Next Article in Journal
LPBF Parameter Optimization of Mechanical, Non-Thermal Generated C71500 Powder
Previous Article in Journal
Multilevel Prediction of Mechanical Properties of Samples Additively Manufactured from Steel 308LSi
 
 
Font Type:
Arial Georgia Verdana
Font Size:
Aa Aa Aa
Line Spacing:
Column Width:
Background:
Article

Enhancement of the Wear Properties of Tool Steels Through Gas Nitriding and S-Phase Coatings

by
Sebastian Fryska
*,
Mateusz Wypych
,
Paweł Kochmański
and
Jolanta Baranowska
Department of Materials Technology, West Pomeranian University of Technology in Szczecin, Piastów Av. 19, 70-310 Szczecin, Poland
*
Author to whom correspondence should be addressed.
Metals 2026, 16(1), 9; https://doi.org/10.3390/met16010009 (registering DOI)
Submission received: 30 November 2025 / Revised: 18 December 2025 / Accepted: 19 December 2025 / Published: 21 December 2025
(This article belongs to the Special Issue Surface Treatments and Coating of Metallic Materials (2nd Edition))

Abstract

Tool steels are critical for high-load applications, e.g., forging and metal-forming, where they face thermal cracking, fatigue, erosion, and wear. This study evaluates the impact of gas nitriding and S-phase PVD coatings on the mechanical and tribological properties of four tool steels: 40CrMnNiMo8-6-4, 60CrMoV18-5, X50CrMoV5-2, and X38CrMoV5-3. Samples were heat-treated (quenched and tempered at 600 °C), then gas-nitrided at 575 °C for 6 h with nitriding potentials (Kn) of 0.18, 0.79, or 2.18, or coated via reactive magnetron sputtering in Ar/N2 or Ar/N2/CH4 atmospheres at 200 °C or 400 °C. Characterization involved XRD, LOM, FE-SEM, GDOES, Vickers hardness (HV0.1), and ball-on-disk wear testing with Al2O3_ counter-samples. Gas nitriding produced nitrogen diffusion layers (80–200 μm thick) and compound layers (ε-Fe(2-3)N, γ’-Fe4N) at higher Kn, increasing hardness by 80–100% (up to 1100 HV0.1 for steel X38CrMoV5-3). S-phase coatings (1.6–3.6 μm thick) formed expanded austenite with varying N content, achieving comparable hardness (up to 1100 HV0.1) in high-N2 atmospheres, alongside substrate diffusion layers. Both types of treatment enhance load-bearing capacity, adhesion, and durability, offering superior wear resistance compared to conventional PVD coatings and addressing demands for extended tool life in industrial applications.

1. Introduction

Tool steels represent a crucial class of materials used in, e.g., forging and metal-forming operations, where tooling is subjected to high mechanical loads and severe tribological conditions. Their degradation is primarily caused by thermal cracking, thermal and mechanical fatigue, erosion and adhesive wear [1,2,3,4,5]. These mechanisms significantly reduce tool lifetime and impair process stability. To improve these properties, three major categories of surface engineering processes are widely applied: thermo-chemical heat treatment (predominantly gas or plasma nitriding), PVD coating deposition, and duplex treatment, in which nitriding is followed by the deposition of a hard PVD coating [6,7,8,9,10,11,12,13,14,15,16].
Gas and plasma nitriding are the most widely used thermo-chemical processes. Both treatments promote the development of a nitrogen-enriched diffusion zone and a surface compound layer of iron nitrides, leading to increased hardness and improved resistance to tribological wear, as well as reduced susceptibility to thermally induced cracking [14,15,16,17,18,19,20,21,22,23,24,25,26]. Low-temperature nitriding and carburizing processes have also been extensively studied due to their ability to form the S-phase (expanded austenite), characterized by high hardness and excellent resistance to abrasive wear; however, its formation typically requires an austenitic substrate [27,28,29,30,31,32,33,34,35].
Conventional PVD coatings developed for tool steels include nitride-, carbide- and carbonitride-based systems such as TiN and CrN, as well as more complex multicomponent coatings containing Si or Al. These coatings significantly improve surface hardness and wear behavior and allow effective control of frictional properties, which is critical for many industrial applications [9,11,12,13,36,37,38,39,40,41,42,43,44]. Multilayer coating architectures are widely adopted due to their ability to suppress crack propagation and extend coating lifetime [42,45,46,47]. ARC evaporation and magnetron sputtering remain the predominant deposition techniques, typically performed in reactive atmospheres containing nitrogen or methane [11,13,36,42,48,49,50,51,52,53,54]. Importantly, PVD processing also enables the formation of S-phase-containing coatings on substrates that are not austenitic—an advantage not achievable through conventional nitriding [28,49,50,55,56,57,58].
In duplex treatment, nitriding is the initial stage, followed by PVD coating deposition directly onto the nitrided layer or onto the diffusion zone after selective removal of the compound layer [7,59,60,61,62]. This combined configuration produces a mechanically robust system in which the diffusion layer provides improved load-bearing support, thereby enhancing both adhesion and functional durability of the PVD coating [6,7,8,9,10,37,46,63,64,65,66,67].
Substantial technological progress in PVD coatings and duplex coating systems has also been driven by industrial developments, particularly by companies such as Oerlikon Balzers and Sandvik Coromant, whose patented solutions continue to influence contemporary surface engineering practice [68,69,70,71].
The present study examines the influence of gas nitriding and S-phase PVD coatings on the mechanical and tribological properties of four tool steels. The findings address the growing demand for tooling with enhanced wear resistance and provide comparative insights relative to conventional PVD coatings.

2. Materials and Methods

The samples for the study were prepared from four grades of tool steels: 40CrMnNiMo8-6-4 (M238, Böhler, Vienna, Austria; ISO no. 1.2738), 60CrMoV18-5 (Calmax, Uddeholms AB, Hagfors, Sweden; ISO no. 1.2358), X50CrMoV5-2 (Unimax, Uddeholms AB, Hagfors, Sweden), and X38CrMoV5-3 (W360, Böhler, Vienna, Austria; ISO no. 1.2367). Designations and the chemical composition of the steel grades are presented in Table 1.
Discs with a thickness of 5 mm were cut from the bars and used as substrates. After cutting and preliminary grinding, the substrates were subjected to a heat treatment process. Steels B, C, and D were quenched in a vacuum furnace using nitrogen, while steel A, due to its lower hardenability, was heated in a furnace with an endothermic protective atmosphere and subsequently quenched in oil. After quenching, the samples were tempered at 600 °C. The heat treatment parameters and hardness values of the substrates after the heat treatment process are listed in Table 2.
Two different surface hardening treatments were applied to the prepared substrates: gas nitriding and reactive magnetron sputtering (reactive PVD). For both treatments, the heat-treated substrates were ground using abrasive papers, followed by polishing with diamond suspensions and aluminum oxide. The prepared substrates were then cleaned in acetone using an ultrasonic cleaner. The substrates for S-phase coating deposition were, in the final step, ion-cleaned in an argon gas plasma inside the coating deposition chamber. The radio-frequency (RF) ion cleaning process lasted 10 min, with a voltage bias of 200 V. Immediately after ion cleaning, the coating deposition process was initiated.
The nitriding process was carried out in a pit furnace under an atmosphere of dissociated ammonia, with nitriding potentials Kn equal to 0.18, 0.79 and 2.18, which correspond to ammonia contents in the working atmosphere set at 10, 30 and 50 vol.% NH3, respectively. The process temperature was 575 °C and the duration time was 6 h.
The deposition of S-phase coatings was carried out using reactive magnetron sputtering in an RMS coating system (Orion 5, AJA International, Scituate, MA, USA). In each deposition process, one substrate made of a given steel grade was placed inside the chamber. The sputtering targets were 5.1 cm diameter discs of austenitic stainless steel AISI 304, sputtered in an atmosphere of argon and nitrogen, or argon, nitrogen, and methane. The substrate temperature was either 200 or 400 °C. The remaining deposition parameters were kept constant: deposition time—2 h, three targets—each operated at 200 W, total pressure—0.8 Pa. The target-to-substrate distance was 107 mm. During deposition, the samples were RF-biased at approximately 50 V. The parameters of the coating deposition process are summarized in Table 3.
The phase composition of the obtained samples was analyzed using X-ray diffraction (XRD) with CuKα radiation (X’PERT, PANalytical, Almelo, The Netherlands). The measurements were carried out in Bragg–Brentano geometry over the 2θ range of 30–90°, as well as in grazing incidence geometry (ω = 3°). The penetration depth of the X-ray beam at an incidence angle of ω = 3° was approximately 0.5 μm, as estimated based on modeling performed using PANalytical HighScore 4.0 software.
For metallographic examinations, a piece of each sample, cut using a precision cutter (IsoMet 5000, Buehler Ltd., Lake Bluff, IL, USA), was coated with a nickel layer to protect the sample edges and then mounted in a conductive resin (Polyfast, Struers, Ballerup, Denmark). After mounting, the samples were ground with abrasive papers and polished using diamond suspensions and aluminum oxide. To reveal the material’s microstructure, the samples were etched with a 2% solution of nitric acid in ethanol (Nital).
Light optical microscopy (LOM) examinations were performed using a Nikon Ephiphot 200 (Nikon Corporation., Tokyo, Japan). Cross-sections of coatings were examined using an FE-SEM SU-70 (Field Emission Scanning Electron Microscopy) microscope (Hitachi, Naka, Japan).
The chemical composition was examined using glow-discharge optical emission spectrometry (GDOES) with equipment Profiler GD2 (Horiba Jobin Yvon, Montpellier, France).
Hardness measurements were carried out using the Vickers method on the LECO LM247AT (LECO Corporation, St. Joseph, MI, USA) device with load of 0.1 kg and an indentation time of 12 s. Although ISO 6507-1 standard [72] recommends using the highest possible test load during hardness measurements of bulk materials, in this study a load of 0.1 kg was intentionally used for the substrate hardness measurements as well, in order to ensure identical conditions for all tests.
The tribological properties of the samples were determined by measuring the wear rate using the dry ball-on-disk method. Two wear tests were performed for each sample. An Al2O3 ceramic ball was used as the counter-sample. The applied load was 2 N, and the linear sliding speed was 3 cm/s. Tests were carried out at track radii of 3 and 4 mm, with corresponding sliding distances of 1000 m for r = 3 mm and 1380 m for r = 4 mm. This ensured the same number of sample rotations relative to the ball, amounting to 53,000 revolutions. The tests were conducted using a CSM tribometer (currently Anton Paar TriTec SA, Corcelles, Switzerland). After the test, the diameter of the sliding track was measured using a VHX-7000 optical microscope (Keyence, Mechelen, Belgium). Subsequently, the sliding track area was measured using a Dektak 6M stylus profilometer (Bruker Corporation, Billerica, Massachusetts, USA). Based on these measurements, the volume loss of the sample during the test was calculated in mm3/N·m.

