Sign in to use this feature.

Years

Between: -

Subjects

remove_circle_outline
remove_circle_outline
remove_circle_outline
remove_circle_outline
remove_circle_outline
remove_circle_outline
remove_circle_outline
remove_circle_outline
remove_circle_outline

Journals

remove_circle_outline
remove_circle_outline
remove_circle_outline
remove_circle_outline
remove_circle_outline
remove_circle_outline
remove_circle_outline
remove_circle_outline
remove_circle_outline
remove_circle_outline
remove_circle_outline
remove_circle_outline
remove_circle_outline

Article Types

Countries / Regions

remove_circle_outline
remove_circle_outline
remove_circle_outline
remove_circle_outline
remove_circle_outline

Search Results (512)

Search Parameters:
Keywords = craft presentation

Order results
Result details
Results per page
Select all
Export citation of selected articles as:
44 pages, 16340 KB  
Article
Externalizing Tacit Craft Knowledge Through Semantic Graphs and Real-Time VR Simulation
by Nikolaos Partarakis, Panagiotis Koutlemanis, Ioanna Demeridou, Dimitrios Zourarakis, Alexandros Makris, Anastasios Roussos and Xenophon Zabulis
Electronics 2026, 15(6), 1294; https://doi.org/10.3390/electronics15061294 - 19 Mar 2026
Abstract
Traditional craft education relies heavily on hands-on practice; however, novice learners often struggle with procedural complexity, material behavior, and the tacit knowledge typically transmitted through prolonged apprenticeship. This paper presents an integrated framework that combines semantic Knowledge Graphs (KGs), real-time Finite Element Method [...] Read more.
Traditional craft education relies heavily on hands-on practice; however, novice learners often struggle with procedural complexity, material behavior, and the tacit knowledge typically transmitted through prolonged apprenticeship. This paper presents an integrated framework that combines semantic Knowledge Graphs (KGs), real-time Finite Element Method (FEM) simulation, and high-fidelity physically based rendering (PBR) to support the teaching, understanding, and preservation of traditional crafts. Craft processes are modelled as ontologically grounded KGs that capture tools, materials, actions, decision points, and common procedural errors through an extensible representation aligned with CIDOC-CRM. These semantic structures drive an interactive FEM-based simulation that enables learners to enact craft actions in a virtual environment while receiving predictive feedback and corrective guidance derived from expert-defined execution parameters. The resulting workpiece states are visualized using PBR techniques, providing perceptually accurate cues essential for assessing surface changes, deformation patterns, and material conditions. The methodology is embedded within an eLearning ecosystem that supports the generation of structured courses, multimodal exemplars, and instructional design informed by Cognitive Load Theory. A use case involving wood and aluminum carving demonstrates the system’s ability to simulate realistic tool–material interactions and produce visually interpretable outcomes. The results indicate that coupling executable semantic knowledge modelling with physically grounded simulation offers a viable pathway toward scalable, safe, and contextually rich craft training while supporting the long-term preservation of domain expertise. Full article
(This article belongs to the Special Issue Advances and Challenges in Multimodal Pattern Recognition)
Show Figures

