Next Article in Journal
Charging Strategies for Battery Electric Trucks in Germany
Previous Article in Journal
Driving Performance and Safety in EV Car-Following: A Simulator Comparison of One-Pedal and Two-Pedal Modes
 
 
Font Type:
Arial Georgia Verdana
Font Size:
Aa Aa Aa
Line Spacing:
Column Width:
Background:
Article

Study on Vehicle Comfort Braking Control Based on an Electronic Hydraulic Brake System

1
School of Mechanical and Automotive Engineering, Shanghai University of Engineering and Technology, No. 333, Longteng Road, Shanghai 201620, China
2
Shanghai Tongyu Automobile Technology Co., Ltd., Jiading District, Shanghai 201800, China
*
Author to whom correspondence should be addressed.
World Electr. Veh. J. 2026, 17(2), 105; https://doi.org/10.3390/wevj17020105
Submission received: 9 January 2026 / Revised: 18 February 2026 / Accepted: 18 February 2026 / Published: 21 February 2026
(This article belongs to the Section Vehicle Control and Management)

Abstract

During a vehicle’s approach to a stop, significant longitudinal impact and pitch oscillations occur due to the decrease in vehicle speed and the substantial nonlinearity of the electro-hydraulic braking (EHB) system. To balance comfort and control accuracy at the end of braking, this paper proposes a comfort braking control strategy based on deceleration evolution characteristics. This method utilizes the adjustable pressure characteristics of the EHB system to construct an adaptive PI (proportional-integral) controller based on fuzzy rules, achieving a smooth transition between normal braking and comfort braking without mode switching. Simultaneously, target deceleration planning is introduced to gradually reduce the vehicle’s deceleration during the approach to a stop. Simulation and real-vehicle test results show that at initial speeds of 36 km/h, 40 km/h, and 44 km/h, the longitudinal deceleration impact amplitude is reduced by approximately 3.8%, 16.7%, and 11.7%, respectively. At 4 s, the vehicle pitch angle is reduced by 3.4%, 3.4%, and 3.8%, respectively. Meanwhile, the average braking distance change is less than 0.05%, and the maximum braking distance change is less than 0.1%. The results demonstrate that this strategy effectively improves braking comfort during the vehicle’s start-stop phase without compromising braking performance.

1. Introduction

In recent years, electric vehicles have received widespread attention worldwide due to their advantages, such as zero emissions, energy efficiency, and good controllability, and have gradually become an important direction for the transformation and upgrading of the automotive industry [1,2,3]. At the same time, as urban traffic congestion becomes increasingly severe, the driving time of vehicles in low-to-medium speed following and frequent start-stop conditions has increased significantly. Frequent start-stop and unstable deceleration changes not only increase the driver’s control burden but also cause obvious vehicle pitch and longitudinal impact, thereby seriously reducing the vehicle’s ride comfort and driving smoothness. Therefore, under the premise of ensuring braking safety, how to achieve a smoother, continuous and controllable braking response in congested scenarios has become an important issue in current research. Electro-hydraulic brake (EHB) (Shanghai Tongyu Automotive Technology Co., Ltd.) is a new generation of brake-by-wire technology that plays a crucial role in intelligent connected electric vehicles [4,5]. This system replaces some of the mechanical and hydraulic transmission structures in the traditional braking system with an electronic control unit, achieving precise adjustment of braking pressure and decoupled control of the actuator [6,7]. Compared with the traditional hydraulic braking system, EHB has advantages such as fast response speed, high control accuracy, flexible system structure, and easy coordination with other chassis systems. Its braking response time can be shortened to less than 200 ms [8], providing an important technical foundation for realizing intelligent vehicle control and comfort optimization. Therefore, research on braking control strategies based on EHB not only helps to improve vehicle safety and stability performance but also provides a new solution for improving ride comfort under congested conditions.
Research on braking comfort of electro-hydraulic braking systems mainly revolves around three aspects: deceleration planning, precise pressure control, vehicle verification, and subjective evaluation. Among them, Yu [9,10] systematically reviewed the key technologies of EHB pressure control, and the composite braking switching impact coordination control strategy he proposed is a representative achievement of related research in China. Gong [11] proposed an anti-interference control method for brake-by-wire actuators in electric vehicles, and designed a state observer and a robust controller to improve the accuracy of braking force regulation. This method is of reference value for brake fluid pressure regulation control strategies. Li summarized the control methods for hybrid braking systems (including EHB and regenerative braking), which included analysis of hydraulic pressure distribution, pressure coordination, and control strategies [12]. References [13,14] studied the control of key components such as actuators in the braking system, which has become one of the core directions for improving the overall braking performance, response speed, and intelligence level of vehicles. Related research mainly focuses on the optimization design and control strategy of high-efficiency assist motors, as well as the precise control of servo motors during braking pressure regulation. In terms of deceleration planning, A multi-level deceleration planning algorithm is proposed for an intelligent regenerative braking system for electric vehicles [15]. The algorithm combines a driver model and optimization planning, and uses reinforcement learning to manage different planning results to generate the optimal vehicle deceleration trajectory. Dong et al. [16] proposed a two-layer braking speed planning and tracking control strategy: the upper layer uses dynamic programming to obtain the energy-optimal deceleration trajectory, and the lower layer designs a model predictive controller to track the trajectory, while taking into account both comfort and safety. Kim [17] developed an energy-optimal deceleration planning system for autonomous electric vehicles, generating an optimal deceleration profile under practical feasibility constraints to improve regenerative energy recovery and avoid collisions or vibrations. Stefanie Carlowitz et al. [18] evaluated the direct impact of various deceleration curves on ride comfort through test tracks. Liu and Song et al. [19] proposed a vehicle vibration suppression method based on longitudinal deceleration control in the post-braking stage (long longitudinal deceleration planning algorithm) to improve comfort. Under the condition of constant braking distance, this method effectively suppresses longitudinal deceleration vibration and vertical pitch vibration in the rear braking stage, reduces longitudinal deceleration peak overshoot and vertical vibration amplitude, shortens vehicle vibration cycle, and makes the braking process smoother. Huang [20] proposed a deceleration trajectory planning method based on high-order polynomials to optimize passenger comfort under the premise of meeting safety constraints. In terms of pressure control, Chen [21] designed and verified a pressure following control method based on fuzzy PI for the nonlinear friction and actuator dynamic characteristics of the EHB system. Yan et al. [22] proposed a variable gain/variable boost characteristic control strategy to improve pressure tracking performance and human–machine experience for the nonlinear problem of EHB boost. Zhao [23] also focused on this and explored the influence of relevant control strategies on driving comfort and pressure tracking. In terms of verification and evaluation, Shi [24] used real vehicle braking pressure test data under NEDC conditions for neural network model training and capability assessment. Li [25] conducted vehicle braking performance evaluation on the EHB system integrated in electric vehicles, providing a reference for real vehicle verification. Horace Lai [26] proposed an EHB test platform and test method suitable for bench verification, providing an important reference for building a comfort evaluation platform. Existing research indicates that under low-speed braking conditions, the dynamic behavior of braking systems may exhibit significant nonlinear characteristics, even showing bifurcation and chaos. Reference [27] analyzes the bifurcation and chaotic behavior of vehicle braking systems under low-speed braking conditions, pointing out that the system response is highly sensitive to parameter changes. However, its research focuses primarily on dynamic characteristic analysis and has not yet been further transformed into braking comfort control strategies for engineering applications. To avoid rapid state transitions caused by sudden changes in targets or parameter switching in traditional control, the proposed deceleration planning strategy continuously constrains the target deceleration at the end of braking, causing the vehicle deceleration to gradually decay as it approaches a stop. This restricts the evolution path of the braking dynamic state at the system level, helping to reduce the excitation of the vehicle’s longitudinal response by irregular dynamic behavior during low-speed braking.
As shown in Table 1, this paper systematically reviews the main research directions and representative technical solutions of electro-hydraulic braking systems (EHB). Related research mainly focuses on deceleration planning, hydraulic pressure control, and vehicle-level verification based on subjective evaluation. Although significant progress has been made in each research direction, research on the systematic integration of deceleration planning, precise hydraulic pressure control, and vehicle-level comfort verification remains relatively insufficient. To address this research gap, this paper conducts relevant research.
To address the aforementioned issues, this study focuses on the electro-hydraulic braking (EHB) system, with particular emphasis on suppressing longitudinal jerk during the final stage of braking. Unlike most existing studies that adopt fixed-parameter or segmented braking control strategies, this work treats comfort braking near vehicle standstill as an independent research objective and develops a deceleration-programming-based control model specifically for the terminal braking phase. A notable contribution of this study is the introduction of an adaptive parameter adjustment mechanism. This mechanism continuously updates control parameters according to operating conditions, thereby avoiding the additional longitudinal jerk commonly induced by mode switching in conventional segmented control approaches. The proposed design ensures braking smoothness while maintaining the practical feasibility of the EHB system for real-world applications. Furthermore, the proposed comfort braking strategy is systematically validated through vehicle dynamics analysis, CarSim co-simulation, and real vehicle experiments. The results demonstrate that, without compromising braking safety, the proposed method effectively improves smoothness during the final braking stage. This study therefore provides a practical and engineering-oriented solution for comfort braking control in vehicles equipped with electronic braking systems.