3. Results

3.1. Phase Composition, Structure and Morphology

XRD analysis revealed a typical microstructure of the nitrided layer formed after the nitriding process (Figure 1). In the diffraction patterns of samples nitrided at a potential Kn = 0.18, only reflections from the substrate and the nitrogen diffusion layer (FN) were detected, while no peaks corresponding to the nitride layer were observed (Figure 1a). Increasing the nitriding potential to Kn = 0.79 resulted in the appearance of weak reflections corresponding to ε-Fe2-3N and γ′-Fe4N phases, indicating that the compound layer was relatively thin, along with reflections from the nitrogen diffusion layer (FN) (Figure 1b). Nitriding at the highest potential Kn = 2.18 led to the formation of a considerably thicker ε-Fe2-3N and γ′-Fe4N compound layer on the surface, which produced much more pronounced diffraction peaks (Figure 1c).
The thickness of the nitrogen diffusion layer varied depending on the nitriding potential and ranged from approximately 80 μm to about 200 μm for potentials Kn ranging from 0.18 to 2.18, respectively (Figure 2).
The obtained S-phase coatings exhibited varying thicknesses, ranging from 3.6 μm in process 1, through 3.0 μm and 2.1 μm in processes 2 and 3, respectively, to about 1.6 μm in process 4. Figure 3 shows, as an example, the S-phase coatings obtained on steel A.
The phase composition of the coatings varied depending on the working atmosphere and temperature. In deposition process 1, carried out at 200 °C with 20%vol. N2 in the working atmosphere, the coatings exhibited peaks corresponding to the S-phase in the Bragg–Brentano geometry, observed at 42.2° for the (111) crystallographic planes and at 49° for the (200) planes. In addition, a ferrite peak originating from the substrate was observed. The S-phase peaks showed higher intensity than those of ferrite (Figure 4a).
In deposition process 2, carried out at a higher temperature (400 °C) with the same nitrogen content in the working atmosphere (20%vol. N2), the coatings exhibited peaks corresponding to the S-phase, ferrite from the substrate, and an additional peak close to ferrite peak but located at lower 2θ angles (Figure 4b). The S-phase peaks showed lower intensity and were shifted toward higher 2θ angles compared to the coatings deposited at 200 °C—specifically, to 42.3° for the (111) peak and 50.1° for the (200) peak. This shift indicates a lower nitrogen content in the coating [27,31,56]. XRD measurements performed in the fixed incident angle geometry (ω = 3°) confirmed the presence of an additional peak slightly shifted toward lower 2θ angles relative to the ferrite position (Figure 5b). These peaks correspond to the nitrogen diffusion layer in the substrate, i.e., nitrogen-enriched ferrite (FN), which formed during the deposition of the S-phase coating as a result of nitrogen diffusion from the coating into the substrate. Higher intensities of the substrate peaks for the coatings deposited at 400 °C suggest a reduced coating thickness which is consistent with the microstructures shown in Figure 3.
An increase in the nitrogen content in the working atmosphere to 40%vol. at a temperature of 400 °C (deposition process 3) resulted in the formation of an S-phase coating with a strong (200) crystallographic texture (Figure 4c). It should also be noted that the coating deposited under these conditions exhibits a distinct morphology characterized by large columnar grains, whereas the coating obtained in process 2 at a lower nitrogen content exhibited finer grains with more diversified crystallographic orientations (Figure 3b and Figure 4b). The peaks corresponding to the S-phase were shifted toward significantly lower 2θ angles compared to the coatings obtained in processes 1 and 2—specifically, to 40.4° for the (111) peak and 46.4° for the (200) peak. This indicates considerably higher nitrogen content in these coatings. Moreover, the diffraction patterns revealed peaks corresponding to the nitrogen-enriched ferrite (FN). The very high intensity of the S-phase peaks suggests a columnar coating structure with large grains, which was confirmed by SEM observations (Figure 3c).
The enrichment of the working atmosphere with methane (CH4) in deposition process 4 resulted in coatings with a different phase composition (Figure 4d). The XRD patterns revealed peaks corresponding to chromium carbonitrides Cr2(C,N), low-intensity S-phase peaks for the (200) orientation, and peaks likely originating from carbon/nitrogen diffusion–enriched ferrite (FC-N), since both carbon and nitrogen are present in the coating and can diffuse into the substrate. Compared to the coatings obtained in deposition process 2 (20%vol. N2), the angular position of the S-phase peaks shifted toward lower 2θ angles, reaching 47.7°, compared to 50.1° for the coatings from process 2. This suggests that, in addition to nitrogen atoms, carbon atoms were incorporated into the coating structure, which increased the lattice parameter of the S-phase.

3.2. Hardness Measurements

The hardness of the substrates after heat treatment ranged from 369 to 596 HV0.1 for steels A to D, respectively (Table 1). Both applied processes, nitriding and coating deposition, resulted in an increase in steel hardness compared to the quenched condition (Figure 6).
After the nitriding process, the increase in hardness depended on the nitriding potential. The maximum hardness was obtained for samples nitrided with a potential Kn = 2.18, reaching approximately 650 HV0.1 for steel A, about 880 HV0.1 for steel B, around 980 HV0.1 for steel C, and about 1100 HV0.1 for steel D. This represents an increase of approximately 80–100% compared to the quenched condition (Figure 6a).
For the S-phase coatings, the highest hardness was obtained for coatings deposited in an atmosphere containing 40 vol.% N2 at 400 °C, reaching approximately 740 HV0.1 for steel A, 950 HV0.1 for steel B, 980 HV0.1 for steel C, and 1100 HV0.1 for steel D (Figure 6b). These values are comparable to the hardness of the steels after nitriding with a potential Kn = 2.18. Coatings deposited at lower nitrogen contents in the atmosphere, or in atmospheres containing both nitrogen and methane, exhibited significantly lower hardness values—ranging from 500 to 800 HV0.1 depending on the steel substrate. Moreover, it can be observed that the presence of carbon in the S-phase coatings did not lead to an improvement in their hardness, even though the total content of saturating elements (C+N) was comparable to that in process 3. However, the obtained hardness values for the carbon-containing coatings are comparable to the hardness of the coatings produced in process 2, where the same nitrogen content was introduced. It can thus be concluded that the hardening effect of carbon is negligible, despite the coatings containing significant amounts of chromium carbonitrides.