Figure 1

21 pages, 2249 KB  
Article
De Novo Protein Design Enables Targeting of Intractable Oncogenic Protein–Protein Interfaces
by Varshika Ram Prakash, Yusuf Najy, Kalel Garrett, Brian F. P. Edwards and Benjamin L. Kidder
Biologics 2026, 6(1), 9; https://doi.org/10.3390/biologics6010009 - 18 Mar 2026
Viewed by 56
Abstract
Background/Objectives: Protein–protein interactions (PPIs) involving oncogenic drivers remain among the most intractable targets in cancer biology due to their dynamic conformations and limited accessibility to conventional small molecules. Although antibodies and inhibitors have achieved clinical success against targets such as PD-1/PD-L1 and MYC, [...] Read more.
Background/Objectives: Protein–protein interactions (PPIs) involving oncogenic drivers remain among the most intractable targets in cancer biology due to their dynamic conformations and limited accessibility to conventional small molecules. Although antibodies and inhibitors have achieved clinical success against targets such as PD-1/PD-L1 and MYC, challenges persist related to tissue penetration, intracellular delivery, resistance, and incomplete blockade of key interface hotspots. The objective of this study is to develop an integrated computational framework for systematically designing hotspot-conditioned de novo miniprotein binders to target these interfaces. Methods: We present DesignForge, a computational protein design pipeline that integrates energetic hotspot identification, generative backbone design, sequence optimization, and structural confidence evaluation. The framework combines hotspot mapping using an open force-field-based energetic analysis module with generative backbone sampling using BindCraft, sequence optimization using ProteinMPNN, and structural validation using AlphaFold2. This in silico pipeline was applied to three representative oncogenic interfaces: PD-1/PD-L1, MYC/MAX, and KRAS/RAF. Results: Computationally generated designs exhibited high predicted structural confidence, favorable interface energetics, and consistent engagement of identified hotspot residues across targets. AlphaFold2-Multimer structural modeling indicated that the candidate PD-1 mimetic scaffolds, MYC/MAX interface binders, and KRAS interaction candidates can adopt conformations compatible with the target interfaces. Energetic contact analysis further supported predicted engagement of key hotspot residues. These findings support the computational feasibility of hotspot-conditioned binder generation using a unified design workflow. Conclusions: DesignForge provides a reproducible computational framework for hotspot-guided de novo protein binder design targeting oncogenic protein–protein interfaces. The designs reported here represent computational predictions derived from structural modeling and energetic analysis. Experimental biochemical and cellular validation will be required to determine the functional activity of the proposed binders. Full article
(This article belongs to the Section Protein Therapeutics)
Show Figures

Figure 1

22 pages, 971 KB  
Review
Small Breweries, Large Footprints? Environmental Implications of Brewing Waste
by Dora Bjedov, Krešimir Mastanjević and Kristina Habschied
Environments 2026, 13(3), 164; https://doi.org/10.3390/environments13030164 - 14 Mar 2026
Viewed by 346
Abstract
The rapid expansion of the craft brewing sector has increased the number of small breweries, leading to rising organically rich waste across aquatic, terrestrial and atmospheric ecosystems. Although brewery by-products are frequently discussed in terms of valorisation and resource efficiency, their environmental implications [...] Read more.
The rapid expansion of the craft brewing sector has increased the number of small breweries, leading to rising organically rich waste across aquatic, terrestrial and atmospheric ecosystems. Although brewery by-products are frequently discussed in terms of valorisation and resource efficiency, their environmental implications remain insufficiently examined. The present review synthesises current knowledge on waste generated by small breweries (i.e., operations with annual production volumes typically below 20,000 hL of beer), including their composition and management, with an emphasis on the potential environmental consequences of inadequate handling. Waste, including wastewater, solid by-products, gaseous emissions, odours, and noise, is considered, and their mechanistic effects on aquatic, terrestrial, and atmospheric compartments are discussed. Particular attention is given to cumulative and localised impacts in ecosystems, such as oxygen depletion, nutrient enrichment, altered microbial processes, and downstream effects on soil biota, aquatic food webs, and biodiversity. Commonly proposed mitigation and valorisation strategies are critically evaluated, with attention to ecological trade-offs and constraints related to scale, infrastructure, and regulatory thresholds. The review highlights a pronounced bias in the research literature towards chemical and toxicological characterisation, alongside a lack of field-based and long-term monitoring studies. By identifying key knowledge gaps and framing small brewery waste within an environmental context, this review emphasises the need for biomonitoring, scale-appropriate management approaches, and regulatory frameworks tailored to small breweries. Full article
(This article belongs to the Special Issue Life Cycle Assessment for Circular Waste and Wastewater Treatment)
Show Figures

