Next Article in Journal
Tomodane Promotes Microbial Community Convergence and Indigo Reduction During Laboratory-Scale Indigo Fermentation
Next Article in Special Issue
Effect of Variations in the Gas Outlet Location on an In Vitro Rumen Simulation Technique (RUSITEC®) System
Previous Article in Journal
Applications of Limosilactobacillus fermentum in Fruit and Vegetable Fermentations: Biotechnological Mechanisms, Nutritional Outcomes, and Industrial Relevance
Previous Article in Special Issue
Study on Microbial Diversity and Product Quality of Corn Gluten Meal-Based Fermented Feed
 
 
Font Type:
Arial Georgia Verdana
Font Size:
Aa Aa Aa
Line Spacing:
Column Width:
Background:
Article

Process Time Reduction in Lager Beer Fermentation Through Model-Based Control

by
Elena Elsa Bricio-Barrios
1,2,
Héctor Hernández-Escoto
1,*,
Fernando López-Caamal
1,
Santiago Arceo-Díaz
2 and
Salvador Hernández
1
1
Departamento de Ingeniería Química, Universidad de Guanajuato, Noria Alta s/n, Guanajuato 36050, GTO, Mexico
2
Departamento de Ciencias Básicas, Instituto Tecnológico de Colima, Tecnológico Nacional de México, Av. Tecnológico s/n, Villa de Álvarez 28020, COL, Mexico
*
Author to whom correspondence should be addressed.
Fermentation 2026, 12(2), 120; https://doi.org/10.3390/fermentation12020120
Submission received: 7 January 2026 / Revised: 3 February 2026 / Accepted: 13 February 2026 / Published: 20 February 2026

Abstract

This work aims to shorten the time of lager beer fermentation through a temperature profile determined by a model-based controller, as an exploratory proposal to reduce fermentation time while maintaining yeast viability and process performance, without compromising the fermentation dynamics or negatively affecting the yeast activity. This study was developed from an engineering perspective focused on the optimization of the beer fermentation process through model-based control, preserving the beer properties of the original process. This exploratory work was carried out in four stages: (1) performance of constant temperature fermentations of a lager-type beer where concentrations of yeast and ethanol were monitored along the process, (2) model parameters adjustment and validation of a beer fermentation mathematical model on the basis of data obtained from experiments, (3) outline of a temperature trajectory, in a simulation framework, from an ethanol controller of movable convergence rate constructed with a nonlinear technique and the mathematical model, (4) experimental implementation of the outlined temperature trajectory in the beer fermentation. Beer batches’ quality-control endpoints suggested by Mexican quality standards frameworks, such as fermentation time, alcoholic and caloric content, and fermentation efficiency, were analyzed. The lag stage was reduced when the temperature profile devised by the controller was employed, resulting in a reduction in the time required to reach the stationary stage. No significant final characteristic variations in bottled beers brewed at constant and variable temperatures were identified. The quality assessment of the analyzed variables was conducted in accordance with the measurement capabilities of the employed equipment and under the applicable Mexican quality standards framework. This proposal presents an alternative systematic strategy to reduce the fermentation time of lager beer, favoring the efficiency and profitability of craft beer production.

1. Introduction

Nowadays, the beer industry is growing constantly within the food sector due to its large sales volume, low manufacturing cost, and variety in the global market [1]. Unlike other alcoholic beverages, the success of beer has been associated with its preparation with natural products [2], its versatility to be consumed alone or with food, and the normalization of its consumption at meetings and celebrations [3].
Thanks to the experience and knowledge acquired over centuries, the brewing process has been standardized to a point at which it is possible to redesign the final concentration of ethanol and other organoleptic components without affecting the quality of beer. The fermentation stage comprises around 70–80% of the brewing process [4], in which the required time greatly depends on the yeast’s speed to convert sugar. Multiple factors, such as temperature, pH, and concentration of sugar and yeast, affect yeast performance; if these are not properly controlled, the organoleptic and nutritional quality of beer can be compromised [5]. This matter has been addressed experimentally by adding sugar and honey at the fermentation start to facilitate glycolysis [6], and also by adding mature yeast from another fermentation to favor the speed of consumption of sugar sources in primary stages [7], and even by inducing magnetic fields to increase the growth rate of yeast during beer fermentation [8]. For its part, temperature manipulation has been a feasible alternative for reducing the beer fermentation time [9]. Likewise, the sensitivity of yeast to significant temperature variations must be considered, since it could reduce the replication capacity of the cells [7]. Therefore, the design of temperature profiles presents a niche for exploration.
Stochastic algorithms have been followed to create temperature profiles to reduce the fermentation time of lager beer; for example, [9]; used ant colony and evolutionary algorithms, respectively. However, these profiles exceed the recommended temperature limits for the yeast that the authors used. Meanwhile, [10]; applied an Ant Colony System ACS algorithm to optimize the kinetic model, incorporating a cost function that specifically penalized the risk of contamination or spoilage (particularly by Lactobacillus) when the temperature exceeded 15 °C. To ensure that the resulting trajectory was applicable at the industrial scale, they also imposed a “single-increase” rule, which prevents the temperature from rising again once it has started to decrease, and implemented a data-smoothing procedure to eliminate abrupt “sawtooth-like” changes in the temperature profile. Taking the above into consideration [11], applied genetic algorithms coupled to a restriction of temperature ranges to prevent yeast inactivation; they obtained a temperature profile capable of reaching the maximum ethanol concentration in less time compared to an isothermal process.
It has been observed that the incorporation of validated mathematical models allows the calculation of the consumption rates of sugar sources and of the generation of ethanol, biomass, and byproducts associated with the nutritional and organoleptic properties of beer [12]. Additionally, various nonlinear model-based control techniques have been implemented, which are known as a strategy in which the mathematical model of the process is used directly for the design of the control law. This mathematical tool makes it possible to address complex bioprocesses, such as fermentation, which are characterized by being non-stationary and nonlinear.
In particular, Gee and Ramírez in [12] laid the foundations by addressing optimal design and temperature control to maximize ethanol production. Subsequently, Ramírez and Maciejowski in [13] developed direct dynamic optimization tools, such as sequential quadratic programming, to solve fermentation problems that also include flavor-related effects.
Geometric control is a model-based approach that uses differential geometry tools for the analysis and design of control laws for nonlinear systems [3]. It commonly relies on coordinate transformations and state feedback to obtain more convenient system representations (e.g., normal forms or feedback linearization when applicable), enabling trajectory tracking over wider operating ranges than classical linear control schemes around a single operating point [5];: for example, [14]; who applied a geometric-type control technique to create a temperature profile for producing low-, medium-, and high-alcohol content beers, and [15], who constructed a predictive model controller integrated with a state estimator driven by temperature to manage sugar sources and preserve organoleptic properties in industrial beer production.
In lager beer fermentation, the bottom-fermenting yeast Saccharomyces pastorianus is commonly employed. The ideal fermentation temperature range is typically between 7 °C and 16 °C to ensure a clean metabolic profile [16]. This type of fermentation is characterized by relatively slow yeast growth, which makes the process highly sensitive to initial conditions and to the applied temperature profile. In addition, it has been estimated that for each degree Celsius above 16 °C, the risk of wort contamination by bacteria such as Lactobacillus plantarum may substantially increase.
From a food process engineering perspective, the design of temperature profiles must also consider their feasibility for implementation in real industrial systems. In the literature, stochastic optimization approaches such as Ant Colony [10] System and Genetic Algorithms [17] have been used to generate temperature trajectories.
Although these strategies have been reported to reduce fermentation time, they may produce irregular “jagged profiles” that are difficult to replicate at an industrial scale [18]. To address this limitation, smoothing techniques have been applied such as the Savitzky–Golay filter, transforming irregular trajectories into continuous and operational ramps that can be implemented using industrial cooling systems [19].
Regarding product quality during beer fermentation under different temperature profiles, high temperatures can stimulate fermentation; however, they must generally remain below 30 °C to prevent yeast cell damage, loss of volatile compounds, or deactivation [20]. This approach effectively manages the active yeast population while ensuring that undesirable byproducts, such as diacetyl and ethyl acetate, remain below perceived flavor thresholds of 0.1 ppm and 2 ppm, respectively [21]. In contrast, in lager beer fermentation, [22]; reported the occurrence of diacetyl when the fermentation temperature exceeded 15 °C.
The methods for designing and tracking beer fermentation trajectories based on mathematical fermentation models have primarily focused on minimizing the final time and maximizing the ethanol concentration. In this work, the experimental implementation of a temperature trajectory designed through a model-based controller is explored as a laboratory-scale validation step aimed at reducing process time.
Within a Technology Readiness Level framework, this corresponds to advancing from simulation-based proof-of-concept toward laboratory validation under controlled conditions, establishing the feasibility of implementing the proposed trajectory in practice. Additionally, the final process outcomes were quantified in terms of ethanol content, calorie content, residual sugars, and experimental efficiency, which were compared against the corresponding official Mexican standards as an initial step toward quality compliance for potential commercialization.

