Sign in to use this feature.

Years

Between: -

Subjects

remove_circle_outline
remove_circle_outline
remove_circle_outline
remove_circle_outline
remove_circle_outline
remove_circle_outline
remove_circle_outline

Journals

Article Types

Countries / Regions

Search Results (31)

Search Parameters:
Keywords = cross-correlation aberration

Order results
Result details
Results per page
Select all
Export citation of selected articles as:
17 pages, 938 KB  
Article
Salivary Oxytocin Levels in Children With and Without Autism: Group Similarities and Subgroup Variability
by Eda Yılmazer, Metin Çınaroğlu, Salih Köse, Selami Varol Ülker and Sultan Tarlacı
J. Clin. Med. 2025, 14(19), 6760; https://doi.org/10.3390/jcm14196760 - 24 Sep 2025
Viewed by 30
Abstract
Background: Oxytocin (OXT), a neuropeptide involved in social bonding, has been proposed as a potential biomarker for autism spectrum disorder (ASD) due to its role in modulating social behaviors. However, prior studies on peripheral OXT levels in individuals with ASD have yielded inconsistent [...] Read more.
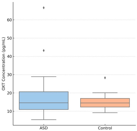
Background: Oxytocin (OXT), a neuropeptide involved in social bonding, has been proposed as a potential biomarker for autism spectrum disorder (ASD) due to its role in modulating social behaviors. However, prior studies on peripheral OXT levels in individuals with ASD have yielded inconsistent results, partly due to methodological and developmental variability. This study aimed to compare baseline salivary OXT concentrations between children with ASD and typically developing controls. Methods: In this cross-sectional, case–control study, salivary OXT levels were measured in 35 children aged 6–9 years (18 with ASD, 17 controls) using a standardized ELISA protocol. Samples were collected under controlled conditions and analyzed in duplicate. Between-group differences in raw and log-transformed OXT levels were examined using t-tests. Subgroup analyses were conducted by sex, and correlations with autism symptom severity (Aberrant Behavior Checklist, ABC) were assessed within the ASD group. Results: Children with ASD showed higher mean salivary OXT levels than controls (21.5 pg/mL vs. 14.0 pg/mL), but the difference was not statistically significant (Welch’s t = −1.79, p = 0.088). Log transformation of OXT values confirmed the non-significant group difference (t = 1.68, p = 0.102). Female participants with ASD had significantly higher OXT than female controls (p = 0.048), while no difference was observed among males. OXT levels did not significantly correlate with autism severity (r = −0.04, p = 0.88). Conclusions: Baseline salivary OXT levels do not significantly differ between children with and without ASD and do not correlate with behavioral symptom severity. However, elevated OXT in females with ASD warrants cautious interpretation and further investigation. Salivary OXT may not be a reliable standalone diagnostic biomarker but could have exploratory value for understanding sex-specific neurobiological profiles in autism. Full article
(This article belongs to the Section Clinical Neurology)
Show Figures

Figure 1

24 pages, 4468 KB  
Article
Cross-Modal Behavioral Intelligence in Regard to a Ship Bridge: A Rough Set-Driven Framework with Enhanced Spatiotemporal Perception and Object Semantics
by Chen Chen, Yuenan Wei, Feng Ma and Zhongcheng Shu
Appl. Sci. 2025, 15(13), 7220; https://doi.org/10.3390/app15137220 - 26 Jun 2025
Viewed by 394
Abstract
Aberrant or non-standard operations by ship drivers are a leading cause of water traffic accidents, making the development of real-time and reliable behavior detection systems critically important. However, the environment within a ship’s bridge is significantly more complex than typical scenarios, such as [...] Read more.
Aberrant or non-standard operations by ship drivers are a leading cause of water traffic accidents, making the development of real-time and reliable behavior detection systems critically important. However, the environment within a ship’s bridge is significantly more complex than typical scenarios, such as vehicle driving or general security monitoring, which results in poor performance when applying generic algorithms. In such settings, both the accuracy and efficiency of existing methods are notably limited. To address these challenges, this paper proposes a cross-modal behavioral intelligence framework designed specifically for a ship’s bridge, integrating multi-target tracking, behavior recognition, and feature object association. The framework employs ByteTrack, a high-performance multi-object tracker that maintains stable tracking even when subject to occlusions or motion blur through its novel association mechanism, using both high and low confidence detection boxes, for multi-driver tracking. Combined with an improved Temporal Shift Module (TSM) algorithm for behavior recognition, which effectively resolves issues concerning target association and action ambiguity in complex environments, the proposed framework achieves a Top-1 accuracy of 82.1%, based on the SCA dataset. Furthermore, the method incorporates a multi-modal decision optimization strategy, based on spatiotemporal correlation rules, leveraging YOLOv7-e6 for simultaneous personnel and small object detection, and introduces the Accuracy of Focused Anomaly Recognition (AFAR) metric to enhance the anomaly detection performance. This approach improves the anomaly detection rate, up to 81.37%, with an overall accuracy of 80.66%, significantly outperforming single-modality solutions. Full article
Show Figures