Graphical abstract

27 pages, 4379 KB  
Article
The Engawa as Spatial Mediator: Transformation of Design Mechanisms in Japanese Teahouses
by Zhaoyang Hou, Shuai Kong, Yuzhe Wang and Qi An
Buildings 2026, 16(6), 1113; https://doi.org/10.3390/buildings16061113 - 11 Mar 2026
Viewed by 251
Abstract
The engawa, a threshold space in traditional Japanese architecture, has been widely cited as the archetypal manifestation of Kurokawa’s grey space theory. However, prevailing interpretations treat it as a static prototype, overlooking the transformation of its spatial mechanisms across history. The present [...] Read more.
The engawa, a threshold space in traditional Japanese architecture, has been widely cited as the archetypal manifestation of Kurokawa’s grey space theory. However, prevailing interpretations treat it as a static prototype, overlooking the transformation of its spatial mechanisms across history. The present study addresses this lacuna through a comparative case analysis of three representative teahouses. The following three styles are examined in this study: the sixteenth-century sōan style, the early seventeenth-century samurai style, and the early seventeenth-century shoin-zukuri style. The evolution of the engawa’s mediating function is traced through these three styles. An analytical framework comprising five dimensions—boundary permeability, sequential flow, material tactility, integration of natural elements, and visual transparency—is applied consistently across all cases. The analysis demonstrates a discernible evolutionary trajectory, commencing with an inwardly contracting spiritual threshold in Myōki-an, progressing to an outwardly differentiating social interface in ma, and culminating in a meticulously crafted aesthetic artefact in Mittan. The present findings demonstrate that the engawa is not a fixed spatial prototype but rather a dynamic mediator whose form adapts to shifting social, cultural, and spiritual demands. The study posits that the essence of intermediary space does not lie in any specific configuration, but rather in its capacity to mediate between opposing realms, including self and nature, individual and society, and function and beauty. This reinterpretation provides a theoretical foundation for contemporary architectural practice, proposing that designers should prioritize diagnosing the relational challenges that intermediary spaces are designed to address, as opposed to merely imitating historical forms. Full article
Show Figures

Figure 1

12 pages, 339 KB  
Article
Linear Stepwise Synthesis of 2-(Naphthalen-1-yl)-2,3,5,6-tetrahydro-1H-isoquinolino[8,1,2-hij]quinazoline: A Novel Fused Heteroaromatic Framework
by Augusto Rivera, Álvaro Castillo, Jaime Ríos-Motta and Diego Quiroga
Organics 2026, 7(1), 12; https://doi.org/10.3390/org7010012 - 3 Mar 2026
Viewed by 192
Abstract
In the present work, we describe the synthesis of a new heterocyclic derivative, 2-(naphthalen-1-yl)-2,3,5,6-tetrahydro-1H-isoquinolino[8,1,2-hij]quinazoline 1, using the reaction between the aminal 1,3,6,8-tetraazatricyclo[4.4.1.13,8]dodecane 2 (TATD) and 1-naphthylamine 3 as the first scaffold of a four-step linear synthetic [...] Read more.
In the present work, we describe the synthesis of a new heterocyclic derivative, 2-(naphthalen-1-yl)-2,3,5,6-tetrahydro-1H-isoquinolino[8,1,2-hij]quinazoline 1, using the reaction between the aminal 1,3,6,8-tetraazatricyclo[4.4.1.13,8]dodecane 2 (TATD) and 1-naphthylamine 3 as the first scaffold of a four-step linear synthetic route. In the first step, a condensation catalyzed by acetic acid in 96% ethanol was carried out, leading to the formation of the intermediate 3-(naphthalen-1-yl)-1,2,3,4-tetrahydrobenzo[h]quinazoline 4. Subsequently, this intermediate was acylated with 2-chloroacetyl chloride in the presence of triethylamine and under an inert atmosphere, obtaining the compound 2-chloro-1-(3-(naphthalen-1-yl)-3,4-dihydrobenzo[h]quinazolin-1(2H)-yl)ethan-1-one 5. In the third step, an intramolecular Friedel–Crafts cyclization was carried out using aluminum trichloride as a catalyst, yielding 2-(naphthalen-1-yl)-1,2,3,6-tetrahydro-5H-isoquinolino[8,1,2-hij]quinazolin-5-one 6. Finally, the reduction of this lactam with phosphorus pentachloride and sodium borohydride under anhydrous conditions led to the further closure of the polycyclic system, yielding the final product 1. The proposed route demonstrates the feasibility of using TATD 2 as a versatile precursor for constructing condensed heterocyclic systems of structural interest and potential relevance in advanced organic synthesis. Full article
Show Figures