2. Materials and Methods

2.1. The Beer Fermentation

A commercial kit to brew a lager-type beer was purchased on a web portal to perform the experimental work. This kit contains diastatic malt and the yeast Saccharomyces pastorianus. This type of malt is recommended for slow fermentations, which result in a drink with a high carbon dioxide concentration and a subtle citrus aroma. The supplies in this kit were divided into two equal parts, one to brew the beer at a constant temperature and the second for fermentation with a temperature profile.
The preparation of the ferment began with the grinding of the cereal grains in Electrolux brand rotating equipment (AB Electrolux; Stockholm, Sweden). The ground grains were sifted to a medium mesh size to avoid the presence of fine particles in the wort. Finally, the grains were distributed into two samples of equal weight, weighed with an AD-sk-30k Class III scale (A&D Company, Limited; Tokyo, Japan), and placed in vacuum-sealed plastic bags. Similarly, yeast and hops were distributed in sealed plastic bags containing equal amounts by weight, measured with a Boeco BBL31 brand analytical balance (Boeckel+ Co.; Hamburg, Germany). The mash was prepared from the ground grains, which were added to an aluminum pot containing five liters of water at a temperature of 75 °C. The water temperature was monitored with a TP3001 digital thermometer (Labbox Labware, S.L; Barcelona, Spain). The mash was kept under continuous stirring for 90 min; during this time, the temperature was maintained in the range of 68 to 72 °C using a gas stove. The aluminum pot containing the mixture was removed from the heat and allowed to cool until it reached room temperature (around 22 °C). The cold mash was filtered and washed twice consecutively to reduce as many particles as possible that could increase the turbidity of the mixture. Finally, the mash was diluted in water until the sugar concentration was verified to be 14° Brix. This was done using a Pocket brand refractometer (ATAGO CO; Tokyo, Japan) with a range of 0 to 50%.
To confer the characteristic flavor and aroma of the beer, the wort was heated to a gentle boil (48–55 °C), and the bittering, flavor, and aroma hops were added at 10 min intervals, as well as the clarifying agent. Afterwards, the temperature of the hop-enriched wort was reduced with the help of an ice water bath until it registered 25 °C. Next, 2.4 g of Saccharomyces pastorianus yeast was dissolved in 50 mL of distilled water at 25 °C, which was added to the wort. This mixture was stirred vigorously for 3 min to ensure homogenization.

2.2. Analysis of Beer Fermentation Samples

As the final stage, the hopped wort inoculated with fermenting yeast was transferred to the fermentation vessel. Following the methodology reported by Changotasi in [23] and Terán in [24], a 1-gallon food-grade PET potable-water container (Water Solutions; Quito, Ecuador) was used as the fermentation tank. This choice was motivated by (i) the favorable heat-transfer properties of PET, which reduce thermal inertia and facilitate tracking of the imposed temperature profile compared to glass vessels [25]; (ii) its food-grade certification, supporting its suitability under basic food safety considerations [26]; and (iii) the incorporation of a venting membrane to allow CO2 release while minimizing air ingress [23]. In addition, sampling was performed through a food-grade connector valve to reduce the exposure of the medium to the external environment during sample collection. Subsequently, the fermentation tank was stored inside an Ecocell incubator (MMM Medcenter Einrichtungen; GmbH Munchen, Germany) at a constant temperature of 10 °C [27].
During fermentation, a 25 mL sample of must was extracted; 20 mL of this sample was divided into two equal volumes contained in Falcon-type tubes (Corning-Incorporated, Corning, NY, USA). The samples in these tubes were centrifuged at 4000 rpm for 15 min to separate the solid and liquid portions. In both samples, the liquid portion of the mixture was extracted and shaken to eliminate carbon dioxide. Each liquid portion was transferred to a syringe and injected into the feeding nozzle of beer alcoholyzer Anton Paar DMA4500M (Anton Paar GmbH; Graz, Austria) that had previously been washed and calibrated with distilled water. After a few minutes, the equipment’s digital screen showed the magnitude of parameters such as density, alcoholic strength, and caloric content of the sample. The remaining five milliliters of the original wort sample were used for biomass measurement. On five occasions, a pipette was used to take 1 mL of sample, to which 1 mL of distilled water with 10 drops of a rhodamine solution was also added for cell staining. After 2 min of rest, a drop of the sample with the staining agent was placed on a Neubauer plate (Better Scientific; Berlin, Germany), and cell counting was performed through a binocular optical microscope Q200 Lite (Better Scientific; Berlin, Germany). This process was repeated until no variation in ferment density was recorded.
The wort density, commonly sensed and reported as °Plato, is used as a practical criterion for process monitoring due to its correlation with the concentration of dissolved solids and, in particular, with the consumption of fermentable sugars throughout fermentation [28]. The decrease in density reflects the conversion of these sugars into ethanol and CO2 by yeast; therefore, off-line density measurements provide an indirect way to track fermentation progress [29]. Thesseling in [30] reported that, as fermentable sugars approach depletion, yeast reduces its metabolic activity and the system transitions toward a stage of near-zero net growth (stationary phase). At this stage, stabilization of the measured density indicates that apparent fermentation has concluded [31]. Nevertheless, further changes may occur during beer maturation, during which the final ethanol concentration is attained [32].

