An Improved Extended Wavenumber Domain Imaging Algorithm for Ultra-High-Resolution Spotlight SAR
Abstract
1. Introduction
2. Imaging Model
2.1. SAR Geometry
2.2. Slant Range Model
2.3. SAR Echo Model
3. Proposed Imaging Algorithm
- Range compression. It is achieved by applying a matched filter to the transmitted signal, which compresses the echo signal in the time domain.
- One-step MOCO and atmospheric error compensation. This process employs phase function compensation along with range-dependent envelope migration interpolation to simultaneously address nonlinear slant-range variations resulting from the satellite’s curved trajectory, while also accounting for phase errors induced by atmospheric delays, as modeled by atmospheric error models.
- Upsampling by using TSA. To address the azimuth aliasing issue caused by the large Doppler bandwidth, TSA is performed to obtain unaliasing signal in azimuth with high efficiency.
- Stop-and-go effect correction. Errors introduced by the stop-and-go approximation are corrected to enhance the focusing quality.
- Bulk compression and modified Stolt mapping. The modified Stolt mapping is applied to achieve the decoupling of range and azimuth.
- Residual RCMC. Residual RCMC is performed using interpolation in the range-Doppler (RD) domain to correct the residual range migration errors caused by the variation in equivalent velocity with range.
- Azimuth compression. The final azimuth compression is performed by considering the variation in equivalent velocity with range.
3.1. Range Compression
3.2. One-Step MOCO and Atmospheric Error Compensation
3.3. Upsampling by Using TSA
3.4. Stop-and-Go Effect Correction
3.5. Bulk Compression and Modified Stolt Mapping
3.6. Residual RCMC
3.7. Azimuth Compression
4. Experiments
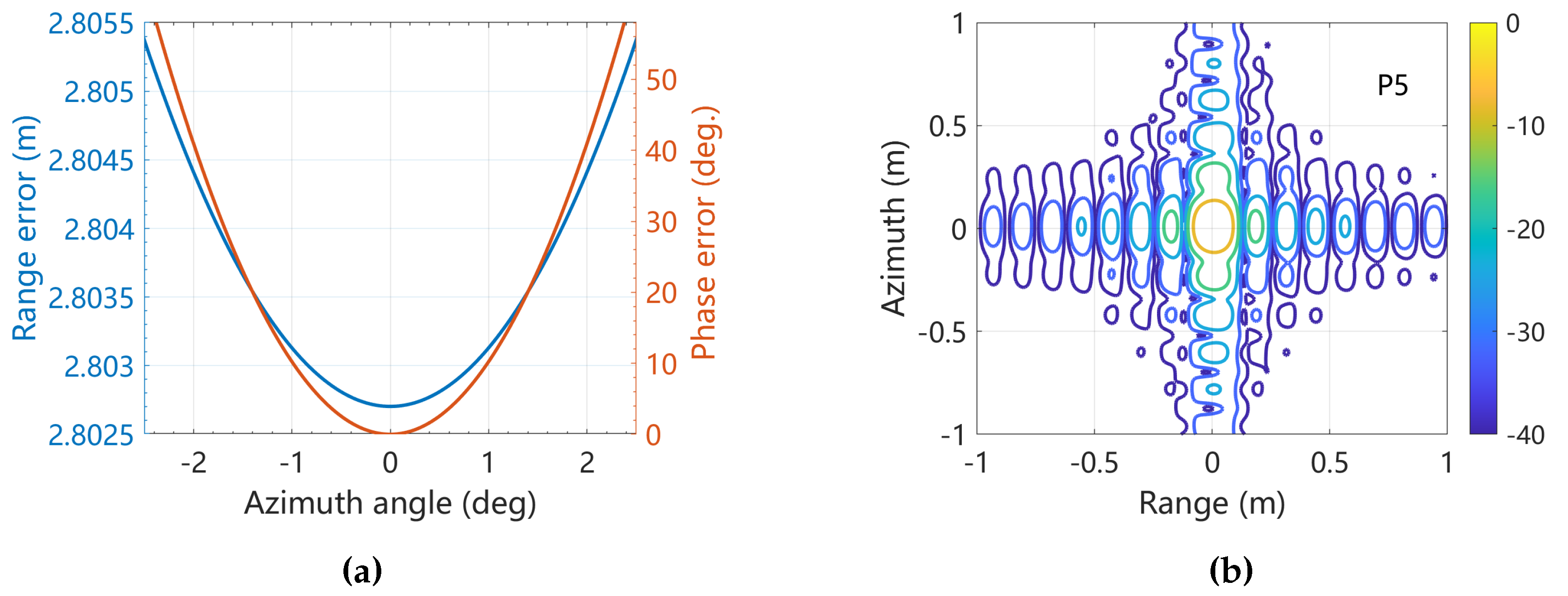
4.1. Simulation Experiment
4.2. Spaceborne SAR Data Experiment
5. Discussion
6. Conclusions
Author Contributions
Funding
Institutional Review Board Statement
Informed Consent Statement
Data Availability Statement
Conflicts of Interest
Abbreviations
| CFBP | cartesian decomposition backprojection |
| DEM | digital elevation model |
| EWKA | extended wavenumber domain algorithm |
| FFT | fast Fourier transform |
| IFFT | inverse fast Fourier transform |
| HRM | hyperbolic range model |
| IRW | impulse response width |
| ISLR | integrated sidelobe ratio |
| MOCO | motion compensation |
| PRF | pulse repetition frequency |
| PSLR | peak sidelobe ratio |
| RCMC | range cell migration correction |
| RD | range-Doppler |
| SAR | synthetic aperture radar |
| TSA | two-step approach |
References
- Moreira, A.; Prats-Iraola, P.; Younis, M.; Krieger, G.; Hajnsek, I.; Papathanassiou, K.P. A Tutorial on Synthetic Aperture Radar. IEEE Geosci. Remote Sens. Mag. 2013, 1, 6–43. [Google Scholar] [CrossRef]
- Cruz, H.; Véstias, M.; Monteiro, J.; Neto, H.; Duarte, R.P. A Review of Synthetic-Aperture Radar Image Formation Algorithms and Implementations: A Computational Perspective. Remote Sens. 2022, 14, 1258. [Google Scholar] [CrossRef]