3.3. Tribological Measurements

The wear rate of the quenched substrates was similar for all steel types and was approximately 2.5 × 10−5 mm3/N·m (Figure 7). The application of the nitriding process, in all cases except for steel A nitrided with a potential Kn = 2.18, reduced the wear rate by at least 50% compared to the quenched condition. The lowest wear rate was observed for steels B, C, and D nitrided with a potential Kn = 0.79, reaching approximately 2.2 × 10−6 mm3/N·m, i.e., an order of magnitude lower than that of the quenched steels. A noticeably smaller decrease in wear rate was also observed for steel A compared to the other steels (Figure 7a).
The wear rate of the steels coated with S-phase layers was considerably more varied and depended on the deposition conditions (Figure 7b). Coatings deposited at the lower temperature of 200 °C exhibited a higher wear rate compared to the quenched steels (2.5 × 10−5 mm3/N·m), reaching values of up to 5.0 × 10−5 mm3/N·m. The only exception was the coating on steel C, for which the measured wear rate was similar to that of the uncoated substrate. Increasing the deposition temperature to 400 °C led to a significant decrease in the wear rate—to approximately 1.0 × 10−5 mm3/N·m for steel A, to 1.0–3.0 × 10−6 mm3/N·m for steels B and D, and to as low as 5.29 × 10−7 mm3/N·m for steel C.
Increasing the nitrogen content in the atmosphere to 40 vol.% led to a reduction of the wear rate of the samples to approximately 3.0 × 10−7 mm3/N·m. The lowest wear rate in this group of samples was measured for the coating on steel A, reaching 2.42 × 10−7 mm3/N·m, while the highest wear rate was observed for the coating on steel D, reaching 3.17 × 10−7 mm3/N·m. Thus, the wear rate of all S-phase coated steels was one order of magnitude lower than that of the nitrided steels and two orders of magnitude lower than that of the quenched steels (Figure 7a,b).
A change in the atmosphere during the deposition process and the introduction of methane led to the formation of S-phase coatings containing both nitrogen and carbon, which exhibited higher wear rates compared to coatings produced in the presence of nitrogen only (Figure 7b). The wear rate of this coating on steel A was 2.16 × 10−5 mm3/N·m, which is comparable to that of the quenched steel. For the coating on steel B, a wear rate of 1.14 × 10−5 mm3/N·m was measured, whereas the coatings on steels C and D showed the lowest wear rates, amounting to 3.11 × 10−6 mm3/N·m and 3.55 × 10−6 mm3/N·m, respectively. The wear-rate values of the nitrogen–carbon S-phase coatings on steels C and D were similar to those of the same steels after nitriding in the presence of 30 vol.% NH3.
The higher wear rate for steels nitrided with a potential Kn = 2.18 (Figure 7) may result from the structure of the nitrided layer, whereas in the case of the steels coated with the S-phase deposited in process 1 (20 vol.% N2, 400 °C), it may be attributed to the lower adhesion of the coatings deposited at lower temperatures.
For the samples nitrided with a potential Kn = 2.18, a compound nitride layer was observed on the surface (Figure 2c). Since the nitride compound layer is brittle [8,14,73], during the tribological tests, this layer underwent chipping, which contributed to the increased measured wear rate (Figure 8a). In addition, the detached particles can remain in the contact zone, acting as abrasive debris and further increasing the wear rate. This effect was not observed for samples nitrided at a lower nitriding potential Kn equal to 0.18 and 0.79 (Figure 8b). In turn, the higher wear rate of the S-phase coatings deposited at 200 °C resulted from their poorer adhesion to the substrate, which led to chipping of the coating within the wear track (Figure 8c). Increasing the temperature to 400 °C, combined with a higher nitrogen content (40 vol.%), prevented this phenomenon (Figure 8d), mainly due to the diffusion layers formed beneath the coatings (Figure 2d), which could be the reason for the improved adhesion of these coatings. For the carbon-containing coatings, it can again be observed that the addition of carbon to the S-phase did not have a beneficial effect on the wear rate. For all the studied steels, the wear rate was significantly higher than that of the nitrogen S-phase coatings, even when compared with those of comparable hardness (process 2). It can therefore be assumed that, in the case of these coatings, the presence of hard phases such as chromium carbonitrides, which contribute to their brittleness, may significantly influence their tribological behavior.
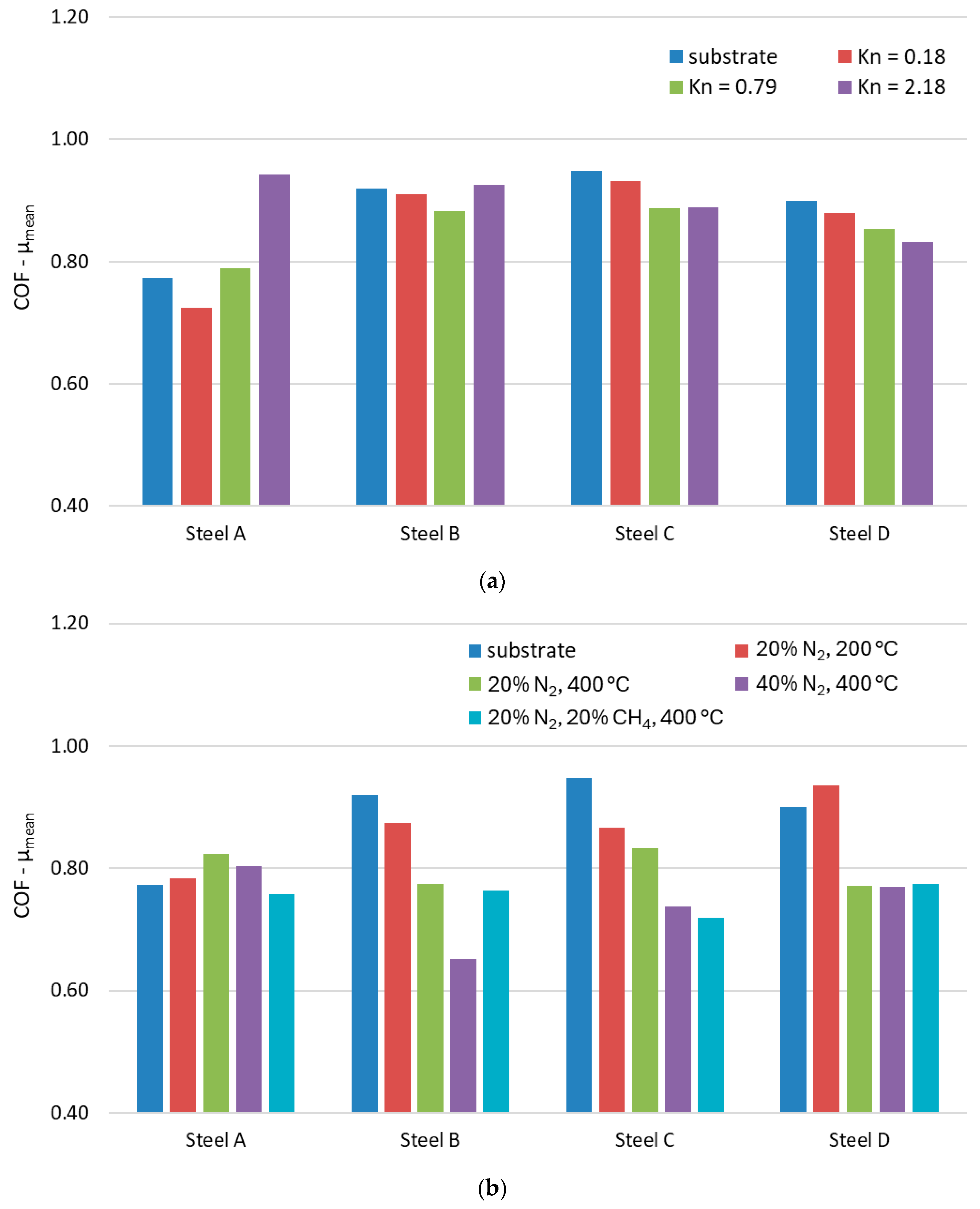
The lower wear rate of the coated samples compared with the nitrided steels may also be attributed to the lower coefficient of friction (COF)—µ of the coatings. For the quenched steels, the measured mean COF—µmean (the average value recorded over the entire test duration) was 0.77 for steel A and ranged from 0.90 to 0.95 for the remaining steels. After nitriding, only a minor decrease in the COF of B, C and D steels was observed as the Kn increased (Figure 9a). An exception was steel A, for which µmean decreased to 0.73 when nitrided with potential Kn = 0.18, followed by an increase that became more pronounced with rising nitriding potential. For the sample nitrided with potential Kn = 2.18, µmean reached 0.94. The remaining steels after nitriding exhibited coefficients of friction in the range of 0.83–0.93.
All S-phase coatings deposited on steel A exhibited a coefficient of friction comparable to that of the untreated substrate (Figure 9b). For the remaining steels, however, the coatings showed lower COF than the respective substrates, except for the coating deposited on steel D at 200 °C in an atmosphere containing 20 vol.% N2. In this particular case, however, it is possible that the coating, due to its brittleness and poor adhesion, delaminated at the initial stage of the test, which resulted in a higher measured µmean value.