2.3. Analysis of Beer Final Characteristics

At the end of every fermentation experiment, a second filtering with canvas was carried out to separate the yeast from the fermented liquid. With a 1 L burette, the volume of beer was measured, 6 g/L of sugar was added, and it was gently shaken until homogenized, with the aim of promoting the natural carbonation of the beer [23]. As reported by Changotasi in [23], this sugar addition is intended to allow the residual yeast remaining after filtration to generate CO2 for carbonation without accumulating excessive pressure inside the bottle (i.e., reducing the risk of bottle failure).
Although adding sugar can, in principle, reactivate biomass and lead to additional ethanol formation, in this post-filtration stage the amount of yeast remaining is insufficient for a meaningful contribution to fermentation progression; thus, the step is primarily a carbonation aid rather than an alcohol-yielding phase. Afterwards, the fermented liquid was transferred into 355 mL amber glass bottles and sealed with chromeplate caps using a manual bottle capper. The bottled beer was then stored in a cool, dark place for 7 days to allow maturation [24]. This packaging format is consistent with the final bottled presentation typically used for consumer distribution in a potential commercialization scenario. Finally, a 50 mL sample was extracted from the matured bottles to analyze its properties using the Beer Alcolyzer equipment, including ethanol content, caloric content, and residual sugars [23].

2.4. The Beer Fermentation Mathematical Model

In the open literature, three representative mathematical models are available to describe the beer fermentation process. The model reported by De Andrés-Toro in [17] consists of governing equations for biomass, total sugars, ethanol, diacetyl, and ethyl acetate, and additionally incorporates a biomass segregation into latent (lag-phase), active, and dead cells. This model has shown applicability and validation under industrial conditions, as it provides a compact representation of the overall process behavior. Nevertheless, its performance may be sensitive to experimental variability associated with biomass quantification, including sampling (aliquot collection), dilution procedures, staining reagent quality, and the accuracy of manual cell counting, which largely depend on operator technique.
Finally, the model by Gee and Ramírez in [12] consists of an extensive system of approximately 25 differential equations, describing biomass dynamics and the consumption of the three main fermentable sugars in malt (glucose, maltose, and maltotriose), as well as ethanol generation, CO2 dynamics in both liquid and gas phases, nutritional variables (e.g., essential amino acids), and compounds associated with organoleptic properties. These variables are modeled as coupled functions, dependent on biomass concentration and on nonlinear interactions among species. Based on Monod-type kinetics and temperature dependencies described through Arrhenius-type expressions, this framework provides a detailed description of the fermentation process, although it results in a highly nonlinear system that increases the complexity of analysis and parameter identification [33].
In this work, the mathematical model of Gee and Ramírez in [12] was recalled. The ordinary differential equations for the concentrations of the biosubstances mentioned take the following form:
d X t d t = Y X G d G t d t + Y X M d M t d t + Y X N d N t d t
d G t d t = μ G G t K G + G t x t
d M ( t ) d t = μ M M ( t ) K M + M ( t ) K G K G + G ( t ) X ( t )
d N ( t ) d t = μ N N ( t ) K N + N ( t ) K G K G + G ( t ) K M K M + M ( t ) X ( t )
E ( t ) = Y E G ( G 0 G ( t ) ) + Y E M ( M 0 M ( t ) ) + Y E N ( N 0 N ( t ) )
In these equations, X corresponds to the concentration of yeast, and the concentrations of glucose, maltose, and maltotriose are represented by G , M , and N , respectively; E corresponds to ethanol concentration. Y X i and Y E i   represent the yield coefficients of yeast and ethanol for each reducing sugar i = G , M , or N . μ i is the maximum reaction rate for each sugar i , K i is the substrate concentration at which the reaction rate reaches a value equal to half the maximum, and K i is the inhibition constant. It is worth mentioning that μ i , K i , and K i are described, in turn, by the Arrhenius function, which depends on the temperature inside the fermentation tank, in the following form:
μ i ( T ) = μ i 0 e E μ i R T 2 ;       K i ( T ) = K i 0 e E K i R T 2 ,       K i ( T ) = K i 0 e E K i R T 2
where E μ i , E K i , and E K i are activation energies, and μ i 0 , K i 0 , and K i 0 are pre-exponencial coefficients; R is the ideal gas constant, and T is the fermentation temperature [12]. It is worthy to recall that the composition of sugar sources in a cereal depends on the geographical origin [34], and the efficiency of yeast in fermenting reducing sugars is influenced by the type of yeast and the fermentation conditions [35].
The model parameter identification was carried out on the basis of the information obtained from the beer fermentation experiments at constant temperature. The information included the concentrations of ethanol and reducing sugars from samples taken out at regular intervals of 3 h. The numerical method used to locate the minimum of the sum of the squared differences between the experimental points and those simulated by the model with adjusted parameters was the Levenberg–Marquardt algorithm [36].

2.5. Plant–Process Framework and Beer Fermentation Experiments

In this study, a model-based approach is used to design an off-line, predefined temperature profile for beer fermentation. The plant corresponds to the physical system where fermentation takes place, namely the fermentation vessel placed inside an Ecocell incubator, which provides the thermal environment required to impose either constant or time-varying temperature conditions. The process refers to the biochemical conversion of wort into beer, which is inherently dynamic and exothermic, as yeast metabolism releases heat and continuously affects the internal temperature throughout fermentation.
To previsualize the temperature effect and to obtain experimental information for model identification, constant temperature fermentations were carried out at 10 °C and ambient temperature fermentation (10–24 °C). The commercial kit instructions recommend an operating range of 8–24 °C, and the same reducing sugars wort was prepared for all experiments following the kit protocol.
A second set of experiments consisted of implementing the off-line-designed temperature profile obtained from the nonlinear control technique described below. This fermentation was conducted in the Ecocell incubator, which is equipped with an internal temperature controller that enabled the programmed temperature schedule. In order to maintain comparable operating conditions, the temperature profile experiment was performed in parallel with the isothermal lager fermentation at 10 °C, and both processes were evaluated under the same experimental setup. The purpose of applying the predetermined temperature profile was to achieve the maximum ethanol concentration in the shortest possible time compared to conventional isothermal operation.

