Sign in to use this feature.

Years

Between: -

Subjects

remove_circle_outline
remove_circle_outline
remove_circle_outline
remove_circle_outline
remove_circle_outline
remove_circle_outline
remove_circle_outline
remove_circle_outline
remove_circle_outline

Journals

Article Types

Countries / Regions

Search Results (108)

Search Parameters:
Keywords = deceleration planning

Order results
Result details
Results per page
Select all
Export citation of selected articles as:
29 pages, 8910 KB  
Article
Field Evaluation of a Robotic Apple Harvester with Negative-Pressure Driven End-Effectors on a Simplified 4-DoF Manipulator
by Guangrui Hu, Jianguo Zhou, Shiwei Wen, Ning Chen, Chen Chen, Fangmin Cheng, Yu Chen and Jun Chen
Agriculture 2026, 16(7), 717; https://doi.org/10.3390/agriculture16070717 (registering DOI) - 24 Mar 2026
Abstract
Apple picking is an inherently labor-intensive, time-consuming, and costly task, and robotic harvesting represents a potential alternative to address this challenge. This study presents the development and field evaluation of an integrated robotic system for apple harvesting, which combines machine vision, a dual [...] Read more.
Apple picking is an inherently labor-intensive, time-consuming, and costly task, and robotic harvesting represents a potential alternative to address this challenge. This study presents the development and field evaluation of an integrated robotic system for apple harvesting, which combines machine vision, a dual four-degree-of-freedom (DoF) manipulator, and a mobile platform. The harvesting mechanism employed a streamlined 4-DoF manipulator driven by closed-loop stepper motors, incorporating a differential gear mechanism to execute yaw and pitch motions. Trajectory planning utilized linear interpolation with a harmonic acceleration/deceleration profile to ensure smooth end-effector movement. Fruit detection and localization within the canopy were performed by a stereo vision system running a lightweight deep neural network, achieving a mean hand-eye calibration accuracy of 4.7 ± 2.7 mm. Three negative-pressure driven soft end-effector designs—a suction soft end-effector (SSE), a grasping soft end-effector (GSE), and a suction-grasping soft end-effector (SGSE)—were assessed for their harvesting performance. Field trials conducted in a commercial spindle orchard demonstrated that the GSE achieved the highest performance, with a harvesting success rate of 80.80% among reachable fruits, a full-process success rate (from detection to collection) of 61.59%, an overall fruit damage rate of 10.89%, and an average single-fruit cycle time of 5.27 s. In contrast, the SSE and SGSE showed lower success rates (49.21% and 64.71%, respectively). This work provides a practical robotic harvesting solution. It validates the feasibility of a zoned, multi-manipulator harvesting strategy and delivers comparative data to guide the development of more efficient and robust harvesting robots. Full article
(This article belongs to the Section Agricultural Technology)
Show Figures

Figure 1

11 pages, 1500 KB  
Article
Circadian Rhythms and External Load Measures in Professional Soccer Players
by Nikolaos E. Koundourakis, Minas-Panagiotis Ispirlidis, Adam L. Owen, Nikolaos Androulakis, Giorgos Pafis and Michalis Mitrotasios
Appl. Sci. 2026, 16(6), 2742; https://doi.org/10.3390/app16062742 - 13 Mar 2026
Viewed by 413
Abstract
The aim of the present study was to examine the potential effects of circadian rhythmicity on specific external load metrics in professional male soccer players. Twenty players, members of a Greek Super League team, participated in the study. Data were collected from twenty [...] Read more.
The aim of the present study was to examine the potential effects of circadian rhythmicity on specific external load metrics in professional male soccer players. Twenty players, members of a Greek Super League team, participated in the study. Data were collected from twenty match-day-minus-one (MD-1) training sessions, performed either in the morning (10:30 h, n = 10) or afternoon (15:00 h, n = 10). All sessions followed identical structure, volume, and intensity, ensuring internal validity. The external load metrics examined were total distance (TD), high-speed running (HSR; >19.8 km/h), high-intensity-acceleration count (HIACC; >3 m/s2), high-intensity-deceleration count (HIDEC; <−3 m/s2), and sprint distance (SD; >25.2 km/h). Statistical analysis was conducted using paired t-tests with Bonferroni correction for multiple comparisons (α = 0.01). Our results revealed significantly higher TD, HSR, HIACC, and HIDEC values (p < 0.01) during morning sessions compared to afternoon, suggesting a diurnal pattern favoring morning performance. No significant difference was found for SD (p > 0.01) despite the observed tendency for higher morning-values. These findings support the notion that time of day influences training output and that habitual morning training may lead to improved physical performance due to training-induced adaptations. Since in elite soccer even minor changes in performance could be decisive for the outcome of a competition, accounting for circadian factors in training planning could be crucial for competition performance. Full article
(This article belongs to the Special Issue Innovative Technologies for and Approaches to Sports Performance)
Show Figures

