Sign in to use this feature.

Years

Between: -

Subjects

remove_circle_outline
remove_circle_outline
remove_circle_outline
remove_circle_outline
remove_circle_outline
remove_circle_outline
remove_circle_outline
remove_circle_outline
remove_circle_outline

Journals

remove_circle_outline
remove_circle_outline
remove_circle_outline

Article Types

Countries / Regions

Search Results (168)

Search Parameters:
Keywords = counter-diffusion

Order results
Result details
Results per page
Select all
Export citation of selected articles as:
17 pages, 3626 KB  
Article
Simulation of Water Quality Impacts from Sewage Treatment Plant Discharges in a Reversing River: A Case Study of the Maoergang River
by Qiang Chu, Shitao Peng, Qing Zhao, Jianna Jia and Peng Zheng
Water 2026, 18(2), 184; https://doi.org/10.3390/w18020184 - 9 Jan 2026
Viewed by 211
Abstract
The impact of sewage discharge on water quality in reversing rivers has rarely received attention. This study simulated water quality changes in Maoergang River (a water body with counter flow conditions) affected by effluent discharge from Yangjiabu Sewage Treatment Plant. The results revealed [...] Read more.
The impact of sewage discharge on water quality in reversing rivers has rarely received attention. This study simulated water quality changes in Maoergang River (a water body with counter flow conditions) affected by effluent discharge from Yangjiabu Sewage Treatment Plant. The results revealed that the diffusion patterns of COD, NH4+-N, and TP in the study area were largely consistent; however, different hydrological conditions and discharge scenarios resulted in obvious differences in pollutant distribution. During the dry season, regardless of normal or counter folow conditions, the Maoergang and Xitiaoxi downstream were the primary affected segments. Regulated by hydrodynamic forces, under normal flow conditions, the Xitiaoxi downstream received a higher pollutant load while the Xitiaoxi upstream received minimal inputs. In the wet season, pollutant concentrations were generally lower due to the dilution effect of increased runoff; notably, the primary affected segments shifted to the downstream reaches of Maoergang and Huanchenghe. Under accidental discharge scenarios, excessive sewage release expanded the scope of pollution impacts, with elevated pollutant concentrations causing water quality non-compliance in parts of the upstream and downstream Xitiaoxi—both of which are within the germplasm resource protection zone. Predictive analysis indicated that when the sewage treatment plant’s discharge was reduced to 1.0 × 104 t·d−1, the receiving water bodies could still meet local water quality standards, even under the counter flow hydrological conditions, which pose the greatest threat to water quality during the dry season. Full article
(This article belongs to the Special Issue Watershed Ecohydrology and Water Quality Modeling)
Show Figures

Figure 1

21 pages, 11015 KB  
Article
Enhancement of the Wear Properties of Tool Steels Through Gas Nitriding and S-Phase Coatings
by Sebastian Fryska, Mateusz Wypych, Paweł Kochmański and Jolanta Baranowska
Metals 2026, 16(1), 9; https://doi.org/10.3390/met16010009 - 21 Dec 2025
Viewed by 412
Abstract
Tool steels are critical for high-load applications, e.g., forging and metal-forming, where they face thermal cracking, fatigue, erosion, and wear. This study evaluates the impact of gas nitriding and S-phase PVD coatings on the mechanical and tribological properties of four tool steels: 40CrMnNiMo8-6-4, [...] Read more.
Tool steels are critical for high-load applications, e.g., forging and metal-forming, where they face thermal cracking, fatigue, erosion, and wear. This study evaluates the impact of gas nitriding and S-phase PVD coatings on the mechanical and tribological properties of four tool steels: 40CrMnNiMo8-6-4, 60CrMoV18-5, X50CrMoV5-2, and X38CrMoV5-3. Samples were heat-treated (quenched and tempered at 600 °C), then gas-nitrided at 575 °C for 6 h with nitriding potentials (Kn) of 0.18, 0.79, or 2.18, or coated via reactive magnetron sputtering in Ar/N2 or Ar/N2/CH4 atmospheres at 200 °C or 400 °C. Characterization involved XRD, LOM, FE-SEM, GDOES, Vickers hardness (HV0.1), and ball-on-disk wear testing with Al2O3_ counter-samples. Gas nitriding produced nitrogen diffusion layers (80–200 μm thick) and compound layers (ε-Fe(2-3)N, γ’-Fe4N) at higher Kn, increasing hardness by 80–100% (up to 1100 HV0.1 for steel X38CrMoV5-3). S-phase coatings (1.6–3.6 μm thick) formed expanded austenite with varying N content, achieving comparable hardness (up to 1100 HV0.1) in high-N2 atmospheres, alongside substrate diffusion layers. Both types of treatment enhance load-bearing capacity, adhesion, and durability, offering superior wear resistance compared to conventional PVD coatings and addressing demands for extended tool life in industrial applications. Full article
(This article belongs to the Special Issue Surface Treatments and Coating of Metallic Materials (2nd Edition))
Show Figures