2.6. Temperature Profile Design by Nonlinear Control Technique

The proposal is to design a fermentation temperature profile using a nonlinear controller, where the manipulated input is the temperature, adjusted throughout fermentation to reach a target ethanol concentration within a specified time horizon. The controller structure reported in the source corresponds to a geometric nonlinear control scheme based on state feedback, using the Gee and Ramírez model in [12] to represent the wort-to-beer transformation dynamics.
Conceptually, the controller is formulated as a servo-control problem: it seeks to drive the ethanol concentration from its initial value to its maximum attainable level as fast as possible, without prescribing a temperature trajectory a priori. For the controller construction, the maltotriose-associated kinetic rate is identified as a particularly sensitive term, since maltotriose is typically the last major carbon source consumed by the yeast. The temperature is obtained implicitly through a feedback linearization procedure. This consists of defining an output-tracking error in ethanol, differentiating it with respect to time to expose the nonlinear process dynamics, and then enforcing an equivalence between those nonlinear dynamics and a desired linear reference dynamic. In the cited formulation, the reference dynamics is set with a PI structure, selected to ensure the exponential stability of the tracking error [37].
As a result, in the final control law (Equation (7)), temperature does not appear as an isolated linear term; instead, it is embedded within the states, which depend on temperature via Arrhenius-type exponential expressions. Therefore, the temperature value is obtained by solving for T from the equality between the nonlinear model dynamics and the desired PI dynamics, yielding the thermal action required for the process to follow the stable reference behavior [38].
K P E t E ¯ + K I 0 t E t E ¯ d τ + Y E G G 0 + μ G ( T ) G t K G ( T ) + G t X t + Y E M M 0 + μ M ( T ) M t K M ( T ) + M t K G ( T ) K G ( T ) + G t X t + Y E N N 0 + μ N ( T ) N t K N ( T ) + N t K G ( T ) K G ( T ) + G t K M ( T ) K M ( T ) + M t X t = 0
This controller equation is coupled to the fermentation model (1)–(6), G ( t ) , M ( t ) , N ( t ) , E ( t ) ), and T ( X ( t ) ), driving E ( t ) up to E ¯ .
K P and K I are the proportional and integral gains of the controller (7), respectively, which influence the form and rate of convergence of the ethanol concentration trajectory. Their values are systematically set by the following expressions:
K P = 2 n τ P ,       K I = n τ F ξ 2
where the parameters ξ and τ F are referred to as the damping factor and the reference time, respectively, while n is the adjuster of the convergence rate.

3. Results and Discussion

3.1. Influence of Temperature on Beer Fermentation

Figure 1 shows the fermentation process of a beer batch divided between two fermentation tanks. The first fermenter was kept in an Ecocell incubator at 10 °C, while the second was stored in a drawer protected from sunlight at ambient temperature in Quito, Ecuador (8–24 °C). Ethanol concentration was monitored over time in triplicate for both conditions. Since the experimental data did not follow a Gaussian distribution, the median was selected as a robust measure of central tendency, and the variability across replicates is presented as standard deviation error bars [38]. Gee and Ramírez’s model in [12] was used to describe the ethanol production dynamics, as it captures the characteristic saturation behavior of fermentation as fermentable sugars become depleted. The agreement between the experimental median trajectory and the logistic model was quantified using the root mean square error (RMSE), which provides an objective metric of the average squared deviation between the model predictions and the experimental observations [38].
Figure 1 shows that temperature is a sensitive variable in the fermentation process of beer batches produced under the same wort preparation conditions. This trend is consistent with the mathematical framework proposed in [39], which incorporates the Arrhenius equation to account for temperature-dependent kinetics in the state variables associated with the three primary fermentable sugars present in malt. The model to the median ethanol profiles showed a clear saturation behavior for both conditions. For the 20 °C fermentation, the estimated asymptotic ethanol concentration was Emax = 5.9602%, and there was an inflection time of t0 = 25.9083 h (RMSE = 0.1148%). Under the free (ambient, uncontrolled) fermentation, the fit yielded Emax = 5.3662%, and t0 = 28.5186 h (RMSE = 0.1028%). The low RMSE values in both cases indicate close agreement between the model predictions and the experimental median trends.

3.2. Mathematical Model Identification and Validation

The isothermal fermentation was performed with a wort whose concentrations of reducing sugars were 47.6, 80.3 and, 40.1 mol/m3 for glucose, maltose, and maltotriose, respectively. These fermentations at 10 °C lasted for 450 h to reach an ethanol of 8.88%.
On the basis of this experimental information, the identified parameters of the mathematical model (1)–(6) by the Levenberg–Marquardt algorithm with 95% CI are reported in the following as Table 1:
Table 1 reports the estimated model parameters for the lager beer fermentation. Similarly, ref. [24] applied the same identification approach using the experimental data, who produced a beer batch with the same brewing kit used in this work. Their results yielded values that were close to those reported here for the first four parameters; however, the ethanol yield parameter Y E i was not reported.
The accuracy of the fermentation description provided by the mathematical model is illustrated in the following figures, which compare the simulated model trajectories of biomass and ethanol with the experimental fermentation performed at 10 °C.
Figure 2 shows the agreement between the mathematical model trajectory of the fermentation process at 10 °C and the experimental measurements, including a 5% error bar referenced to the mathematical model. Overall, both the model and the experimental records exhibit a sigmoidal (logistic-type) behavior, which is commonly used as a classical representation of biomass growth in bioreactors [40].
During the initial (lag) phase, the experimental measurements lie both below and above the model prediction. This behavior can be explained, at least in part, by the experimental uncertainty associated with sample dilution and cell counting, which may lead to inaccurate biomass estimates. From approximately 125 h onward, the experimental trend follows the logistic dynamics more closely. The fitted model estimates Xmin = 7.465 × 106 cells/mL and an asymptotic plateau of Xmax = 6.783 × 107 cells/mL, and an inflection time of t0 = 168.4 h. After ≈210 h, both the experimental data and the model approach a stationary regime near Xmax. Overall, the fit yields an RMSE of 3.33 × 106 cells/mL, indicating good agreement outside the lag region.

3.3. Temperature Profile Designed by Controller

After model identification, the temperature profile generated by the controller was obtained by coupling the fermentation model (Equations (1)–(6)) with the controller equation (Equation (7)), using the same initial conditions as the isothermal reference case. Controller tuning followed the guidelines of [41], and the selected parameters from Figure 3 were ( ξ , τ F , n ) = (0.8212, 127 h, 2). The resulting temperature trajectory is shown in Figure 4, where the controller-driven profile increases from 10 °C and asymptotically saturates near 12 °C, while the isothermal operation remains fixed at 10 °C.
Figure 3 compares the experimental ethanol trajectory with the Gee and Ramírez model. The reduced dispersion observed in ethanol measurements is consistent with (i) ethanol being an accumulated product that smooths short-term process fluctuations, and (ii) the high repeatability of the Anton Paar instrumentation, which minimizes operator-dependent variability compared with off-line cell counting [42]. The fitted logistic model yields an asymptotic ethanol concentration of Emax = 8.7615% and an inflection time of t0 = 187.56 h. The low RMSE (0.1324%) indicates close agreement between the model and the experimental trend, capturing both the rapid ethanol increase around the mid-fermentation stage and the final saturation toward the stationary regime.
The corresponding state trajectories (biomass and ethanol) indicate that the target ethanol concentration is reached at 450 h, which is faster than under isothermal fermentation. Several values of n were tested and yielded even faster ethanol trajectories; however, n = 2 was selected as a practical compromise to facilitate the implementation of the temperature program in the experimental setup. For example, ref. [43] reported the technical feasibility of these stepped temperature profiles by adjusting the set-point at regular intervals (e.g., every 10–14 h), so that the equipment can reproduce the theoretical trajectory in segments. Reference [44] observed that the deviation between a continuous profile and a stepped one can be kept within ~10%, and that under this tolerance no relevant changes are detected in the final ethanol or biomass production. For lager fermentations, this is consistent with the slow yeast growth: the overall temperature trend tends to matter more than small local variations in the gradient. Finally, ref. [22] identified that smooth transitions can be achieved to reach the maximum ethanol concentration without violating constraints related to byproducts such as diacetyl or ethyl acetate.