- Tsokas, A.; Rysz, M.; Pardalos, P.M.; Dipple, K. SAR Data Applications in Earth Observation: An overview. Expert Syst. Appl. 2022, 205, 117342. [Google Scholar] [CrossRef]
- Chen, X.; Dong, Z.; Zhang, Z.; Tu, C.; Yi, T.; He, Z. Very High Resolution Synthetic Aperture Radar Systems and Imaging: A Review. IEEE J. Sel. Top. Appl. Earth Obs. Remote Sens. 2024, 17, 7104–7123. [Google Scholar] [CrossRef]
- Liang, D.; Zhang, H.; Fang, T.; Deng, Y.; Yu, W.; Zhang, L.; Fan, H. Processing of Very High Resolution GF-3 SAR Spotlight Data with Non-Start–Stop Model and Correction of Curved Orbit. IEEE J. Sel. Top. Appl. Earth Obs. Remote Sens. 2020, 13, 2112–2122. [Google Scholar] [CrossRef]
- Cumming, I.G.; Wong, F.H. Digital Signal Processing of Synthetic Aperture Radar Data: Algorithms and Implementation; Artech House: Norwood, MA, USA, 2005. [Google Scholar]
- Wu, Y.; Sun, G.C.; Yang, C.; Yang, J.; Xing, M.; Bao, Z. Processing of Very High Resolution Spaceborne Sliding Spotlight SAR Data Using Velocity Scaling. IEEE Trans. Geosci. Remote Sens. 2016, 54, 1505–1518. [Google Scholar] [CrossRef]
- He, F.; Chen, Q.; Dong, Z.; Sun, Z. Processing of Ultrahigh-Resolution Spaceborne Sliding Spotlight SAR Data on Curved Orbit. IEEE Trans. Aerosp. Electron. Syst. 2013, 49, 819–839. [Google Scholar] [CrossRef]
- Li, H.; An, J.; Jiang, X. Accurate Range Modeling for High-Resolution Spaceborne Synthetic Aperture Radar. Sensors 2024, 24, 3119. [Google Scholar] [CrossRef]
- Wang, P.; Liu, W.; Chen, J.; Niu, M.; Yang, W. A High-Order Imaging Algorithm for High-Resolution Spaceborne SAR Based on a Modified Equivalent Squint Range Model. IEEE Trans. Geosci. Remote Sens. 2015, 53, 1225–1235. [Google Scholar] [CrossRef]
- Liu, Y.; Sun, G.C.; Guo, L.; Xing, M.; Yu, H.; Fang, R.; Wang, S. High-Resolution Real-Time Imaging Processing for Spaceborne Spotlight SAR with Curved Orbit via Subaperture Coherent Superposition in Image Domain. IEEE J. Sel. Top. Appl. Earth Obs. Remote Sens. 2022, 15, 1992–2003. [Google Scholar] [CrossRef]
- Sun, G.C.; Wu, Y.; Yang, J.; Xing, M.; Bao, Z. Full-Aperture Focusing of Very High Resolution Spaceborne-Squinted Sliding Spotlight SAR Data. IEEE Trans. Geosci. Remote Sens. 2017, 55, 3309–3321. [Google Scholar] [CrossRef]
- Dong, Q.; Sun, G.C.; Yang, Z.; Guo, L.; Xing, M. Cartesian Factorized Backprojection Algorithm for High-Resolution Spotlight SAR Imaging. IEEE Sensors J. 2018, 18, 1160–1168. [Google Scholar] [CrossRef]
- Lanari, R.; Tesauro, M.; Sansosti, E.; Fornaro, G. Spotlight SAR data Focusing Based on a Two-Step Processing Approach. IEEE Trans. Geosci. Remote Sens. 2001, 39, 1993–2004. [Google Scholar] [CrossRef]
- Ren, M.; Zhang, H.; Yu, W.; Chen, Z.; Li, H. An Efficient Full-Aperture Approach for Airborne Spotlight SAR Data Processing Based on Time-Domain Dealiasing. IEEE J. Sel. Top. Appl. Earth Obs. Remote Sens. 2022, 15, 2463–2475. [Google Scholar] [CrossRef]