Figure 1

12 pages, 1131 KB  
Article
Molecular Diagnostics Supporting a ≥35% Diffuse Peritubular Capillaritis Extent Threshold for Diagnosis of AMR—A Retrospective Dual Center Study
by Michael Eder, Marian C. Clahsen-van Groningen, Michael Mengel, Haris Omic, Daniel Cejka, Benjamin Adam, Nicolas Kozakowski and Željko Kikić
Int. J. Mol. Sci. 2025, 26(22), 10945; https://doi.org/10.3390/ijms262210945 - 12 Nov 2025
Viewed by 461
Abstract
Peritubular capillaritis (ptc) is a hallmark lesion of antibody-mediated rejection (AMR), but the grading of its extent is historically based on arbitrary defined cut-offs. Molecular AMR diagnosis via intragraft gene expression measurements may provide evidence to challenge established ptc categories. We retrospectively included [...] Read more.
Peritubular capillaritis (ptc) is a hallmark lesion of antibody-mediated rejection (AMR), but the grading of its extent is historically based on arbitrary defined cut-offs. Molecular AMR diagnosis via intragraft gene expression measurements may provide evidence to challenge established ptc categories. We retrospectively included 38 renal allograft biopsies from clinical routine, performed because of suspicion of AMR. Biopsies were re-assessed by an experienced nephropathologist and intragraft gene expression was measured using the NanoString nCounter® platform. Ptc categories were correlated with AMR gene expression to identify a ptc extent cut-off with optimal prediction of molecular diagnosis of AMR [gene expression levels above first quartile (AMRQ>1)]. Finally, an independent validation cohort (n = 25, Erasmus MC, Rotterdam, The Netherlands) was included to reproduce the results. Re-assessment of biopsies revealed AMR in 26/68.4%, mixed rejection in 5/13.2%, and T-cell-mediated rejection in 3/7.9%. Biopsies with diffuse ptc had significantly higher AMR gene expression compared to biopsies with focal ptc and biopsies with no ptc (64.0/53.3–84.0 vs. 31.5/27.0–49.5, p = 0.023 and 27.0/14.3–31.8, p = 0.003, median/IQR). Sensitivity analysis revealed that a ≥35% ptc cut-off resulted in higher AUCs for predicting AMRQ>1 compared to ptc50% (AUC 0.78, 95% CI: 0.63–0.93, p = 0.009 versus AUC: 0.74, CI: 0.56–0.90, p = 0.03). In the validation cohort, only the ptc35–, but not the ptc50%, cut-off significantly predicted AMRQ>1 (AUC 0.75, 95% CI: 0.54–0.96 p = 0.04 vs. AUC 0.69, CI: 0.46–0.93, p = 0.13). Using intragraft gene expression measurement, we identified a new ptc extent threshold with better prediction of molecular AMR. The newly proposed cut-off of ≥35% could potentially improve diagnostic evaluation and prognostication in cases with suspected or diagnosed AMR. Full article
(This article belongs to the Special Issue Advances in Kidney Transplantation)
Show Figures

Figure 1

24 pages, 1848 KB  
Article
Barriers to Climate-Smart Agriculture Adoption in Northeast China’s Black Soil Region: Insights from a Multidimensional Framework
by Zhao Wang, Yao Dai, Linpeng Yang and Zhengsong Yu
Agriculture 2025, 15(21), 2236; https://doi.org/10.3390/agriculture15212236 - 27 Oct 2025
Viewed by 913
Abstract
Climate change threatens global food security, highlighting the necessity for Climate-Smart Agriculture (CSA) to enhance agricultural resilience and sustainability. Yet low adoption among farmers highlights gaps in understanding adoption barriers. Existing models often overlook the dynamic, multi-layered nature of farmers’ decisions. This study [...] Read more.
Climate change threatens global food security, highlighting the necessity for Climate-Smart Agriculture (CSA) to enhance agricultural resilience and sustainability. Yet low adoption among farmers highlights gaps in understanding adoption barriers. Existing models often overlook the dynamic, multi-layered nature of farmers’ decisions. This study introduces the Multidimensional Dynamic Decision Analysis Framework (MDDAF), which integrates Sustainable Livelihoods Framework, Diffusion of Innovations, and Behavioral Economics, and applies it to conservation agriculture in Northeast China’s black soil region. We conducted 125 semi-structured interviews (100 farmers, stage-mapped into six groups; 20 leaders of agricultural socialized service organizations; 5 technical experts) and analyzed transcripts in NVivo using a hybrid deductive–inductive approach. Findings show stage-specific barriers: superficial knowledge and fragmented perceptions in awareness; traditional norms and social stigmatization in evaluation; biosecurity risks, ecological mismatches, and land tenure disputes during decision-making; economic constraints and policy inconsistencies during implementation; and operational failures, incomplete practices, and climate-driven volatility at confirmation. Priority implications are as follows: professionalize service provision; safeguard bundle fidelity and manage climate risk; reduce context and tenure risks; and counter misbeliefs via complement-focused demonstrations, diverse opinion leaders, and targeted training. MDDAF thus links dynamic, stage-specific barriers to actionable interventions, supporting more effective CSA scale-up. Full article
(This article belongs to the Section Agricultural Economics, Policies and Rural Management)
Show Figures