3.4. Comparative Evaluation of Temperature-Profiled and Isothermal Fermentation

To implement the controller-designed profile in the beer fermentation system, the smooth temperature trajectory from Figure 4 was approximated by a piecewise (ramp/step) profile, since the equipment cannot directly execute arbitrary temperature functions beyond programmable ramps. Thus, the Ecocell program was constructed as a sequence of constant temperature levels and linear ramps that closely reproduce the controller profile over the first hours of fermentation and then maintain 12 °C once the stationary temperature is reached.
Figure 5 shows that both the isothermal fermentation (10 °C) and the fermentation carried out under a temperature profile lead to practically the same final ethanol concentration, as the curves converge toward the plateau region at the end of the process. Therefore, no significant difference in the final alcohol content is observed between the two operating conditions.
On the other hand, at an industrial scale, beer fermentation is commonly conducted using temperature profiles rather than strictly isothermal conditions [7]. However, this practice must be implemented with caution, as inappropriate temperature variations may compromise yeast physiological performance, including its replication capacity during fermentation, and potentially affect both process stability and product quality.
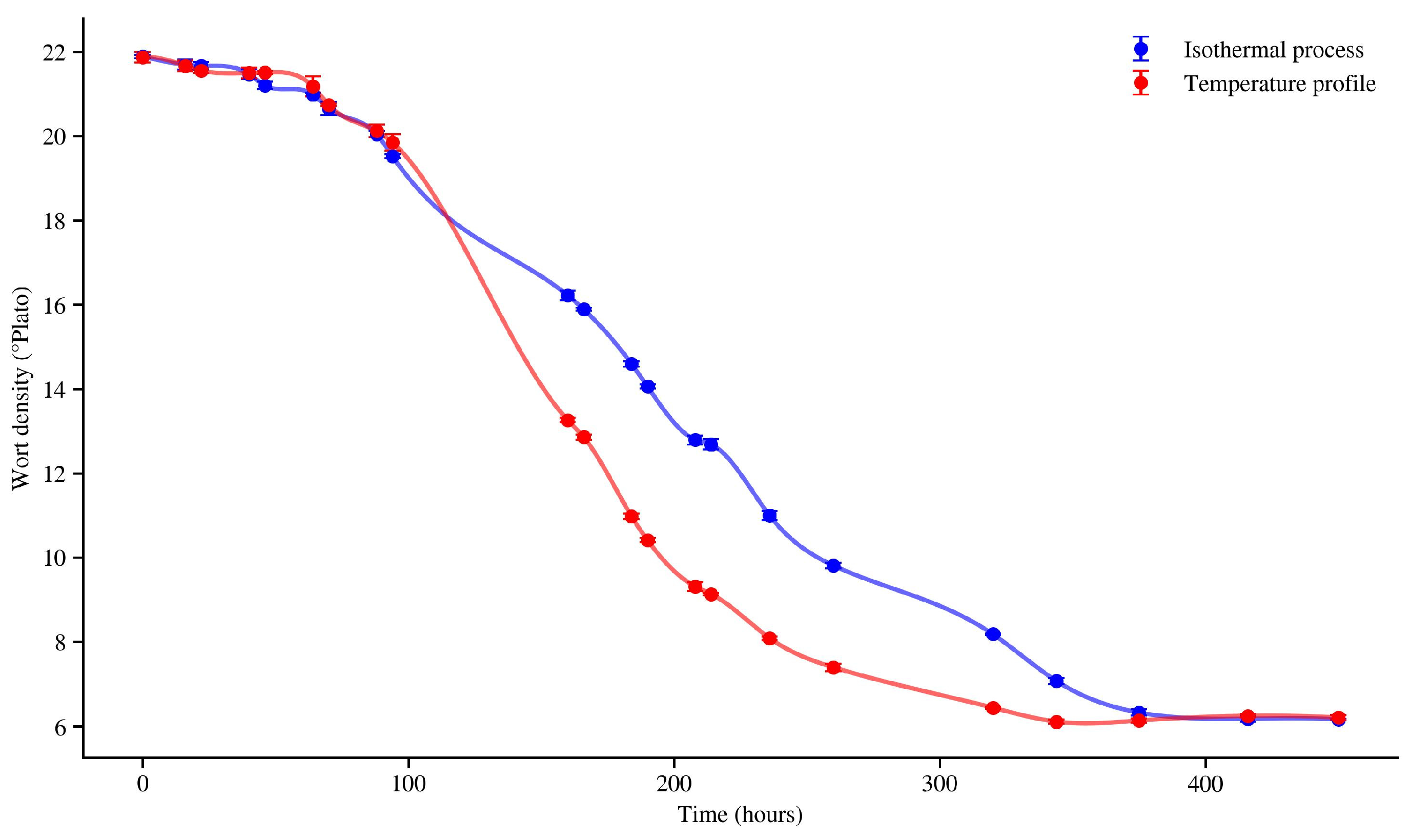
Figure 6 shows the evolution of wort density during fermentation under an isothermal process and using a temperature profile, as wort density measurement provides an indicator for identifying the onset of the stationary fermentation regime and is less sensitive to experimental errors than biomass counting or direct ethanol measurements [45]. In both operating conditions, a progressive decrease in density is observed, associated with the consumption of fermentable sugars and the production of ethanol. However, when focusing on the equilibrium time, defined as the interval in which density stabilizes and no longer exhibits significant variations, it can be observed that the temperature profile reaches equilibrium earlier than the isothermal process.
Specifically, the temperature profile shows a stabilization of °Plato at approximately 330 h, whereas under isothermal conditions the density continues to decrease gradually until later times. This behavior indicates that, when using a controlled temperature profile, the effective depletion of fermentable sugars and consequently the attainment of the maximum ethanol concentration occurs earlier.

3.5. Final Properties of Beers

To evaluate whether the operating strategy (isothermal fermentation at 10 °C vs. fermentation under a predefined temperature profile) affects the final characteristics of the beer, four product variables were compared: ethanol (%), caloric content (kcal), residual sugars (%), and experimental efficiency (%).
The data were analyzed using multivariate analysis of variance (MANOVA), a statistical technique that tests whether the vector of means of multiple dependent variables differs between groups, accounting for correlations among responses and controlling the overall Type I error that would arise from running multiple univariate tests independently [46]. In addition, and to provide variable-specific evidence, Welch’s t-tests were computed for each response with Holm correction for multiple comparisons (Table 2).
Overall, only small differences were observed between operating conditions. The estimated differences (PROFILE − ISO) and their bootstrap 95% confidence intervals with 95% CI: were as follows: ethanol: Δ = +0.043% v/v (0.040 to 0.050); caloric content: Δ = +0.487 kcal (0.223 to 0.983); residual sugars: Δ = −0.173% (−0.243 to −0.090); experimental efficiency: Δ = +0.953% (0.883 to 1.023) These results indicate that the temperature profile strategy does not produce drastic changes in the final beer characteristics. Instead, the observed differences are small and consistent within the repeatability of the reported measurements.
It is generally observed that there is no significant difference in the final properties of beers brewed at constant or variable temperatures. The above corroborates the incorporation of temperature profiles within the fermentation process as an alternative to save time. The first column indicates that the final ethanol concentration is independent of the fermentation temperature. Likewise, these magnitudes are close to commercial beers [47]. In addition to this alcoholic beverage reporting a concentration of less than 20%, in Mexico it can be marketed under the name of beer [48]. The second column reports the caloric content for each batch of beer, where it is identified that the reported magnitudes exceed those reported for industrialized beers with 45 kcal/100 mL; this is consistent with the higher ethanol concentration of the fermented batches compared to Mexican commercial beers [49]. When evaluating the efficiency of fermentation, corresponding to the third column, 9 to 9.6% of non-fermented residual sugars were detected, compared to the 3% reported for industrialized beer [5]. This indicates the need to evaluate and redesign the grinding of cereal grains, stabilize the temperature of the wort prior to the addition of yeast, and more rigorously monitor the fermentation temperature. Finally, the fourth column reports that the fermentation efficiency is lower compared to industrialized beer at 95%, which can increase if the filtering canvas is replaced in exchange for a solids separation system by one from the press [50].