2. Materials and Methods

2.1. Establishment of the Dynamic Model

During braking, the vehicle body simultaneously undergoes longitudinal deceleration and pitching motion. Its dynamic diagram is shown in Figure A1 of Appendix A.
The longitudinal dynamics of the vehicle body are [28]:
x ¨ = 1 M μ R F z R + μ F F z F .
In the formula, F z R and F z F represent the vertical loads of the front and rear wheels, respectively; μ R and μ F represent the braking force distribution coefficients of the front and rear wheels, respectively; M is the vehicle mass; and x ¨ is the longitudinal acceleration.
The rotation angles θ F and θ R of the front and rear suspensions, and their angular velocities θ ˙ F and θ ˙ R are:
θ F = arctan z F L F ,
θ ˙ F = 1 1 + z F L F 2 z ˙ F L F ,
θ R = arctan z R L R ,
θ ˙ R = 1 1 + z R L R 2 z ˙ R L R .
In the formula, z F and z R represent the vertical displacements of the front and rear suspensions, respectively; z ˙ F and z ˙ R represent the vertical velocities of the front and rear suspensions; a and b are the horizontal distances from the vehicle’s center of gravity to the front and rear axles; L F and L R represent the horizontal distances from the front and rear suspensions to the center of rotation, respectively.

2.2. Deceleration Planning

The formula for calculating the rate of change in deceleration is as follows:
J = d a d t ,
where a is the braking deceleration and t is the braking time.
From the initial braking time t i n i t i a l to the vehicle stopping time t f i n a l , the braking deceleration and longitudinal impact integral are as follows:
t i n i t i a l t f i n a l a t d t = v t f i n a l v t i n i t i a l = v t i n i t i a l ,
t i n i t i a l t f i n a l J t d t = a t f i n a l a t i n i t i a l = a t i n i t i a l ,
where v is the vehicle speed.
Assume the change in deceleration is constant, that is:
J t = C ,
where C is an arbitrary constant.
Combining the above equation with Equation (14), we get:
c t f i n a l t i n i t i a l = a t i n i t i a l .
Therefore, the braking deceleration a as a function of time can be obtained as follows:
a t = a t i n i t i a l + c t t i n i t i a l .
In the formula, t i n i t i a l t t f i n a l , and then integrate the above equation again:
v t = v t i n i t i a l + a t i n i t i a l ,                           t t i n i t i a l + 1 2 c t t i n i t i a l 2 .
Combining Equations (10) and (12), we obtain the formula for calculating longitudinal acceleration:
c = a 2 t i n i t i a l 2 v t i n i t i a l .
Combining Equations (11) and (13), the equation for the target deceleration curve can be obtained:
a t = a t i n i t i a l + a 2 t i n i t i a l 2 v t i n i t i a l t t i n i t i a l .
It can be seen that under different braking and deceleration conditions, a deceleration convergence function can be obtained in each case.