Figure 1

21 pages, 850 KB  
Article
From Chemistry to Bioactivity: HS-SPME-GC-MS Profiling and Bacterial Growth Inhibition of Three Different Propolis Samples from Romania, Australia, and Uruguay
by Radosław Balwierz, Katarzyna Kasperkiewicz, Martyna Straszak, Daria Siodłak, Katarzyna Pokajewicz, Ibtissem Ben Hammouda, Piotr P. Wieczorek, Anna Kurek-Górecka, Zenon P. Czuba and Tomasz Baj
Molecules 2025, 30(19), 4014; https://doi.org/10.3390/molecules30194014 - 8 Oct 2025
Cited by 2 | Viewed by 888
Abstract
Propolis is a valuable natural product whose chemical composition and bioactivity are strongly dependent on its geographical and botanical origin. This study presents a comprehensive comparative analysis of the volatile profiles and antibacterial properties of propolis from Romania, Australia, and Uruguay, benchmarked against [...] Read more.
Propolis is a valuable natural product whose chemical composition and bioactivity are strongly dependent on its geographical and botanical origin. This study presents a comprehensive comparative analysis of the volatile profiles and antibacterial properties of propolis from Romania, Australia, and Uruguay, benchmarked against previously published data from samples from Poland and Turkey. Volatile compounds were profiled using headspace solid-phase microextraction coupled with gas chromatography-mass spectrometry. The resulting data were interrogated using multivariate chemometric analyses (HCA, PCA), and antibacterial activity was assessed via the disk diffusion method against five bacterial strains. Chemometric analysis revealed a clear demarcation into two primary chemotypes: a European type (Poland, Romania, Turkey) dominated by aromatic compounds such as benzoic acid, and a non-European type (Australia, Uruguay) characterized by a high abundance of terpenes. The Australian propolis exhibited a complex terpene profile rich in α-copaene and pinenes, while the Uruguayan sample was distinguished by an exceptionally high concentration of α-pinene. All active extracts showed selective, concentration-dependent inhibition against Gram-positive Staphylococcus aureus and Streptococcus mutans. The terpene-rich Australian propolis displayed the highest antibacterial potency, particularly against S. mutans. Crucially, Pearson correlation analysis revealed a counter-intuitive relationship: the most abundant terpenes in the non-European samples (e.g., α-pinene, verbenone) were significantly negatively correlated with antibacterial activity (r ≈ −0.99). Conversely, less abundant compounds, including linalool and acetic acid, were identified as strong positive predictors of inhibition (r > 0.90). These findings underscore a complex geography-chemotype-bioactivity relationship, where the overall synergistic effect of a mixed chemical profile, rather than the dominance of a single compound, determines antibacterial potency. The initially proposed markers provide a basis for origin-based standardization and highlight Australian propolis as a promising source of natural antibacterial agents. Full article
(This article belongs to the Special Issue Bee Products: Recent Progress in Health Benefits Studies, 2nd Edition)
Show Figures

Figure 1

18 pages, 5613 KB  
Article
The Impact of Selected ESD Parameters on the Properties of Tungsten Layers
by Piotr Młynarczyk, Damian Bańkowski and Wojciech Depczyński
Materials 2025, 18(19), 4581; https://doi.org/10.3390/ma18194581 - 2 Oct 2025
Viewed by 614
Abstract
This article presents studies of surface layers produced by electro-spark deposition (ESD) on cast iron using a W-Ni-Co sintered electrode. To minimize the number of required experiments, a two-factor, five-level Hartley experimental design was chosen. The assessment involved observing the effect of voltage [...] Read more.
This article presents studies of surface layers produced by electro-spark deposition (ESD) on cast iron using a W-Ni-Co sintered electrode. To minimize the number of required experiments, a two-factor, five-level Hartley experimental design was chosen. The assessment involved observing the effect of voltage and capacitor capacity during the ESD process (on layer thickness and wear of the sample and counter-sample under technically dry friction conditions). Microscopic and tomographic observations were performed to analyze the thickness and structure of the layers. Image analysis methods were employed to examine the cross-section of the layers. ESD diffusion analyses were performed on the produced layer. Scanning electron microscopy (SEM) and energy dispersive X-ray spectroscopy (EDX) were performed to characterize the microstructure and composition of the coating. In addition, in order to evaluate the performance properties of tungsten coatings, the tribological tests were also conducted on a TRB3 Ball-on-Disc testing device. Hardness tests confirm an increase in the hardness of cast iron with a tungsten layer by over 400 µHV. The tests showed that higher voltages during the ESD process result in thicker layers and reduced wear of the sample with a tungsten layer at the expense of increased wear of the counter-sample (ball). Full article
(This article belongs to the Section Manufacturing Processes and Systems)
Show Figures