Figure 1

22 pages, 7738 KB  
Article
Application of Machine Learning Methods for Identifying Wave Aberrations from Combined Intensity Patterns Generated Using a Multi-Order Diffractive Spatial Filter
by Paval. A. Khorin, Aleksey P. Dzyuba, Aleksey V. Chernykh, Muhammad A. Butt and Svetlana N. Khonina
Technologies 2025, 13(6), 212; https://doi.org/10.3390/technologies13060212 - 26 May 2025
Cited by 1 | Viewed by 796
Abstract
A multi-order combined diffraction spatial filter, integrated with a set of Zernike phase functions (representing wavefront aberrations) and Zernike polynomials, enables the simultaneous formation of multiple aberration-transformed point spread function (PSF) patterns in a single plane. This is achieved using an optical Fourier [...] Read more.
A multi-order combined diffraction spatial filter, integrated with a set of Zernike phase functions (representing wavefront aberrations) and Zernike polynomials, enables the simultaneous formation of multiple aberration-transformed point spread function (PSF) patterns in a single plane. This is achieved using an optical Fourier correlator and provides significantly more information than a single PSF captured in focal or defocused planes—all without requiring mechanical movement. To analyze the resulting complex intensity patterns, which include 49 diffraction orders, a convolutional neural network based on the Xception architecture is employed. This model effectively identifies wavefront aberrations up to the fourth Zernike order. After 80 training epochs, the model achieved a mean absolute error (MAE) of no more than 0.0028. Additionally, a five-fold cross-validation confirmed the robustness and reliability of the approach. For the experimental validation of the proposed multi-order filter, a liquid crystal spatial light modulator was used. Optical experiments were conducted using a Fourier correlator setup, where aberration fields were generated via a digital micromirror device. The experimental results closely matched the simulation data, confirming the effectiveness of the method. New advanced aberrometers and multichannel diffractive optics technologies can be used in industry for the quality control of optical elements, assessing optical system alignment errors, and the early-stage detection of eye diseases. Full article
(This article belongs to the Section Information and Communication Technologies)
Show Figures

Figure 1

20 pages, 2910 KB  
Article
Genetic and Epigenetic Aberrations of SOX7 in Newly Diagnosed and Relapsed Multiple Myeloma as Well as Related Neoplasms
by Can Küçük, Burcu Akman, Xiaozhou Hu, Tevfik Hatipoğlu, Ahmet Şeyhanlı, Arda Ceylan, Bircan Yılmaz, Osman Can Öztürk, Taner Kemal Erdağ and Güner Hayri Özsan
Curr. Issues Mol. Biol. 2025, 47(4), 244; https://doi.org/10.3390/cimb47040244 - 1 Apr 2025
Viewed by 1157
Abstract
Multiple myeloma (MM) is one of the most frequent hematological malignancies. Most MM cases relapse, which is associated with poor prognosis. MM-related tumor suppressor genes are not totally known yet. SOX7 is one of the tumor suppressor candidates located in 8p23.1, a recurrently [...] Read more.
Multiple myeloma (MM) is one of the most frequent hematological malignancies. Most MM cases relapse, which is associated with poor prognosis. MM-related tumor suppressor genes are not totally known yet. SOX7 is one of the tumor suppressor candidates located in 8p23.1, a recurrently deleted region in MM. Here, we evaluated the genetic and epigenetic aberrancies of SOX7 in diagnostic or relapsed MM as well as smoldering MM (SMM) and plasma cell leukemia (PCL). Publicly available datasets were reanalyzed to evaluate SOX7 copy number, promoter methylation, transcript levels in MM or related neoplasms and to evaluate mutation rates in MM cases. qPCR and qRT-PCR with an in-house MM cohort were performed to cross-validate SOX7 copy number and transcript level estimates. SOX7 deletions were frequent in newly diagnosed and relapsed MM cases. SOX7 promoter hypermethylation was observed in MM cell lines, MM cases, and PCL cases. Importantly, SOX7 was transcriptionally silent in MM cell lines and underexpressed in MM and high-risk SMM cases. Integrative analyses of patient-matched diagnostic and relapsed MM tumor tissues revealed moderate positive correlations between SOX7 copy numbers. SOX7 deletion and promoter methylation levels had a tendency to be mutually exclusive. SOX7 promoter methylation levels were significantly higher in relapsed cases compared to the diagnostic ones. SOX7 mutations were rare in MM cases. SOX7 underexpression may be due to genetic and/or epigenetic alterations in newly diagnosed and relapsed MM. These genetic and epigenetic aberrations can serve as diagnostic or prognostic biomarkers for MM and allied neoplasms. Future research will reveal whether SOX7 inactivation has a role in development of these plasma cell neoplasms. Full article
Show Figures