3. Simulation Verification

3.1. Establishment of Simulation Parameters

The EHB model described in this study refers to a physical model of the electro-hydraulic braking system, which is used to characterize the mapping relationship between braking control commands and brake fluid pressure, and to represent the dynamic response characteristics of the EHB actuation layer. Based on this model, a control framework for deceleration target planning was constructed. As illustrated in Figure 1, the geometric structure of the model used in this study strictly adheres to the physical causal relationships inherent in the actual braking process. Taking velocity trajectory planning as the control starting point, the EHB pressure adjustments are applied to the longitudinal and pitch dynamics model of the vehicle, forming a closed-loop feedback structure. Unlike traditional control architectures that directly operate based on deceleration or braking force, this approach achieves decoupling between the controller and vehicle dynamics at the structural level, while explicitly retaining key state variables such as the pitch attitude. This study constructs an integrated hierarchical closed-loop braking control and vehicle dynamics model, which consists of a deceleration planning layer, an electronic braking control layer, and a vehicle longitudinal-pitch coupled dynamics layer. The deceleration planning layer generates a reference velocity based on a predefined deceleration target to shape the desired deceleration trajectory, with a particular focus on optimizing ride comfort during the final stage of braking. The electronic braking control layer takes the error between the reference velocity and the actual velocity as input and outputs the braking pressure command, thereby achieving closed-loop regulation of the braking actuator. The vehicle dynamics layer uses braking pressure as input to establish a longitudinal-pitch coupled dynamics model and outputs key response parameters such as vehicle velocity, longitudinal acceleration, displacement, and pitch angle. In contrast to traditional single-loop control models that focus solely on braking distance or deceleration, this model explicitly accounts for the coupling relationship between longitudinal load transfer and vehicle attitude changes during braking. At the system structure level, it realizes a causal chain of “deceleration trajectory shaping—pressure adjustment—attitude response.” By embedding deceleration planning into the closed-loop control architecture, the model smooths the deceleration recovery process during the final braking phase without compromising overall braking performance, thereby effectively suppressing longitudinal jerks and pitch oscillations, and enhancing braking comfort and system stability.
Table 2 lists the vehicle parameters of the research object, and the simulation parameters are consistent with the actual vehicle test parameters. Based on the previously established simulation model, a straight-line braking simulation was conducted using CarSim (Vehicle dynamics simulations were conducted using CarSim 2022.1 (Mechanical Simulation Corporation, Ann Arbor, MI, USA).) software. In this scenario, the initial vehicle speed was set to 36 km/h, followed by deceleration. The braking process is shown in Figure 2.
During the initial phase of braking, the change in the pitch angle is relatively small; during the middle phase, the forward shift in the center of gravity leads to compression of the front suspension and extension of the rear suspension, thereby increasing the pitch angle. The pitch motion of the vehicle can be described by the following equation:
I P θ ¨ μ R F z R + μ F F z F h + f s r l r f s f l f + f s r l r f s f l f = 0 .
In the formula, f s f and f s r represent the spring forces of the front and rear axle suspensions, respectively.
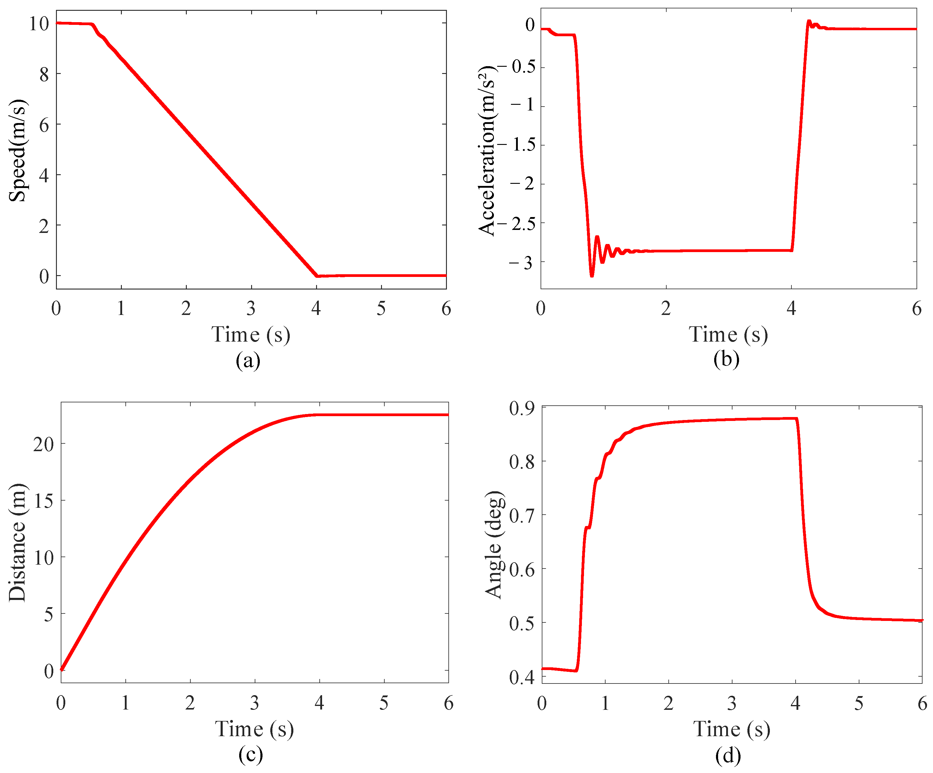
As shown in Figure 3a, during the initial braking phase (0–0.8 s), the vehicle deceleration is relatively small, and the pitch angle remains relatively stable at 0.4–0.5°. In the mid-braking phase (0.8–3.9 s), as the deceleration increases, the center of gravity shifts forward, causing the pitch angle to increase rapidly and stabilize at approximately 0.85–0.9°. During this period, the front suspension compresses while the rear suspension extends, resulting in axle load transfer. In the later braking phase (after 3.9 s), the braking force diminishes, and the pitch angle decreases rapidly, eventually stabilizing at around 0.5°. Figure 3b,c illustrate the variations in velocity and deceleration, respectively: the initial vehicle speed is 10 m/s, and after approximately 0.5 s, it enters a constant deceleration phase of −3 m/s2, coming to a complete stop at 4 s. At the moment the vehicle halts, the deceleration changes abruptly and returns to 0 m/s2. Figure 3d presents the variation in braking distance as the vehicle decelerates from 36 km/h to a complete stop. The total braking distance does not exceed 23 m, meeting the safety requirements for daily driving.

