenticity loss, structural vulnerability, and policy failure, this study contributes methodological and empirical insights to heritage debates, advocating for enforceable regulations, technical monitoring, and community-supported conservation. Full article
(This article belongs to the Collection Sustainable Conservation of Urban and Cultural Heritage)
Show Figures

Figure 1

21 pages, 5589 KB  
Article
Thermal and Fluid Flow Performance Optimization of a Multi-Fin Multi-Channel Cooling System for PEMFC Using CFD and Experimental Validation
by Fitri Adi Iskandarianto, Djatmiko Ichsani and Fadlilatul Taufany
Energies 2025, 18(19), 5048; https://doi.org/10.3390/en18195048 - 23 Sep 2025
Viewed by 272
Abstract
Efficient thermal management is critical for sustaining the performance and durability of Proton Exchange Membrane Fuel Cells (PEMFCs), where excessive operating temperatures accelerate material degradation and reduce power output. Previous studies have explored various cooling channel designs; however, limited research integrates zigzag multi-fin [...] Read more.
Efficient thermal management is critical for sustaining the performance and durability of Proton Exchange Membrane Fuel Cells (PEMFCs), where excessive operating temperatures accelerate material degradation and reduce power output. Previous studies have explored various cooling channel designs; however, limited research integrates zigzag multi-fin geometries with both computational and experimental validation for fin width optimization under high-velocity cooling. This study presents a combined Computational Fluid Dynamics (CFD) simulation using ANSYS Fluent and experimental investigation of a multi-fin multi-channel cooling system for PEMFCs. The effects of fin widths (0.3–1.0 mm), inlet flow velocities (0.6–3.0 m/s), and cooling media (air, 20% ethylene glycol (EG) solution) were analyzed with respect to cathode surface temperature, power density, and cooling efficiency. Results show that a 0.3 mm fin width with 3.0 m/s inlet velocity reduced the cathode temperature by ~13 K and increased power density by ~40%. The optimized zigzag configuration improved heat transfer uniformity, achieving cooling efficiencies up to 67.0%. Experimental validation confirmed the CFD results with less than 3% deviation. The findings highlight the potential of optimized multi-fin designs to enhance PEMFC thermal stability and electrical output, offering a practical approach for advanced fuel cell thermal management systems. Full article
(This article belongs to the Special Issue Proton-Exchange Membrane (PEM) Fuel Cells and Water Electrolysis)
Show Figures

Figure 1

32 pages, 10740 KB  
Article
Hydraulic Electromechanical Regenerative Damper in Vehicle–Track Dynamics: Power Regeneration and Wheel Wear for High-Speed Train
by Zifei He, Ruichen Wang, Zhonghui Yin, Tengchi Sun and Haotian Lyu
Lubricants 2025, 13(9), 424; https://doi.org/10.3390/lubricants13090424 - 22 Sep 2025
Viewed by 421
Abstract
A physics-based vehicle–track coupled dynamic model embedding a hydraulic electromechanical regenerative damper (HERD) is developed to quantify electrical power recovery and wear depth in high-speed service. The HERD subsystem resolves compressible hydraulics, hydraulic rectification, line losses, a hydraulic motor with a permanent-magnet generator, [...] Read more.
A physics-based vehicle–track coupled dynamic model embedding a hydraulic electromechanical regenerative damper (HERD) is developed to quantify electrical power recovery and wear depth in high-speed service. The HERD subsystem resolves compressible hydraulics, hydraulic rectification, line losses, a hydraulic motor with a permanent-magnet generator, an accumulator, and a controllable; co-simulation links SIMPACK with MATLAB/Simulink. Wheel–rail contact is computed with Hertz theory and FASTSIM, and wear depth is advanced with the Archard law using a pressure–velocity coefficient map. Both HERD power regeneration and wear depth predictions have been validated against independent measurements of regenerated power and wear degradation in previous studies. Parametric studies over speed, curve radius, mileage and braking show that increasing speed raises input and output power while recovery efficiency remains 49–50%, with instantaneous electrical peaks up to 425 W and weak sensitivity to curvature and mileage. Under braking from 350 to 150 km/h, force transients are bounded and do not change the lateral wear pattern. Installing HERD lowers peak wear in the wheel tread region; combining HERD with flexible wheelsets further reduces wear depth and slows down degradation relative to rigid wheelsets and matches measured wear more closely. The HERD electrical load provides a physically grounded tuning parameter that sets hydraulic back pressure and effective damping, which improves model accuracy and supports calibration and updating of digital twins for maintenance planning. Full article
(This article belongs to the Special Issue Tribological Challenges in Wheel-Rail Contact)
Show Figures