Figure 1

26 pages, 9016 KB  
Article
Integration of Hybrid Prefilter and Corner Trajectory Planning for Simultaneously Suppressing Residual Vibration and Reducing Cornering Error of SCARA Robots
by Syh-Shiuh Yeh and Ming-Han You
Electronics 2026, 15(4), 900; https://doi.org/10.3390/electronics15040900 - 23 Feb 2026
Viewed by 266
Abstract
During high-speed cornering, the motion accuracy and efficiency of SCARA robots are often compromised by residual vibrations and cornering errors. Conventional control methods often fail to address these two coupled problems simultaneously. Therefore, this study developed an integrated design strategy to simultaneously suppress [...] Read more.
During high-speed cornering, the motion accuracy and efficiency of SCARA robots are often compromised by residual vibrations and cornering errors. Conventional control methods often fail to address these two coupled problems simultaneously. Therefore, this study developed an integrated design strategy to simultaneously suppress residual vibrations and restrict cornering errors for improving the cornering performance of the SCARA robot. The core of this design strategy is to develop a hybrid prefilter via the convolution of an input shaper and a finite impulse response filter, thereby creating a prefilter with robust, high-performance residual vibration suppression. Subsequently, to accommodate the asymmetric acceleration and deceleration generated by the hybrid prefilter, this study developed a systematic corner trajectory planning method that can calculate the cornering trajectory parameters based on a preset value of the cornering error to restrict the cornering error and ensure the cornering accuracy of the SCARA robot. Experimental results indicated that under the condition of a restricted cornering error, the developed hybrid prefilter can reduce residual vibration by >85%. Thus, the hybrid prefilter designed with the corner trajectory planning method can mitigate the coupled problem of residual vibration and cornering error, suppressing the residual vibration without compromising cornering accuracy. Full article
(This article belongs to the Special Issue Intelligent Perception and Control for Robotics)
Show Figures

Figure 1

21 pages, 4358 KB  
Article
Study on Vehicle Comfort Braking Control Based on an Electronic Hydraulic Brake System
by Bin Zhu, Bo Huang, Shen Xu, Fei Liu and Qiang Shu
World Electr. Veh. J. 2026, 17(2), 105; https://doi.org/10.3390/wevj17020105 - 21 Feb 2026
Viewed by 339
Abstract
During a vehicle’s approach to a stop, significant longitudinal impact and pitch oscillations occur due to the decrease in vehicle speed and the substantial nonlinearity of the electro-hydraulic braking (EHB) system. To balance comfort and control accuracy at the end of braking, this [...] Read more.
During a vehicle’s approach to a stop, significant longitudinal impact and pitch oscillations occur due to the decrease in vehicle speed and the substantial nonlinearity of the electro-hydraulic braking (EHB) system. To balance comfort and control accuracy at the end of braking, this paper proposes a comfort braking control strategy based on deceleration evolution characteristics. This method utilizes the adjustable pressure characteristics of the EHB system to construct an adaptive PI (proportional-integral) controller based on fuzzy rules, achieving a smooth transition between normal braking and comfort braking without mode switching. Simultaneously, target deceleration planning is introduced to gradually reduce the vehicle’s deceleration during the approach to a stop. Simulation and real-vehicle test results show that at initial speeds of 36 km/h, 40 km/h, and 44 km/h, the longitudinal deceleration impact amplitude is reduced by approximately 3.8%, 16.7%, and 11.7%, respectively. At 4 s, the vehicle pitch angle is reduced by 3.4%, 3.4%, and 3.8%, respectively. Meanwhile, the average braking distance change is less than 0.05%, and the maximum braking distance change is less than 0.1%. The results demonstrate that this strategy effectively improves braking comfort during the vehicle’s start-stop phase without compromising braking performance. Full article
(This article belongs to the Section Vehicle Control and Management)
Show Figures