3.2. The Incorporation of Speed Planning

When the control mode is set to Control Model = 1, the system operates in the normal braking mode, employing standard PI control parameters to regulate the braking deceleration. In this mode, the controller prioritizes fundamental braking performance and safety, focusing on the rapid response and steady-state accuracy of the deceleration target, thereby ensuring braking effectiveness and system stability under most normal operating conditions. Conversely, when Control Model = 2, the system switches to the comfort braking mode. To reduce the rate of change in deceleration and the vehicle pitch jerk during braking, the PI parameter gains are appropriately reduced in this mode. This results in a smoother controller output, avoiding abrupt deceleration changes caused by excessive control actions, and thus achieves a smoother and more continuous braking regulation process.
In both modes, the controller uses the deviation between the target deceleration and the actual deceleration as its input. Based on the PI control law, the controller calculates the braking pressure adjustment, where the proportional component is used for rapid response to instantaneous errors, and the integral component is used to compensate for steady-state errors, ensuring deceleration tracking accuracy. Through mode switching and differentiated parameter design, this system can not only meet the dynamic performance requirements of conventional braking but also effectively mitigate deceleration fluctuations and improve ride comfort under conditions with high comfort demands, such as in traffic congestion or when approaching a stop.
u k = K P e k + K i   I k ,
where u k represents the control output at the k sampling time; e k is the speed error; and I k is the error integral term.
To prevent abrupt changes in the target parameter values inferred by fuzzy logic from directly impacting the control system, a smooth, gradual adjustment mechanism is introduced as a transitional step in this design. This mechanism transforms instantaneous target values into a gradual adjustment process by limiting the maximum rate of change in the parameter per unit time. For the proportional gain and integral gain, symmetric rate limiters are employed, allowing for smooth, bidirectional adjustment of the parameters. In contrast, an asymmetric ratchet mechanism is adopted for the coordination coefficient, permitting upward adjustment only while prohibiting downward adjustment. This design stems from the monotonicity requirement of weight coefficients in multi-objective optimization, ensuring the convergence of the optimization process and the cumulative improvement characteristic of system performance. The final outputs of all parameters are subjected to saturation limits, strictly constraining them within preset boundaries, thereby fundamentally guaranteeing the stability and safety of the control system.
Table 3 defines the membership functions for velocity fuzzification. The low-speed fuzzy set employs a left-shoulder trapezoidal function, with full membership below 5 km/h, linearly decreasing membership between 5 km/h and 30 km/h, and zero membership above 30 km/h. The high-speed fuzzy set employs a right-shoulder trapezoidal function, complementary to the low-speed fuzzy set. The sum of the two membership functions is always equal to 1, satisfying the completeness requirement.
Table 4 presents the rule base structure of the fuzzy control. Rule 1 corresponds to low-speed operating conditions and outputs the minimum parameter value; Rule 2 corresponds to high-speed operating conditions and outputs the maximum parameter value. The comprehensive output is obtained using the weighted average method, where the output values are weighted and summed according to the membership degrees of the two rules, thereby achieving continuous and smooth adjustment of the parameters. All three control parameters adopt the same inference structure, ensuring the consistency of the control strategy.
This study designs a rule-based fuzzy adaptive PI controller for the online tuning of vehicle longitudinal dynamics parameters. This method utilizes fuzzy logic to adaptively adjust conventional PI gains, enhancing the system’s adaptability to nonlinear, time-varying characteristics and uncertainties. The controller comprises four stages: fuzzification, fuzzy inference, defuzzification, and output adjustment. The input variable is the real-time velocity of the vehicle, which is fuzzified using trapezoidal membership functions. These functions employ a left-shoulder type for the low-speed range and a right-shoulder type for the high-speed range, with a smooth overlap in the medium-speed region to achieve a continuous transition of control parameters. The rule base contains two fundamental rules: using smaller proportional and integral gains under low-speed conditions to suppress overshoot, and employing larger gains under high-speed conditions to enhance response performance. This paper adopts the Mamdani inference mechanism and utilizes the membership degree weighted average method to calculate the PI parameters, enabling continuous gain adjustment and boundary constraints. To prevent system instability caused by abrupt parameter changes, rate limiters and saturation mechanisms are implemented at the output stage, ensuring smooth parameter variations and confining them within safe ranges, thereby improving system stability and robustness.
The mode switching logic serves as the core decision-making mechanism of the adaptive control system, continuously adjusting between different control modes based on the vehicle’s real-time velocity. According to vehicle longitudinal dynamics, the velocity range is partitioned into a low-speed zone (0–5 km/h), a transition zone (5–30 km/h), and a high-speed zone (≥30 km/h). The low-speed zone emphasizes smoothness and oscillation suppression, employing smaller proportional gain, integral gain, and coordination coefficient. The high-speed zone prioritizes rapid response and disturbance rejection, correspondingly increasing the control parameters. Within the transition zone, complementary fuzzy sets are constructed using trapezoidal membership functions, and a weighted average method is employed to achieve continuous and monotonic variation in the parameters, thereby avoiding the jerks and instability caused by hard switching. The mode switching is entirely driven by the vehicle velocity. In each control cycle, the membership degrees are calculated in real-time to generate target parameters, while rate limiters and boundary constraints are introduced to suppress abrupt parameter changes. The coordination coefficient adopts a unidirectional incremental ratchet mechanism to ensure the monotonic optimization of multi-objective performance and prevent performance degradation caused by mode regression.
The variation in longitudinal acceleration reflects the build-up process of braking force and the dynamic response characteristics of the vehicle mass; the pitch angle response reflects the dynamic load transfer between the front and rear axles during deceleration, which directly affects the vehicle’s ride comfort and braking stability; the suspension deflection reveals the vertical dynamic interaction between the vehicle body and the wheel assemblies under the load redistribution induced by braking; the change in braking pressure corresponds to the control input and regulation characteristics of the electro-hydraulic braking (EHB) system.
Figure 4 compares the vehicle velocity, acceleration, longitudinal displacement, and pitch angle responses during braking, both with and without deceleration planning. Figure 4a shows that, under both strategies, the vehicle velocity exhibits an approximately linear decrease during the main braking phase. However, during the final stage of braking, the deceleration planning strategy allows the vehicle velocity to converge to zero more smoothly, indicating that it effectively suppresses longitudinal jerk at the end of the braking event. Figure 4b demonstrates that, due to the rapid build-up of braking pressure, the deceleration increases quickly during the initial phase and remains approximately constant during the steady braking phase. In contrast, the deceleration planning strategy enables the deceleration to return to zero more smoothly, demonstrating its effectiveness in mitigating jerk during the braking release phase. Figure 4c indicates that the longitudinal displacement of the vehicle is nearly identical under both strategies, validating that the proposed method optimizes comfort without compromising braking performance or braking distance. Figure 4d shows that, with the transfer of longitudinal load, the pitch angle gradually increases during braking and subsequently decreases after the braking release. With the adoption of the planning strategy, the pitch angle recovery process becomes smoother, indicating that abrupt load transfer is effectively suppressed, thereby enhancing ride comfort.
In summary, the proposed deceleration planning strategy optimizes and reshapes the braking process as the vehicle approaches a stop without altering the overall braking effect. By achieving a smoother deceleration recovery and braking pressure release process, it effectively suppresses longitudinal jerk and pitch oscillations, significantly enhancing comfort at the end of the braking event while ensuring braking safety.

3.3. Comfort Braking Control Effect at Different Initial Velocities

The foregoing analysis indicates that, compared to braking without deceleration planning control, the introduction of the deceleration planning control algorithm can significantly enhance driving comfort during the braking process. However, due to the inherent hysteresis in deceleration control, validation under a single operating condition cannot fully reflect the stability of the control algorithm. To reduce random interference and more comprehensively evaluate the effectiveness of the proposed comfort braking control algorithm, this paper further validates the algorithm by varying the initial vehicle speed and selecting different initial speed conditions. Specifically, the initial vehicle speed is set to 40 km/h and 44 km/h, respectively, and deceleration simulations are conducted for each case.
Figure 5 shows that, compared with the 36 km/h condition, the 40 km/h condition results in a significantly longer braking duration and greater braking distance due to its higher initial energy. However, after implementing deceleration planning, stable braking is achieved in both operating conditions. Specifically, without deceleration planning, the 40 km/h condition exhibits more pronounced velocity fluctuations towards the end of the braking process, dropping abruptly to 0 m/s around the fourth second and showing a tendency to rebound. After deceleration planning is applied, the velocity profile displays a continuous and smooth decline when approaching a stop, significantly improving the end-of-braking jerk and residual motion. Regarding the deceleration response, although both conditions maintain a braking level of approximately −3 m/s2, the magnitude of deceleration oscillations is greater for the 40 km/h condition in the absence of deceleration planning. This indicates that a higher initial speed makes the system more sensitive to actuator nonlinearities and hydraulic dynamics. The introduction of the planning strategy effectively suppresses these oscillations, advancing the deceleration recovery time by approximately 0.4 s, thereby achieving a smoother deceleration variation. This demonstrates that the proposed planning method maintains good robustness and smooth control capability even at higher speeds. The distance curve results show that the final stopping position at 40 km/h is significantly farther than at 36 km/h, but the final position error is small in both cases after planning. The improvement in distance tracking accuracy is more pronounced at the higher speed, further validating the applicability and consistency of the method under different initial speed conditions. Furthermore, concerning the vehicle attitude response, the peak pitch angle at 40 km/h is slightly higher than that at 36 km/h, indicating that a higher initial speed induces a stronger braking pitch effect. However, after planning, the variation in the pitch angle becomes more continuous and smoother, and the pitch angle near the standstill is approximately 0.25° smaller than that without planning.
Figure 6 shows that, at an initial speed of 44 km/h, the overall braking trend of the vehicle remains consistent with that under lower speed conditions. However, due to the further increase in initial kinetic energy, both the braking duration and braking distance increase. The velocity profile indicates that, without braking planning, the vehicle still exhibits some velocity rebound and residual fluctuations when approaching zero speed. After implementing braking planning, the final velocity decay process becomes smoother. The deceleration profile shows that, under this operating condition, the overall vehicle deceleration stabilizes at approximately −3 m/s2. Nevertheless, in the absence of braking planning, significant oscillations and jitters are observed during the initial pressure build-up and steady-state phases, suggesting that the nonlinear effects of the braking system and hydraulic dynamic fluctuations become more pronounced at higher initial speeds. With the implementation of the planning strategy, the amplitude of deceleration fluctuations is significantly reduced, and the deceleration variation becomes smoother. Following two acceleration phases, the constant deceleration duration is shortened (by approximately 0.3 s), implying that by sacrificing a portion of the constant deceleration time, the deceleration recovery time is extended, thereby achieving a smoother deceleration process. From the perspective of distance response, the stopping distance at 44 km/h further increases, but the final position error of the planned distance curve is significantly reduced. This indicates that the method not only meets braking distance requirements but also maintains excellent distance tracking capability and consistency even under high initial speed conditions. The pitch angle results demonstrate that the peak pitch angle increases slightly with the initial speed; high-speed braking leads to a more pronounced tendency for pitch forward, yet this does not compromise the control effectiveness. Under the planning strategy, the pitch angle during deceleration recovery is smoother and more continuous, without abrupt changes. The pitch angle at vehicle standstill is approximately 0.2° smaller than that in the uncontrolled case.
Velocity, as the most intuitive motion state variable, reflects the smoothness and convergence of the braking trajectory through its time-domain variation. By statistically analyzing the average velocity, maximum velocity, and instantaneous velocity at critical moments, the optimization effect of trajectory planning on the velocity profile can be quantitatively evaluated. Acceleration is a crucial indicator for assessing braking dynamic performance; its average value characterizes the overall braking intensity, while its extreme values reflect the degree of dynamic fluctuation. Excessive deceleration peaks or abrupt changes can potentially lead to wheel lock-up, a sensation of jerk, and reduced comfort, thus making their quantitative analysis significant. Braking distance directly reflects vehicle safety performance; by comparing the braking distance before and after planning, the optimization effect of the algorithm can be verified without compromising the ability to stop safely. The pitch angle reflects the load transfer and vehicle attitude changes during braking; excessive pitch response can adversely affect comfort and suspension performance. Therefore, by analyzing its average value, peak value, and response at critical moments, the degree of improvement in attitude control can be assessed. Linear interpolation was employed in data processing to obtain precise parameter values at the 4 s mark, a time point situated in the mid-to-late braking phase, which aids in reflecting the system’s dynamic response characteristics. The selected statistical indicators consider both the overall trend and extreme value suppression, while the three vehicle speed conditions cover a typical urban operating range, rendering the evaluation results valuable for engineering representation and generalizability. Specific values are shown in Table 5, Table 6, Table 7 and Table 8.