Figure 1

25 pages, 9610 KB  
Article
Numerical Study of Heat Transfer and Performance in a Hydrogen-Fueled Micro-Combustor with Gyroid, Lidinoid, and Neovius Structures for Thermophotovoltaic Applications
by Faisal Almutairi
Appl. Sci. 2025, 15(18), 10199; https://doi.org/10.3390/app151810199 - 18 Sep 2025
Viewed by 356
Abstract
This work evaluates a hydrogen-fueled planar micro-combustor featuring three triply periodic minimal surface (TPMS) structures, namely, gyroid, lidinoid, and Neovius matrix lattices, aiming to advance heat transfer processes and enhance system efficiency in micro-thermophotovoltaic (MTPV) applications. Through three-dimensional numerical investigations, a series of [...] Read more.
This work evaluates a hydrogen-fueled planar micro-combustor featuring three triply periodic minimal surface (TPMS) structures, namely, gyroid, lidinoid, and Neovius matrix lattices, aiming to advance heat transfer processes and enhance system efficiency in micro-thermophotovoltaic (MTPV) applications. Through three-dimensional numerical investigations, a series of simulations are conducted under varying TPMS lengths, inlet volume flow rate, and inlet equivalence ratios to optimize the design and operating conditions. The outcomes reveal that increasing the length of the TPMS structures is an effective means of improving heat transfer from the combustion zone to the walls, as indicated by significant increases in both mean wall temperature and radiation efficiency. However, longer internal structures reduce the uniformity of wall temperature and slightly increase entropy generation. Of the three topologies, the Neovius lattice demonstrates superior performance in all length scales, exhibiting a marginal improvement over the gyroid and a substantially greater advantage over the lidinoid structure. Increasing the inlet volume flow rate enhances wall temperature and its uniformity; however, the performance parameters decrease for all structures, indicating a limitation of the micro-combustor in benefiting from higher input power. Notably, the gyroid structure shows a lower rate of performance degradation at higher velocities, making it a potentially ideal design under such conditions. Finally, varying the equivalence ratio identifies the stoichiometric condition as optimal, yielding superior performance metrics compared to both lean and rich mixtures. Full article
(This article belongs to the Special Issue Recent Research on Heat and Mass Transfer)
Show Figures

Figure 1

14 pages, 3326 KB  
Article
Experimental Study on the Flow Regime Evolution of Stiff Shotcrete Materials in Pneumatic Conveying
by Zhi Zhou, Zhiwei Shi and Zhenjiao Sun
Buildings 2025, 15(18), 3389; https://doi.org/10.3390/buildings15183389 - 18 Sep 2025
Viewed by 299
Abstract
Pneumatic conveying of stiff shotcrete material plays a crucial role in mine support; however, the flow regime evolution mechanism of its complex multi-scale particle system during conveying remains insufficiently studied. This study establishes a customized pneumatic conveying experimental platform, integrating a high-speed camera [...] Read more.
Pneumatic conveying of stiff shotcrete material plays a crucial role in mine support; however, the flow regime evolution mechanism of its complex multi-scale particle system during conveying remains insufficiently studied. This study establishes a customized pneumatic conveying experimental platform, integrating a high-speed camera and pressure sensors to systematically investigate the flow regime evolution and characteristics of stiff shotcrete material under different operating parameters. Experimental results indicate that air velocity and water–cement ratio significantly influence flow regime evolution: at low air velocities, the material primarily exhibits dune flow and stratified flow. As the air velocity increases to 475 m3/h, the flow regime gradually transitions to suspended flow. An increase in the water–cement ratio significantly enhances liquid bridge forces between particles, intensifying particle agglomeration and making the bottom-layer flow characteristics more pronounced. Additionally, pipe diameter plays a crucial role in flow regime distribution, with suspended flow dominating in smaller pipes and bottom-layer flow becoming more prominent in larger pipes. In the downstream section of the elbow, the abrupt decrease in airflow velocity causes the flow regime to degrade from suspended flow to bottom-layer flow, leading to significant particle deposition. This study reveals the flow regime evolution patterns of stiff shotcrete material in pneumatic conveying, providing essential experimental evidence and theoretical support for optimizing long-distance pneumatic conveying systems in mine support applications. Full article
Show Figures