Figure 1

29 pages, 7042 KB  
Article
Design and Motion Control Analysis of a Dual-Claw Seedling Pick-and-Throw Mechanism for an Automatic Transplanter with Multi-Layer Tray Handling
by Mengjiao Yao, Jianping Hu, Wei Liu, Jiawei Shi, Junpeng Lv, Jinhong Li, Yongwang Jin, Shuangxia Zhang, Dan Liu and Jiahui Chen
Agriculture 2026, 16(4), 479; https://doi.org/10.3390/agriculture16040479 - 20 Feb 2026
Viewed by 376
Abstract
To address the existing problems of frequent manual tray handling, poor continuity, and insufficient coordination in fully automatic transplanters, this study designed an integrated multi-layer tray-handling and dual-claw coordinated seedling pick-and-throw mechanism. Through continuous tray conveying and multi-layer tray-handling mechanisms, automatic replacement of [...] Read more.
To address the existing problems of frequent manual tray handling, poor continuity, and insufficient coordination in fully automatic transplanters, this study designed an integrated multi-layer tray-handling and dual-claw coordinated seedling pick-and-throw mechanism. Through continuous tray conveying and multi-layer tray-handling mechanisms, automatic replacement of multiple seedling trays was achieved. A dual-claw coordinated seedling picking and planting mechanism was designed, and the seedling picking trajectory was optimized based on path planning and RecurDyn kinematic simulation. Six-segment and seven-segment S-shaped acceleration and deceleration motion control curves and planning strategies that can be switched according to the target displacement and dynamic parameters were proposed, and a PLC-based software and hardware control system was constructed. The simulation and experimental results show that the dual-module parallel motion mode is more efficient and has a smoother trajectory than the serial mode. The average positioning absolute error of tray conveying is 1.09 mm, the average horizontal and vertical positioning absolute errors of seedling picking are 1.07 mm and 1.09 mm, respectively, and the horizontal and vertical positioning absolute errors of seedling planting are 1.50 mm and 1.51 mm, respectively. The success rate of seedling picking is 97.01%, the success rate of seedling planting is 96.39%, and the qualified rate of planting is 96%. The experimental results meet the actual operation requirements. This study provides a theoretical basis and technical support for the high-efficiency coordinated operation of fully automatic transplanters. Full article
(This article belongs to the Section Agricultural Technology)
Show Figures