Figure 1

14 pages, 1701 KB  
Article
A Perceived Dissociation Between Systemic Chronic Inflammation, Age, and the Telomere/Telomerase System in Type 2 Diabetes
by Mai S. Sater, Dhuha M. B. AlDehaini, Zainab H. A. Malalla, Muhalab E. Ali and Hayder A. Giha
Biomedicines 2025, 13(3), 531; https://doi.org/10.3390/biomedicines13030531 - 20 Feb 2025
Cited by 1 | Viewed by 960
Abstract
Background: Chronic inflammation is associated with leukocyte telomere length (LTL) shortening and type 2 diabetes (T2D). The latter is also associated with LTL shortening, while the three variables are associated with aging. Objective: It is tempting to test whether inflammation, age, or [...] Read more.
Background: Chronic inflammation is associated with leukocyte telomere length (LTL) shortening and type 2 diabetes (T2D). The latter is also associated with LTL shortening, while the three variables are associated with aging. Objective: It is tempting to test whether inflammation, age, or both are behind the telomere system aberrations in diabetic patients. Methods: In this cross-sectional observational study, blood samples collected from 118 T2D patients were analyzed via ELISA to estimate the plasma levels of four inflammatory markers, IL6, IL8, TREM1, and uPAR, and the telomerase enzyme (TE). Moreover, the extracted DNA was used for the LTL estimation via qPCR and for single nucleotide polymorphisms (SNP) genotyping of TE genes (TERT, TERC, and ACYP2) via rtPCR. Results: The results showed no correlation between the levels of all tested inflammatory markers and the LTL, TE level, and age. There were no significant differences between the marker levels in diabetic patients in the four quartiles of the LTL and TE levels. Moreover, there were no significant differences in the levels of the markers between carriers of the different TE genotypes. Conclusions: There were no associations between the tested inflammatory markers’ levels and the LTL, TE plasma levels, or age in T2D. Explanations for the dissociation between the above-known associations in T2D were proposed; however, the subject is worth further investigation. Full article
(This article belongs to the Section Endocrinology and Metabolism Research)
Show Figures

Figure 1

20 pages, 15501 KB  
Article
Pan-Cancer Analysis Reveals the Potential of PLOD1 as a Prognostic and Immune Biomarker for Human Cancer
by Zhao Zhai, Shuo Wang, Yudong Cao, Jia Liu, Qiang Zhao, Yongpeng Ji, Xiao Yang, Xingxing Tang, Jinchao Ma and Peng Du
Biomedicines 2024, 12(12), 2653; https://doi.org/10.3390/biomedicines12122653 - 21 Nov 2024
Viewed by 1310
Abstract
Background/Objectives: Procollagen-lysine, 2-oxoglutarate 5-dioxygenase 1 (PLOD1) is known as an enhancer of collagen fiber deposition and cross-linking stability. However, there is limited information on its function in tumors. In this study, we aimed to elucidate the function and potential mechanism of action of [...] Read more.
Background/Objectives: Procollagen-lysine, 2-oxoglutarate 5-dioxygenase 1 (PLOD1) is known as an enhancer of collagen fiber deposition and cross-linking stability. However, there is limited information on its function in tumors. In this study, we aimed to elucidate the function and potential mechanism of action of PLOD1 across cancers. Methods: We assessed the pan-cancer expression, mutation, methylation and prognostic value of PLOD1 through multiple online databases. In addition, we performed correlation analyses of its immunological features, as well as functional assessment analyses of PLOD1. Finally, we assessed the effect of PLOD1 knockdown on bladder tumor cells using in vitro experiments. Results: Our findings suggest that PLOD1 is aberrantly expressed in multiple cancer types, accompanied by a poor prognosis. Epigenetic alterations in PLOD1 are highly heterogeneous across a wide range of tumors, and aberrant methylation and copy number variants correlate with a poor prognosis. In the tumor microenvironment, PLOD1 expression correlated positively with the infiltration level of various immunosuppressive cells (e.g., monocytes, macrophages and tumor-associated fibroblasts) and negatively with immune-killing cells (e.g., CD8+ T cells, B cells and CD4+ T cells). In addition, PLOD1 expression was associated with immune checkpoints and immunomodulatory genes. Finally, in vitro experiments demonstrated that knockdown of PLOD1 reduced the proliferation, migration and antiapoptotic abilities of T24 cells. Conclusions: The results of this study demonstrate that PLOD1 is a potential oncogene and prognostic biomarker in pan-cancer; tumor tissues with high PLOD1 expression reveal a relatively immunosuppressive tumor microenvironment. Full article
(This article belongs to the Special Issue Epigenetic Regulation and Its Impact for Medicine)
Show Figures