Figure 1

24 pages, 1777 KB  
Article
Development of a Bacterial Lysate from Antibiotic-Resistant Pathogens Causing Hospital Infections
by Sandugash Anuarbekova, Azamat Sadykov, Dilnaz Amangeldinova, Marzhan Kanafina, Darya Sharova, Gulzhan Alzhanova, Rimma Nurgaliyeva, Ardak Jumagaziyeva, Indira Tynybayeva, Aikumys Zhumakaeva, Aralbek Rsaliyev, Yergali Abduraimov and Yerkanat N. Kanafin
Microorganisms 2025, 13(8), 1831; https://doi.org/10.3390/microorganisms13081831 - 6 Aug 2025
Viewed by 1977
Abstract
Biotechnological research increasingly focuses on developing new drugs to counter the rise of antibiotic-resistant strains in hospitals. This study aimed to create bacterial lysates from antibiotic-resistant pathogens isolated from patients and medical instruments across hospital departments. Identification was performed based on morphological, cultural, [...] Read more.
Biotechnological research increasingly focuses on developing new drugs to counter the rise of antibiotic-resistant strains in hospitals. This study aimed to create bacterial lysates from antibiotic-resistant pathogens isolated from patients and medical instruments across hospital departments. Identification was performed based on morphological, cultural, and biochemical characteristics, as well as 16S rRNA gene sequencing using the BLAST algorithm. Strain viability was assessed using the Miles and Misra method, while sensitivity to eight antibacterial drug groups and biosafety between cultures were evaluated using agar diffusion. From 15 clinical sources, 25 pure isolates were obtained, and their phenotypic and genotypic properties were studied. Carbohydrate fermentation testing confirmed that the isolates belonged to the genera Escherichia, Citrobacter, Klebsiella, Acinetobacter, Pseudomonas, Staphylococcus, Haemophilus, and Streptococcus. The cultures exhibited good viability (109–1010 CFU/mL) and compatibility with each other. Based on prevalence and clinical significance, three predominant hospital pathogens (Klebsiella pneumoniae 12 BL, Pseudomonas aeruginosa 3 BL, and Acinetobacter baumannii 24 BL) were selected to develop a bacterial lysate consortium. Lysates were prepared with physical disruption using a French press homogenizer. The resulting product holds industrial value and may stimulate the immune system to combat respiratory pathogens prevalent in Kazakhstan’s healthcare settings. Full article
(This article belongs to the Special Issue Antimicrobial Resistance: Challenges and Innovative Solutions)
Show Figures