- Luo, Y.; Zhao, F.; Li, N.; Zhang, H. A Modified Cartesian Factorized Back-Projection Algorithm for Highly Squint Spotlight Synthetic Aperture Radar Imaging. IEEE Geosci. Remote Sens. Lett. 2019, 16, 902–906. [Google Scholar] [CrossRef]
- Liu, Y.; Xing, M.; Sun, G.; Lv, X.; Bao, Z.; Hong, W.; Wu, Y. Echo Model Analyses and Imaging Algorithm for High-Resolution SAR on High-Speed Platform. IEEE Trans. Geosci. Remote Sens. 2012, 50, 933–950. [Google Scholar] [CrossRef]
- Prats-Iraola, P.; Scheiber, R.; Rodriguez-Cassola, M.; Mittermayer, J.; Wollstadt, S.; De Zan, F.; Bräutigam, B.; Schwerdt, M.; Reigber, A.; Moreira, A. On the Processing of Very High Resolution Spaceborne SAR Data. IEEE Trans. Geosci. Remote Sens. 2014, 52, 6003–6016. [Google Scholar] [CrossRef]
- Liang, D.; Zhang, H.; Fang, T.; Lin, H.; Liu, D.; Jia, X. A Modified Cartesian Factorized Backprojection Algorithm Integrating with Non-Start-Stop Model for High Resolution SAR Imaging. Remote Sens. 2020, 12, 3807. [Google Scholar] [CrossRef]
- Gao, Y.; Liang, D.; Fang, T.; Zhou, Z.X.; Zhang, H.; Wang, R. A Modified Extended Wavenumber-Domain Algorithm for Ultra-High Resolution Spaceborne Spotlight SAR Data Processing. In Proceedings of the IGARSS 2020—2020 IEEE International Geoscience and Remote Sensing Symposium, Waikoloa, HI, USA, 26 September–2 October 2020; pp. 1544–1547. [Google Scholar] [CrossRef]
- Yang, M.; Zhu, D.; Song, W. Comparison of Two-Step and One-Step Motion Compensation Algorithms for Airborne Synthetic Aperture Radar. Electron. Lett. 2015, 51, 1108–1110. Available online: https://ietresearch.onlinelibrary.wiley.com/doi/pdf/10.1049/el.2015.1350 (accessed on 1 July 2015). [CrossRef]
- Meng, D.; Hu, D.; Ding, C. Precise Focusing of Airborne SAR Data with Wide Apertures Large Trajectory Deviations: A Chirp Modulated Back-Projection Approach. IEEE Trans. Geosci. Remote Sens. 2015, 53, 2510–2519. [Google Scholar] [CrossRef]
- Chen, Z.; Zhang, Z.; Zhou, Y.; Wang, P.; Qiu, J. A Novel Motion Compensation Scheme for Airborne Very High Resolution SAR. Remote Sens. 2021, 13, 2729. [Google Scholar] [CrossRef]
- Reigber, A.; Alivizatos, E.; Potsis, A.; Moreira, A. Extended Wavenumber-Domain Synthetic Aperture Radar Focusing with Integrated Motion Compensation. IEE Proc.—Radar Sonar Navig. 2006, 153, 301–310. [Google Scholar] [CrossRef]
- Bamler, R.; Meyer, F.; Liebhart, W. Processing of Bistatic SAR Data From Quasi-Stationary Configurations. IEEE Trans. Geosci. Remote Sens. 2007, 45, 3350–3358. [Google Scholar] [CrossRef]
- Deng, Y.; Zhang, H.; Liu, K.; Wang, W.; Ou, N.; Han, H.; Yang, R.; Ren, J.; Wang, J.; Ren, X.; et al. Hongtu-1: The First Spaceborne Single-Pass Multibaseline SAR Interferometry Mission. IEEE Trans. Geosci. Remote Sens. 2025, 63, 1–18. [Google Scholar] [CrossRef]
- Deng, Y.; Yu, W.; Wang, P.; Xiao, D.; Wang, W.; Liu, K.; Zhang, H. The High-Resolution Synthetic Aperture Radar System and Signal Processing Techniques: Current progress and future prospects. IEEE Geosci. Remote Sens. Mag. 2024, 12, 169–189. [Google Scholar] [CrossRef]