4. Discussion

The gas nitriding of the investigated tool steels resulted in the formation of nitrided layers exhibiting the phase architecture typical of alloyed steels subjected to this treatment, reported in the literature [8,17,18,23,61,62,74,75]. Depending on the nitriding potential Kn, either a nitrogen-enriched diffusion zone alone or a diffusion zone accompanied by an outer compound layer of iron nitrides was obtained. No significant influence of the chemical composition of the steels on the phase constitution of the nitrided layers was observed in this study (Figure 1).
Similarly to the nitrided layers, the S-phase coatings exhibited the phase composition typically reported for this type of coatings (Figure 4) [23,27,30,76]. The peaks positions on diffraction patterns varied with the composition of the reactive atmosphere and the deposition temperature, consistent with previous findings in the literature [21,55,77]. Fryska et al. also reported that, during deposition of S-phase coatings, a shallow nitrogen-enriched diffusion layer may simultaneously form in austenitic substrates; however, the thickness of such layers was limited to only a few micrometers [77,78]. The nitrogen diffusion in S-phase coated systems contrasts with the results reported for conventional coatings composed of nitrides, where no nitrogen diffusion into the substrate is observed, indicating a fundamental difference between the expanded austenite phase and nitrides such as TiN or CrN. Nitrides are crystalline compounds with a general stoichiometry of the type MxN. In such materials, nitrogen diffusion at temperatures below 500 °C is practically negligible. Hultman reports [54] that the diffusion path of nitrogen atoms within nitride phases such as TiN is less than 5 nm at temperatures below 600 °C. Although some works describe the nitriding of titanium alloys, where a TiN-Ti2N-nitrogen diffusion zone sequence develops at the surface, these processes are typically performed at temperatures exceeding 500 °C [73]. This limited diffusion is attributed to the strong bonding of nitrogen to metal atoms through covalent or mixed covalent–ionic interactions [79]. These bonding characteristics effectively suppress nitrogen mobility within the crystal structure, causing the coating to serve as a barrier that prevents the reactive atmosphere from interacting with the underlying substrate [54,80,81,82].
In contrast to nitrides, the behavior of the S-phase is fundamentally different. The S-phase is a nitrogen supersaturated solid solution formed within the γ-type crystal structure, and its nitrogen content depends directly on the nitrogen concentration in the reactive atmosphere [27,30,31,32,34,53,55,57]. This explains the observed variations in the phase composition of S-phase coatings deposited under different N2 contents in the process atmosphere. Owing to its solution-type character, the S-phase permits nitrogen atom movement within the crystal structure, and the direction of this movement is determined by the nitrogen potential outside the coating. In the present deposition processes, the working atmosphere contained either 20 or 40 vol.% of N2, which resulted in S-phase coatings with different nitrogen contents. Because the substrate initially contains no nitrogen, a substantial nitrogen potential gradient develops between the coating and the substrate, ultimately driving nitrogen diffusion from the coating into the substrate [77]. A sufficiently elevated substrate temperature is required for this effect to occur. Among the coatings produced in this study, a nitrogen-enriched diffusion layer in the substrate was observed only for coatings deposited at 400 °C, as only at this temperature could nitrogen diffuse into the substrate material [76].
Except for steel A (40CrMnNiMo8-6-4), which reached a hardness of 650 HV0.1 after nitriding in 50 vol.% NH3, the remaining steels nitrided under the same conditions exhibited hardness values between 880 and 1100 HV0.1, consistent with literature data for nitrided tool steels [8,10,17,19,20,64,73,75,83]. Çelik [8] reported similar hardness values for X38CrMoV5-3 steel, with approximately 1100 HV0.1 for the steel featuring a surface nitride layer and around 800 HV0.1 for the diffusion layer alone. These results are consistent with the hardness measurements obtained in the present study.
The hardness of the S-phase coatings deposited at 400 °C in an atmosphere containing 40 vol.% nitrogen was comparable to that of steels nitrided in a 50 vol.% NH3 atmosphere (Figure 6). Similar hardness values, ranging from 800 to 1000 HV, have been reported for S-phase coatings on AISI 304 austenitic steel substrates in previous studies [56]. These values are also in good agreement with other literature data, both for S-phase coatings deposited by reactive magnetron sputtering [28] and for the nitriding of austenitic steels [21,30]. However, they are lower compared to nitride-based coatings [12,41,42,48,50].
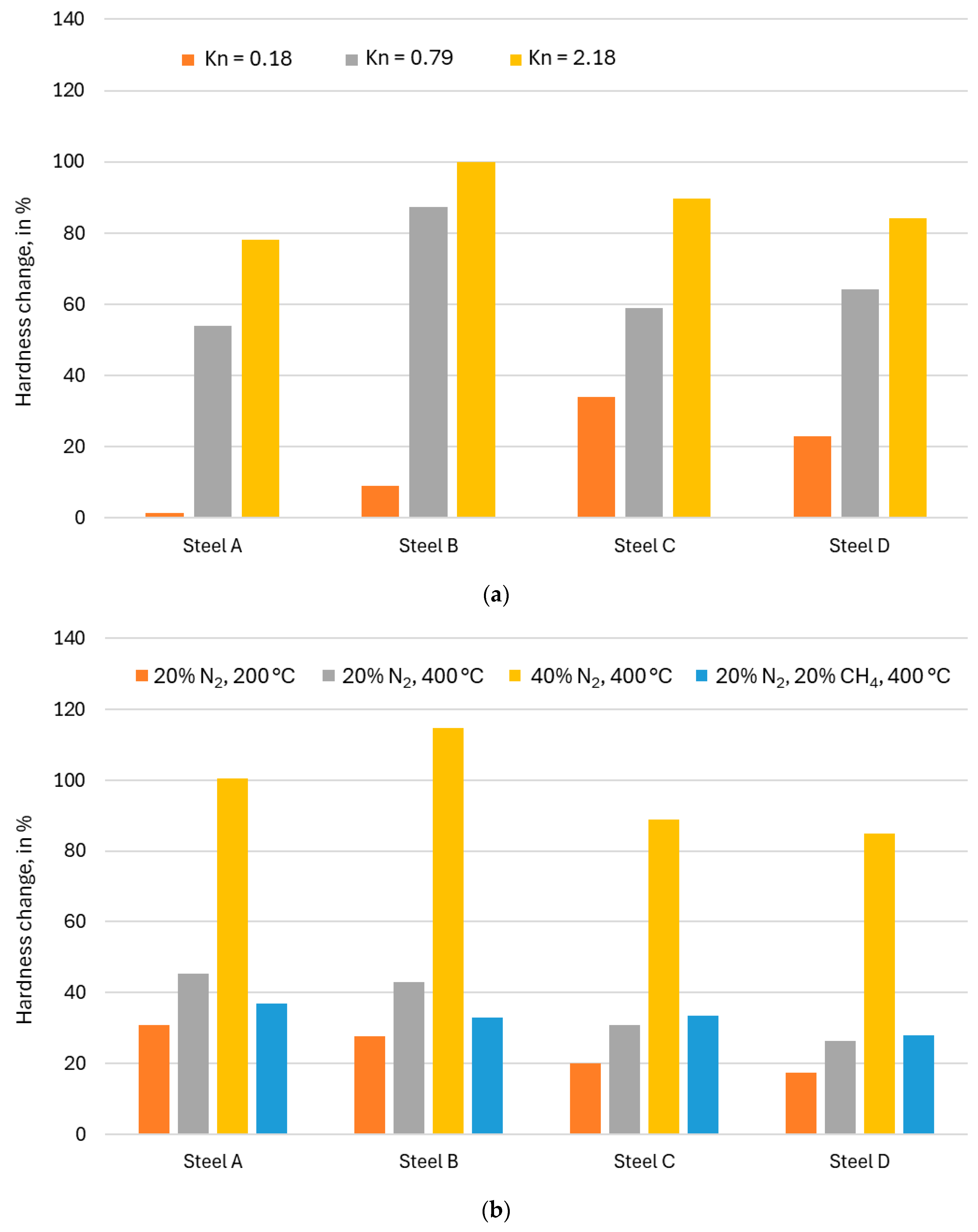
Although the observed variations in hardness of the nitrided samples primarily reflect differences in the intrinsic hardness of the quenched steels and the applied nitriding potential Kn, the analysis of the relative hardness increase indicates a significant effect of the chemical composition on the hardness of the nitrided samples, compared to the hardness of the quenched steels. As shown in Figure 10, the highest hardness increment was observed for steel B, whereas the lowest was observed for steel A, except for specimens nitrided at the lowest nitriding potential. Examination of Figure 10a in combination with the chemical composition of the investigated steels (Table 1) demonstrates that these differences are mainly governed by the carbon content. Steel B (60CrMoV18-5) contains the highest carbon level among the investigated tool steels (0.6 wt.% C). Steel C (X50CrMoV5-2) exhibits a slightly lower carbon content of 0.5 wt.% C, while steels A (40CrMnNiMo8-6-4) and D (X38CrMoV5-3) possess the lowest carbon contents of about 0.4 wt.% C.
The observed differences may be explained by the mechanism of chromium nitride precipitation within the nitrided region. Yakhnina [84], studying chromium-alloyed corrosion-resistant steels, reported that increasing the carbon content of the steel led to higher hardness of the nitrided layers, which was attributed to the precipitation of Cr2N within the nitrided zone. Similar observations were described by Sommers [85]. Ari [18] likewise reported comparable hardness levels for steel X38CrMoV5-3 after nitriding, indicating that at high nitriding potentials, Kn equal to 3 and 6, the hardness of the nitride layer results partly from the elevated nitrogen content and the formation of the compound layer, and partly from finely dispersed CrN precipitates near the surface, promoted by the high chromium content of the steel. This phenomenon may affect the lower hardness observed in steel A nitrided with a potential Kn = 2.18, particularly considering that steel A has a lower chromium content, approximately 2 wt% compared to approximately 5 wt% in the other steels.
X-ray diffraction analysis (Figure 1) did not reveal distinct reflections characteristic of chromium nitrides; however, their presence within the diffusion zone cannot be excluded. The nanometric size of the precipitated nitrides may account for the absence of detectable peaks, as it limits their identification. In addition, their volume fraction is likely negligible compared with that of the iron nitrides, which would further reduce their detectability [86]. Another contributing factor may be the hexagonal structure of Cr2N, the same as that of Fe3N nitrides observed in the investigated steels after nitriding. Consequently, it is also possible that reflections from chromium nitrides overlap with the diffraction peaks of iron nitrides. It is also possible, as observed by Yakhnina [84], that the detected reflections correspond to complex nitrides of the (Fe,Cr)2N type rather than to simple phases such as Fe3N or Cr2N.
For applications requiring high resistance to abrasive and erosive wear, the presence of a hard and brittle compound layer is undesirable; therefore, the nitriding process should be conducted at a lower nitriding potential to prevent its formation [17,74,87,88,89]. This effect was achieved for the investigated steels when nitriding was carried out with a potential Kn = 0.79. At higher nitriding potential Kn = 2.18, the formation of the compound layer led to its subsequent fragmentation during tribological testing. Detached fragments entered the contact as third-body particles acting as an abrasive medium, which resulted in an increased wear rate of the samples. This behavior is well known and has been widely reported in the literature [8,46,73,88,89].
The wear rate of the untreated steels was approximately 2.5 × 10−5 mm3/N m, which is consistent with values reported in the literature for steels of this type [2,12]. After nitriding, the wear rate decreased to 2–5 × 10−5 mm3/N·m for steels B, C, and D, whereas for steel A it remained at approximately 1.2 × 10−5 mm3/N m (Figure 7a). Castro [14] reported wear rates of 5.0–7.0 × 10−5 mm3/N m for nitrided AISI H13 steel, while other authors [48,73] have indicated values on the order of 10−6 mm3/N m for nitrided tool steels.
For conventional nitride coatings deposited on tool steels by PVD techniques, the reported wear rates depend on the specific coating type; however, literature values typically fall within the range of 10−6–10−7 mm3/N·m [8,41,48,89,90]. The wear rates obtained for the steels coated with S-phase films in the present study—1.0–3.0 × 10−6 mm3/N·m, and in some cases as low as 5.29 × 10−7 mm3/N·m—are therefore comparable to the values reported for typical nitride coatings such as TiN-base or CrN-base systems.
One of the approaches to improving the wear resistance of tool steels is the application of duplex systems, which involve forming a hard coating along with a diffusion layer in the substrate that has higher hardness than the base material. This layer provides load-bearing support for the hard coating and thus reduces the difference in properties between the coating and the original tool steel. This results in improved hardness, adhesion, wear resistance, and enhanced thermal fatigue resistance of the hard coatings [6,7,67]. Tillmann [12] investigated TiAlN and CrAlN coatings deposited on nitrided X37CrMoV5-1 (1.2343) steel. The measured wear rates were 0.03 × 10−5 mm3/N·m for CrAlN and 0.2 × 10−5 mm3/N·m for TiAlN, with hardness values of 1800 and 2700 HV, respectively. Çelik [8] studied CrN and AlTiN coatings deposited on nitrided X38CrMoV5-3 (1.2367) steel. The reported wear rates were 9.5 × 10−6 mm3/N·m for CrN and 7.4 × 10−6 mm3/N·m for AlTiN, with hardness values of 2000 and 2500 HV, respectively. Gilewicz [48], on the other hand, reported a wear rate of 4.5 × 10−7 mm3/N·m for a CrCN/CrN coating on nitrided 42CrMo4 (1.7225) steel. Deposition of S-phase coatings on the investigated tool steels led to the simultaneous formation of a nitrogen diffusion layer within the substrate. Thus, the treatment can be regarded as a duplex treatment, in which a diffusion layer and an S-phase coating form simultaneously within the same process. This approach significantly reduced the total treatment time—from several hours typically required for conventional duplex processing (6–10 h of nitriding followed by 1–2 h of PVD deposition) to a single 2 h process. Furthermore, no intermediate removal of the brittle compound layer, normally required after nitriding and involving additional processing time, was necessary. The obtained wear rates, reaching 3.0 × 10−7 mm3/N·m for S-phase coatings deposited at 40 vol.% N2 and 400 °C, are comparable to or better than those reported for nitride–base coatings produced on nitrided substrates in standard duplex treatments [8,12,48].