Figure 1

28 pages, 1318 KB  
Article
Lexicographic A*: Hierarchical Distance and Turn Optimization for Mobile Robots
by Wei-Chang Yeh, Jiun-Yu Tu, Tsung-Yan Huang, Yi-Zhen Liao and Chia-Ling Huang
Electronics 2026, 15(3), 599; https://doi.org/10.3390/electronics15030599 - 29 Jan 2026
Viewed by 355
Abstract
Autonomous mobile robots require efficient path planning algorithms for navigation in grid-based environments. While the A* algorithm guarantees optimally short paths using admissible heuristics, it exhibits path degeneracy: multiple geometrically distinct paths often share identical length. Classical A* arbitrarily selects among these equal-cost [...] Read more.
Autonomous mobile robots require efficient path planning algorithms for navigation in grid-based environments. While the A* algorithm guarantees optimally short paths using admissible heuristics, it exhibits path degeneracy: multiple geometrically distinct paths often share identical length. Classical A* arbitrarily selects among these equal-cost candidates, frequently producing trajectories with excessive directional changes. Each turn induces deceleration–acceleration cycles that degrade energy efficiency and accelerate mechanical wear. To address this, we propose Turn-Minimizing A* (TM-A*), a lexicographic optimization approach that maintains distance optimality while minimizing cumulative heading changes. Unlike weighted-cost methods that require parameter calibration, TM-A* applies a dual-objective framework: distance takes strict priority, with turn count serving as a tie-breaker among equal-length paths. A key contribution of this work is the explicit guarantee that the generated path has the minimum number of turns among all shortest paths. By formulating path planning as a lexicographic optimization problem, TM-A* strictly prioritizes path length optimality and deterministically selects, among all equal-length candidates, the one with the fewest directional changes. Unlike classical A*, which arbitrarily resolves path degeneracy, TM-A* provably eliminates this ambiguity. As a result, the method ensures globally shortest paths with minimal turning, directly improving trajectory smoothness and operational efficiency. We prove that TM-A* preserves the O(|E|log|V|) time complexity of classical A*. Validation across 30 independent Monte Carlo trials at resolutions from 200 × 200 to 1000 × 1000 demonstrates that TM-A* reduces turn count by 39–43% relative to baseline A* (p < 0.001). Although the inclusion of orientation expands the search space four-fold, the computation time increases by only a factor of approximately 3 (≈200%), indicating efficient scalability relative to problem complexity. With absolute latency remaining below 3300 ms for 1000 × 1000 grids, the approach is highly suitable for static global planning. Consequently, TM-A* provides a deterministic and scalable solution for generating smooth trajectories in industrial mobile robot applications. Full article
(This article belongs to the Special Issue Feature Papers in Networks: 2025–2026 Edition)
Show Figures

Figure 1

24 pages, 5928 KB  
Article
Can Megacities Repair Ecological Networks? Insights from Shenzhen’s 25-Year Transformation
by Guangying Zhao, Han Wang and Jiren Zhu
Land 2026, 15(2), 216; https://doi.org/10.3390/land15020216 - 27 Jan 2026
Viewed by 448
Abstract
Rapid urbanization is fragmenting ecological spaces in megacities, threatening biodiversity and ecosystem services. Yet, it remains unclear whether, and under what conditions, urban ecological networks (ENs) can recover robustness once heavily disrupted. This study aims to (i) develop a dynamic assessment framework that [...] Read more.
Rapid urbanization is fragmenting ecological spaces in megacities, threatening biodiversity and ecosystem services. Yet, it remains unclear whether, and under what conditions, urban ecological networks (ENs) can recover robustness once heavily disrupted. This study aims to (i) develop a dynamic assessment framework that couples network robustness and connectivity, and (ii) apply it to examine how ENs evolve under sustained urbanization and shifting policy regimes. Using multi-period data for Shenzhen, China (2000–2025), we simulate deliberate and random attacks on patches and corridors to derive data-driven thresholds that grade the importance of ecological elements, and integrate these with graph-based connectivity metrics to track changes in network structure and node centrality over time. Shenzhen’s EN exhibits a typical “fragmentation–reconfiguration–optimization” pathway, with a “rapid decline–deceleration–recovery” trajectory in robustness that closely aligns with the introduction of strict ecological control lines and subsequent restoration initiatives. The results show that targeted protection of residual core habitats, combined with strategic reconnection and infill greening in the urban interior, can reverse earlier losses in network robustness. The proposed robustness-informed framework provides operational guidance for prioritizing protection, restoration, and optimization of ecological space, and offers a transferable approach for adaptive EN planning in high-density tropical and subtropical megacities. Full article
Show Figures