4. Conclusions

In this study, the final properties of beer batches obtained through isothermal and non-isothermal fermentation of lager were compared. The results obtained indicate that variations in the temperature profile do not exert a significant impact on the final characteristics of the beers, suggesting the feasibility of incorporating temperature profiles during the fermentation process. Furthermore, the final ethanol concentration remained consistent with commercial beers, regardless of the temperature used in the process.
Regarding the mathematical model, it proved to be an effective tool to describe both isothermal and temperature-profiled fermentations. Although variations were observed between the model trajectories and the experimental data, these differences were not significant. While incorporating the temperature profile constructed from a geometric-type scheme, it was reported that the isothermal and non-isothermal systems show similar initial behavior, but the non-isothermal fermentation exhibits a faster decrease in density until the maximum ethanol concentration is reached.

Author Contributions

Conceptualization, H.H.-E. and E.E.B.-B.; methodology, H.H.-E. and F.L.-C.; software, S.A.-D. and E.E.B.-B.; validation, H.H.-E., S.H. and F.L.-C.; formal analysis, F.L.-C.; investigation, E.E.B.-B.; resources, S.H.; data curation, S.A.-D.; writing—original draft preparation, E.E.B.-B.; writing—review and editing, E.E.B.-B. and H.H.-E.; visualization, H.H.-E. and S.A.-D.; supervision, F.L.-C.; project administration, H.H.-E.; funding acquisition, S.H. All authors have read and agreed to the published version of the manuscript.

Funding

This research received no external funding.

Institutional Review Board Statement

Not applicable.

Informed Consent Statement

Not applicable.

Data Availability Statement

The original contributions presented in this study are included in the article. Further inquiries can be directed to the corresponding author.

Acknowledgments

The authors would like to thank the Secretaría de Ciencia, Humanidades, Tecnología e Innovación, Dirección de Apoyo a la Investigación of the University of Guanajuato and EDUCAFIN, for the scholarships granted to Elena Elsa Bricio-Barrios, which allowed the development of this work.

Conflicts of Interest

The authors declared no conflict of interest.