5. Conclusions

The aim of this study was to determine the effect of gas nitriding and S-phase coating deposition on the mechanical and tribological properties of various grades of tool steels. The main conclusions are as follows:
  • The lowest wear rates of the nitrided layers, 1.2–5.0 × 10−5 mm3/N·m, were obtained for samples nitrided with a medium nitriding potential Kn = 0.79. This was attributed to the absence of a brittle nitride zone on the surface of the nitrided steel. These values were an order of magnitude lower than the wear rates of the hardened steels.
  • S-phase coatings exhibited hardness comparable to nitrided layers at the highest nitriding potential Kn = 2.18 (740–1100 HV0.1), representing an 85–115% increase over the hardened steels, indicating that S-phase coatings may serve as an effective alternative when deposited in a high-nitrogen atmosphere.
  • S-phase coatings exhibited wear rates one order of magnitude lower than those of nitrided steels, typically ranging from 1.0–3.0 × 10−6 mm3/N·m and, in some cases, reaching as low as 5.29 × 10−7 mm3/N·m.
  • During the deposition of S-phase coatings at 400 °C, a nitrogen diffusion layer is simultaneously formed within the substrate, leading to a structure similar to that of duplex systems, i.e., a PVD coating on nitrided steel. The formation of the diffusion layer is facilitated by the increased nitrogen content in the deposition atmosphere during the S-phase coating process.
  • The addition of carbon to the nitrogen-based S-phase does not have a beneficial effect on either the hardness or the wear rate of such coatings.
Summarizing, it can be stated that nitrogen-based S-phase coatings deposited on tool steels represent a promising alternative to nitrided layers for enhancing the tribological wear resistance of tool steels, as they not only improve wear resistance but also, through the formation of a nitrogen-enriched diffusion layer, ensure good adhesion to the substrate under contact loading conditions.

Author Contributions

Conceptualization, S.F.; methodology, S.F., M.W. and P.K.; validation, S.F.; formal analysis, S.F.; investigation, S.F. and M.W.; data curation, S.F.; writing—original draft preparation, S.F.; writing—review and editing, S.F., P.K. and J.B.; supervision, J.B.; project administration, J.B.; funding acquisition, J.B. and P.K. All authors have read and agreed to the published version of the manuscript.

Funding

This research was financially supported by The National Centre for Research and Development (NCBR), grant number POIR.01.01.01-00-0418/19.

Data Availability Statement

The original contributions presented in this study are included in the article. Further inquiries can be directed to the corresponding author.

Conflicts of Interest

The authors declare no conflicts of interest.