Figure 1

17 pages, 803 KB  
Review
TRIM25, TRIM28 and TRIM59 and Their Protein Partners in Cancer Signaling Crosstalk: Potential Novel Therapeutic Targets for Cancer
by De Chen Chiang and Beow Keat Yap
Curr. Issues Mol. Biol. 2024, 46(10), 10745-10761; https://doi.org/10.3390/cimb46100638 - 25 Sep 2024
Cited by 3 | Viewed by 3229
Abstract
Aberrant expression of TRIM proteins has been correlated with poor prognosis and metastasis in many cancers, with many TRIM proteins acting as key oncogenic factors. TRIM proteins are actively involved in many cancer signaling pathways, such as p53, Akt, NF-κB, MAPK, TGFβ, JAK/STAT, [...] Read more.
Aberrant expression of TRIM proteins has been correlated with poor prognosis and metastasis in many cancers, with many TRIM proteins acting as key oncogenic factors. TRIM proteins are actively involved in many cancer signaling pathways, such as p53, Akt, NF-κB, MAPK, TGFβ, JAK/STAT, AMPK and Wnt/β-catenin. Therefore, this review attempts to summarize how three of the most studied TRIMs in recent years (i.e., TRIM25, TRIM28 and TRIM59) are involved directly and indirectly in the crosstalk between the signaling pathways. A brief overview of the key signaling pathways involved and their general cross talking is discussed. In addition, the direct interacting protein partners of these TRIM proteins are also highlighted in this review to give a picture of the potential protein–protein interaction that can be targeted for future discovery and for the development of novel therapeutics against cancer. This includes some examples of protein partners which have been proposed to be master switches to various cancer signaling pathways. Full article
(This article belongs to the Section Biochemistry, Molecular and Cellular Biology)
Show Figures

Figure 1

16 pages, 7340 KB  
Article
Characteristics of Phenotypic Variation of Malus Pollen at Infrageneric Scale
by Junjun Fan, Yun Wang, Zhenping Hao, Ye Peng, Jingze Ma, Wangxiang Zhang, Mingming Zhao and Xueming Zai
Plants 2024, 13(17), 2522; https://doi.org/10.3390/plants13172522 - 8 Sep 2024
Cited by 1 | Viewed by 1108
Abstract
Pollen carries extensive genetic information, which may provide clues regarding the kinship of Malus, whose genetic relationships are complex. In this study, the phenotypic variation of pollen from 107 Malus taxa was investigated using combined methods of intraspecific/interspecific uniformity testing, cluster analysis, and [...] Read more.
Pollen carries extensive genetic information, which may provide clues regarding the kinship of Malus, whose genetic relationships are complex. In this study, the phenotypic variation of pollen from 107 Malus taxa was investigated using combined methods of intraspecific/interspecific uniformity testing, cluster analysis, and Pearson correlation analysis. The family aggregation distributions in Malus sections, species, and cultivars were analyzed to infer their pedigree relationships. The results showed that (1) compared with pollen size and morphology, aberrant pollen rate and ornamentation were highly interspecifically differentiated, but ornamentation was also intraspecifically unstable, especially perforation densities (c.v.¯ > 15%). (2) The pollen alteration direction from the original to the evolutionary population of Malus was large to small, with elliptic to rectangular morphologies, large and compact to small and sparse ridges, and low to high perforation densities. However, there was no significant change in pollen size. (3) The 107 studied taxa were divided into four groups. Malus species were relatively clustered in the same section, while homologous cultivars showed evidence of family aggregation distribution characteristics (92.60% of cultivars were clustered with their parents). (4) M. baccata and M. pumilar var. neidzwetzkyana were high-frequency parents, participating in 38.7% and 20.7% of cross-breeding, respectively. Overall, this study provides a reference for identifying Malus’ pedigree relationship. Full article
(This article belongs to the Section Horticultural Science and Ornamental Plants)
Show Figures