Figure 1

29 pages, 8473 KB  
Article
Following Camels Between Bone and Culture: Camel–Human Interactions in China from the Neolithic to the Late Imperial Period
by Yuxin Ding, Jiangsong Zhu, Jian Ma and Marcella Festa
Animals 2026, 16(5), 772; https://doi.org/10.3390/ani16050772 - 1 Mar 2026
Viewed by 554
Abstract
Bactrian camels (Camelus bactrianus) have long been recognized in China as key agents of long-distance connectivity, based largely on iconographic and textual evidence, while osteological data have rarely been incorporated into discussion. Because these data have seldom been examined within a [...] Read more.
Bactrian camels (Camelus bactrianus) have long been recognized in China as key agents of long-distance connectivity, based largely on iconographic and textual evidence, while osteological data have rarely been incorporated into discussion. Because these data have seldom been examined within a unified analytical framework, current knowledge of the development and shifting patterns of camel–human relationships remains fragmentary. To address this gap, the present study provides a detailed analysis of available camel osteological material from archaeological contexts in northern China and integrates it with broader archaeological and historical evidence. Our results identify diverse forms of interaction across time and space, including camel exploitation for transport and labor, consumption, funerary practices, and craft production. Spatiotemporal patterns indicate a persistent concentration of osteological remains in China’s northern frontier zones, whereas the record remains sporadic in central regions despite increasing camel representations in material culture and texts. This enduring distribution reflects ecological suitability and sustained economic integration in arid zones. The absence of such conditions in Central China meant that camels were never fully incorporated into local everyday life; instead, they primarily operated within imperial logistical and political systems and came to be culturally important through their role in broader exchange networks. Full article
Show Figures

Figure 1

18 pages, 318 KB  
Article
Childhood Reparations
by Pallawi Sinha
Genealogy 2026, 10(1), 29; https://doi.org/10.3390/genealogy10010029 - 27 Feb 2026
Viewed by 302
Abstract
The world is burgeoning with ever-growing disparities, nation-states are becoming increasingly oppressive with centrist politics, conflicts are intensifying, and climate change is causing natural disasters, which are increasingly displacing families and children. That is, 473 million children worldwide are living in conflict zones [...] Read more.
The world is burgeoning with ever-growing disparities, nation-states are becoming increasingly oppressive with centrist politics, conflicts are intensifying, and climate change is causing natural disasters, which are increasingly displacing families and children. That is, 473 million children worldwide are living in conflict zones today. By the end of 2023, 47.2 million children had been displaced due to conflict and violence, while natural disasters had driven 26.4 million internal displacements, of which 8.8 million were children This article then responds to the uneven landscapes and dominant imaginaries confronted by contemporary childhoods. In doing so, it locates how children bear the burden of adult agendas in the waiting room of the past, present and future. This lends to the analyses of the wider politics that frame childhoods. In response, the article calls for a conceptual turn in childhood studies urging a radical politics of hope rather than the oppressive politics of tomorrow. It proposes a (re-)imagining of just futures for children whereby adults move from apathy towards childhood reparations and think about what might have been stolen from children and what we may owe them. The paper concludes that any imagination of reparative futures cannot be crafted without children. Full article
21 pages, 8937 KB  
Article
Determination of Groove Filling Levels of Pressed Pipe-Fitting Connections Using Phased Array Ultrasound Evaluated by a CNN
by Kevin Jacob, Benjamin Straß, Nico Brosta and Jaqueline Presti-Senni
Appl. Sci. 2026, 16(5), 2273; https://doi.org/10.3390/app16052273 - 26 Feb 2026
Viewed by 193
Abstract
In this paper, a method for determining the filling level of grooves (1 mm (W) × 0.25 mm (H)) in pressed titanium pipe-fitting joints is presented. The joints are inspected in a water bath using a 20 MHz phased array ultrasound, and the [...] Read more.
In this paper, a method for determining the filling level of grooves (1 mm (W) × 0.25 mm (H)) in pressed titanium pipe-fitting joints is presented. The joints are inspected in a water bath using a 20 MHz phased array ultrasound, and the acquired raw B-scans are evaluated by a convolutional neural network that performs per-groove regression. Reference filling levels are obtained destructively from micrographs. Compared to X-ray computed tomography and destructive sectioning, the proposed approach overcomes the low material contrast between pipe and fitting, avoids long scan times, and enables a nondestructive, potentially inline-capable quantitative assessment of sub-millimeter grooves. A manual high-frequency ultrasound evaluation with a single probe and conceivable rule-based time-of-flight pipelines with hand-crafted echo picking and thresholds both show only moderate agreement with CT references and require substantial feature engineering for multiple echoes. In contrast, the PAUT-CNN method exploits the full raw B-scan without explicit feature design and achieves a root mean square error of about 7% of the groove filling levels on a held-out test set, corresponding to an absolute error on the order of a few tens of micrometers in groove height. This demonstrates that high-frequency phased array ultrasound combined with data-driven evaluation can quantitatively assess the filling of sub-millimeter grooves in aerospace-relevant press-fit connections. Full article
(This article belongs to the Special Issue New Advances in Non-Destructive Testing and Evaluation)
Show Figures