References

  1. Ebner, R.; Marsoner, S.; Siller, I.; Ecker, W. Thermal Fatigue Behaviour of Hot-Work Tool Steels: Heat Check Nucleation and Growth. Int. J. Microstruct. Mater. Prop. 2008, 3, 182. [Google Scholar] [CrossRef]
  2. Muro, M.; Artola, G.; Gorriño, A.; Angulo, C. Wear and Friction Evaluation of Different Tool Steels for Hot Stamping. Adv. Mater. Sci. Eng. 2018, 2018, 3296398. [Google Scholar] [CrossRef]
  3. Schwingenschlögl, P.; Niederhofer, P.; Merklein, M. Investigation on Basic Friction and Wear Mechanisms within Hot Stamping Considering the Influence of Tool Steel and Hardness. Wear 2019, 426–427, 378–389. [Google Scholar] [CrossRef]
  4. Binder, M.; Klocke, F.; Lung, D. Tool Wear Simulation of Complex Shaped Coated Cutting Tools. Wear 2015, 330–331, 600–607. [Google Scholar] [CrossRef]
  5. Krawczyk, J.; Łukaszek-Sołek, A.; Śleboda, T.; Lisiecki, Ł.; Bembenek, M.; Cieślik, J.; Góral, T.; Pawlik, J. Tool Wear Issues in Hot Forging of Steel. Materials 2023, 16, 471. [Google Scholar] [CrossRef] [PubMed]
  6. Podgrajšek, M.; Glodež, S.; Ren, Z. Failure Analysis of Forging Die Insert Protected with Diffusion Layer and PVD Coating. Surf. Coat. Technol. 2015, 276, 521–528. [Google Scholar] [CrossRef]
  7. Panjan, P.; Urankar, I.; Navinšek, B.; Terčelj, M.; Turk, R.; Čekada, M.; Leskovšek, V. Improvement of Hot Forging Tools with Duplex Treatment. Surf. Coat. Technol. 2002, 151–152, 505–509. [Google Scholar] [CrossRef]
  8. Aktaş Çelik, G.; Atapek, Ş.H.; Polat, Ş.; Obrosov, A.; Weiß, S. Nitriding Effect on the Tribological Performance of CrN-, AlTiN-, and CrN/AlTiN-Coated DIN 1.2367 Hot Work Tool Steel. Materials 2023, 16, 2804. [Google Scholar] [CrossRef] [PubMed]
  9. Lachowicz, M.M.; Ziemba, J.; Janik, M.; Trusz, A.; Hawryluk, M. Analysis of the Deterioration Mechanisms of Tools in the Process of Forging Elements for the Automotive Industry from Nickel–Chromium Steel in Order to Select a Wear-Limiting Coating. Materials 2025, 18, 13. [Google Scholar] [CrossRef]
  10. Gredić, T.; Zlatanović, M.; Popović, N.; Bogdanov, Ž. Properties of TiN Coatings Deposited onto Hot Work Steel Substrates Plasma Nitrided at Low Pressure. Surf. Coat. Technol. 1992, 54–55, 502–507. [Google Scholar] [CrossRef]
  11. Bitay, E.; Tóth, L.; Kovács, T.A.; Nyikes, Z.; Gergely, A.L. Experimental Study on the Influence of TiN/AlTiN PVD Layer on the Surface Characteristics of Hot Work Tool Steel. Appl. Sci. 2021, 11, 9309. [Google Scholar] [CrossRef]
  12. Tillmann, W.; Grisales, D.; Stangier, D.; Butzke, T. Tribomechanical Behaviour of TiAlN and CrAlN Coatings Deposited onto AISI H11 with Different Pre-Treatments. Coatings 2019, 9, 519. [Google Scholar] [CrossRef]
  13. Panjan, P.; Cvahte, P.; Čekada, M.; Navinšek, B.; Urankar, I. PVD CrN Coating for Protection of Extrusion Dies. Vacuum 2001, 61, 241–244. [Google Scholar] [CrossRef]
  14. Castro, G.; Fernández-Vicente, A.; Cid, J. Influence of the Nitriding Time in the Wear Behaviour of an AISI H13 Steel during a Crankshaft Forging Process. Wear 2007, 263, 1375–1385. [Google Scholar] [CrossRef]
  15. Roliński, E.; Sharp, G. When and Why Ion Nitriding/Nitrocarburizing Makes Good Sense. Industrial Heating. August 2005, pp. 67–74. Available online: https://www.ahtcorp.com/webres/File/Advanced%20HT%20Reprint%20v3.pdf (accessed on 18 December 2025).
  16. Roliński, E.; Damirgi, T.; Sharp, G. Plasma, Gas Nitriding and Nitrocarburizing for Engineering Components and Metal-Forming Tools. Industrial Heating. May 2012, pp. 53–56. Available online: https://www.ahtcorp.com/webres/File/Plasma,Gas%20Nitriding%20&%20Nitrocarburizing%20for%20Engineering%20Components%20and%20Metal-Forming%20Tools.pdf (accessed on 18 December 2025).
  17. Kim, K.H.; Lee, W.B.; Kim, T.H.; Son, S.W. Microstructure and Fracture Toughness of Nitrided D2 Steels Using Potential-Controlled Nitriding. Metals 2022, 12, 139. [Google Scholar] [CrossRef]
  18. ARI, A. Effect of Gas Nitriding Parameters on Microstructure and Mechanical Properties of DIN 1.2367 Hot Work Tool Steel. Int. J. Adv. Nat. Sci. Eng. Res. 2023, 7, 100–107. [Google Scholar] [CrossRef]
  19. Kundalkar, D.; Mavalankar, M.; Tewari, A. Effect of Gas Nitriding on the Thermal Fatigue Behavior of Martensitic Chromium Hot-Work Tool Steel. Mater. Sci. Eng. A 2016, 651, 391–398. [Google Scholar] [CrossRef]
  20. Yan, H.; Zhao, L.; Chen, Z.; Hu, X.; Yan, Z. Investigation of the Surface Properties and Wear Properties of AISI H11 Steel Treated by Auxiliary Heating Plasma Nitriding. Coatings 2020, 10, 528. [Google Scholar] [CrossRef]
  21. Buhagiar, J.; Jung, A.; Gouriou, D.; Mallia, B.; Dong, H. S-Phase against S-Phase Tribopairs for Biomedical Applications. Wear 2013, 301, 280–289. [Google Scholar] [CrossRef]
  22. Dearnley, P.A.; Matthews, A.; Leyland, A. Tribological Behaviour of Thermochemically Surface Engineered Steels. In Thermochemical Surface Engineering of Steels: Improving Materials Performance; Elsevier Inc.: Amsterdam, The Netherlands, 2015; pp. 241–266. ISBN 9780857095923. [Google Scholar]
  23. Kochmański, P.; Baranowska, J. Structure and Properties of Gas Nitrided Layers on Nanoflex Stainless Steel. Defect Diffus. Forum 2012, 326–328, 291–296. [Google Scholar] [CrossRef]
  24. Kapuściński, J.; Macyszyn, Ł.; Zielinski, M.; Meller, A.; Lehmann, M.; Bartkowiak, T. Effect of Surface Finishing and Nitriding on the Wetting Properties of Hot Forging Tools. Materials 2025, 18, 172. [Google Scholar] [CrossRef]
  25. Trzepieciński, T.; Szwajka, K.; Szewczyk, M.; Zielińska-Szwajka, J.; Barlak, M.; Nowakowska-Langier, K.; Okrasa, S.; Trzepieciński, T.; Szwajka, K.; Szewczyk, M.; et al. Analysis of Influence of Coating Type on Friction Behaviour and Surface Topography of DC04/1.0338 Steel Sheet in Bending Under Tension Friction Test. Materials 2024, 17, 5650. [Google Scholar] [CrossRef]
  26. Berladir, K.; Hovorun, T.; Botko, F.; Radchenko, S.; Oleshko, O.; Berladir, K.; Hovorun, T.; Botko, F.; Radchenko, S.; Oleshko, O. Thin Modified Nitrided Layers of High-Speed Steels. Materials 2025, 18, 2434. [Google Scholar] [CrossRef]
  27. Dong, H. S-Phase Surface Engineering of Fe-Cr, Co-Cr and Ni-Cr Alloys. Int. Mater. Rev. 2010, 55, 65–98. [Google Scholar] [CrossRef]
  28. Saker, A.; Leroy, C.; Michel, H.; Frantz, C. Properties of Sputtered Stainless Steel-Nitrogen Coatings and Structural Analogy with Low Temperature Plasma Nitrided Layers of Austenitic Steels. Mater. Sci. Eng. A 1991, 140, 702–708. [Google Scholar] [CrossRef]
  29. Fewell, M.P.; Mitchell, D.R.G.; Priest, J.M.; Short, K.T.; Collins, G.A. The Nature of Expanded Austenite. Surf. Coat. Technol. 2000, 131, 300–306. [Google Scholar] [CrossRef]
  30. Bell, T. Current Status of Supersaturated Surface Engineered S-Phase Materials. Key Eng. Mater. 2008, 373–374, 289–295. [Google Scholar] [CrossRef]
  31. Christiansen, T.; Somers, M.A.J. Low Temperature Gaseous Nitriding and Carburising of Stainless Steel. Surf. Eng. 2005, 21, 445–455. [Google Scholar] [CrossRef]
  32. Larisch, B.; Brusky, U.; Spies, H.J. Plasma Nitriding of Stainless Steels at Low Temperatures. Surf. Coat. Technol. 1999, 116–119, 205–211. [Google Scholar] [CrossRef]
  33. Kochmański, P.; Bielawski, J.; Baranowska, J. Effect of Low Temperature Gas Nitriding on Corrosion Properties of Duplex Stainless Steel. Surf. Coat. Technol. 2025, 517, 132842. [Google Scholar] [CrossRef]
  34. Borgioli, F. The “Expanded” Phases in the Low-Temperature Treated Stainless Steels: A Review. Metals 2022, 12, 331. [Google Scholar] [CrossRef]
  35. Li, X.Y.; Thaiwatthana, S.; Dong, H.; Bell, T. Thermal Stability of Carbon S Phase in 316 Stainless Steel. Surf. Eng. 2002, 18, 448–451. [Google Scholar] [CrossRef]
  36. Hosokawa, A.; Shimamura, K.; Ueda, T. Cutting Characteristics of PVD-Coated Tools Deposited by Unbalanced Magnetron Sputtering Method. CIRP Ann. Manuf. Technol. 2012, 61, 95–98. [Google Scholar] [CrossRef]
  37. Kalin, M.; Jerina, J. The Effect of Temperature and Sliding Distance on Coated (CrN, TiAlN) and Uncoated Nitrided Hot-Work Tool Steels against an Aluminium Alloy. Wear 2015, 330–331, 371–379. [Google Scholar] [CrossRef]
  38. Navinšek, B.; Panjan, P. Novel Applications of CrN (PVD) Coatings Deposited at 200 °C. Surf. Coat. Technol. 1995, 74–75, 919–926. [Google Scholar] [CrossRef]
  39. Navinšek, B.; Panjan, P.; Milošev, I. Industrial Applications of CrN (PVD) Coatings, Deposited at High and Low Temperatures. Surf. Coat. Technol. 1997, 97, 182–191. [Google Scholar] [CrossRef]
  40. Korhonen, A.S.; Harju, E. Surface Engineering with Light Alloys—Hard Coatings, Thin Films, and Plasma Nitriding. J. Mater. Eng. Perform. 2000, 9, 302–305. [Google Scholar] [CrossRef]
  41. Liu, A.; Deng, J.; Cui, H.; Chen, Y.; Zhao, J. Friction and Wear Properties of TiN, TiAlN, AlTiN and CrAlN PVD Nitride Coatings. Int. J. Refract. Met. Hard Mater. 2012, 31, 82–88. [Google Scholar] [CrossRef]
  42. Warcholinski, B.; Gilewicz, A.; Kuklinski, Z.; Myslinski, P. Hard CrCN/CrN Multilayer Coatings for Tribological Applications. Surf. Coat. Technol. 2010, 204, 2289–2293. [Google Scholar] [CrossRef]
  43. Petrogalli, C.; Montesano, L.; Gelfi, M.; La Vecchia, G.M.; Solazzi, L. Tribological and Corrosion Behavior of CrN Coatings: Roles of Substrate and Deposition Defects. Surf. Coat. Technol. 2014, 258, 878–885. [Google Scholar] [CrossRef]
  44. Hsu, C.H.; Chen, H.W.; Lin, C.Y.; Hu, S.H. Effect of N2/Ar Ratio on Wear Behavior of Multi-Element Nitride Coatings on AISI H13 Tool Steel. Materials 2024, 17, 4748. [Google Scholar] [CrossRef]
  45. Li, J.; Xiao, Y.; Gong, L.; Luo, X.; Lin, Y.; He, L.; Zhong, X.; Song, H.; Wang, J. Multiscale Multilayer (AlCrSiN/CrN)n/Cr/(AlCrSiN/CrN)n Coatings with Both Infrared Stealth and Tribological Properties. J. Alloys Compd. 2024, 1008, 176787. [Google Scholar] [CrossRef]
  46. Özkan, D.; Yilmaz, M.A.; Karakurt, D.; Szala, M.; Walczak, M.; Bakdemir, S.A.; Türküz, C.; Sulukan, E. Effect of AISI H13 Steel Substrate Nitriding on AlCrN, ZrN, TiSiN, and TiCrN Multilayer PVD Coatings Wear and Friction Behaviors at a Different Temperature Level. Materials 2023, 16, 1594. [Google Scholar] [CrossRef]
  47. Fryska, S.; Baranowska, J. Corrosion Properties of S-Phase/Cr2N Composite Coatings Deposited on Austenitic Stainless Steel. Materials 2021, 15, 266. [Google Scholar] [CrossRef]
  48. Gilewicz, A.; Murzynski, D.; Dobruchowska, E.; Kwiatkowski, J.; Olik, R.; Ratajski, J.; Warcholinski, B. Wear and Corrosion Behavior of CrCN/CrN Coatings Deposited by Cathodic Arc Evaporation on Nitrided 42CrMo4 Steel Substrates. Prot. Met. Phys. Chem. Surf. 2017, 53, 312–321. [Google Scholar] [CrossRef]
  49. Kappaganthu, S.R.; Sun, Y. Influence of Sputter Deposition Conditions on Phase Evolution in Nitrogen-Doped Stainless Steel Films. Surf. Coat. Technol. 2005, 198, 59–63. [Google Scholar] [CrossRef]
  50. Rebholz, C.; Ziegele, H.; Leyland, A.; Matthews, A. Structure, Mechanical and Tribological Properties of Nitrogen-Containing Chromium Coatings Prepared by Reactive Magnetron Sputtering. Surf. Coat. Technol. 1999, 115, 222–229. [Google Scholar] [CrossRef]
  51. Sanders, D.M.; Anders, A. Review of Cathodic Arc Deposition Technology at the Start of the New Millennium. Surf. Coat. Technol. 2000, 133–134, 78–90. [Google Scholar] [CrossRef]
  52. Al-Asadi, M.M.; Al-Tameemi, H.A. A Review of Tribological Properties and Deposition Methods for Selected Hard Protective Coatings. Tribol. Int. 2022, 176, 107919. [Google Scholar] [CrossRef]
  53. Fryska, S.; Giza, P.; Jedrzejewski, R.; Baranowska, J. Carbon Doped Austenitic Stainless Steel Coatings Obtained by Reactive Magnetron Sputtering. Acta Phys. Pol. A 2015, 128, 879–882. [Google Scholar] [CrossRef]
  54. Hultman, L. Thermal Stability of Nitride Thin Films. Vacuum 2000, 57, 1–30. [Google Scholar] [CrossRef]
  55. Dahm, K.L.; Dearnley, P.A. S phase coatings produced by unbalanced magnetron sputtering. Surf. Eng. 1996, 12, 61–67. [Google Scholar] [CrossRef]
  56. Fryska, S.; Baranowska, J. The Pressure Influence on the Properties of S-Phase Coatings Deposited by Reactive Magnetron Sputtering. Acta Phys. Pol. A 2013, 123, 854–857. [Google Scholar] [CrossRef]
  57. Sun, Y.; Kappaganthu, S.R. Effect of Nitrogen Doping on Sliding Wear Behaviour of Stainless Steel Coatings. Tribol. Lett. 2004, 17, 845–850. [Google Scholar] [CrossRef]