Figure 1

25 pages, 3834 KB  
Article
Analysis of Variance in Runway Friction Measurements and Surface Life-Cycle: A Case Study of Four Australian Airports
by Gadel Baimukhametov and Greg White
Infrastructures 2026, 11(1), 20; https://doi.org/10.3390/infrastructures11010020 - 9 Jan 2026
Viewed by 501
Abstract
Runway friction is a critical factor in aircraft safety, affecting braking performance during landing and take-off. This study evaluates friction measurement variability and runway life-cycle dynamics at four typical Australian airports, using GripTester data from calibration strips and operational runways. The results show [...] Read more.
Runway friction is a critical factor in aircraft safety, affecting braking performance during landing and take-off. This study evaluates friction measurement variability and runway life-cycle dynamics at four typical Australian airports, using GripTester data from calibration strips and operational runways. The results show that friction measurements are influenced by seasonal effects, random errors, and testing equipment tire wear, with greater variability at lower speed (65 km/h) than at higher speed (95 km/h). Analysis of runway friction decay indicates that friction reduction rates are higher in touchdown zones and decelerating rate gradually decrease as friction declines, while regular rubber removal significantly restores friction, sometimes exceeding post-construction levels. Current internationally recommended friction testing intervals may not adequately ensure safety, with a sufficient probability of friction dropping below maintenance planning levels between tests. Based on observed reduction rates, updated intervals of approximately 3000 to 4000 landings are proposed to achieve 90% confidence in maintaining safe friction levels. The findings provide practical guidance for friction management and maintenance scheduling as part of an optimized airport pavement management system. Full article
Show Figures

Figure 1

12 pages, 719 KB  
Article
External Load in High-Level Tennis Training: Influence of Game-Specific Drills in Junior and Professional Players Across Playing Situations
by Francisco José Penalva-Salmerón, Miguel Crespo, Rafael Martínez-Gallego, Jesús Ramón-Llin and José Francisco Guzmán
Appl. Sci. 2026, 16(1), 492; https://doi.org/10.3390/app16010492 - 4 Jan 2026
Viewed by 692
Abstract
This study explored the influence of game-specific on-court drills on external load in junior and professional male tennis players. Using wearable inertial technology, a total of 345 drills performed during a training microcycle were analyzed. Drills were classified according to the usual tennis [...] Read more.
This study explored the influence of game-specific on-court drills on external load in junior and professional male tennis players. Using wearable inertial technology, a total of 345 drills performed during a training microcycle were analyzed. Drills were classified according to the usual tennis game situations (i.e., serve, return, baseline, net play, and all-court), and load was quantified through distance covered, explosive distance, accelerations, decelerations, and Player Load. Significant differences were found in load across playing situations, with baseline and all-court drills producing the highest demands, especially in distance and Player Load. Serve drills consistently showed the lowest external load, while acceleration and deceleration values remained stable. Age group comparisons revealed that juniors covered more distance and experienced higher overall load in return and baseline situations, while professionals showed greater acceleration and deceleration values. These findings highlight the relevance of adapting training load to the specific demands of the game situations, the developmental stage, and the skill level of players. Coaches and sports scientists can use these insights to better plan, monitor, and individualize training programs for injury prevention and performance optimization in high-performance tennis. Full article
(This article belongs to the Special Issue Technologies in Sports and Physical Activity)
Show Figures

Figure 1

20 pages, 4811 KB  
Article
A Hybrid Statistical and Neural Network Method for Detecting Abnormal Ship Behavior Using Leisure Boat Sea Trial Data in a Marina Port
by Hoang Thien Vu, Van Thuan Mai, Thi Thanh Diep Nguyen, Hyeon Kyu Yoon and Hujae Choi
J. Mar. Sci. Eng. 2025, 13(12), 2391; https://doi.org/10.3390/jmse13122391 - 17 Dec 2025
Viewed by 389
Abstract
Effective abnormal behavior detection in ship operations is essential for ensuring navigational safety and operational efficiency in marina ports. This study presents a hybrid method that integrates statistical analysis and neural network modeling to detect abnormal behavior based on data obtained through leisure [...] Read more.
Effective abnormal behavior detection in ship operations is essential for ensuring navigational safety and operational efficiency in marina ports. This study presents a hybrid method that integrates statistical analysis and neural network modeling to detect abnormal behavior based on data obtained through leisure boat sea trials. Detection criteria were established based on ship motion characteristics, operating area conditions, and the properties of the sea trial data. The method combines Rayda’s criterion and standard deviation thresholds to identify sudden changes in measured data, while a Long Short-Term Memory (LSTM) network is used to predict normal ship behavior. Deviations between predicted and measured values were evaluated using three thresholds (levels 1, 2, and 3), with level 3 effectively isolating the most significant abnormal data (representing 2–10% of the data). The proposed method is capable of successfully identifying sudden acceleration or deceleration, unusual course changes, extended stationary periods, deviations from expected routes, complex maneuvers, and track continuity issues. The results demonstrate that the proposed hybrid method can reliably distinguish abnormal ship behaviors based on real sea trial data. To separate true abnormalities from false alarms or sensor and environmental noise, its practical application on a real ship is planned as future work. This study provides a foundation for intelligent ship monitoring systems and supports the development of autonomous and semi-autonomous navigation technologies. Full article
(This article belongs to the Section Ocean Engineering)
Show Figures