Figure 1

18 pages, 295 KB  
Article
Religious Policies and Civil Conflict: “Italian” Perspectives on the French Wars of Religion
by Daniele Santarelli
Religions 2025, 16(8), 956; https://doi.org/10.3390/rel16080956 - 23 Jul 2025
Viewed by 1308
Abstract
This paper investigates the complex relations between the Italian states, particularly Venice and Florence, and France at the beginning (c. 1560–1565) of the French Wars of Religion (c. 1560–1598). Focusing on the early years of the conflict, it highlights the “Italian” perception of [...] Read more.
This paper investigates the complex relations between the Italian states, particularly Venice and Florence, and France at the beginning (c. 1560–1565) of the French Wars of Religion (c. 1560–1598). Focusing on the early years of the conflict, it highlights the “Italian” perception of France’s politico-religious upheavals and their profound implications for governance and state stability. Drawing on diplomatic correspondence and political reflections, the analysis reveals contrasting approaches among Venetian ambassadors: in particular, Giovanni Michiel advocated conciliatory policies to avert civil war, while Michele Suriano favored uncompromising anti-heresy measures. Niccolò Tornabuoni, serving as the Florentine ambassador in France, evolved from moderate criticism to a rigidly anti-Protestant position, mirroring Cosimo de’ Medici’s shift toward Counter-Reformation policies. This study situates these early reflections within the broader context of Venice’s internal tensions, marked by the diffusion of Reformation ideas and anti-papal currents, and Florence’s strategic alignment with Spain. It also underscores the role of these conflicts in shaping the politico-diplomatic strategies and reinforcing the perceived necessity of religious uniformity as a safeguard against political and social destabilization. The final part is directly linked to the sources and arguments as it contextualizes the diplomatic responses of Venetian and Florentine envoys within the broader political–religious transformations of the period. Full article
(This article belongs to the Special Issue Religion and Politics: Interactions and Boundaries)
17 pages, 3073 KB  
Article
Synthesis, Characterization, and Anticancer Activity of 3-Chlorothiophene-2-carboxylic Acid Transition Metal Complexes
by Baiquan Hu, Qianqian Kang, Xianggao Meng, Hao Yin, Xingzhi Yang, Yanting Yang and Mei Luo
Inorganics 2025, 13(7), 238; https://doi.org/10.3390/inorganics13070238 - 11 Jul 2025
Viewed by 1637
Abstract
In this study, 3-chlorothiophene-2-carboxylic acid (HL) was used as a main ligand to successfully synthesize four novel complexes: [Cu(L)2(Py)2(OH2)2] (1), [Co(L)2(Py)2(OH2)2] (2) (Py [...] Read more.
In this study, 3-chlorothiophene-2-carboxylic acid (HL) was used as a main ligand to successfully synthesize four novel complexes: [Cu(L)2(Py)2(OH2)2] (1), [Co(L)2(Py)2(OH2)2] (2) (Py = pyridine), [{Ni(L)2(OH2)4}2{Ni(L)(OH2)5}]L•5H2O (3), and [{Co(L)2(OH2)4}2{Co(L)(OH2)5}]L•5H2O (4). All four compounds were identified by elemental analysis and ESI mass spectrometry, and subsequently characterized by IR spectroscopy, UV-visible diffuse reflectance spectroscopy, electron paramagnetic resonance spectroscopy, thermogravimetric analysis, single-crystal X-ray crystallography, and cyclic voltammetry. X-ray analyses revealed that complexes 1 and 2 exhibit a centrosymmetric pseudo-octahedral coordination geometry; the copper (II) and cobalt (II) metal ions, respectively, are located at the crystallographic center of inversion. The coordination sphere of the copper (II) complex is axially elongated in accordance with the Jahn–Teller effect. Intriguingly, for charge neutrality, compounds 3 and 4 crystallized as three independent mononuclear octahedrally coordinated metal centers, which are two [ML2(OH2)4] complex molecules and one [ML(OH2)5]+ complex cation (M = NiII and CoII, respectively), with the ligand anion L serving as the counter ion. The anticancer activities of these complexes were systematically assessed on human leukemia K562 cells, lung cancer A549 cells, liver cancer HepG2 cells, breast cancer MDA-MB-231 cells, and colon cancer SW480 cells. Among them, complex 4 shows significant inhibitory effects on leukemia K562 cells and colon cancer SW480 cells. Full article
Show Figures

Graphical abstract

41 pages, 5112 KB  
Article
Deepfake Face Detection and Adversarial Attack Defense Method Based on Multi-Feature Decision Fusion
by Shanzhong Lei, Junfang Song, Feiyang Feng, Zhuyang Yan and Aixin Wang
Appl. Sci. 2025, 15(12), 6588; https://doi.org/10.3390/app15126588 - 11 Jun 2025
Cited by 1 | Viewed by 6505
Abstract
The rapid advancement in deep forgery technology in recent years has created highly deceptive face video content, posing significant security risks. Detecting these fakes is increasingly urgent and challenging. To improve the accuracy of deepfake face detection models and strengthen their resistance to [...] Read more.
The rapid advancement in deep forgery technology in recent years has created highly deceptive face video content, posing significant security risks. Detecting these fakes is increasingly urgent and challenging. To improve the accuracy of deepfake face detection models and strengthen their resistance to adversarial attacks, this manuscript introduces a method for detecting forged faces and defending against adversarial attacks based on a multi-feature decision fusion. This approach allows for rapid detection of fake faces while effectively countering adversarial attacks. Firstly, an improved IMTCCN network was employed to precisely extract facial features, complemented by a diffusion model for noise reduction and artifact removal. Subsequently, the FG-TEFusionNet (Facial-geometry and Texture enhancement fusion-Net) model was developed for deepfake face detection and assessment. This model comprises two key modules: one for extracting temporal features between video frames and another for spatial features within frames. Initially, a facial geometry landmark calibration module based on the LRNet baseline framework ensured an accurate representation of facial geometry. A SENet attention mechanism was then integrated into the dual-stream RNN to enhance the model’s capability to extract inter-frame information and derive preliminary assessment results based on inter-frame relationships. Additionally, a Gram image texture feature module was designed and integrated into EfficientNet and the attention maps of WSDAN (Weakly Supervised Data Augmentation Network). This module aims to extract deep-level feature information from the texture structure of image frames, addressing the limitations of purely geometric features. The final decisions from both modules were integrated using a voting method, completing the deepfake face detection process. Ultimately, the model’s robustness was validated by generating adversarial samples using the I-FGSM algorithm and optimizing model performance through adversarial training. Extensive experiments demonstrated the superior performance and effectiveness of the proposed method across four subsets of FaceForensics++ and the Celeb-DF dataset. Full article
(This article belongs to the Section Computing and Artificial Intelligence)
Show Figures