Figure 1

19 pages, 3397 KB  
Article
Nyemo Xuelai Tibetan Paper (Tibet, China): Research on Synergistic Correlations Between Surface Properties, Aging Resistance Mechanisms, Traditional Papermaking Crafts, and Protection Strategies
by Zhipeng Xiao, Xinyun Zhang, Yanxiang Li, Zhengfeng Liu, Haomiao Li, Xinyuan Zhang and Ruiying Ma
Coatings 2026, 16(3), 273; https://doi.org/10.3390/coatings16030273 - 25 Feb 2026
Viewed by 285
Abstract
As a representative intangible cultural heritage of Tibet, China, Nyemo Xuelai Tibetan paper has maintained its millennium-old inheritance, relying on its unique surface properties and aging resistance. However, at present, there remains a research gap regarding the surface characteristics of Nimu Xuela Tibetan [...] Read more.
As a representative intangible cultural heritage of Tibet, China, Nyemo Xuelai Tibetan paper has maintained its millennium-old inheritance, relying on its unique surface properties and aging resistance. However, at present, there remains a research gap regarding the surface characteristics of Nimu Xuela Tibetan paper and their correlation with aging mechanisms. To reveal their intrinsic mechanisms and provide scientific protection schemes, this study systematically analyzed the surface microstructure, chemical composition, pH variation, and aging resistance of 7 groups of Xuelai Tibetan paper samples using SEM-EDS, ATR-FTIR, pH testing, and dry-heat aging experiments (105 °C, 144 h). Combined with traditional crafts, the formation mechanism of properties was clarified, and multi-dimensional protection strategies were proposed. The results show that aging time exerted a highly significant effect on the D65 brightness, pH value, and tensile index of Xuelai Tibetan paper (p < 0.001). The fibers of Xuelai Tibetan paper are flat and ribbon-like, with an aspect ratio of 50–80, forming a tightly intertwined network structure. The core chemical component is cellulose with a relatively low lignin content, and the elemental composition is dominated by carbon and oxygen. Some samples contain calcium-based substances (0%–1.79%) derived from salt lake alkali. After aging, the D65 blue light diffuse reflectance factor (abbreviated as D65 brightness) retention rate of the samples ranges from 84.81% to 92.21%, and the tensile strength retention rate ranges from 30.78% to 90.00%. Calcium-based substances can inhibit the hydrolysis of cellulose glycosidic bonds through a weak alkaline buffering effect, improving aging-resistance stability. The excellent performance of Tibetan paper originates from the synergistic effect of traditional crafts: Stellera chamaejasme as raw material provides the material basis of high cellulose and long fibers; alkaline cooking removes lignin and retains the buffering components; manual beating optimizes the fiber’s interweaving structure; and natural air-drying ensures surface uniformity. Based on this, a multi-dimensional strategy of preventive protection and living inheritance is proposed: cultural relic protection focuses on pH stabilization, controlled storage, and non-destructive cleaning, and craft inheritance achieves sustainable development through raw material standardization, process refinement, and digital training. This study establishes the craft–characteristic–performance correlation mechanism of Xuelai Tibetan paper, verifying the statistical significance of aging-induced property changes and providing a scientific basis for the protection and inheritance of traditional handmade paper. Full article
Show Figures

