Sign in to use this feature.

Years

Between: -

Subjects

remove_circle_outline
remove_circle_outline
remove_circle_outline
remove_circle_outline
remove_circle_outline
remove_circle_outline
remove_circle_outline
remove_circle_outline
remove_circle_outline

Journals

remove_circle_outline
remove_circle_outline
remove_circle_outline
remove_circle_outline
remove_circle_outline
remove_circle_outline
remove_circle_outline
remove_circle_outline
remove_circle_outline
remove_circle_outline
remove_circle_outline
remove_circle_outline

Article Types

Countries / Regions

remove_circle_outline
remove_circle_outline
remove_circle_outline
remove_circle_outline
remove_circle_outline
remove_circle_outline
remove_circle_outline

Search Results (1,293)

Search Parameters:
Keywords = core diameter

Order results
Result details
Results per page
Select all
Export citation of selected articles as:
17 pages, 4420 KB  
Article
Mechanism of Conductivity Attenuation of Cross-Layer Fractures in Sand–Mudstone Interbedded Formation in WZ Oilfield
by Runsen Li, Bing Hou, Yuxuan Zhao and Juncheng Li
Processes 2026, 14(5), 753; https://doi.org/10.3390/pr14050753 - 25 Feb 2026
Abstract
To address the significant decline in fracture conductivity after cross-layer fracturing in the L3 sand–mudstone interbedded reservoir of the WZ Oilfield, which restricts efficient development, this study investigates three typical fracture types formed after fracturing: simple fractures in muddy siltstone, simple fractures in [...] Read more.
To address the significant decline in fracture conductivity after cross-layer fracturing in the L3 sand–mudstone interbedded reservoir of the WZ Oilfield, which restricts efficient development, this study investigates three typical fracture types formed after fracturing: simple fractures in muddy siltstone, simple fractures in mudstone, and complex fractures in muddy siltstone. Based on downhole full-diameter cores, fracture conductivity plates were prepared, and long-term (50 h) conductivity evaluation experiments were conducted under a simulated formation closure pressure of 28 MPa. The interaction modes between fracture surfaces and proppants, as well as the conductivity evolution laws of different fracture types were systematically analyzed. The results indicate that the interaction modes between proppants and fracture walls vary significantly with lithology and fracture morphology. Specifically, proppant embedment dominates in simple muddy siltstone fractures, whereas hydration-induced embedding and wrapping by swelled clay particles dominate in mudstone fractures. The conductivity evolution of simple fractures in muddy siltstone and mudstone follows an exponential decay law, with attenuation amplitudes of 35% and 98% after 50 h, respectively. Complex fractures in muddy siltstone exhibit a staged decay pattern with an attenuation amplitude of 92%, and their long-term conductivity primarily depends on shear-induced self-support. The overall conductivity of cross-layer fractures is controlled by the minimum conductivity among the intersected layers. Under the specific experimental conditions of 28 MPa closure pressure and 30/50 mesh ceramic proppant, the poor long-term conductivity of mudstone simple fractures (only 2% of the initial value) becomes the key bottleneck restricting productivity. This study characterizes the evolutionary features of conductivity evolution of cross-layer fractures in sand–mudstone interbedded reservoirs and provides theoretical support and engineering guidance for optimizing fracturing fluid systems to inhibit hydration and refining stage isolation strategies in similar reservoirs. Full article
Show Figures

Figure 1

16 pages, 1957 KB  
Article
Associations Between Fine Particulate Matter-Associated Bacteria and Respiratory Tract Microbiota in Pigs
by Kun Tian, Jiaming Zhu, Renli Qi, Yuran Yang, Jiayu Li, Wanchao Tian, Qiong Tan, Bin Hu and Yue Jian
Animals 2026, 16(5), 703; https://doi.org/10.3390/ani16050703 - 24 Feb 2026
Viewed by 4
Abstract
Environmental health and biosecurity in pig farms and surroundings are increasingly threatened by pathogenic bacteria carried by fine particulate matter with an aerodynamic diameter of 2.5 μm or less (PM2.5) in enclosed piggeries. However, limited attention has been given to these [...] Read more.
Environmental health and biosecurity in pig farms and surroundings are increasingly threatened by pathogenic bacteria carried by fine particulate matter with an aerodynamic diameter of 2.5 μm or less (PM2.5) in enclosed piggeries. However, limited attention has been given to these pathogens and their association with the respiratory microbiome of pigs. Using high-throughput sequencing, we investigated the overall and pathogenic bacterial communities attached to PM2.5 in pig houses, as well as those in the upper (URT) and lower respiratory tracts (LRT) of healthy fattening pigs. Concentrations of PM2.5, particulate matter with an aerodynamic diameter of 10 μm or less (PM10), ammonia (NH3), total volatile organic compounds (TVOCs), and hydrogen sulfide (H2S) were significantly higher inside the piggery than in the surrounding environment. The composition of PM2.5-associated bacteria varied with sampling height and showed greater similarity to the microbiota of the URT, particularly the oropharynx, than to that of the LRT. Additionally, 140 core potential bacterial pathogens were identified via Venn analysis in both PM2.5 and respiratory tracts. Co-occurrence network analysis and community assembly patterns revealed that microbial communities in PM2.5 and the respiratory tract exhibit distinct interaction and assembly characteristics. These findings highlight the potential role of PM2.5 as a vector for respiratory pathogens and underscore the importance of air quality management in pig farming to safeguard environmental health. Full article
(This article belongs to the Section Pigs)
Show Figures