Figure 1

28 pages, 16312 KB  
Article
PS-InSAR Monitoring Integrated with a Bayesian-Optimized CNN–LSTM for Predicting Surface Subsidence in Complex Mining Goafs Under a Symmetry Perspective
by Tianlong Su, Linxin Zhang, Xuzhao Yuan, Xiaoquan Li, Xuefeng Li, Xuxing Huang, Zheng Huang and Danhua Zhu
Symmetry 2025, 17(12), 2152; https://doi.org/10.3390/sym17122152 - 14 Dec 2025
Viewed by 677
Abstract
Mine-induced surface subsidence threatens infrastructure and can trigger cascading geohazards, so accurate and computationally efficient monitoring and forecasting are essential for early warning. We integrate Persistent Scatterer InSAR (PS-InSAR) time series with a Bayesian-optimized CNN–LSTM designed for spatiotemporal prediction. The CNN extracts spatial [...] Read more.
Mine-induced surface subsidence threatens infrastructure and can trigger cascading geohazards, so accurate and computationally efficient monitoring and forecasting are essential for early warning. We integrate Persistent Scatterer InSAR (PS-InSAR) time series with a Bayesian-optimized CNN–LSTM designed for spatiotemporal prediction. The CNN extracts spatial deformation patterns, the LSTM models temporal dependence, and Bayesian optimization selects the architecture, training hyperparameters, and the most informative exogenous drivers. Groundwater level and backfilling intensity are encoded as multichannel inputs. Endpoint anchoring with affine calibration aligns the historical series and the forward projections. PS-InSAR indicates a maximum subsidence rate of 85.6 mm yr−1, and the estimates are corroborated against nearby leveling benchmarks and FLAC3D simulations. Cross-site comparisons show acceleration followed by deceleration after backfilling and groundwater recovery, which is consistent with geological engineering conditions. A symmetry-aware preprocessing step exploits axial regularities of the deformation field through mirroring augmentation and documents symmetry-breaking hotspots linked to geological heterogeneity. These choices improve generalization to shifted and oscillatory patterns in both the spatial CNN and the temporal LSTM branches. Short-term forecasts from the BO–CNN–LSTM indicate subsequent stabilization with localized rebound, highlighting its practical value for operational planning and risk mitigation. The framework combines automated hyperparameter search with physically consistent objectives, reduces manual tuning, enhances reproducibility and generalizability, and provides a transferable quantitative workflow for forecasting mine-induced deformation in complex goaf systems. Full article
Show Figures