Graphical abstract

16 pages, 2295 KB  
Article
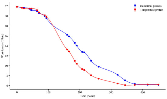
Process Time Reduction in Lager Beer Fermentation Through Model-Based Control
by Elena Elsa Bricio-Barrios, Héctor Hernández-Escoto, Fernando López-Caamal, Santiago Arceo-Díaz and Salvador Hernández
Fermentation 2026, 12(2), 120; https://doi.org/10.3390/fermentation12020120 - 20 Feb 2026
Viewed by 653
Abstract
This work aims to shorten the time of lager beer fermentation through a temperature profile determined by a model-based controller, as an exploratory proposal to reduce fermentation time while maintaining yeast viability and process performance, without compromising the fermentation dynamics or negatively affecting [...] Read more.
This work aims to shorten the time of lager beer fermentation through a temperature profile determined by a model-based controller, as an exploratory proposal to reduce fermentation time while maintaining yeast viability and process performance, without compromising the fermentation dynamics or negatively affecting the yeast activity. This study was developed from an engineering perspective focused on the optimization of the beer fermentation process through model-based control, preserving the beer properties of the original process. This exploratory work was carried out in four stages: (1) performance of constant temperature fermentations of a lager-type beer where concentrations of yeast and ethanol were monitored along the process, (2) model parameters adjustment and validation of a beer fermentation mathematical model on the basis of data obtained from experiments, (3) outline of a temperature trajectory, in a simulation framework, from an ethanol controller of movable convergence rate constructed with a nonlinear technique and the mathematical model, (4) experimental implementation of the outlined temperature trajectory in the beer fermentation. Beer batches’ quality-control endpoints suggested by Mexican quality standards frameworks, such as fermentation time, alcoholic and caloric content, and fermentation efficiency, were analyzed. The lag stage was reduced when the temperature profile devised by the controller was employed, resulting in a reduction in the time required to reach the stationary stage. No significant final characteristic variations in bottled beers brewed at constant and variable temperatures were identified. The quality assessment of the analyzed variables was conducted in accordance with the measurement capabilities of the employed equipment and under the applicable Mexican quality standards framework. This proposal presents an alternative systematic strategy to reduce the fermentation time of lager beer, favoring the efficiency and profitability of craft beer production. Full article
Show Figures

Figure 1

41 pages, 9747 KB  
Article
Multi-Technique Analysis and Digital Reconstruction of Polychromy on a Mithraic Altar from Carrawburgh Roman Fort near Hadrian’s Wall
by Louisa Campbell, Margaret Smith and Sarah Dugmore
Colorants 2026, 5(1), 6; https://doi.org/10.3390/colorants5010006 - 14 Feb 2026
Viewed by 1109
Abstract
Heritage materials science techniques, including pXRF, FTIR-ATR, XRD, microphotography, and microsampling, have peeled back concealed layers of polychromy on a Roman Mithraic altar near Hadrian’s Wall. The results break new ground by exposing the interplay between light and dark and the transformative impact [...] Read more.
Heritage materials science techniques, including pXRF, FTIR-ATR, XRD, microphotography, and microsampling, have peeled back concealed layers of polychromy on a Roman Mithraic altar near Hadrian’s Wall. The results break new ground by exposing the interplay between light and dark and the transformative impact of colour cast onto cultic carved stone. A powerful pigment palette is revealed, including vibrant cinnabar/vermilion letters overlying an unprecedented purple inscription panel created from a compound of Egyptian blue, ultramarine, cinnabar/vermilion, red ochre, red lead, and realgar framed with purple, Egyptian blue, ultramarine, and orpiment. The panel was covered in a golden surface crafted from a previously unknown recipe of pyrite (fool’s gold) mixed with beeswax. Tantalising traces are also detected on some iconographic features, but conservator intervention and degradation processes combined to leach colour from the sculpted relief. These are paradigm-shifting results. They force a reinterpretation of the symbolism and performance of altars as personifications of dedicators, and we identify, for the first time, high-ranking Mithraic initiates by name and grade. Critically, we present a digital reconstruction of the altar with original polychromy that revolutionises our understanding of relief-sculpted Roman inscriptions—a category that has, until now, remained underexplored by the burgeoning polychromy research community. Full article
(This article belongs to the Special Issue Feature Papers in Colorant Chemistry)
Show Figures