Figure 1

21 pages, 5394 KB  
Article
Experimental and Numerical Investigation of Pore-Scale Remaining Oil Mobilization Mechanisms Under Variable-Rate Waterflooding
by Liang Zhao, Cunyou Zou, Yushan Ma, Baolei Liu, Daigang Wang, Jinde Feng, Jie Han and Donghui Wang
Energies 2026, 19(5), 1121; https://doi.org/10.3390/en19051121 - 24 Feb 2026
Viewed by 99
Abstract
In the late high water cut stage of medium- and high-permeability sandstone reservoirs, remaining oil becomes highly dispersed, and rational optimization of the water injection rate is crucial for further recovery improvement. However, a quantitative relationship between pore-scale remaining oil mobilization and macroscopic [...] Read more.
In the late high water cut stage of medium- and high-permeability sandstone reservoirs, remaining oil becomes highly dispersed, and rational optimization of the water injection rate is crucial for further recovery improvement. However, a quantitative relationship between pore-scale remaining oil mobilization and macroscopic displacement efficiency is still lacking, limiting mechanistic guidance for field-scale rate optimization and water cut control. To address this issue, variable-rate waterflooding experiments were conducted on medium- and high-permeability sandstone cores to establish the relationships among displacement rate, injected pore volume multiples, and oil displacement efficiency and to identify the optimal rate. In addition, an X-CT-based heterogeneous pore-scale geometric model and a series of idealized pore-throat models were used for oil–water two-phase flow simulations. Combined with an orthogonal experimental design, the effects of displacement rate, wettability, oil viscosity, interfacial tension, and pore structure parameters on remaining oil mobilization and displacement efficiency were systematically evaluated. The results indicate an optimal displacement rate of 2–3 mL/min. At low rates, remaining oil cannot be effectively mobilized, whereas excessively high rates intensify fingering and channeling along high-capacity pathways, reducing the final displacement efficiency. Simulations further show that a moderate rate increase markedly lowers remaining oil saturation, while overly high rates induce severe channeling. Orthogonal analysis reveals that displacement rate and wettability are the dominant factors, with normalized weights of 46.3% and 30.5%, respectively. Larger pore diameters, smaller pore-throat ratios, and higher coordination numbers reduce mobilization pressure and remaining oil saturation. This work elucidates pore-scale remaining oil mobilization kinetics under variable-rate waterflooding and provides a quantitative microscopic basis for rate optimization and fine-scale remaining oil exploitation in mature waterfloods. Full article
(This article belongs to the Section H1: Petroleum Engineering)
Show Figures

Figure 1

28 pages, 12625 KB  
Article
GWAS-Based Mining of Candidate Genes for Low-Nitrogen Tolerance in Maize
by Baobao Wang, Luo Xu, Ying Huang, Shaoxin Wang, Zhongjian Li, Rui Guo, Liang Ma, Liping Xu, Zhaohan Yue, Jianying Feng and Dengfeng Zhang
Int. J. Mol. Sci. 2026, 27(4), 2060; https://doi.org/10.3390/ijms27042060 - 23 Feb 2026
Viewed by 158
Abstract
Nitrogen (N) is an essential yield-limiting factor in maize, and identifying genes that improve nitrogen use efficiency (NUE) is critical for sustainable agriculture and environmental protection. However, the genetic basis of NUE in maize remains poorly understood. In this study, we performed a [...] Read more.
Nitrogen (N) is an essential yield-limiting factor in maize, and identifying genes that improve nitrogen use efficiency (NUE) is critical for sustainable agriculture and environmental protection. However, the genetic basis of NUE in maize remains poorly understood. In this study, we performed a genome-wide association study (GWAS) using a mixed linear model (MLM) controlling for population structure and kinship, based on an association panel of 282 maize inbred lines genotyped via the Maize 50K GBTS array (53,162 SNPs). Ten NUE-related traits (grain yield, hundred-kernel weight, ear length, ear diameter, kernel row number, kernel number per row, SPAD value, ASI, plant height, ear height) were evaluated under two N levels during the 2024–2025 growing seasons. The GWAS analysis detected 122 significant SNPs in gene regions linked to low N tolerance under the studied conditions. Linkage disequilibrium analysis and functional annotation narrowed down 26 candidate genes, whose GO and KEGG enrichment analyses (Fisher’s exact test) identified three core genes (Zm00001d027880, Zm00001d034047, Zm00001d010574). Furthermore, several inbred lines (H1710, 23N272, and 23N41) demonstrating superior low-nitrogen tolerance were identified. The primary subsequent focus in future research for these genetic materials will be their utilization to breed new cultivars with enhanced nitrogen use efficiency. Full article
(This article belongs to the Section Molecular Plant Sciences)
Show Figures