Figure 1

22 pages, 2039 KB  
Review
The Impact of Autonomous Vehicles on the Transportation Network with a Focus on the Physical Road Infrastructure
by Ana Čudina Ivančev, Tamara Džambas and Vesna Dragčević
Infrastructures 2025, 10(12), 347; https://doi.org/10.3390/infrastructures10120347 - 14 Dec 2025
Viewed by 1533
Abstract
Significant progress in autonomous vehicle (AV) development has been made over the years through advancements in artificial intelligence, sensor technology, and data processing; however, many challenges remain, particularly regarding road safety and the complexity of adapting these vehicles to certain traffic situations. As [...] Read more.
Significant progress in autonomous vehicle (AV) development has been made over the years through advancements in artificial intelligence, sensor technology, and data processing; however, many challenges remain, particularly regarding road safety and the complexity of adapting these vehicles to certain traffic situations. As a result, many European countries are funding research projects and setting targets and strategic plans for autonomous mobility, while scientific research proposes establishing standards and design guidelines for adapting road infrastructure to new transportation trends. This review paper examines physical road infrastructure in the era of AVs and identifies potential modifications, considering the development of AVs during both the early and later stages of their introduction into mixed traffic flow. Accordingly, necessary road infrastructure adaptations and the main design parameters affecting road geometric design for AV operation are presented. The design parameters considered include stopping sight distance, vertical curve radii, straight sections, lanes, and others. Furthermore, potential changes in existing physical infrastructure are illustrated using the example of a deceleration lane. Whether it is new infrastructure or modifications to existing infrastructure, both are analyzed in terms of the proportion of AVs in the traffic flow. Full article
(This article belongs to the Special Issue Sustainable Road Design and Traffic Management)
Show Figures

Figure 1

23 pages, 6542 KB  
Article
From Rapid Growth to Slowdown: A Geodetector-Based Analysis of the Driving Mechanisms of Urban–Rural Spatial Transformation in China
by Yang Shao and Ren Yang
Land 2025, 14(12), 2385; https://doi.org/10.3390/land14122385 - 6 Dec 2025
Viewed by 725
Abstract
Against the backdrop of China’s slowing urbanization and increasing regional disparities, existing research on the spatiotemporal evolution and multidimensional drivers of urban–rural transformation (URT) requires further elaboration, particularly regarding county-level differentiation and the dynamic interactions among these drivers. This study integrates spatiotemporal hot [...] Read more.
Against the backdrop of China’s slowing urbanization and increasing regional disparities, existing research on the spatiotemporal evolution and multidimensional drivers of urban–rural transformation (URT) requires further elaboration, particularly regarding county-level differentiation and the dynamic interactions among these drivers. This study integrates spatiotemporal hot spot analysis with a multi-factor geographical detector model to systematically examine China’s URT from 1990 to 2023. The findings reveal the following: (1) The area of urban–rural construction land increased by 149.54% overall from 1990 to 2023, but the annual average growth rate dropped sharply to 4.32% during 2000–2023, indicating overall deceleration in spatial expansion. (2) Significant structural adjustments occurred at the county level: the proportion of counties with high spatial expansion degree decreased by 20%, while counties experiencing spatial contraction increased by 6%, suggesting that growth dynamics have become increasingly concentrated in limited counties. (3) Spatially, a clear “northern contraction and southern expansion” divergence emerged, which was primarily driven by the synergistic effects of policy reorientation, market-driven factor mobility, and differential natural endowments. (4) Expanding counties benefited from urban agglomeration plans, population influx, industrial upgrading, and favorable terrain, whereas contracting counties were constrained by rigid ecological and farmland conservation policies, population outmigration, undiversified industries, and topographical limitations. These findings provide an important premise for formulating feasible policies on differentiated spatial governance and urban–rural sustainable development. Full article
(This article belongs to the Section Urban Contexts and Urban-Rural Interactions)
Show Figures