  58. Bhaskar, S.V.; Kudal, H.N. Tribology of Nitrided-Coated Steel-a Review. Arch. Mech. Technol. Mater. 2017, 37, 50–57. [Google Scholar] [CrossRef]
  59. Abisset, S.; Maury, F.; Feurer, R.; Ducarroir, M.; Nadal, M.; Andrieux, M. Gas and Plasma Nitriding Pretreatments of Steel Substrates before CVD Growth of Hard Refractory Coatings. Thin Solid Film. 1998, 315, 179–185. [Google Scholar] [CrossRef]
  60. Luo, X.; Li, X. Design and Characterisation of a New Duplex Surface System Based on S-Phase Hardening and Carbon-Based Coating for ASTM F1537 Co-Cr-Mo Alloy. Appl. Surf. Sci. 2014, 292, 336–344. [Google Scholar] [CrossRef]
  61. Mokrzycka, M.; Przybyło, A.; Góral, M.; Kościelniak, B.; Drajewicz, M.; Kubaszek, T.; Gancarczyk, K.; Gradzik, A.; Dychtoń, K.; Poręba, M.; et al. The Influence of Plasma Nitriding Process Conditions on the Microstructure of Coatings Obtained on the Substrate of Selected Tool Steels. Adv. Mech. Mater. Eng. 2024, 41, 5–16. [Google Scholar] [CrossRef]
  62. Hernandez, M.; Staia, M.H.; Puchi-Cabrera, E.S. Evaluation of Microstructure and Mechanical Properties of Nitrided Steels. Surf. Coat. Technol. 2008, 202, 1935–1943. [Google Scholar] [CrossRef]
  63. Hoy, R.; Kamminga, J.D.; Janssen, G.C.A.M. Scratch Resistance of CrN Coatings on Nitrided Steel. Surf. Coat. Technol. 2006, 200, 3856–3860. [Google Scholar] [CrossRef]
  64. Gredić, T.; Zlatanović, M.; Popović, N.; Bogdanov, Ž. Effect of Plasma Nitriding on the Properties of (Ti, Al)N Coatings Deposited onto Hot Work Steel Substrates. Thin Solid Film. 1993, 228, 261–266. [Google Scholar] [CrossRef]
  65. Zhang, X.; Tian, X.; Gong, C.; Liu, X.; Li, J.; Zhu, J.; Lin, H. Effect of Plasma Nitriding Ion Current Density on Tribological Properties of Composite CrAlN Coatings. Ceram. Int. 2022, 48, 3954–3962. [Google Scholar] [CrossRef]
  66. Navinšek, B.; Panjan, P.; Gorenjak, F. Improvement of Hot Forging Manufacturing with PVD and DUPLEX Coatings. Surf. Coat. Technol. 2001, 137, 255–264. [Google Scholar] [CrossRef]
  67. Wallin, E.; Helmersson, U. Method for Producing PVD Coatings. United States Patent and Trademark Office US8540786B2, 24 September 2013. Sandvik Intellectual Property AB. Available online: https://patents.google.com/patent/US8540786B2/en (accessed on 18 December 2025).
  68. Fontaine, F.; Kalss, W.; Lechthaler, M. Workpiece with Hard Coating. Australian Patent AU2007302162B2, 28 June 2012. Oerlikon Trading AG, Trübbach. Available online: https://patents.google.com/patent/AU2007302162B2/en (accessed on 18 December 2025).
  69. Müller, A.; Sobiech, M.L.; Maringer, C. Hot Metal Sheet Forming or Stamping Tools with Cr–Si–N Coatings. United States Patent Application Publication US20140144200A1, 29 May 2014. Oerlikon Surface Solutions AG Pfaeffikon (Original Assignee: Oerlikon Trading AG, Trübbach). Available online: https://patents.google.com/patent/US20140144200A1/en (accessed on 18 December 2025).
  70. Schier, V. Coating for a Cutting Tool and Corresponding Production Method. United States Patent US7758975B2, 20 July 2010. Walter AG. Available online: https://patents.google.com/patent/US7758975B2/en (accessed on 18 December 2025).
  71. ISO 6507-1:2023; Metallic Materials—Vickers Hardness Test—Part 1: Test Method. International Organization for Standardization: Geneva, Switzerland, 2023. Available online: https://www.iso.org/standard/83898.html (accessed on 18 December 2025).
  72. Miyamoto, J.; Abraha, P. The Effect of Plasma Nitriding Treatment Time on the Tribological Properties of the AISI H13 Tool Steel. Surf. Coat. Technol. 2019, 375, 15–21. [Google Scholar] [CrossRef]
  73. Wang, B.; Liu, B.; Zhang, X.; Gu, J. Enhancing Heavy Load Wear Resistance of AISI 4140 Steel through the Formation of a Severely Deformed Compound-Free Nitrided Surface Layer. Surf. Coat. Technol. 2018, 356, 89–95. [Google Scholar] [CrossRef]
  74. Gronostajski, Z.; Widomski, P.; Kaszuba, M.; Zwierzchowski, M.; Polak, S.; Piechowicz, Ł.; Kowalska, J.; Długozima, M. Influence of the Phase Structure of Nitrides and Properties of Nitrided Layers on the Durability of Tools Applied in Hot Forging Processes. J. Manuf. Process 2020, 52, 247–262. [Google Scholar] [CrossRef]
  75. Baranowska, J.; Fryska, S.; Suszko, T. The Influence of Temperature and Nitrogen Pressure on S-Phase Coatings Deposition by Reactive Magnetron Sputtering. Vacuum 2013, 90, 160–164. [Google Scholar] [CrossRef]
  76. Fryska, S.; Baranowska, J. Microstructure of Reactive Magnetron Sputtered S-Phase Coatings with a Diffusion Sub-Layer. Vacuum 2017, 142, 72–80. [Google Scholar] [CrossRef]
  77. Fryska, S.; Słowik, J.; Baranowska, J. Structure and Mechanical Properties of Chromium Nitride/S-Phase Composite Coatings Deposited on 304 Stainless Steel. Thin Solid Film. 2019, 676, 144–150. [Google Scholar] [CrossRef]
  78. Häglund, J.; Fernández Guillermet, A.; Grimvall, G.; Körling, M. Theory of Bonding in Transition-Metal Carbides and Nitrides. Phys. Rev. B 1993, 48, 11685–11691. [Google Scholar] [CrossRef]
  79. Cheng, P.; DelaCruz, S.; Tsai, D.S.; Wang, Z.; Carraro, C.; Maboudian, R. Enhanced Thermal Stability by Introducing TiN Diffusion Barrier Layer between W and SiC. J. Am. Ceram. Soc. 2019, 102, 5613–5619. [Google Scholar] [CrossRef]
  80. He, Q.; Liu, D.; Zhou, Y.; Sun, T.Y.; Huang, L.F. Nitride Coatings for Environmental Barriers: The Key Microscopic Mechanisms and Momentous Applications of First-Principles Calculations. Surf. Sci. Technol. 2024, 2, 24. [Google Scholar] [CrossRef]
  81. Kim, S.H.; Nam, K.T.; Datta, A.; Kim, K.B. Failure Mechanism of a Multilayer (TiN/Al/TiN) Diffusion Barrier between Copper and Silicon. J. Appl. Phys. 2002, 92, 5512–5519. [Google Scholar] [CrossRef]
  82. Wang, B.; Zhao, X.; Li, W.; Qin, M.; Gu, J. Effect of Nitrided-Layer Microstructure Control on Wear Behavior of AISI H13 Hot Work Die Steel. Appl. Surf. Sci. 2018, 431, 39–43. [Google Scholar] [CrossRef]
  83. Yakhnina, V.D.; Turkovskaya, E.P. Effect of Carbon on the Structure of the Nitrided Case on Steels of the Kh13 Type. Met. Sci. Heat Treat. 1971, 13, 114–116. [Google Scholar] [CrossRef]
  84. Somers, M.A.J. Nitriding and Nitrocarburizing; Current Status and Future Challenges. In Proceedings of the Heat Treat & Surface Engineering Conference & Expo 2013—Chennai Trade Center, Chennai, India, 16–18 May 2013. [Google Scholar]
  85. Diffraction Analysis of the Microstructure of Materials; Mittemeijer, E.J., Scardi, P., Eds.; Springer: Berlin/Heidelberg, Germany, 2004; Volume 68, ISBN 978-3-642-07352-6. [Google Scholar]
  86. Yin, F.; Jia, Y. Research on Gas Nitriding Process and Performance of 25Cr2MoV Steel. In Proceedings of the 10th International Conference on Mechanical Engineering, Materials, and Automation Technology (MMEAT 2024), Wuhan, China, 27 September 2024; 13261, pp. 422–427. [Google Scholar] [CrossRef]
  87. Duan, Y.; Qu, S.; Jia, S.; Li, X. Evolution of the Fretting Wear Damage of a Complex Phase Compound Layer for a Nitrided High-Carbon High-Chromium Steel. Metals 2020, 10, 1391. [Google Scholar] [CrossRef]
  88. Chen, J.; Li, S.; Liang, Y.; Tian, X.; Gu, J. Effect of Carburizing and Nitriding Duplex Treatment on the Friction and Wear Properties of 20CrNi2Mo Steel. Mater. Res. Express 2023, 10, 036507. [Google Scholar] [CrossRef]
  89. Ding, X.-Z.; Zeng, X.T.; Liu, Y.C.; Wei, J.; Holiday, P. Influence of Substrate Hardness on the Properties of PVD Hard Coatings. Synth. React. Inorg. Met.-Org. Nano-Met. Chem. 2008, 38, 156–161. Available online: https://www.tandfonline.com/doi/full/10.1080/15533170801926028 (accessed on 18 December 2025).
  90. Bull, S.J.; Bhat, D.G.; Staia, M.H. Properties and Performance of Commercial TiCN Coatings. Part 2: Tribological Performance. Surf. Coat. Technol. 2003, 163–164, 507–514. [Google Scholar] [CrossRef]
Figure 1. XRD diffractogram patterns for nitrided layers obtained with different nitriding potential: (a) Kn = 0.18; (b) Kn = 0.79; (c) Kn = 2.18.
Figure 1. XRD diffractogram patterns for nitrided layers obtained with different nitriding potential: (a) Kn = 0.18; (b) Kn = 0.79; (c) Kn = 2.18.
Metals 16 00009 g001
Figure 2. Sample microstructure; nitrogen diffusion layers on steel D: (a) nitrided with a potential Kn = 0.18; (b) nitrided with a potential Kn = 0.79; (c) nitrided with a potential Kn = 2.18; (d) nitrogen-enrich layer under the S-phase coating deposited on steel D during process 3.
Figure 2. Sample microstructure; nitrogen diffusion layers on steel D: (a) nitrided with a potential Kn = 0.18; (b) nitrided with a potential Kn = 0.79; (c) nitrided with a potential Kn = 2.18; (d) nitrogen-enrich layer under the S-phase coating deposited on steel D during process 3.
Metals 16 00009 g002
Figure 3. Microstructure of coatings deposited on steel A substrates: (a) process 1, (b) process 2, (c) process 3, and (d) process 4.
Figure 3. Microstructure of coatings deposited on steel A substrates: (a) process 1, (b) process 2, (c) process 3, and (d) process 4.
Metals 16 00009 g003aMetals 16 00009 g003b
Figure 4. XRD diffractogram patterns for coatings deposited in: (a) process 1, (b) process 2, (c) process 3, and (d) process 4.
Figure 4. XRD diffractogram patterns for coatings deposited in: (a) process 1, (b) process 2, (c) process 3, and (d) process 4.
Metals 16 00009 g004aMetals 16 00009 g004b
Figure 5. XRD diffractogram patterns in grazing incidence geometry (ω = 3°) for coatings deposited in: (a) process 1, (b) process 2, (c) process 3, and (d) process 4.
Figure 5. XRD diffractogram patterns in grazing incidence geometry (ω = 3°) for coatings deposited in: (a) process 1, (b) process 2, (c) process 3, and (d) process 4.
Metals 16 00009 g005
Figure 6. Hardness of the samples: (a) nitrided steels; (b) steels with S-phase coating.
Figure 6. Hardness of the samples: (a) nitrided steels; (b) steels with S-phase coating.
Metals 16 00009 g006aMetals 16 00009 g006b
Figure 7. Samples wear rate for: (a) nitrided steels; (b) steels with S-phase coating.
Figure 7. Samples wear rate for: (a) nitrided steels; (b) steels with S-phase coating.
Metals 16 00009 g007
Figure 8. Wear trucks surface images of steel D: (a) nitrided with potential Kn = 2.18; (b) nitrided with potential Kn = 0.79; (c) S-phase coated in process 1, (d) S-phase coated in process 3.
Figure 8. Wear trucks surface images of steel D: (a) nitrided with potential Kn = 2.18; (b) nitrided with potential Kn = 0.79; (c) S-phase coated in process 1, (d) S-phase coated in process 3.
Metals 16 00009 g008
Figure 9. Average coefficient of friction for: (a) nitrided steels; (b) steels with S-phase coatings.
Figure 9. Average coefficient of friction for: (a) nitrided steels; (b) steels with S-phase coatings.
Metals 16 00009 g009
Figure 10. Relative hardness increase of the quenched tool steels after different process treatment: (a) nitrided steels; (b) steels with S-phase coatings.
Figure 10. Relative hardness increase of the quenched tool steels after different process treatment: (a) nitrided steels; (b) steels with S-phase coatings.
Metals 16 00009 g010
Table 1. Designations and the chemical composition of the steel grades (GDOES).
Table 1. Designations and the chemical composition of the steel grades (GDOES).
Steel
Designation
Steel GradeChemical Composition [wt%]
CSiMnCrMoVNi
A40CrMnNiMo8-6-40.380.301.502.000.20-1.10
B60CrMoV18-50.600.350.804.500.500.20-
CX50CrMoV5-20.500.200.505.002.300.50-
DX38CrMoV5-30.380.400.405.003.000.50-
Table 2. Heat treatment parameters of the investigated tool steels.
Table 2. Heat treatment parameters of the investigated tool steels.
SteelQuenchingTemperingHardness
Temperature
[°C]
Time
[h]
AtmosphereCoolingVacuumHV0.1
A8601Endothermic gasOil1× 600 °C, 2 h396 ± 2
B10601VacuumNitrogen2× 600 °C, 2 h443 ± 3
C10601VacuumNitrogen2× 600 °C, 2 h520 ± 5
D10601VacuumNitrogen2× 600 °C, 2 h596 ± 3
Table 3. Deposition parameters of S-phase coatings.
Table 3. Deposition parameters of S-phase coatings.
Process 1Process 2Process 3Process 4
Atmosphere
[%vol.]
80% Ar
+20% N2
80% Ar
+20% N2
60% Ar
+40% N2
60% Ar
+20% N2
+20% CH4
Substrate
temperature
200 °C400 °C400 °C400 °C
Disclaimer/Publisher’s Note: The statements, opinions and data contained in all publications are solely those of the individual author(s) and contributor(s) and not of MDPI and/or the editor(s). MDPI and/or the editor(s) disclaim responsibility for any injury to people or property resulting from any ideas, methods, instructions or products referred to in the content.