Figure 1

13 pages, 3527 KB  
Article
Improving Flow Efficiency via Internal Flow Channel Optimization Design in a Novel Non-Pressurized Diaphragm Deluge Alarm Valve
by Yan Zheng, Jun Wang, Zijie Yin, Jinhao Zhang, Wenfeng Shen, Tianyi Zheng, Zongheng Chen and Jieqing Zheng
Appl. Sci. 2026, 16(4), 2111; https://doi.org/10.3390/app16042111 - 21 Feb 2026
Viewed by 126
Abstract
Automatic sprinkler systems are widely used for fire protection in various buildings, with deluge valves serving as the core component of these systems. Traditional deluge valves employ a diaphragm-type design (Zoning Sprinkler Fire Monitor, ZSFM), which is prone to significant safety hazards such [...] Read more.
Automatic sprinkler systems are widely used for fire protection in various buildings, with deluge valves serving as the core component of these systems. Traditional deluge valves employ a diaphragm-type design (Zoning Sprinkler Fire Monitor, ZSFM), which is prone to significant safety hazards such as corrosion and damage due to uneven pressure distribution on the diaphragm. This study modified a 150 mm diameter ZSFM to a non-pressure diaphragm type, establishing and validating a CFD model of the internal flow field. Based on the original structure, six drag reduction optimization cases are designed. Among these, case 5 exhibits the minimum inlet-to-outlet pressure drop of 0.050 MPa under rated operating conditions, meeting and significantly exceeding the fire protection industry standard (≤0.08 MPa). Full article
(This article belongs to the Section Fluid Science and Technology)
Show Figures

Figure 1

17 pages, 3832 KB  
Article
Influence of Soil Fertility and Tree Characteristics on Heartwood and Specific Gravity in Dalbergia retusa and Platymiscium curuense Wood from Plantations in Costa Rica
by Roger Moya, Carolina Tenorio, Ricardo Lujan and José Corrales
Forests 2026, 17(2), 282; https://doi.org/10.3390/f17020282 - 21 Feb 2026
Viewed by 124
Abstract
Heartwood proportion (HWP) and specific gravity (SG) are two important properties of Dalbergia retusa and Platymiscium curuense wood, which is considered to be of high value. The objective of this study was to establish which morphological and soil fertility parameters present the greatest [...] Read more.
Heartwood proportion (HWP) and specific gravity (SG) are two important properties of Dalbergia retusa and Platymiscium curuense wood, which is considered to be of high value. The objective of this study was to establish which morphological and soil fertility parameters present the greatest influence on HWP and SG. For this, increment cores were extracted, and soil samples were collected. The results showed that D. retusa presented a lower HWP (22.65%) than P. curuense (28.75%), and D. retusa averaged a higher value (0.87) than P. curuense (0.63). The forward stepwise regression analysis for D. retusa showed that the magnesium content was the most important factor for SG, while for the HWP, the potassium content was the most important, followed by diameter at breast height (DBH). SG was most strongly influenced by total height in P. curuense, and HWP was most strongly influenced by DBH. Additional notable results showed that the SG of D. retusa was primarily determined by soil fertility conditions, whereas the SG of P. curuense was more strongly influenced by tree morphology. Meanwhile, the HWP in both species was mainly affected by DBH and total height, and to a lesser extent by soil fertility conditions. These results show that plantation management should be focused on trees with large diameters and HWP, since soil conditions demonstrated little effect on this property. Full article
(This article belongs to the Special Issue Tree Growth: Insights from Studies in Soil Nutrients)
Show Figures