Figure 1

21 pages, 18282 KB  
Article
Deep Learning and Optical Flow for River Velocity Estimation: Insights from a Field Case Study
by Walter Chen, Kieu Anh Nguyen and Bor-Shiun Lin
Sustainability 2025, 17(18), 8181; https://doi.org/10.3390/su17188181 - 11 Sep 2025
Cited by 1 | Viewed by 614
Abstract
Accurate river flow velocity estimation is critical for flood risk management and sediment transport modeling. This study proposes an artificial intelligence (AI)-based framework that integrates optical flow analysis and deep learning to estimate flow velocity from charge-coupled device (CCD) camera videos. The approach [...] Read more.
Accurate river flow velocity estimation is critical for flood risk management and sediment transport modeling. This study proposes an artificial intelligence (AI)-based framework that integrates optical flow analysis and deep learning to estimate flow velocity from charge-coupled device (CCD) camera videos. The approach was tested on a field dataset from Yufeng No. 2 stream (torrent), consisting of 3263 ten min 4 K videos recorded over two months, paired with Doppler radar measurements as the ground truth. Video preprocessing included frame resizing to 224 × 224 pixels, day/night classification, and exclusion of sequences with missing frames. Two deep learning architectures—a convolutional neural network combined with long short-term memory (CNN+LSTM) and a three-dimensional convolutional neural network (3D CNN)—were evaluated under different input configurations: red–green–blue (RGB) frames, optical flow, and combined RGB with optical flow. Performance was assessed using Nash–Sutcliffe Efficiency (NSE) and the index of agreement (d statistic). Results show that optical flow combined with a 3D CNN achieved the best accuracy (NSE > 0.5), outperforming CNN+LSTM and RGB-based inputs. Increasing the training set beyond approximately 100 videos provided no significant improvement, while nighttime videos degraded performance due to poor image quality and frame loss. These findings highlight the potential of combining optical flow and deep learning for cost-effective and scalable flow monitoring in small rivers. Future work will address nighttime video enhancement, broader velocity ranges, and real-time implementation. By improving the timeliness and accuracy of river flow monitoring, the proposed approach supports early warning systems, flood risk reduction, and sustainable water resource management. When integrated with turbidity measurements, it enables more accurate estimation of sediment loads transported into downstream reservoirs, helping to predict siltation rates and safeguard long-term water supply capacity. These outcomes contribute to the Sustainable Development Goals, particularly SDG 6 (Clean Water and Sanitation), SDG 11 (Sustainable Cities and Communities), and SDG 13 (Climate Action), by enhancing disaster preparedness, protecting communities, and promoting climate-resilient water management practices. Full article
(This article belongs to the Special Issue Watershed Hydrology and Sustainable Water Environments)
Show Figures