References

  1. Baiano, A. Craft beer: An overview. Compr. Rev. Food Sci. Food Saf. 2021, 20, 1829–1856. [Google Scholar] [CrossRef]
  2. Wunderlich, S.; Back, W. Overview of manufacturing beer: Ingredients, processes, and quality criteria. In Beer in Health and Disease Prevention; Academic Press: Cambridge, MA, USA, 2009; pp. 3–16. [Google Scholar] [CrossRef]
  3. Camargo, B.A.; Portales, L. Motivaciones y efectos percibidos en el consumo de cerveza entre millennials: El caso de Monterrey y su área metropolitana. Aposta. Rev. Cienc. Soc. 2020, 85, 31–47. Available online: https://www.redalyc.org/journal/4959/495965265002/html/ (accessed on 25 November 2025).
  4. Nehra, M.; Grover, N.; Sandhu, K.S.; Theory, R. Introduction of brewing process and malting. In Fruit Fortification of Craft Beer; Springer International Publishing: Cham, Switzerland, 2024; pp. 1–20. [Google Scholar] [CrossRef]
  5. de Lima, A.C.; Aceña, L.; Mestres, M.; Boqué, R. An overview of the application of multivariate analysis to the evaluation of beer sensory quality and shelf-life stability. Foods 2022, 11, 2037. [Google Scholar] [CrossRef] [PubMed]
  6. Moscoso, E. Efectos de la Miel de Abeja en la Carbonatación Natural de Cerveza Artesanal. Master’s Thesis, Universidad de las Américas, Quito, Ecuador, 2019. Available online: https://dspace.udla.edu.ec/handle/33000/11058 (accessed on 3 September 2025).
  7. Kucharczyk, K.; Żyła, K.; Tuszyński, T. Optimization of fermentation parameters in a brewery: Modulation of yeast growth and yeast cell viability. Processes 2025, 13, 906. [Google Scholar] [CrossRef]
  8. Otabe, E.; Kuroki, S.; Nikawa, J.; Matsumoto, Y.; Ooba, T.; Kiso, K.; Hayashi, H. Yeast cell proliferation under strong static magnetic fields and temperatures. J. Phys. Conf. Ser. 2009, 156, 012016. [Google Scholar] [CrossRef]
  9. Ruarte, P.; Pantano, N.; Noriega, M.; Fernández, C.; Serrano, E.; Scaglia, G. Optimization of time-varying temperature profiles for enhanced beer fermentation by evolutive algorithms. Fermentation 2024, 11, 2. [Google Scholar] [CrossRef]
  10. Xiao, J.; Zhou, Z.K.; Zhang, G.X. Ant colony system algorithm for the optimization of beer fermentation control. J. Zhejiang Univ.-Sci. A 2004, 5, 1597–1603. [Google Scholar] [CrossRef]
  11. Yerolla, R.; Nekkanti, S.H.; Pullanikkattil, S.; Besta, C.S. Modeling and control of beer fermentation for optimal flavor and performance. Chem. Eng. Technol. 2023, 46, 1554–1565. [Google Scholar] [CrossRef]
  12. Gee, D.; Ramírez, W. A flavor model for beer fermentation. J. Inst. Brew. 1994, 100, 321–329. [Google Scholar] [CrossRef]
  13. Ramirez, W.F.; Maciejowski, J. Optimal beer fermentation. J. Inst. Brew. 2007, 113, 325–333. [Google Scholar] [CrossRef]
  14. Bricio, E.; Arceo, S.; Hernández, H.; López, F. Modelado de la fermentación de cerveza de alta graduación mediante modelos cinéticos. Mem. Congr. Int. Investig. Acad. J. 2017, 9, 747–752. Available online: https://static1.squarespace.com/static/55564587e4b0d1d3fb1eda6b/t/600b043fba40d129740e3133/1611334721131/Memorias+Academia+Journals+Celaya+2017+-+Tomo+00+-+Portada+e+%C3%8Dndice.pdf (accessed on 2 January 2026).
  15. Syu, M.J.; Tsao, G.T.; Austin, G.D.; Celotto, G.; D’Amor, T. Neural network modeling for predicting brewing fermentations. J. Am. Soc. Brew. Chem. 1994, 52, 15–19. [Google Scholar] [CrossRef]
  16. Gee, D.A. Modelling, Optimal Control, State Estimation and Parameter Identification Applied to a Batch Fermentation Process. Doctoral Thesis, University of Colorado at Boulder, Boulder, CO, USA, 1990. [Google Scholar]
  17. Andrés-Toro, B.; Girón-Sierra, J.M.; Fernández-Blanco, P.; López-Orozco, J.A.; Besada-Portas, E. Multiobjective optimization and multivariable control of the beer fermentation process with the use of evolutionary algorithms. J. Zhejiang Univ. Sci. 2004, 5, 378–389. Available online: https://link.springer.com/article/10.1631/BF02851182 (accessed on 12 October 2025). [CrossRef] [PubMed]
  18. Moya, V. Estudio y Obtención de Volátiles y su Relación con Diferentes Variables Físicas Para la Obtención de Perfiles de Fermentación en Fermentadores de Mosto de Cerveza. Master’s Dissertation, Universidad Politécnica de Madrid, Madrid, Spain, 2016. Available online: https://oa.upm.es/43128/ (accessed on 25 November 2025).
  19. Olaniran, A.O.; Hiralal, L.; Mokoena, M.P.; Pillay, B. Flavour-active volatile compounds in beer: Production, regulation and control. J. Inst. Brew. 2017, 123, 13–23. [Google Scholar] [CrossRef]
  20. Novotna dos Santos, O. The Influence of Beer Physical Stabilisers on Beer Flavour Stability. Doctoral Dissertation, Heriot-Watt University, Edinburgh, UK, 2021. Available online: https://www.tdx.cat/handle/10803/690510#page=1 (accessed on 1 September 2025).
  21. Boulton, C.; Quain, D. Brewing Yeast and Fermentation; Blackwell Science/Wiley-Blackwell: Hoboken, NJ, USA, 2006. [Google Scholar] [CrossRef]
  22. Rodman, A.D.; Gerogiorgis, D.I. An investigation of initialisation strategies for dynamic temperature optimisation in beer fermentation. Comput. Chem. Eng. 2019, 124, 43–61. [Google Scholar] [CrossRef]
  23. Changotasi, K. Evaluación del uso de Mora y Maracuyá Como Adjuntos en la Elaboración de Cerveza. Barchelor’s Thesis, Escuela Politécnica Nacional, Quito, Ecuador, 2018. Available online: https://biblioteca.epn.edu.ec/cgi-bin/koha/opac-imageviewer.pl?biblionumber=70812%20thumbnail-shelfbrowser (accessed on 3 January 2026).
  24. Terán, S. Evaluación del uso de Amaranto Como Adjunto y dos Cepas de Levadura en la Fabricación de Cerveza. Barchelor’s Thesis, Escuela Politécnica Nacional, Quito, Ecuador, 2017. Available online: https://biblioteca.epn.edu.ec/cgi-bin/koha/opac-detail.pl?biblionumber=57532&query_desc=kw%2Cwrdl%3A%20cerveza (accessed on 3 January 2026).
  25. Patuto, J. Investigation of Recycled PET and Its Application for Blow Moulded Containers Requiring Thermal Stability at Elevated Temperatures. Doctoral Dissertation, RMIT University, Melbourne, Australia, 2024. [Google Scholar] [CrossRef]
  26. Craig, J.M. Additives in pet food: Are they safe? J. Small Anim. Pract. 2021, 62, 624–635. [Google Scholar] [CrossRef]
  27. Ali, B.T.I.; Nareswari, C.; Gunawan, T.; Widiastuti, N.; Kusumawati, Y.; Jaafar, J.; Saputra, H.; Sulistiono, D.O. Utilization of plastic bottle waste of polyethylene terephthalate as a low-cost membrane and its modifications for gas separation. J. Ind. Eng. Chem. 2023, 127, 378–389. [Google Scholar] [CrossRef]
  28. Morgan, D.R.; Thomas Lane, E.; Styles, D. Crafty marketing: An evaluation of distinctive criteria for “craft” beer. Food Rev. Int. 2022, 38, 913–929. [Google Scholar] [CrossRef]
  29. Trelea, I.-C.; Titica, M.; Corrieu, G. Dynamic optimisation of the aroma production in brewing fermentation. J. Process Control 2004, 14, 1–16. [Google Scholar] [CrossRef]
  30. Thesseling, F.A.; Bircham, P.W.; Mertens, S.; Voordeckers, K.; Verstrepen, K.J. A hands-on guide to brewing and analyzing beer in the laboratory. Curr. Protoc. Microbiol. 2019, 54, e91. [Google Scholar] [CrossRef]
  31. Olaniran, A.O.; Maharaj, Y.R.; Pillay, B. Effects of fermentation temperature on the composition of beer volatile compounds, organoleptic quality and spent yeast density. Electron. J. Biotechnol. 2011, 14, 5. Available online: https://www.scielo.cl/scielo.php?pid=S0717-34582011000200005&script=sci_arttext (accessed on 21 December 2025). [CrossRef]
  32. Wauters, R.; Britton, S.J.; Verstrepen, K.J. Old yeasts, young beer—The industrial relevance of yeast chronological life span. Yeast 2021, 38, 339–351. [Google Scholar] [CrossRef] [PubMed]
  33. Lübbert, A. Modeling of the Beer Fermentation Process. In Bioreaction Engineering; Schügerl, K., Bellgardt, K.H., Eds.; Springer: Berlin/Heidelberg, Germany, 2000. [Google Scholar] [CrossRef]
  34. Feng, L.; Wu, B.; Zhu, S.; He, Y.; Zhang, C. Application of visible/infrared spectroscopy and hyperspectral imaging with machine learning techniques for identifying food varieties and geographical origins. Front. Nutr. 2021, 8, 680357. [Google Scholar] [CrossRef] [PubMed]
  35. Postigo, V.; García, M.; Cabellos, J.M.; Arroyo, T. Wine Saccharomyces yeasts for beer fermentation. Fermentation 2021, 7, 290. [Google Scholar] [CrossRef]
  36. Angulo, W.; De Cecchis, D.; Salas, S.D.; González, Y.; Massay, C. Modelling and temperature uncertainty analysis of a fermentation bioreactor at an industrial brewery. Comput. Aided Chem. Eng. 2021, 50, 1351–1356. [Google Scholar] [CrossRef]
  37. Bricio, E. Diseño e Implementación de un Sistema de Control no Lineal de Tipo Geométrico: Aplicación al Proceso de Fermentacion de Cerveza. Doctoral Dissertation, Guanajuato University, Guanajuato, Mexico, 2025. [Google Scholar]
  38. Aiba, S. Growth kinetics of photosynthetic microorganisms. Adv. Biochem. Eng. 1982, 33, 85–156. [Google Scholar] [CrossRef]
  39. Gee, D.A.; Ramirez, W.F. Optimal temperature control for batch beer fermentation. Biotechnol. Bioeng. 1988, 31, 224–234. Available online: https://analyticalsciencejournals.onlinelibrary.wiley.com/doi/abs/10.1002/bit.260310308 (accessed on 8 June 2024). [CrossRef]
  40. Estrada-García, J.; Hernández-Aguilar, E.; Gutiérrez-Casiano, N.; Méndez-Contreras, J.M. Monitoring of rheological parameters in the anaerobic fermentation process to obtain bioethanol from craft brewer’s spent grain. Biomass Convers. Biorefin. 2025, 15, 15585–15602. [Google Scholar] [CrossRef]
  41. Zavala, A.; Hernández, H.; Hernández, S.; Segovia, J. Conventional proportional–integral control of dividing wall distillation columns. Ind. Eng. Chem. Res. 2012, 51, 10869–10880. [Google Scholar] [CrossRef]
  42. Shopska, V.; Denkova-Kostova, R.; Kostov, G. Modeling in brewing—A review. Processes 2022, 10, 267. [Google Scholar] [CrossRef]
  43. Zhang, J.; Liu, J. BP neural network PID temperature control of beer fermentation tank. J. Phys. Conf. Ser. 2019, 1176, 052002. [Google Scholar] [CrossRef]
  44. Yerolla, R.; Mehshan, M.; Roy, N.; Harsha, N.; Pavan, M.; Shekar, G. Beer fermentation modeling for optimum flavor and performance. IFAC Pap. Chem. Eng. Technol. 2022, 55, 381–386. [Google Scholar] [CrossRef]
  45. MacIntosh, A.J. Theory and practice of fermentation modeling. In Brewing Microbiology; Woodhead Publishing: Cambridge, UK, 2025; pp. 27–36. [Google Scholar] [CrossRef]
  46. Din, I.U.; Hayat, Y. ANOVA or MANOVA for correlated traits in agricultural experiments. Sarhad J. Agric. 2021, 37, 1250–1259. [Google Scholar] [CrossRef]
  47. Osorio, M.; Moreno, F.L.; Hernández, E.; Ruiz-Pardo, R.Y. Impact of falling-film freeze concentration in a commercial lager beer. J. Food Process Eng. 2023, 46, e14292. [Google Scholar] [CrossRef]
  48. Norma Oficial Mexicana NOM-199-SCFI-2017. Bebidas Alcohólicas. Denominación, Especificaciones Fisicoquímicas, Información Comercial y Métodos de Prueba. 2017. Available online: https://www.dof.gob.mx/nota_detalle.php%3Fcodigo%3D5502882%26fecha%3D30/10/2017#gsc.tab=0 (accessed on 16 September 2025).
  49. Calderón-Martínez, F.E.; González-Laredo, R.F.; González-Escobar, J.L.; Nicolás-García, M.; Muñiz-Márquez, D.B.; Veana, F. Fermented beverages from agro-industrial wastes and non-conventional sources. In Biosystems Engineering Applications for Quality Food Production; Apple Academic Press: Palm Bay, FL, USA, 2024; pp. 157–216. [Google Scholar] [CrossRef]
  50. Hornink, G.G. Principles of Beer Production and Enzymes in Mashing; Unifal-MG: Alfenas, Brazil, 2024. [Google Scholar]
Figure 1. Importance of temperature in the fermentation process.
Figure 1. Importance of temperature in the fermentation process.
Fermentation 12 00120 g001
Figure 2. Biomass trajectory (experimental vs. mathematical model) of the fermentation carried out at 10 °C.
Figure 2. Biomass trajectory (experimental vs. mathematical model) of the fermentation carried out at 10 °C.
Fermentation 12 00120 g002
Figure 3. Ethanol trajectory (experimental vs. mathematical model) of the fermentation carried out at 10 °C.
Figure 3. Ethanol trajectory (experimental vs. mathematical model) of the fermentation carried out at 10 °C.
Fermentation 12 00120 g003
Figure 4. Isothermal process, mathematical temperature profile, and Ecocell profile for lager beer fermentation.
Figure 4. Isothermal process, mathematical temperature profile, and Ecocell profile for lager beer fermentation.
Fermentation 12 00120 g004
Figure 5. Ethanol production during fermentation under isothermal conditions and using a temperature profile.
Figure 5. Ethanol production during fermentation under isothermal conditions and using a temperature profile.
Fermentation 12 00120 g005
Figure 6. Wort (°Plato) during fermentation under isothermal conditions and using a temperature profile.
Figure 6. Wort (°Plato) during fermentation under isothermal conditions and using a temperature profile.
Fermentation 12 00120 g006
Table 1. Identification of the parameters of the isothermal fermentation model. μ i is the maximum reaction rate for each sugar, k i is the substrate concentration at which the reaction rate reaches a value equal to half the maximum, k i is the inhibition constant and Y x i and Y E i is the yield coefficient of yeast and ethanol.
Table 1. Identification of the parameters of the isothermal fermentation model. μ i is the maximum reaction rate for each sugar, k i is the substrate concentration at which the reaction rate reaches a value equal to half the maximum, k i is the inhibition constant and Y x i and Y E i is the yield coefficient of yeast and ethanol.
Parameter for the ModelUnitsGlucoseMaltoseMaltotriose
μ i 1/h1.12 ± 0.0221.54 ± 0.0311.03 ± 0.021
k i 1/h1.19 ± 0.0241.23 ± 0.0251.42 ± 0.029
k i 1/h0 ± 01.02 ± 0.0201.34 ± 0.027
Y x i mol/mL19.8 ± 0.4011.4 ± 0.237.43 ± 0.149
Y E i mol/mL1.23 ± 0.0252.11 ± 0.0421.54 ± 0.031
Table 2. Performance of the beer batches.
Table 2. Performance of the beer batches.
FermentationEthanol
(%)
Calorie Content (Kcal)Residual Sugars (%)Experimental Efficiency (%)
Isothermal8.8483.549.6272.32
Non-isothermal8.8883.759.4373.29
Disclaimer/Publisher’s Note: The statements, opinions and data contained in all publications are solely those of the individual author(s) and contributor(s) and not of MDPI and/or the editor(s). MDPI and/or the editor(s) disclaim responsibility for any injury to people or property resulting from any ideas, methods, instructions or products referred to in the content.