3.4. This Method Is Compared with Similar Methods

To avoid the potential limitations of drawing conclusions based solely on self-comparison, this paper selects representative relevant studies from recent years as reference objects and conducts a comparative analysis from the perspective of braking smoothness indicators. This horizontal comparison not only more clearly demonstrates the advantages of the proposed strategy over fixed-parameter or piecewise control methods but also helps to clarify the technical positioning and innovative contributions of this paper.
Table 9 compares the differences in key braking performance indicators between the method proposed in this paper and the reference [20]. In terms of maximum deceleration, the peak deceleration in reference [20] is slightly higher (−9.2 m/s2), whereas that of the proposed method is −8.9 m/s2. This result indicates that while ensuring sufficient braking capability, the strategy proposed in this paper appropriately reduces the peak instantaneous deceleration, thereby helping to mitigate longitudinal jerk during the braking process. Regarding braking distance, the proposed method achieves 26.83 m, which is superior to the 27.4 m reported in reference [20]. This suggests that a slight reduction in peak deceleration does not compromise braking safety but rather enables better control over the braking distance. In terms of braking time, the difference between the two methods is minimal (4 s vs. 3.84 s), and the overall braking efficiency is similar, indicating that the proposed method maintains good braking response performance while ensuring safety. Furthermore, concerning the pressure build-up feedback characteristics, the proposed method exhibits a smaller pressure overshoot, signifying a smoother accumulation process of braking pressure. This contributes to suppressing longitudinal jerk and pitch oscillations, thereby enhancing ride comfort at the end of braking and improving system stability.
Overall, compared with reference [20], the method in this paper achieves smoother pressure regulation characteristics and better comfort performance while maintaining the basic consistency of braking safety performance, demonstrating certain comprehensive performance advantages. Considering that the initial working conditions and simulation parameter settings in different references may differ, in order to ensure the fairness of the comparison, this paper re-performed the simulation verification under the same working conditions as reference [20], and gave the corresponding performance indicators to ensure the objectivity and comparability of the comparison results.

4. Real Vehicle Verification

4.1. Test Environment Setup

After the driver depresses the brake pedal, the pedal sensors simultaneously acquire signals such as pedal travel and pedal force. These signals are processed and transmitted to the vehicle controller. The vehicle controller analyzes and determines the driver’s braking demand by integrating information, including the vehicle’s current velocity, wheel rotational speeds, and system status, thereby determining the corresponding target braking pressure or desired deceleration command. Based on this, the controller sends control instructions to the electro-hydraulic braking (EHB) actuator. The actuator regulates the output flow of the pump by driving the motor and, in coordination with the solenoid valve assembly, finely adjusts the hydraulic pressure in each wheel cylinder, thereby achieving precise distribution and stable output of the braking force.
At the actuation level, the system relies on pressure sensors and wheel speed sensors to construct a closed-loop feedback circuit, which acquires real-time data on each wheel cylinder pressure and wheel motion status. This data is compared with the target values to perform error correction. This closed-loop control mechanism not only enhances the pressure response speed and control accuracy but also effectively suppresses pressure fluctuations and hysteresis, ensuring the continuity, smoothness, and reliability of the braking process.
To validate the applicability and effectiveness of the proposed control strategy under real-world operating conditions, a vehicle braking test platform was established. This test platform primarily consists of a test vehicle, an Electro-Hydraulic Braking (EHB) system actuator, a host computer monitoring system, INCA (ETAS GmbH, Stuttgart, Germany) calibration software, and hydraulic pressure sensors. The vehicle controller runs the core control algorithm and interacts with the EHB system via the CAN (Shanghai Tongyu Automotive Technology Co., Ltd.) bus to issue pressure adjustment commands. The host computer monitors the vehicle’s operating status and system signals in real time, and records and analyzes test data offline. The INCA software supports online calibration and debugging of control parameters, facilitating the optimization of control performance under different operating conditions. Hydraulic pressure sensors are installed in the brake fluid circuit to measure the actual hydraulic pressure generated during the braking process in real time. These sensors do not receive any control commands; their output signals are acquired by the EHB controller, used to form a closed-loop control of the braking pressure, and sent via the CAN bus to the vehicle controller, ultimately being uploaded to the host computer test system. This platform enables systematic testing of braking performance under different speeds, deceleration demands, and various operating conditions, thereby comprehensively evaluating the stability and comfort enhancement effects of the control strategy. A simplified diagram of the actual vehicle test architecture is shown in Figure A2 of Appendix A.