Figure 1

15 pages, 1552 KB  
Article
Recovery of Effective Acid from Waste Generated in the Anodic Oxidation Polishing Process
by Haiyang Li, Kangping Cui and Wenming Wu
Water 2025, 17(9), 1322; https://doi.org/10.3390/w17091322 - 28 Apr 2025
Cited by 1 | Viewed by 882
Abstract
The high treatment costs associated with wastewater and waste solutions produced by the anodic oxidation polishing section significantly limit industry development. To address this challenge, the present study investigates the characteristics of polishing wastewater and waste solutions, employing extraction and ion exchange combined [...] Read more.
The high treatment costs associated with wastewater and waste solutions produced by the anodic oxidation polishing section significantly limit industry development. To address this challenge, the present study investigates the characteristics of polishing wastewater and waste solutions, employing extraction and ion exchange combined with diffusion dialysis to recover effective acids. For waste tank solutions, single and dual solvent extraction experiments were conducted to determine the optimal extraction system. Electrostatic potential and interaction region indicator (IRI) analyses were performed to provide theoretical justification. Regarding cleaning wastewater, resin adsorption was applied to selectively remove aluminium ions from waste acid solutions, facilitating effective acid recovery. Static and dynamic adsorption–desorption experiments were initially performed to identify suitable resins. Subsequently, optimised parameters—including adsorption and desorption concentrations, volumes, and flow rates—were systematically established through conditional experiments, and diffusion dialysis was applied to recover acids from the desorbed solutions. The experimental results indicate that tributyl phosphate (TBP) emerged as the optimal single extractant, achieving an effective acid extraction rate of 88.67% under a solvent ratio of 4:1 at a room temperature of 28 °C. A binary solvent system, composed of TBP with 20% sulfonated kerosene, demonstrated superior engineering feasibility due to its reduced viscosity and satisfactory extraction rate of 82.19%. Moreover, adsorption–desorption tests confirmed that the resin-based method effectively recovered acids from cleaning wastewater. Specifically, under optimal operational conditions—downstream adsorption at 0.3–0.5 bed volumes (BV) and 1.0 BV/h, coupled with counter-current desorption at 2 BV and 2.4 BV/h—the acid recovery rate reached ≥95% while removing ≥90% of aluminium ions. Additionally, employing 20% sulfuric acid solution for desorption in diffusion dialysis enabled cyclic desorption. Consequently, this study successfully achieved acid reuse and substantially lowered wastewater treatment costs, representing a promising advancement for anodic oxidation polishing processes. Full article
(This article belongs to the Section Wastewater Treatment and Reuse)
Show Figures

Figure 1

27 pages, 9025 KB  
Article
Optimization, In Vitro, and In Silico Characterization of Theophylline Inhalable Powder Using Raffinose-Amino Acid Combination as Fine Co-Spray-Dried Carriers
by Petra Party, Lomass Soliman, Attila Nagy, Árpád Farkas and Rita Ambrus
Pharmaceutics 2025, 17(4), 466; https://doi.org/10.3390/pharmaceutics17040466 - 3 Apr 2025
Cited by 3 | Viewed by 2158
Abstract
Background/Objectives: Dry powder inhalation is an attractive research area for development. Therefore, this work aimed to develop inhalable co-spray-dried theophylline (TN) microparticles, utilizing raffinose-amino acid fine carriers intended for asthma therapy. The study addressed enhancing TN’s physicochemical and aerodynamic properties to ensure [...] Read more.
Background/Objectives: Dry powder inhalation is an attractive research area for development. Therefore, this work aimed to develop inhalable co-spray-dried theophylline (TN) microparticles, utilizing raffinose-amino acid fine carriers intended for asthma therapy. The study addressed enhancing TN’s physicochemical and aerodynamic properties to ensure efficient lung deposition. Methods: The process involves spray-drying each formulation’s solution using a mini spray drier. A rigorous assessment was conducted on particle size distribution, structural and thermal analysis, morphology study, in vitro and in silico aerodynamic investigation, and aerodynamic particle counter in addition to the solubility, in vitro dissolution, and diffusion of TN. Results: The carriers containing leucine and glycine revealed superior characteristics (mass median aerodynamic diameter (MMAD): 4.6–5 µm, fine particle fraction (FPF): 30.6–35.1%, and amorphous spherical structure) as candidates for further development of TN-DPIs, while arginine was excluded due to intensive aggregation and hygroscopicity, which led to poor aerodynamic performance. TN co-spray-dried samples demonstrated fine micronized particles (D [0.5]: 3.99–5.96 µm) with predominantly amorphous structure (crystallinity index: 24.1–45.2%) and significant solubility enhancement (~19-fold). Formulations containing leucine and leucine-glycine revealed the highest FPF (45.7–47.8%) and in silico lung deposition (39.3–40.1%), rapid in vitro drug release (~100% within 10 min), and improved in vitro diffusion (2.29–2.43-fold), respectively. Moreover, the aerodynamic counter confirmed the development of fine microparticles (mean number particle size = 2.3–2.02 µm). Conclusions: This innovative formulation possesses enhanced physicochemical, morphological, and aerodynamic characteristics of low-dose TN for local asthma treatment and could be applied as a promising carrier for dry powder inhaler development. Full article
Show Figures