Figure 1

28 pages, 11528 KB  
Article
A New Concept for Docking Vessels
by Adi Tal and Nitai Drimer
J. Mar. Sci. Eng. 2026, 14(4), 329; https://doi.org/10.3390/jmse14040329 - 8 Feb 2026
Viewed by 435
Abstract
Docking vessels are used to transport and launch landing crafts, for launching offshore platforms, and in other marine operations. This research develops a new concept for docking vessels, with the aim of optimizing landing operations. Our idea involves separating the functions of transit [...] Read more.
Docking vessels are used to transport and launch landing crafts, for launching offshore platforms, and in other marine operations. This research develops a new concept for docking vessels, with the aim of optimizing landing operations. Our idea involves separating the functions of transit and landing into two different vessels, where the transporter is the docking vessel of the lander. This generates an efficient concept, as efficient transportation craft and efficient landing craft have different properties to fulfil their functional requirements. The separation enables the design of each vessel with appropriate performance in areas such as cruising speed, range and seakeeping. These functional specifications affect the whole naval architecture of the vessels. This concept is applicable for shores with no harbor facilities, where landing may be necessary for supply or survey. The transporter provides a floating base to the landing craft, with advanced cruising performance, while the lander design has optimal features for shallow water maneuvering and for landing. The docking vessel is of a Semi-SWATH (Small Water-Plane Area Twin Hull) type. A critical aspect of the design concept is the feasibility of launching and docking operations. This research develops this new concept for docking vessels and applies hydrodynamic response analysis to the transporter’s interaction with the lander, for several operational sea states. The method used for the hydrodynamic analysis involves modeling the vessels and solving the wave–body problem for the two interacting vessels, in the frequency domain as well as in the time domain. The time domain analysis enables us to determine the motion of the vessels in real sea spectra, including the representation of the nonlinear response of fenders between the vessels. We apply the AQWA software 2021 developed by ANSYS. The results validate the suitability of this docking application up to a significant wave height of 1.5 m, which present a margin of 0.1 m above the upper limit of sea state 3: 1.4 m. This shows the feasibility of conducting launching and docking operations using this unique design; there is a significant possibility of using this technique to achieve fast and comfortable transportation to a natural shore with no terminal facilities. Full article
(This article belongs to the Section Ocean Engineering)
Show Figures

Figure 1

26 pages, 632 KB  
Review
Impact of the Addition of Botanical Ingredients on the Physicochemical Properties, Polyphenolic Content, and Antioxidant Activity of Craft Beers
by Maria João Pereira, Diana Santos, Cláudia Pinho and Ana Isabel Oliveira
Beverages 2026, 12(2), 26; https://doi.org/10.3390/beverages12020026 - 6 Feb 2026
Viewed by 593
Abstract
Background: The incorporation of botanical ingredients into craft beer has emerged as a promising strategy to enhance nutritional value and expand its sensory diversity. Thus, this review aims to discuss the impact of adding botanical extracts on the physicochemical properties, phenolic content, and [...] Read more.
Background: The incorporation of botanical ingredients into craft beer has emerged as a promising strategy to enhance nutritional value and expand its sensory diversity. Thus, this review aims to discuss the impact of adding botanical extracts on the physicochemical properties, phenolic content, and antioxidant potential of craft beers. Methods: A narrative review was conducted using PubMed, Science Direct, Web of Science, and b-on databases, with the keywords ‘craft beer’, ‘physicochemical properties’, ‘polyphenolic content’, and ‘antioxidant activity’. Results: The incorporation of botanical ingredients into beers modified the physicochemical parameters, total phenolic content (TPC), and antioxidant activity. These effects varied according to the type of matrix, concentration, timing of addition, beer style, and brewing conditions. Overall, an increase in beer TPC and antioxidant activity was observed. However, higher TPC can present technological challenges, as phenolic–protein interaction may lead to turbidity. Conversely, enhanced antioxidant potential contributes to oxidative stability and extends the shelf-life of beer. Conclusions: Future studies should validate the current results, explore new bioactive matrices, and evaluate variables that ensure the functional quality of beer. Practical applications under real production conditions should also be prioritized to guarantee effective functional benefits without compromising the stability and sensory acceptance of craft beer. Full article
Show Figures