Share and Cite

MDPI and ACS Style

Fryska, S.; Wypych, M.; Kochmański, P.; Baranowska, J. Enhancement of the Wear Properties of Tool Steels Through Gas Nitriding and S-Phase Coatings. Metals 2026, 16, 9. https://doi.org/10.3390/met16010009

AMA Style

Fryska S, Wypych M, Kochmański P, Baranowska J. Enhancement of the Wear Properties of Tool Steels Through Gas Nitriding and S-Phase Coatings. Metals. 2026; 16(1):9. https://doi.org/10.3390/met16010009

Chicago/Turabian Style

Fryska, Sebastian, Mateusz Wypych, Paweł Kochmański, and Jolanta Baranowska. 2026. "Enhancement of the Wear Properties of Tool Steels Through Gas Nitriding and S-Phase Coatings" Metals 16, no. 1: 9. https://doi.org/10.3390/met16010009

APA Style

Fryska, S., Wypych, M., Kochmański, P., & Baranowska, J. (2026). Enhancement of the Wear Properties of Tool Steels Through Gas Nitriding and S-Phase Coatings. Metals, 16(1), 9. https://doi.org/10.3390/met16010009

Note that from the first issue of 2016, this journal uses article numbers instead of page numbers. See further details here.

Article Metrics

Article metric data becomes available approximately 24 hours after publication online.
Back to TopTop