Share and Cite

MDPI and ACS Style

Bricio-Barrios, E.E.; Hernández-Escoto, H.; López-Caamal, F.; Arceo-Díaz, S.; Hernández, S. Process Time Reduction in Lager Beer Fermentation Through Model-Based Control. Fermentation 2026, 12, 120. https://doi.org/10.3390/fermentation12020120

AMA Style

Bricio-Barrios EE, Hernández-Escoto H, López-Caamal F, Arceo-Díaz S, Hernández S. Process Time Reduction in Lager Beer Fermentation Through Model-Based Control. Fermentation. 2026; 12(2):120. https://doi.org/10.3390/fermentation12020120

Chicago/Turabian Style

Bricio-Barrios, Elena Elsa, Héctor Hernández-Escoto, Fernando López-Caamal, Santiago Arceo-Díaz, and Salvador Hernández. 2026. "Process Time Reduction in Lager Beer Fermentation Through Model-Based Control" Fermentation 12, no. 2: 120. https://doi.org/10.3390/fermentation12020120

APA Style

Bricio-Barrios, E. E., Hernández-Escoto, H., López-Caamal, F., Arceo-Díaz, S., & Hernández, S. (2026). Process Time Reduction in Lager Beer Fermentation Through Model-Based Control. Fermentation, 12(2), 120. https://doi.org/10.3390/fermentation12020120

Note that from the first issue of 2016, this journal uses article numbers instead of page numbers. See further details here.

Article Metrics

Back to TopTop