Figure 1

20 pages, 888 KB  
Article
Writing Accuracy: How AI-Assisted Writing Instruction Can Support EFL Undergraduate Students
by Hana Almutairi, Abdullah A. Alfaifi and Mohammad Saleem
Information 2026, 17(2), 157; https://doi.org/10.3390/info17020157 - 5 Feb 2026
Viewed by 740
Abstract
Recent research suggests that artificial intelligence (AI) tools allow EFL (English as a Foreign Language) learners to exert greater control over their language-learning process. Furthermore, these tools enhance their language skills by providing them with elements often absent in traditional classroom settings, such [...] Read more.
Recent research suggests that artificial intelligence (AI) tools allow EFL (English as a Foreign Language) learners to exert greater control over their language-learning process. Furthermore, these tools enhance their language skills by providing them with elements often absent in traditional classroom settings, such as autonomy and individual pace of learning. Specifically, AI-based tools, such AI chatbots, have the potential to facilitate learning and streamline tasks for both students and instructors in language-learning contexts. These digital companions (i.e., chatbots) can be methodically crafted and equipped with the required essential materials to support students in practising language skills independently, regardless of time or location. The current study presents an experiment conducted with undergraduate students at a university in Saudi Arabia to assess the effectiveness of a customised AI chatbot, WritePro (GPT-4), in improving their writing skills. Learners in the experimental group were instructed to use WritePro to navigate through their writing stages, focusing their queries on four key components: content and organisation, grammar mechanics, vocabulary usage, and sentence structure. The findings showed that WritePro serves as an effective tool for EFL learners to overcome several challenges in developing writing competencies. Therefore, the significance of these findings lies in the potential of AI tools to enable EFL instructors to effectively integrate chatbots into classroom instruction, supporting the development of students’ writing skills. Furthermore, these findings can be used as a basis for advocacy with university policymakers regarding the use of AI chatbots in language classrooms. Full article
Show Figures

Graphical abstract

23 pages, 2515 KB  
Review
AI-Enabled End-of-Line Quality Control in Electric Motor Manufacturing: Methods, Challenges, and Future Directions
by Jernej Mlinarič and Gregor Dolanc
Machines 2026, 14(2), 149; https://doi.org/10.3390/machines14020149 - 28 Jan 2026
Viewed by 757
Abstract
End-of-Line (EoL) quality control plays a crucial role in ensuring the reliability, safety, and performance of electric motors in modern industrial production. Increasing product complexity, tighter manufacturing tolerances, and rising production quantities have exposed the limitations of conventional EoL inspection systems, which rely [...] Read more.
End-of-Line (EoL) quality control plays a crucial role in ensuring the reliability, safety, and performance of electric motors in modern industrial production. Increasing product complexity, tighter manufacturing tolerances, and rising production quantities have exposed the limitations of conventional EoL inspection systems, which rely primarily on manually crafted features, expert-defined thresholds, and rule-based decision logic. In recent years, artificial intelligence (AI) techniques, including machine learning (ML), deep learning (DL), and transfer learning (TL), have emerged as promising solutions to overcome these limitations by enabling data-driven, adaptive, and scalable quality inspection. This paper presents a comprehensive and structured review of the latest advances in intelligent EoL quality inspection for electric motor production. It systematically surveys the non-invasive measurement techniques that are commonly employed in industrial environments and examines the evolution from traditional signal processing-based inspection to AI-based approaches. ML methods for feature selection and classification, DL models for raw signal-based fault detection, and TL strategies for data-efficient model adaptation are critically analyzed in terms of their effectiveness, robustness, interpretability, and industrial applicability. Furthermore, this work identifies key challenges that prevent the widespread adoption of AI-based EoL inspection systems, including dependence on expert knowledge, limited availability of labeled fault data, generalization between motor variants and production condition, and the lack of standardized evaluation methodologies. Based on the identified research gaps, this review outlines research directions and emerging concepts for developing robust, interpretable, and data-efficient intelligent inspection systems suitable for real-world manufacturing environments. By synthesizing recent advances and highlighting open challenges, this review aims to support researchers and experts in designing next-generation intelligent EoL quality control systems that enhance production efficiency, reduce operational costs, and improve product reliability. Full article
Show Figures

Graphical abstract

Back to TopTop