4.2. Test Results

To validate the effectiveness of the proposed control strategy in an actual vehicle, real vehicle braking tests were conducted under the same initial speed and consistent driving conditions, employing both a benchmark control strategy and the method proposed in this paper. During the tests, the deceleration variation at the end of braking, vehicle speed tracking accuracy, and system pressure build-up response characteristics were evaluated, thereby comprehensively analyzing the performance of the control strategy from the perspectives of both comfort and controllability.
The test results are shown in Figure 7, Figure 8 and Figure 9. To mitigate the influence of randomness inherent in single-test data, the average of three experimental runs was calculated for the analysis of vehicle speed and deceleration test values. Figure 7 displays the vehicle speed versus time curves. It can be observed that the simulation results are in high agreement with the actual vehicle test results. The vehicle speed exhibits an approximately linear decreasing trend and smoothly converges to zero before stopping, indicating that the established model can accurately reflect the vehicle’s longitudinal deceleration process. Due to the idealized model representation of braking pressure response and tire-road adhesion characteristics in the simulation, whereas actual vehicle testing is subject to factors such as braking system lag, hydraulic pressure build-up time, and random disturbances between the tire and road surface, the experimental curve shows a slight lag during the late deceleration phase. Figure 8 compares the deceleration response characteristics of the two models. Both are capable of rapidly establishing stable deceleration at the initial braking stage and gradually decelerating when approaching a stop, with the overall magnitude and trend being essentially identical. However, the experimental data indicates noticeable fluctuations and a saturation region during the late braking phase. This is primarily attributed to the dynamic characteristics of the solenoid valves, the compressibility of the hydraulic system, and the influence of sensor noise. The experimental curve exhibits certain amplitude fluctuations during both the pressure build-up and release phases, a nonlinear characteristic not reflected in the simulation results.
Figure 9 illustrates the pressure build-up process of the braking system. In the EHB system, the target hydraulic pressure is the desired value calculated by the controller, whereas the actual hydraulic pressure represents the real response of the hydraulic system under the dynamic characteristics and physical constraints of the actuator. Due to the combined effects of factors such as the limited response bandwidth of the solenoid valves and motor actuator, the compressibility of the hydraulic fluid, the elasticity of the pipelines, as well as controller discretization, communication delays, and protection limiting strategies, it is challenging for the actual hydraulic pressure to perfectly match the target hydraulic pressure during dynamic transients. Nevertheless, the two maintain good consistency in the overall trend and key phases, satisfying the requirements for braking performance and comfort.
In summary, simulation and real-vehicle testing show high consistency in terms of vehicle speed variation, deceleration dynamic response, and braking pressure build-up process. The results demonstrate that the established vehicle model accurately reflects the dynamic characteristics of the actual braking process, and the proposed control strategy operates stably under real-vehicle conditions, effectively improving smoothness and comfort at the end of braking. Especially in the approaching stopping phase, deceleration converges smoothly, and pressure regulation is continuous and stable, without significant shocks or fluctuations, further validating the feasibility and engineering application value of the proposed model and control method in comfort braking control.

5. Conclusions

This study addresses the comfort-oriented braking control problem for electro-hydraulic braking (EHB) systems, with a focus on analyzing and suppressing longitudinal jerk during the final stage of braking. The investigation reveals that the abrupt deceleration and rapid release of braking pressure as the vehicle approaches a standstill are the primary causes of longitudinal jerk and pitch oscillations. Therefore, this study models the final braking phase as an independent control stage and proposes a comfort-oriented braking strategy based on deceleration planning. The proposed method integrates a control-oriented EHB pressure model with adaptive parameter tuning, enabling continuous adjustment throughout the deceleration process. This approach avoids the mode-switching jerks commonly associated with traditional piecewise or fixed-parameter control methods while maintaining excellent engineering feasibility. Results from both simulations and real vehicle tests demonstrate that the proposed strategy significantly enhances braking smoothness and effectively suppresses pitch oscillations at the end of braking, without compromising braking safety or distance. Future work will extend the proposed framework to cooperative control with active suspension systems and investigate its performance under varying road conditions and emergency braking scenarios. Furthermore, the integration of driver intention recognition and learning-based adaptive mechanisms will be explored to further enhance the system’s robustness and adaptability in practical applications.

Author Contributions

Conceptualization, B.Z.; methodology, B.Z.; software, B.H.; validation, B.H.; formal analysis, S.X.; investigation, B.Z.; resources, F.L.; writing—original draft preparation, B.Z.; writing—review and editing, F.L.; visualization, Q.S.; supervision, Q.S.; All authors have read and agreed to the published version of the manuscript.

Funding

This research received no external funding.

Data Availability Statement

The data presented in this study are available on request from the corresponding author due to project data confidentiality agreement.

Conflicts of Interest

Author Qiang Shu was employed by the company Shanghai Tongyu Automo-tive Technology Co., Ltd. The remaining authors declare that the research was conducted in the absence of any commercial or financial relationships that could be construed as a potential conflict of interest.

Appendix A

Figure A1. Force diagram of vehicle braking.
Figure A1. Force diagram of vehicle braking.
Wevj 17 00105 g0a1
Figure A2. Real vehicle test architecture diagram.
Figure A2. Real vehicle test architecture diagram.
Wevj 17 00105 g0a2