Figure 1

10 pages, 1635 KB  
Article
Effect of Small Angle Misalignments on Ocular Wavefront Zernike Coefficients
by Ebrahim Safarian Baloujeh, Francisco J. Ávila and José M. González-Méijome
Photonics 2024, 11(9), 795; https://doi.org/10.3390/photonics11090795 - 27 Aug 2024
Cited by 1 | Viewed by 1053
Abstract
Purpose: To assess the possible impact of minor changes in fixation on wavefront measurements as a potential constraint in detecting subtle temporal variations in ocular wavefront error. Methods: Twelve healthy subjects with an average age of 36.3 ± 8.8 were instructed to put [...] Read more.
Purpose: To assess the possible impact of minor changes in fixation on wavefront measurements as a potential constraint in detecting subtle temporal variations in ocular wavefront error. Methods: Twelve healthy subjects with an average age of 36.3 ± 8.8 were instructed to put their heads in the aberrometer’s chin-rest and look at a fixation target that was embedded in the device. The fixation targets were readily observable to the participants without accommodation, thanks to the aberrometer’s Badal system. When each eye was staring at the target, its wavefront aberration was recorded three times and then averaged for further analysis. The averaged Zernike coefficients were rescaled to the smallest value of the maximum round pupil found among all eyes (4.41 mm), and this procedure was repeated for each target. Results: Alteration of the fixation targets caused changes to the Zernike coefficients of defocus (C(2,0)), vertical trefoil (C(3,–3)), vertical coma (C(3,–1)), horizontal coma (C(3,1)), oblique trefoil (C(3,3)), primary spherical aberration (C(4,0)), and secondary spherical aberration (C(6,0)), but the changes were not statistically significant. Nevertheless, an alteration in the target’s size and shape exhibited a significant correlation across all of the aforementioned coefficients in both eyes (p < 0.05). The total RMS of aberrations and the RMS of the spherical-like aberrations were both lowest while choosing the larger Maltese cross, and the bigger E-letter minimized the RMS of HOA and comatic aberrations. Conclusion: The aberrometric changes occur as a consequence of altering the fixational gaze and are within the range of the changes found after performing a near-vision task, so they might potentially act as a confounding factor when attempting to identify such small variations in the ocular wavefront. Using a smaller E-letter (5 arcmin) as an internal fixation target resulted in the least standard deviation of measurements, fixational stability, and higher accuracy in ocular wavefront measurements. Full article
(This article belongs to the Special Issue Technologies and Applications of Biophotonics)
Show Figures

Figure 1

16 pages, 6332 KB  
Article
A Method for Correcting Signal Aberrations in Ultrasonic Indoor Positioning
by Riccardo Carotenuto, Demetrio Iero and Massimo Merenda
Sensors 2024, 24(6), 2017; https://doi.org/10.3390/s24062017 - 21 Mar 2024
Cited by 3 | Viewed by 1568
Abstract
The increasing focus on the development of positioning techniques reflects the growing interest in applications and services based on indoor positioning. Many applications necessitate precise indoor positioning or tracking of individuals and assets, leading to rapid growth in products based on these technologies [...] Read more.
The increasing focus on the development of positioning techniques reflects the growing interest in applications and services based on indoor positioning. Many applications necessitate precise indoor positioning or tracking of individuals and assets, leading to rapid growth in products based on these technologies in certain market sectors. Ultrasonic systems have already proven effective in achieving the desired positioning accuracy and refresh rates. The typical signal used in ultrasonic positioning systems for estimating the range between the target and reference points is the linear chirp. Unfortunately, it can undergo shape aberration due to the effects of acoustic diffraction when the aperture exceeds a certain limit. The extent of the aberration is influenced by the shape and size of the transducer, as well as the angle at which the transducer is observed by the receiver. This aberration also affects the shape of the cross-correlation, causing it to lose its easily detectable characteristic of a single global peak, which typically corresponds to the correct lag associated with the signal’s time of arrival. In such instances, cross-correlation techniques yield results with a significantly higher error than anticipated. In fact, the correct lag no longer corresponds to the peak of the cross-correlation. In this study, an alternative technique to global peak detection is proposed, leveraging the inherent symmetry observed in the shape of the aberrated cross-correlation. The numerical simulations, performed using the academic acoustic simulation software Field II, conducted using a typical ultrasonic chirp and ultrasonic emitter, compare the classical and the proposed range techniques in a standard office room. The analysis includes the effects of acoustical reflection in the room and of the acoustic noise at different levels of power. The results demonstrate that the proposed technique enables accurate range estimation even in the presence of severe cross-correlation shape aberrations and for signal-to-noise ratio levels common in office and room environments, even in presence of typical reflections. This allows the use of emitting transducers with a much larger aperture than that allowed by the classical cross-correlation technique. Consequently, it becomes possible to have greater acoustic power available, leading to improved signal-to-noise ratio (SNR). Full article
(This article belongs to the Collection Sensors and Systems for Indoor Positioning)
Show Figures