Figure 1

14 pages, 1761 KB  
Article
Applying a Hydrodynamic Model to Determine the Fate and Transport of Macroplastics Released Along the West Africa Coastal Area
by Laura Corbari, Fulvio Capodici, Giuseppe Ciraolo, Giulio Ceriola and Antonello Aiello
Water 2025, 17(18), 2658; https://doi.org/10.3390/w17182658 - 9 Sep 2025
Viewed by 745
Abstract
Marine plastic pollution has become a critical transboundary environmental issue, particularly affecting coastal regions with insufficient waste management infrastructure. This study applies a modified Lagrangian hydrodynamic model, TrackMPD v.1, to simulate the movement and accumulation of macroplastics in the West Africa Coastal Area. [...] Read more.
Marine plastic pollution has become a critical transboundary environmental issue, particularly affecting coastal regions with insufficient waste management infrastructure. This study applies a modified Lagrangian hydrodynamic model, TrackMPD v.1, to simulate the movement and accumulation of macroplastics in the West Africa Coastal Area. The research investigates three case studies: (1) the Liberia–Gulf of Guinea region, (2) the Mauritania–Gulf of Guinea coastal stretch, (3) the Cape Verde, Mauritania, and Senegal regions. Using both forward and backward simulations, macroplastics’ trajectories were tracked to identify key sources and accumulation hotspots. The findings highlight the cross-border nature of marine litter, with plastic debris transported far from its source due to ocean currents. The Gulf of Guinea emerges as a major accumulation zone, heavily impacted by plastic pollution originating from West African rivers. Interesting connections were found between velocities and directions of the plastic debris and some of the characteristics of the West African Monson climatic system (WAM) that dominates the area. Backward modelling reveals that macroplastics beached in Cape Verde largely originate from the Arguin Basin (Mauritania), an area influenced by fishing activities and offshore oil and gas operations. Results are visualized through point tracking, density, and beaching maps, providing insights into plastic distribution and accumulation patterns. The study underscores the need for regional cooperation and integrated monitoring approaches, including remote sensing and in situ surveys, to enhance mitigation strategies. Future work will explore 3D simulations, incorporating degradation processes, biofouling, and sinking dynamics to improve the representation of plastic behaviour in marine environments. This research is conducted within the Global Development Assistance (GDA) Agile Information Development (AID) Marine Environment and Blue Economy initiative, funded by the European Space Agency (ESA) in collaboration with the Asian. Development Bank and the World Bank. The outcomes provide actionable insights for policymakers, researchers, and environmental managers aiming to combat marine plastic pollution and safeguard marine biodiversity. Full article
(This article belongs to the Section Hydraulics and Hydrodynamics)
Show Figures

Figure 1

19 pages, 5858 KB  
Article
An Improved Extended Wavenumber Domain Imaging Algorithm for Ultra-High-Resolution Spotlight SAR
by Gui Wang, Yao Gao and Weidong Yu
Sensors 2025, 25(17), 5599; https://doi.org/10.3390/s25175599 - 8 Sep 2025
Viewed by 664
Abstract
Ultra-high-resolution synthetic aperture radar (SAR) has important applications in military and civilian fields. However, the acquisition of high-resolution SAR imagery poses considerable processing challenges, including limitations in traditional slant range model precision, the spatial variation in equivalent velocity, spectral aliasing, and non-negligible error [...] Read more.
Ultra-high-resolution synthetic aperture radar (SAR) has important applications in military and civilian fields. However, the acquisition of high-resolution SAR imagery poses considerable processing challenges, including limitations in traditional slant range model precision, the spatial variation in equivalent velocity, spectral aliasing, and non-negligible error introduced by stop-and-go assumption. To this end, this paper proposes an improved extended wavenumber domain imaging algorithm for ultra-high-resolution SAR to systematically address the imaging quality degradation caused by these challenges. In the proposed algorithm, the one-step motion compensation method is employed to compensate for the errors caused by orbital curvature through range-dependent envelope shift interpolation and phase function correction. Then, the interpolation based on modified Stolt mapping is performed, thereby facilitating effective separation of the range and azimuth focusing. Finally, the residual range cell migration correction is applied to eliminate range position errors, followed by azimuth compression to achieve high-precision focusing. Both simulation and spaceborne data experiments are performed to verify the effectiveness of the proposed algorithm. Full article
Show Figures