Figure 1

27 pages, 3129 KB  
Article
The Influence of Different Driving Parameters on Traffic with a Cellular Automata Model
by Andrej Rigler and Goran Turk
Appl. Sci. 2025, 15(23), 12404; https://doi.org/10.3390/app152312404 - 22 Nov 2025
Viewed by 564
Abstract
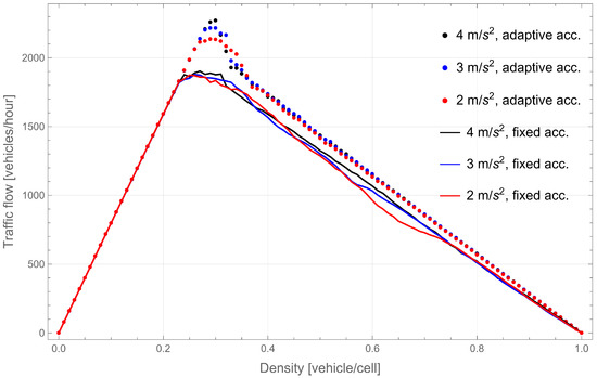
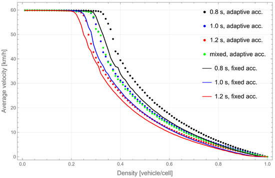
Reliable traffic simulations with high-quality results contribute to the understanding of the traffic system and effective planning. In this article, firstly, an existing cellular automata (CA) model is modified to perform a comprehensive analysis of the influence of key parameters on traffic flow [...] Read more.
Reliable traffic simulations with high-quality results contribute to the understanding of the traffic system and effective planning. In this article, firstly, an existing cellular automata (CA) model is modified to perform a comprehensive analysis of the influence of key parameters on traffic flow and average velocity. The simulations are conducted with realistic parameter values under heterogeneous conditions. Based on a safety analysis, a novel adaptive acceleration capability is developed, allowing vehicles to accelerate or decelerate at the desired acceleration/deceleration rate depending on the current road conditions. Secondly, the reaction time parameter is introduced into the model to study its impact on traffic under homogeneous and heterogeneous conditions. Thirdly, the model can simulate traffic flow according to different maximum velocities. Additionally, the influence of the maximum acceleration rate on traffic is studied. The results show that the maximum traffic flow at a maximum velocity of 60 km/h and a reaction time of 1 s is 2198 vehicles/h at a density of 0.29 vehicle/cell in adaptive acceleration mode. Generally, the adaptive acceleration capability increases traffic flow by up to 30% at densities of less than 0.7 vehicle/cell and even more at higher densities. Similarly, a 0.2 s lower reaction time increases traffic flow by up to 40%. At a maximum velocity of 110 km/h, the maximum traffic flow is 23% higher than at 50 km/h. However, the maximum velocity has little effect on traffic flow at higher densities. The maximum acceleration rate has a limited impact on traffic flow. Full article
(This article belongs to the Section Transportation and Future Mobility)
Show Figures

Figure 1

18 pages, 1195 KB  
Article
Learnings from Food Waste Dynamics During the COVID-19 Pandemic: An Evaluation of Representative Diary Studies in German Households
by Lara Witte, Ronja Herzberg, Philip Christoph Richartz, Felicitas Schneider and Mario Hasler
Resources 2025, 14(11), 173; https://doi.org/10.3390/resources14110173 - 4 Nov 2025
Viewed by 1491
Abstract
The COVID-19 pandemic had a major impact on the reliability of global supply chains, the availability of selected products including food, food prices, food purchase and consumption behaviour. The aim of this study is to identify potential differences in food waste levels and [...] Read more.
The COVID-19 pandemic had a major impact on the reliability of global supply chains, the availability of selected products including food, food prices, food purchase and consumption behaviour. The aim of this study is to identify potential differences in food waste levels and behaviours in Germany during the pandemic compared to pre-pandemic periods. The data are based on two highly representative household diary studies on food waste with sample sizes of over 6500 participants each. This study uses descriptive statistics as well as a mixed model approach to examine food waste amounts per product group, disposal reason and life cycle category and compare the survey year 2020 with the years 2016/17. A linear mixed model is applied to examine the effects of the pandemic and lockdown phases on the development of food waste amounts in 2020. The results show that total and unavoidable food waste increased significantly in the 2020 pandemic period compared to the same period in the 2016/17 survey, while avoidable food waste decreased. This suggests an improvement of food management skills while, at the same time, food consumption, and therefore also food waste, shifted from outside to inside the home. Also, the composition of product groups was affected by altered consumption patterns during the pandemic. The results are relevant to the post-pandemic period, as they raise the question of whether a deceleration in everyday life is a prerequisite for adopting more sustainable food behaviours and developing appropriate planning, storage and handling. Policies should therefore focus on encouraging citizens to engage with the issue, prioritise it and develop an interest in food management. Future research should focus on the ways in which behaviours that reduce food waste can be encouraged, as well as on the long-term effects of food supply chain disruptions and events altering everyday life in households in relation to food waste. Full article
Show Figures

Figure 1

Back to TopTop