Figure 1

46 pages, 13081 KB  
Article
Development of Spatiotemporal Whole-Stem Models for Estimating End-Product-Based Fibre Attribute Determinates for Jack Pine and Red Pine
by Peter F. Newton
Forests 2023, 14(11), 2211; https://doi.org/10.3390/f14112211 - 8 Nov 2023
Cited by 3 | Viewed by 1525
Abstract
The objective of this study was to develop spatiotemporal whole-stem wood quality prediction models for a suite of end-product-based fibre attribute determinates for jack pine (Pinus banksiana Lamb.) and red pine (Pinus resinosa Aiton): specifically, for wood density (Wd [...] Read more.
The objective of this study was to develop spatiotemporal whole-stem wood quality prediction models for a suite of end-product-based fibre attribute determinates for jack pine (Pinus banksiana Lamb.) and red pine (Pinus resinosa Aiton): specifically, for wood density (Wd), microfibril angle (Ma), modulus of elasticity (Me), fibre coarseness (Co), tracheid wall thickness (Wt), tracheid radial diameter (Dr), tracheid tangential diameter (Dt), and specific surface area (Sa). Procedurally, these attributes were determined for each annual ring within pith-to-bark xylem sequences extracted from 610 jack pine and 223 red pine cross-sectional disks positioned throughout the main stem of 61 jack pine and 54 red pine sample trees growing within even-aged monospecific stands in central Canada. Deploying a block cross-validation-like approach in order to reduce serial data dependency and enable predictive performance assessments, species-specific calibration and validation data subsets consisting of cumulative moving average values were systematically generated from the 27,820 jack pine and 11,291 red pine attribute-specific annual ring values. Graphical, correlation, regression and validation analyses were used to specify, parameterize and assess the predictive performance of tertiary-level (ring-disk-tree) hierarchical mixed-effects whole-stem equations for each attribute by species. As a result, the jack pine equations explained 46, 66, 74, 63, 59, 72, 42 and 48% of the variation in Wd, Ma, Me, Co, Wt, Dr, Dt and Sa, respectively. The red pine equations explained slightly higher levels of variation except for Me: 50, 71, 31, 83, 72, 78, 56 and 71% of the variation in Wd, Ma, Me, Co, Wt, Dr, Dt and Sa, respectively. Graphical assessments and statistical metrics related to attribute and species-specific residual error patterns and goodness-of-fit, lack-of-fit and predictive error metrics, revealed an absence of systematic bias, misspecification or aberrant predictive performance. Consequently, the resultant parameterized models were acknowledged as acceptable functional descriptors of the intrinsic spatiotemporal cumulative developmental patterns of the studied end-product fibre attribute determinates, for these two pine species. Although predicted development patterns were similar between the species with the greatest degree of nonlinearity occurring before a cambial age of approximately 30 years, irrespective of attribute, jack pine exhibited a greater degree of nonlinearity in the Wd and Dt developmental trajectories, whereas red pine exhibited a greater degree of nonlinearity in the Ma, Me, Co, Wt, Dr and Sa developmental trajectories. Potential biomechanical linkages underlying the observed attribute distribution patterns, as well as the potential utility of the models in forest management, are also discussed. Full article
Show Figures