Graphical abstract

29 pages, 4106 KB  
Article
Antimicrobial, Quorum Sensing Inhibition, and Anti-Cancer Activities of Silver Nanoparticles Synthesized from Kenyan Bacterial Endophytes of Teclea nobilis
by Farzana Mohamed and Hafizah Yousuf Chenia
Int. J. Mol. Sci. 2025, 26(7), 3306; https://doi.org/10.3390/ijms26073306 - 2 Apr 2025
Cited by 2 | Viewed by 1940
Abstract
Untapped bioactive compounds from microbial endophytes offer a promising solution to counter antimicrobial and chemotherapeutic drug resistance when complexed as silver nanoparticles (AgNPs). AgNPs were biosynthesized using cell-free supernatants from endophytic Streptomyces sp. KE4D and Bacillus safensis KE4K isolated from the Kenyan medicinal [...] Read more.
Untapped bioactive compounds from microbial endophytes offer a promising solution to counter antimicrobial and chemotherapeutic drug resistance when complexed as silver nanoparticles (AgNPs). AgNPs were biosynthesized using cell-free supernatants from endophytic Streptomyces sp. KE4D and Bacillus safensis KE4K isolated from the Kenyan medicinal plant Teclea nobilis, following fermentation in three different media. Bacterial extracts were analyzed using gas chromatography–mass spectrometry. AgNPs were characterized using Fourier-transform infrared spectroscopy and high-resolution transmission electron microscopy. Antimicrobial activity was assessed using agar well diffusion assays, and quorum sensing inhibition (QSI) was investigated using Chromobacterium violaceum. Anti-cancer potential was evaluated against breast (MCF-7) and prostate cancer (DU-145) cell lines using MTT assays. AgNPs were 5–55 nm in size, with KE4D AgNPs being spherical and KE4K AgNPs exhibiting various shapes. Cyclopropane acetic acids and fatty acids were identified as possible capping agents. Medium-dependent antimicrobial activity was observed, with medium Mannitol and medium 5294 AgNPs displaying stronger activity, particularly against Gram-negative indicators. KE4D medium 5294 AgNPs demonstrated 85.12% violacein inhibition at 140 µg/mL and better QSI activity, whilst KE4K AgNPs were better antimicrobials. The AgNPs IC50 values were <3.5 µg/mL for MCF-7 and <2.5 µg/mL for DU-145 cells. The bioactivity of biosynthesized AgNPs is influenced by the bacterial isolate and fermentation medium, suggesting that AgNP synthesis can be tailored for specific bioactivity. Full article
Show Figures