References

  1. Jia, C.; Liu, W.; Chau, K.T.; He, H.; Zhou, J.; Niu, S. Passenger-aware reinforcement learning for efficient and robust energy management of fuel cell buses. eTransportation 2026, 27, 100537. [Google Scholar] [CrossRef]
  2. Lu, D.; Yi, F.; Hu, D.; Li, J.; Yang, Q.; Wang, J. Online optimization of energy management strategy for FCV control parameters considering dual power source lifespan decay synergy. Appl. Energy 2023, 348, 121516. [Google Scholar] [CrossRef]
  3. Jia, C.; Liu, W.; He, H.; Chau, K.T. Health-conscious energy management for fuel cell vehicles: An integrated thermal management strategy for cabin and energy source systems. Energy 2025, 333, 137330. [Google Scholar] [CrossRef]
  4. Li, D.; Tan, C.; Ge, W.; Cui, J.; Gu, C.; Chi, X. Review of Brake-by-Wire System and Control Technology. Actuators 2022, 11, 80. [Google Scholar] [CrossRef]
  5. Meng, B.; Yang, F.; Liu, J.; Wang, Y. A Survey of Brake-by-Wire System for Intelligent Connected Electric Vehicles. IEEE Access 2020, 8, 225424–225436. [Google Scholar] [CrossRef]
  6. Ma, B.; Lin, M.; Chen, Y.; Wang, L.X. Investigation of energy efficiency for electro-hydraulic composite braking system which is based on the regenerated energy. Adv. Mech. Eng. 2016, 8. [Google Scholar] [CrossRef]
  7. Gong, X.; Ge, W.; Yan, J.; Zhang, Y.; Gongye, X. Review on the development, control method and application prospect of brake-by-wire actuator. Actuators 2020, 9, 15. [Google Scholar] [CrossRef]
  8. Zhao, J.; Hu, Z.; Zhu, B. Pressure Control for Hydraulic Brake System Equipped with an Electro-Mechanical Brake Booster; SAE Technical Paper 2018-01-0829; SAE International: Warrendale, PA, USA, 2018. [Google Scholar]
  9. Xu, S.; Yu, Z.; Xiong, L. Control of Novel Integrated-Electro-Hydraulic Brake System for Automotive; SAE Technical Paper 2015-01-2699; SAE International: Warrendale, PA, USA, 2015. [Google Scholar]
  10. Yu, Z.; Xu, S.; Xiong, L.; Han, W. An Integrated-Electro-Hydraulic Brake System for Active Safety; SAE Technical Paper 2016-01-1640; SAE International: Warrendale, PA, USA, 2016. [Google Scholar]
  11. Gong, X.; Qian, L.; Ge, W.; Wang, L. Research on the Anti-Disturbance Control Method of Brake-by-Wire Unit for Electric Vehicles. World Electr. Veh. J. 2019, 10, 44. [Google Scholar] [CrossRef]
  12. Li, W.; Wang, M.; Huang, C.; Li, B. A Survey of Hybrid Braking System Control Methods. World Electr. Veh. J. 2024, 15, 372. [Google Scholar] [CrossRef]
  13. Zhao, L.; Ye, M.; Xu, X. Intelligent optimization of EV comfort based on a cooperative braking system. Proc. Inst. Mech. Eng. 2021, 235, 2904–2916. [Google Scholar] [CrossRef]
  14. Cao, D.; Song, X.; Ahmadian, M. Editors’ perspectives: Road vehicle suspension design, dynamics, and control. Veh. Syst. Dyn. 2011, 49, 3–28. [Google Scholar] [CrossRef]
  15. Min, K.; Sim, G.; Ahn, S.; Park, I.; Yoo, S.; Youn, J. Multi-Level Deceleration Planning Based on Reinforcement Learning Algorithm for Autonomous Regenerative Braking of EV. World Electr. Veh. J. 2019, 10, 57. [Google Scholar] [CrossRef]
  16. Dong, H.; Zhuang, W.; Yin, G.; Xu, L.; Wang, Y.; Wang, F.; Lu, Y. Energy-Optimal Braking Control Using a Double-Layer Scheme for Trajectory Planning and Tracking of Connected Electric Vehicles. Chin. J. Mech. Eng. 2021, 34, 83. [Google Scholar] [CrossRef]
  17. Kim, D.; Eo, J.S.; Kim, Y.; Guanetti, J.; Miller, R.; Borrelli, F. Energy-Optimal Deceleration Planning System for Regenerative Braking of Electrified Vehicles with Connectivity and Automation; SAE Technical Paper 2020-01-0582; SAE International: Warrendale, PA, USA, 2020. [Google Scholar]
  18. Carlowitz, S.; Rossner, P.; Madigan, R.; Bieg, H.J.; Marberger, C.; Alt, P.; Otto, H.; Schulz, M.; Schultz, A.; Kenar, E.; et al. User evaluation of comfortable deceleration profiles for highly automated driving: Findings from a test track study. Transp. Res. Part F Traffic Psychol. Behav. 2024, 105, 206–221. [Google Scholar]
  19. Liu, X.; Song, J.; Yu, L.; Lu, Z.; Wang, J.; Abi, L. Study on ride comfort in post-braking phase based on brake-by-wire system. Proc. Inst. Mech. Eng. Part D J. Automob. Eng. 2023, 237, 381–392. [Google Scholar] [CrossRef]
  20. Lai, F.; Huang, C. Balancing Safety and Comfort: A Novel Automatic Braking Control Method Using Seventh-Degree Polynomials. Algorithms 2024, 17, 545. [Google Scholar] [CrossRef]
  21. Chen, Q.; Shao, H.; Liu, Y.; Xiao, Y.; Wang, N.; Shu, Q. Hydraulic-pressure-following control of an electronic hydraulic brake system based on a fuzzy, proportional and integral controller. Eng. Appl. Comput. Fluid Mech. 2020, 14, 1228–1236. [Google Scholar] [CrossRef]
  22. Shi, Z.; Yan, Y.; Zhang, S. Variable boost characteristic control strategy of hydraulic systems for brake-by-wire based on driving style. Sci. Rep. 2024, 14, 29412. [Google Scholar] [CrossRef]
  23. Zhao, X.; Xiong, L.; Zhuo, G.; Tian, W.; Li, J.; Shu, Q.; Zhao, X.; Xu, G. A Review of One-Box Electro-Hydraulic Braking System: Architecture, Control, and Application. Sustainability 2024, 16, 1049. [Google Scholar] [CrossRef]
  24. Shi, B.; Xiong, L.; Yu, Z. Pressure Estimation of the Electro-Hydraulic Brake System Based on Signal Fusion. Actuators 2021, 10, 240. [Google Scholar] [CrossRef]
  25. Li, C.; He, C.; Yuan, Y.; Zhang, J. Braking Evaluation of Integrated Electronic Hydraulic Brake System Equipped in Electric Vehicle. In Proceedings of the 2019 IEEE 3rd Information Technology, Networking, Electronic and Automation Control Conference (ITNEC), Chengdu, China, 15–17 March 2019. [Google Scholar] [CrossRef]
  26. Lai, H.; Madås, D. Test Vehicle for Regenerative Braking Emulation. Master’s Thesis, Chalmers University of Technology, Göteborg, Sweden, 2011. [Google Scholar]
  27. Wei, D.; Wang, W.; Wang, B.; Wang, W.; Li, S.; Wu, D.; Jiang, P. Bifurcation and Chaotic Behaviors of Vehicle Brake System Under Low Speeds Braking Condition. J. Vib. Eng. Technol. 2021, 9, 2107–2120. [Google Scholar] [CrossRef]
  28. Zhang, L.; Wang, Q.; Wang, Z.; Ding, X.; Sun, F. Research on Brake Pitch Comfort Control for Distributed-Drive Electric Vehicles Based on Brake-by-Wire System; National Engineering Research Center for Electric Vehicles, Beijing Institute of Technology: Beijing, China, 2024. [Google Scholar]
Figure 1. Braking Deceleration Planning Model.
Figure 1. Braking Deceleration Planning Model.
Wevj 17 00105 g001
Figure 2. Three stages of the braking process.
Figure 2. Three stages of the braking process.
Wevj 17 00105 g002
Figure 3. (a) Velocity variation curve; (b) Acceleration variation curve; (c) Braking distance variation curve; (d) Pitch angle variation curve.
Figure 3. (a) Velocity variation curve; (b) Acceleration variation curve; (c) Braking distance variation curve; (d) Pitch angle variation curve.
Wevj 17 00105 g003
Figure 4. (a) Velocity variation curve; (b) Acceleration variation curve; (c) Braking distance variation curve; (d) Pitch angle variation curve.