Figure 1

10 pages, 2185 KB  
Article
FexSplice: A LightGBM-Based Model for Predicting the Splicing Effect of a Single Nucleotide Variant Affecting the First Nucleotide G of an Exon
by Atefeh Joudaki, Jun-ichi Takeda, Akio Masuda, Rikumo Ode, Koichi Fujiwara and Kinji Ohno
Genes 2023, 14(9), 1765; https://doi.org/10.3390/genes14091765 - 6 Sep 2023
Cited by 3 | Viewed by 2072
Abstract
Single nucleotide variants (SNVs) affecting the first nucleotide G of an exon (Fex-SNVs) identified in various diseases are mostly recognized as missense or nonsense variants. Their effect on pre-mRNA splicing has been seldom analyzed, and no curated database is available. We previously reported [...] Read more.
Single nucleotide variants (SNVs) affecting the first nucleotide G of an exon (Fex-SNVs) identified in various diseases are mostly recognized as missense or nonsense variants. Their effect on pre-mRNA splicing has been seldom analyzed, and no curated database is available. We previously reported that Fex-SNVs affect splicing when the length of the polypyrimidine tract is short or degenerate. However, we cannot readily predict the splicing effects of Fex-SNVs. We here scrutinized the available literature and identified 106 splicing-affecting Fex-SNVs based on experimental evidence. We similarly identified 106 neutral Fex-SNVs in the dbSNP database with a global minor allele frequency (MAF) of more than 0.01 and less than 0.50. We extracted 115 features representing the strength of splicing cis-elements and developed machine-learning models with support vector machine, random forest, and gradient boosting to discriminate splicing-affecting and neutral Fex-SNVs. Gradient boosting-based LightGBM outperformed the other two models, and the length and nucleotide compositions of the polypyrimidine tract played critical roles in the discrimination. Recursive feature elimination showed that the LightGBM model using 15 features achieved the best performance with an accuracy of 0.80 ± 0.12 (mean and SD), a Matthews Correlation Coefficient (MCC) of 0.57 ± 0.15, an area under the curve of the receiver operating characteristics curve (AUROC) of 0.86 ± 0.08, and an area under the curve of the precision–recall curve (AUPRC) of 0.87 ± 0.09 using a 10-fold cross-validation. We developed a web service program, named FexSplice that accepts a genomic coordinate either on GRCh37/hg19 or GRCh38/hg38 and returns a predicted probability of aberrant splicing of A, C, and T variants. Full article
(This article belongs to the Special Issue Post-transcriptional Regulation in Mammals)
Show Figures

Figure 1

17 pages, 1899 KB  
Article
Mucins 3A and 3B Are Expressed in the Epithelium of Human Large Airway
by Heta Merikallio, Terezia Pincikova, Ioanna Kotortsi, Reza Karimi, Chuan-Xing Li, Helena Forsslund, Mikael Mikko, Sven Nyrén, Elisa Lappi-Blanco, Åsa M. Wheelock, Riitta Kaarteenaho and Magnus C. Sköld
Int. J. Mol. Sci. 2023, 24(17), 13546; https://doi.org/10.3390/ijms241713546 - 31 Aug 2023
Cited by 3 | Viewed by 1746
Abstract
Aberrant mucus secretion is a hallmark of chronic obstructive pulmonary disease (COPD). Expression of the membrane-tethered mucins 3A and 3B (MUC3A, MUC3B) in human lung is largely unknown. In this observational cross-sectional study, we recruited subjects 45–65 years old from the general population [...] Read more.
Aberrant mucus secretion is a hallmark of chronic obstructive pulmonary disease (COPD). Expression of the membrane-tethered mucins 3A and 3B (MUC3A, MUC3B) in human lung is largely unknown. In this observational cross-sectional study, we recruited subjects 45–65 years old from the general population of Stockholm, Sweden, during the years 2007–2011. Bronchial mucosal biopsies, bronchial brushings, and bronchoalveolar lavage fluid (BALF) were retrieved from COPD patients (n = 38), healthy never-smokers (n = 40), and smokers with normal lung function (n = 40). Protein expression of MUC3A and MUC3B in bronchial mucosal biopsies was assessed by immunohistochemical staining. In a subgroup of subjects (n = 28), MUC3A and MUC3B mRNAs were quantified in bronchial brushings using microarray. Non-parametric tests were used to perform correlation and group comparison analyses. A value of p < 0.05 was considered statistically significant. MUC3A and MUC3B immunohistochemical expression was localized to ciliated cells. MUC3B was also expressed in basal cells. MUC3A and MUC3B immunohistochemical expression was equal in all study groups but subjects with emphysema had higher MUC3A expression, compared to those without emphysema. Smokers had higher mRNA levels of MUC3A and MUC3B than non-smokers. MUC3A and MUC3B mRNA were higher in male subjects and correlated negatively with expiratory air flows. MUC3B mRNA correlated positively with total cell concentration and macrophage percentage, and negatively with CD4/CD8 T cell ratio in BALF. We concluded that MUC3A and MUC3B in large airways may be a marker of disease or may play a role in the pathophysiology of airway obstruction. Full article
(This article belongs to the Section Molecular Pathology, Diagnostics, and Therapeutics)
Show Figures