Figure 1

19 pages, 6638 KB  
Article
High-Temperature Degradation of Throttling Performance in While-Drilling Jars Induced by Thermal Expansion and Fluid Rheology
by Zhaoyang Zhao, Zhanghua Lian, Hao Yu, Wei Sun, Senyan Liu, Zhiyong Wan and Jiachang Nie
Machines 2025, 13(9), 824; https://doi.org/10.3390/machines13090824 - 7 Sep 2025
Viewed by 417
Abstract
During deep and ultra-deep well drilling operations, the throttling performance of the hydraulic-while-drilling jar is significantly affected by the combined influence of temperature-induced differential thermal expansion among components and changes in the rheological properties of hydraulic oil. These effects often lead to unstable [...] Read more.
During deep and ultra-deep well drilling operations, the throttling performance of the hydraulic-while-drilling jar is significantly affected by the combined influence of temperature-induced differential thermal expansion among components and changes in the rheological properties of hydraulic oil. These effects often lead to unstable jarring behavior or even complete failure to trigger jarring during stuck pipe events. Here, we propose a high-temperature degradation evaluation model for the throttling performance of the throttle valve in an HWD jar based on thermal expansion testing of individual components and high-temperature rheological experiments of hydraulic oil. By using the variation characteristics of the throttling passage geometry as a linkage, this model integrates the thermo-mechanical coupling of the valve body with flow field simulation. Numerical results reveal that fluid pressure decreases progressively along the flow path through the throttle valve, while flow velocity increases sharply at the channel entrance and exhibits mild fluctuations within the throttling region. Under fluid compression, the throttling areas of both the upper and lower valves expand to some extent, with their spatial distributions closely following the pressure gradient and decreasing gradually along the flow direction. Compared with ambient conditions, thermal expansion under elevated temperatures causes a more pronounced increase in throttling area. Additionally, as hydraulic oil viscosity decreases with increasing temperature, flow velocities and mass flow rates rise significantly, leading to a marked deterioration in the throttling performance of the drilling jar under high-temperature downhole conditions. Full article
(This article belongs to the Section Machine Design and Theory)
Show Figures

Figure 1

22 pages, 30478 KB  
Article
Influence of Multiaxial Loading and Temperature on the Fatigue Behaviour of 2D Braided Thick-Walled Composite Structures
by Tim Luplow, Jonas Drummer, Richard Protz, Linus Littner, Eckart Kunze, Sebastian Heimbs, Bodo Fiedler, Maik Gude and Marc Kreutzbruck
J. Compos. Sci. 2025, 9(9), 481; https://doi.org/10.3390/jcs9090481 - 4 Sep 2025
Viewed by 650
Abstract
While size effects in composite structures have been widely studied under quasi-static uniaxial loading, their influence under fatigue conditions, particularly in the presence of multiaxial stress states and elevated temperatures, remains insufficiently understood. This study investigates the fatigue behaviour of thick-walled [...] Read more.
While size effects in composite structures have been widely studied under quasi-static uniaxial loading, their influence under fatigue conditions, particularly in the presence of multiaxial stress states and elevated temperatures, remains insufficiently understood. This study investigates the fatigue behaviour of thick-walled ±45 braided glass fibre-reinforced polyurethane composite box structures under varying temperature and loading conditions. A combined experimental approach is adopted, coupling quasi-static and fatigue tests on large-scale structures with reference data from standardised coupon specimens. The influence of temperature (23–80 °C) and multiaxial shear–compression loading is systematically evaluated. The results demonstrate a significant temperature-dependent decrease in compressive strength and fatigue life, with a linear degradation trend that aligns closely between the box structure and coupon data. Under moderate multiaxial conditions, the fatigue life of box structures is not significantly impaired compared to uniaxial test coupon specimens. Complementary non-destructive testing using air-coupled ultrasound confirms these trends, demonstrating that guided-wave phase-velocity measurements capture the evolution of anisotropic damage and are therefore suitable for in situ structural health monitoring applications. Furthermore, these findings highlight that (i) the temperature-dependent fatigue behaviour of thick-walled composites can be predicted using small-scale coupon data and (ii) small shear components have a limited impact on fatigue life within the studied loading regime. Full article
(This article belongs to the Section Fiber Composites)
Show Figures

Graphical abstract

Back to TopTop