Figure 4. (a) Velocity variation curve; (b) Acceleration variation curve; (c) Braking distance variation curve; (d) Pitch angle variation curve.
Wevj 17 00105 g004
Figure 5. (a) Velocity variation curve; (b) Acceleration variation curve; (c) Braking distance variation curve; (d) Pitch angle variation curve.
Figure 5. (a) Velocity variation curve; (b) Acceleration variation curve; (c) Braking distance variation curve; (d) Pitch angle variation curve.
Wevj 17 00105 g005
Figure 6. (a) Velocity variation curve; (b) Acceleration variation curve; (c) Braking distance variation curve; (d) Pitch angle variation curve.
Figure 6. (a) Velocity variation curve; (b) Acceleration variation curve; (c) Braking distance variation curve; (d) Pitch angle variation curve.
Wevj 17 00105 g006
Figure 7. Comparison of actual vehicle test speed changes and simulation speed changes.
Figure 7. Comparison of actual vehicle test speed changes and simulation speed changes.
Wevj 17 00105 g007
Figure 8. Comparison of deceleration changes between actual vehicle testing and simulation.
Figure 8. Comparison of deceleration changes between actual vehicle testing and simulation.
Wevj 17 00105 g008
Figure 9. Response of actual hydraulic pressure and target hydraulic pressure during braking.
Figure 9. Response of actual hydraulic pressure and target hydraulic pressure during braking.
Wevj 17 00105 g009
Table 1. Comparison of main solutions in electro-hydraulic braking system research directions.
Table 1. Comparison of main solutions in electro-hydraulic braking system research directions.
Research DirectionMain Technical MeansAdvantageLimitationResearch Trends
Deceleration
planning
Segmented planning, comfort
constrained
planning
Improve braking
comfort and reduce
impact
sensation
Relying on model accuracy makes it diffcult to consider
multiple
objectives
Multi-objective optimization and
chassis-coordinated control
Hydraulic pressure controlPID, sliding mode, MPC, observer, etc.Improve pressure response speed and stabilityThere are nonlinearity and actuator hysteresis problemsSensorless estimation and adaptive control
Real vehicle testing and subjective evaluationReal vehicle road tests, subjective scoring, and objective indicator analysisVerify the actual effectiveness of the control strategyIt is highly subjective and has high testing costsSubjective and objective integrated evaluation system
Table 2. Test and simulation vehicle parameters.
Table 2. Test and simulation vehicle parameters.
ParameterNumerical ValuesParameterNumerical Values
Vehicle quality1650 kgVehicle height1450 mm
wheelbase3050 mmVehicle width1880 mm
Front axle track320 mmCenter of mass height0.53 m
Rear axle track320 mmDistance from center of gravity to front axle1400 mm
Table 3. Fuzzy membership function definition.
Table 3. Fuzzy membership function definition.
Fuzzy SetSymbolSpeed RangeMembership
Function
Function
Parameters
low speedμ_lowv ≤ 5μ_low = 1v_low = 5 km/h
low speedμ_low5 < v < 30μ_low = (30 − v)/25v_high = 30 km/h
low speedμ_lowv ≥ 30μ_low = 0Transition zone width = 25 km/h
high speedμ_highv ≤ 5μ_high = 0Normalization
constraints:
high speedμ_high5 < v < 30μ_high = (v − 5)/25μ_low + μ_high = 1
high speedμ_highv ≥ 30μ_high = 1Function type: Trapezoid
Table 4. Fuzzy rule base and inference mechanism.
Table 4. Fuzzy rule base and inference mechanism.
RuleAntecedentAfter KpAfter KiAfter cReasoning
Methods
R1v is LowKp_min = 0.008Ki_min = 0.045c_min = 0.99weight = μ_low
R2v is HighKp_max = 0.012Ki_max = 0.055c_max = 1.01weight = μ_high
R comprehensiveweighted outputμ_low × Kp_min + μ_high × Kp_maxμ_low × Ki_min + μ_high × Ki_maxμ_low × c_min + μ_high × c_maxWeighted
average method
Table 5. Quantitative analysis of velocity.
Table 5. Quantitative analysis of velocity.
Index36 km/h
Before Control
36 km/h
After
Control
40 km/h
Before Control
40 km/h
After
Control
44 km/h
Before Control
44 km/h
After
Control
average value (m/s)3.7713.7713.7463.7503.7503.753
Maximum value (m/s)10.00010.00011.11111.11112.22212.222
t = 4 s0.0990.1500.0400.1420.0250.131
Table 6. Quantitative analysis of acceleration.
Table 6. Quantitative analysis of acceleration.
Index36 km/h
Before
Control
36 km/h
After
Control
40 km/h
Before
Control
40 km/h
After
Control
44 km/h
Before
Control
44 km/h
After
Control
average value (m/s2)−1.659−1.660−1.789−1.789−1.975−1.975
Maximum value (m/s2)−2.981−2.981−3.732−3.721−3.949−3.762
t = 4 s−2.660−2.558−3.191−2.657−3.553−3.139
Table 7. Quantitative analysis of braking distance.
Table 7. Quantitative analysis of braking distance.
Index36 km/h
Before
Control
36 km/h
After
Control
40 km/h
Before
Control
40 km/h
After
Control
44 km/h
Before
Control
44 km/h
After
Control
average value (m)17.45917.46220.28920.29623.38023.387
Maximum value (m)22.61422.61424.53424.59727.49227.511
t = 4 s22.53122.54324.47424.48727.49127.505
Table 8. Quantitative analysis of pitch angle.
Table 8. Quantitative analysis of pitch angle.
Index36 km/h
Before
Control
36 km/h
After
Control
40 km/h
Before
Control
40 km/h
After
Control
44 km/h
Before
Control
44 km/h
After
Control
average value (deg)0.6890.6930.7130.7150.7370.738
Maximum value (deg)0.8850.8820.9320.9390.9720.981
t = 4 s0.8580.8290.9170.8860.9740.937
Table 9. The study compares indicators with those of other literature.
Table 9. The study compares indicators with those of other literature.
Comparison IndicatorsThis ArticleReference [20]Reference [21]
acceleration (m/s2)−8.9−9.2−9.3
braking distance (m)26.8327.427.13
braking time (s)43.843.92
Pressure build-up feedbacksmall overshoot-10% overshoot
Disclaimer/Publisher’s Note: The statements, opinions and data contained in all publications are solely those of the individual author(s) and contributor(s) and not of MDPI and/or the editor(s). MDPI and/or the editor(s) disclaim responsibility for any injury to people or property resulting from any ideas, methods, instructions or products referred to in the content.

Share and Cite

MDPI and ACS Style

Zhu, B.; Huang, B.; Xu, S.; Liu, F.; Shu, Q. Study on Vehicle Comfort Braking Control Based on an Electronic Hydraulic Brake System. World Electr. Veh. J. 2026, 17, 105. https://doi.org/10.3390/wevj17020105

AMA Style

Zhu B, Huang B, Xu S, Liu F, Shu Q. Study on Vehicle Comfort Braking Control Based on an Electronic Hydraulic Brake System. World Electric Vehicle Journal. 2026; 17(2):105. https://doi.org/10.3390/wevj17020105

Chicago/Turabian Style

Zhu, Bin, Bo Huang, Shen Xu, Fei Liu, and Qiang Shu. 2026. "Study on Vehicle Comfort Braking Control Based on an Electronic Hydraulic Brake System" World Electric Vehicle Journal 17, no. 2: 105. https://doi.org/10.3390/wevj17020105

APA Style

Zhu, B., Huang, B., Xu, S., Liu, F., & Shu, Q. (2026). Study on Vehicle Comfort Braking Control Based on an Electronic Hydraulic Brake System. World Electric Vehicle Journal, 17(2), 105. https://doi.org/10.3390/wevj17020105

Article Metrics

Back to TopTop