Figure 1

13 pages, 1237 KB  
Article
Association between Systemic Immunity-Inflammation Index and Hyperlipidemia: A Population-Based Study from the NHANES (2015–2020)
by Nayili Mahemuti, Xiyue Jing, Naijian Zhang, Chuanlang Liu, Changping Li, Zhuang Cui, Yuanyuan Liu and Jiageng Chen
Nutrients 2023, 15(5), 1177; https://doi.org/10.3390/nu15051177 - 26 Feb 2023
Cited by 174 | Viewed by 15336
Abstract
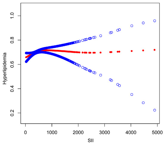
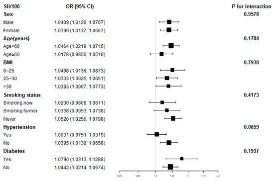
The systemic immunity-inflammation index (SII) is a novel inflammatory marker, and aberrant blood lipid levels are linked to inflammation. This study aimed to look at the probable link between SII and hyperlipidemia. The current cross-sectional investigation was carried out among people with complete [...] Read more.
The systemic immunity-inflammation index (SII) is a novel inflammatory marker, and aberrant blood lipid levels are linked to inflammation. This study aimed to look at the probable link between SII and hyperlipidemia. The current cross-sectional investigation was carried out among people with complete SII and hyperlipidemia data from the 2015–2020 National Health and Nutrition Examination Survey (NHANES). SII was computed by dividing the platelet count × the neutrophil count/the lymphocyte count. The National Cholesterol Education Program standards were used to define hyperlipidemia. The nonlinear association between SII and hyperlipidemia was described using fitted smoothing curves and threshold effect analyses. A total of 6117 US adults were included in our study. A substantial positive correlation between SII and hyperlipidemia was found [1.03 (1.01, 1.05)] in a multivariate linear regression analysis. Age, sex, body mass index, smoking status, hypertension, and diabetes were not significantly correlated with this positive connection, according to subgroup analysis and interaction testing (p for interaction > 0.05). Additionally, we discovered a non-linear association between SII and hyperlipidemia with an inflection point of 479.15 using a two-segment linear regression model. Our findings suggest a significant association between SII levels and hyperlipidemia. More large-scale prospective studies are needed to investigate the role of SII in hyperlipidemia. Full article
(This article belongs to the Section Nutrition Methodology & Assessment)
Show Figures

Figure 1

14 pages, 1536 KB  
Article
Quantification of Cycling Smoothness in Children with Cerebral Palsy
by Ahad Behboodi, Ashwini Sansare and Samuel C. K. Lee
Biomechanics 2023, 3(1), 79-92; https://doi.org/10.3390/biomechanics3010008 - 6 Feb 2023
Cited by 1 | Viewed by 2344
Abstract
Smoothness is a hallmark of skilled, coordinated movement, however, mathematically quantifying movement smoothness is nuanced. Several smoothness metrics exist, each having its own limitations and may be specific to a particular motion such as upper limb reaching. To date, there is no consensus [...] Read more.
Smoothness is a hallmark of skilled, coordinated movement, however, mathematically quantifying movement smoothness is nuanced. Several smoothness metrics exist, each having its own limitations and may be specific to a particular motion such as upper limb reaching. To date, there is no consensus on which smoothness metric is the most appropriate for assessing cycling motion in children with cerebral palsy (CP). We evaluated the ability of four preexisting metrics, dimensionless jerk, spectral arc length measure, roughness index, and cross-correlation; and two new metrics, arc length and root mean square error, to quantify the smoothness of cycling in a preexisting dataset from children with CP (mean age 13.7 ± 2.6 years). First, to measure the repeatability of each measure in distinguishing between different levels of un-smoothness, we applied each metric to a set of simulated crank motion signals with a known number of aberrant revolutions using subjects’ actual crank angle data. Second, we used discriminant function analysis to statistically compare the strength of the six metrics, relative to each other, to discriminate between a smooth cycling motion obtained from a dataset of typically developed children (TD), the control group (mean age 14.9 ± 1.4 years), and a less smooth, halted cycling motion obtained from children with CP. Our results show that (1) ArcL showed the highest repeatability in accurately quantifying an unsmooth motion when the same cycling revolutions were presented in a different order, and (2) ArcL and DJ had the highest discriminatory ability to differentiate between an unsmooth and smooth cycling motion. Combining the results from the repeatability and discriminatory analysis, ArcL was the most repeatable and sensitive metric in identifying unsmooth, halted cycling motion from smooth motion. ArcL can hence be used as a metric in future studies to quantify changes in the smoothness of cycling motion pre- vs. post-interventions. Further, this metric may serve as a tool to track motor recovery not just in individuals with CP but in other patient populations with similar neurological deficits that may present with halted, unsmooth cycling motion. Full article
(This article belongs to the Topic Human Movement Analysis)
Show Figures

Figure 1

Back to TopTop