Figure 1

18 pages, 6359 KB  
Article
Moderate Nitrogen Management Enhancing Maize Lodging Resistance by Reducing Pathogen Infection and Expansion of Stalk Rot
by Mengjing Zheng, Lihua Lv, Yongzeng Cui, Yueling Shi and Jingting Zhang
Agronomy 2025, 15(4), 787; https://doi.org/10.3390/agronomy15040787 - 23 Mar 2025
Cited by 1 | Viewed by 893
Abstract
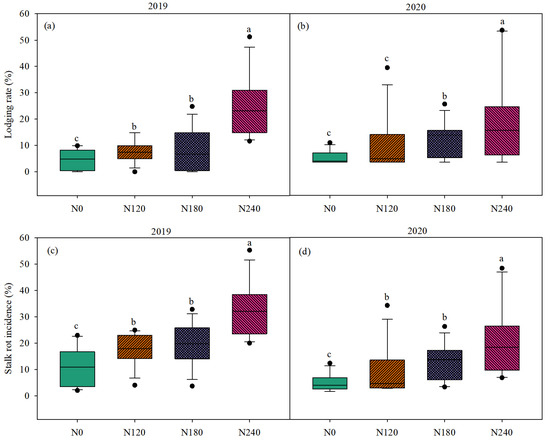
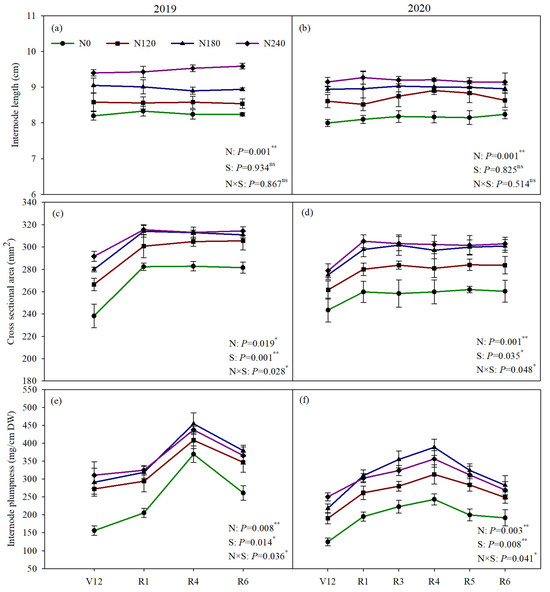
At present, maize production is facing the challenge of balancing stalk lodging caused by stalk rot with maintaining a good grain yield potential. Improving the basal internode properties by optimizing nitrogen (N) management is an effective strategy to reduce the stalk rot incidence [...] Read more.
At present, maize production is facing the challenge of balancing stalk lodging caused by stalk rot with maintaining a good grain yield potential. Improving the basal internode properties by optimizing nitrogen (N) management is an effective strategy to reduce the stalk rot incidence and stalk lodging rate, whilst simultaneously achieving a stable grain yield. A two-year field study was conducted to evaluate the basal internode characteristics under natural field conditions and inoculation with Fusarium pseudograminearum, the causative pathogen of stalk rot, and also to measure the ultimate grain yield with four different N fertilizer application rates (0, 120, 180, and 240 kg N ha−1). Rapid injection inoculation and histochemical staining technologies were employed to assess the stalk rot and lodging resistance. The results showed that reducing N rates improved the basal internode qualities (i.e., shorter internode length, larger cross-sectional area, improved internode plumpness and sclerenchyma tissue, and higher lignified degree and vascular number in sclerenchyma tissue) and enhanced the infection resistance. The lodging rate and stalk rot incidence all gradually declined with reduced N rates. Furthermore, pathogen diffusion degree which was indicated by infection index was decreased with reducing N rates. Ultimately, the mechanical strength of the N0, N120, N180, and N240 plants decreased by 5.31%, 5.83%, 5.01%, and 11.21% compared with that of the control, respectively. These results suggested that the stalk quality was improved through optimal nitrogen application, and also that the stalk rot and lodging resistance increased. The grain yield of the N180 plants was superior to that of those receiving the other treatments. Overall, 180 kg N ha−1 is recommended to balance the stalk lodging resistance and grain yield in the research region. Additionally, breeding cultivars with improved stalk quality is likely to be required to counter the escalating lodging risks arising from stalk rot occurrence. Full article
(This article belongs to the Section Pest and Disease Management)
Show Figures

Figure 1

29 pages, 6369 KB  
Article
Keplerian Ringed-Disk Viscous-Diffusive Evolution and Combined Independent General Relativistic Evolutions
by Daniela Pugliese, Zdenek Stuchlík and Vladimir Karas
Universe 2025, 11(3), 88; https://doi.org/10.3390/universe11030088 - 6 Mar 2025
Viewed by 1038
Abstract
We investigate the evolution of a set of viscous rings, solving a diffusion-like evolution equation in the (Keplerian disk) Newtonian regime. The Lynden-Bell and Pringle approach for a single disk regime is applied to a disk with a ring profile mimicking a set [...] Read more.
We investigate the evolution of a set of viscous rings, solving a diffusion-like evolution equation in the (Keplerian disk) Newtonian regime. The Lynden-Bell and Pringle approach for a single disk regime is applied to a disk with a ring profile mimicking a set of orbiting viscous rings. We discuss the time evolution of the disk, adopting different initial wavy (ringed) density profiles. Four different stages of the ring-cluster evolution are distinguished. In the second part of this analysis, we also explore the general relativistic framework by investigating the time evolution of composed systems of general relativistic co-rotating and counter-rotating equatorial disks orbiting a central Kerr black hole for faster spinning and slowly spinning black holes. In the sideline of this analysis, we consider a modified viscosity prescription mimicking an effective viscosity in the general relativistic ring interspace acting in the early phases of the rings’ evolutions, exploring the double system dynamics. Each ring of the separate sequence spreads inside the cluster modifying its inner structure following the rings merging. As the original ringed structure disappears, a single disk appears. The final configuration has a (well-defined) density peak, and its evolution turns in the final stages are dominated by its activity at the inner edge. Full article
(This article belongs to the Section Gravitation)
Show Figures

Figure 1

Back to TopTop