| Parameter | Value |
|---|---|
| Eccentricity | 0.0011 |
| Inclination | |
| Semi-major axis | 6890.22 km |
| Argument of perigee | |
| Ascending node |
| Parameter | Value |
|---|---|
| Eccentricity | 0.0012 |
| Inclination | |
| Semi-major axis | 7000 km |
| Argument of perigee | |
| Ascending node |
| Parameter | Value |
|---|---|
| Carrier frequency | 10 GHz |
| Range bandwidth | 1.2 GHz |
| Range sampling frequency | 1.4 GHz |
| Pulse duration | 10 µs |
| Azimuth resolution | 0.150 m |
| Range resolution | 0.108 m |
| Ground range scene size | 5 km |
| Azimuth scene size | 5 km |
| Range | Azimuth | |||||
|---|---|---|---|---|---|---|
| IRW (m) | PSLR (dB) | ISLR (dB) | IRW (m) | PSLR (dB) | ISLR (dB) | |
| P1 (EWKA) | 0.112 | −13.57 | −10.35 | 0.148 | −10.57 | −7.91 |
| P1 (Prop.) | 0.111 | −13.12 | −10.16 | 0.156 | −12.85 | −9.96 |
| P5 (EWKA) | 0.111 | −13.27 | −9.94 | 0.157 | −13.35 | −10.61 |
| P5 (Prop.) | 0.111 | −13.27 | −9.94 | 0.157 | −13.35 | −10.61 |
| P9 (EWKA) | 0.112 | −13.48 | −10.18 | 0.147 | −10.26 | −7.37 |
| P9 (Prop.) | 0.112 | −13.16 | −10.38 | 0.159 | −13.58 | −10.88 |
| Parameter | Value |
|---|---|
| Carrier frequency | 5.4 GHz |
| Look angle | 33.75° |
| Incidence angle | 38.51° |
| Range bandwidth | 240 MHz |
| Range sampling frequency | 266.67 MHz |
| Pulse duration | 45 μs |
| PRF | 3742.80 Hz |
| Azimuth bandwidth | 19380 Hz |
| Azimuth steering range | ±1.78° |
| Synthetic aperture time | 8.58 s |
| Satellite speed | 7539.35 m/s |
| Beam speed | 6745.31 m/s |
| Scene location | 31.958° N, 118.612° E |
| Acquisition time | 09:30 on 11 March 2017 |
Disclaimer/Publisher’s Note: The statements, opinions and data contained in all publications are solely those of the individual author(s) and contributor(s) and not of MDPI and/or the editor(s). MDPI and/or the editor(s) disclaim responsibility for any injury to people or property resulting from any ideas, methods, instructions or products referred to in the content. |
© 2025 by the authors. Licensee MDPI, Basel, Switzerland. This article is an open access article distributed under the terms and conditions of the Creative Commons Attribution (CC BY) license (https://creativecommons.org/licenses/by/4.0/).
Share and Cite
Wang, G.; Gao, Y.; Yu, W. An Improved Extended Wavenumber Domain Imaging Algorithm for Ultra-High-Resolution Spotlight SAR. Sensors 2025, 25, 5599. https://doi.org/10.3390/s25175599
Wang G, Gao Y, Yu W. An Improved Extended Wavenumber Domain Imaging Algorithm for Ultra-High-Resolution Spotlight SAR. Sensors. 2025; 25(17):5599. https://doi.org/10.3390/s25175599
Chicago/Turabian StyleWang, Gui, Yao Gao, and Weidong Yu. 2025. "An Improved Extended Wavenumber Domain Imaging Algorithm for Ultra-High-Resolution Spotlight SAR" Sensors 25, no. 17: 5599. https://doi.org/10.3390/s25175599
APA StyleWang, G., Gao, Y., & Yu, W. (2025). An Improved Extended Wavenumber Domain Imaging Algorithm for Ultra-High-Resolution Spotlight SAR. Sensors, 25(17), 5599. https://doi.org/10.3390/s25175599