Figure 1

15 pages, 5234 KB  
Article
Tunable Response of Silica–Gold Nanoparticles for Improved Efficiency in Photothermal Therapy
by José Rafael Motilla-Montes, Rosa Isela Ruvalcaba-Ontiveros, José Guadalupe Murillo-Ramírez, José Antonio Medina-Vázquez and Hilda Esperanza Esparza-Ponce
Nanomaterials 2026, 16(4), 269; https://doi.org/10.3390/nano16040269 - 18 Feb 2026
Viewed by 204
Abstract
Photothermal therapy (PTT) is an emerging minimally invasive approach for cancer treatment that relies on photothermal agents capable of efficiently converting near-infrared (NIR) light into localized heat. In this work, silica–gold nanostructures (SGNs) were synthesized and systematically evaluated to investigate how silica core [...] Read more.
Photothermal therapy (PTT) is an emerging minimally invasive approach for cancer treatment that relies on photothermal agents capable of efficiently converting near-infrared (NIR) light into localized heat. In this work, silica–gold nanostructures (SGNs) were synthesized and systematically evaluated to investigate how silica core size influences the photothermal response of the SGNs and optimize their performance as a photothermal agent. SGNs were synthesized with silica cores ranging from 54 to 244 nm in diameter and coated with gold nanoparticles of 4–10 nm in size, enabling controlled tuning of their localized surface plasmon resonance within the NIR region. The morphology and composition were characterized by SEM, TEM, and EDS; optical properties were analyzed by UV-Vis spectroscopy. The SGNs photothermal response low-power laser irradiation at 852 nm and 1310 nm and temperature changes were monitored using a thermographic camera. A maximum temperature increase of 7.1 °C was observed for SGNs with a silica core diameter of approximately 77 nm under the 852 nm laser irradiation. Numerical simulations of the absorption efficiency showed good agreement with experimental UV–Vis spectra and thermal measurements, revealing a size-dependent shift of the absorption toward longer wavelengths for larger nanostructures. These results demonstrate that the photothermal response of silica–gold nanostructures can be rationally tuned through the control of core size and gold growth parameters, providing a framework for the design of wavelength-matched photothermal agents for PTT applications. Full article
Show Figures

Graphical abstract

14 pages, 588 KB  
Article
Semi-Automated Plaque Assessment in Cardiac CT: Prognostic Value in Long-Term Follow-Up of Intermediate Stenosis
by Laura Zajančkauskienė, Kristina Balnė, Eglė Montrimavičienė, Antanas Jankauskas and Gintarė Šakalytė
Diagnostics 2026, 16(4), 600; https://doi.org/10.3390/diagnostics16040600 - 18 Feb 2026
Viewed by 164
Abstract
Background/Objectives: Intermediate coronary artery stenosis is difficult to risk-stratify, as stenosis severity alone often fails to predict events. This study aimed to evaluate whether quantitative CCTA-derived plaque characteristics and lesion morphology are associated with MACE during long-term follow-up. Methods: In this [...] Read more.
Background/Objectives: Intermediate coronary artery stenosis is difficult to risk-stratify, as stenosis severity alone often fails to predict events. This study aimed to evaluate whether quantitative CCTA-derived plaque characteristics and lesion morphology are associated with MACE during long-term follow-up. Methods: In this single-center prospective study, 128 patients with stable angina symptoms underwent standardized CCTA and were diagnosed with at least one intermediate coronary stenosis (50–69%, CAD-RADS 3). Quantitative parameters of lesion morphology, lumen geometry, vessel wall dimensions, and plaque composition were assessed using semi-automated CCTA adapted plaque analysis (QAngio CT). Patients were followed for a median of 72 months. MACE was defined as a composite outcome of all-cause mortality, target lesion revascularization, non-fatal MI, and stroke. Results: During follow-up, 26.6% of patients experienced MACE. High-risk plaque features were more frequent in patients with MACE. Lesions associated with MACE demonstrated significantly smaller lumen area, reduced mean lumen diameter, and decreased vessel wall area at the obstruction site. In addition, plaques leading to adverse events exhibited larger necrotic core areas. Although no single quantitative parameter independently predicted MACE, a combined multivariable model incorporating lumen geometry and plaque composition showed significant prognostic value. Conclusions: In patients with intermediate coronary stenosis, lesion-specific quantitative CCTA parameters—particularly luminal geometry and necrotic core extent—provide prognostic information beyond traditional plaque burden and stenosis assessment. Incorporating detailed plaque morphology into routine CCTA evaluation may improve long-term risk stratification and support more individualized clinical management. Full article
(This article belongs to the Special Issue Insights into Imaging Diagnosis of Heart Disease)
Show Figures

Figure 1

20 pages, 3959 KB  
Article
Multifunctional Response Mechanisms of PCM-Modified Mortar: Linking Particle Size Distribution to Hydration Process, Thermal Conductivity, and Strength Evolution
by Yifang Ma, Lei Jin, Shuaipeng Wei, Ling Wang, Xuyang Zang, Junfei Zhang and Lei Zhang
Buildings 2026, 16(4), 803; https://doi.org/10.3390/buildings16040803 - 15 Feb 2026
Viewed by 214
Abstract
Microencapsulated phase change materials (MPCMs) offer a promising way to enhance the thermal performance of cement-based materials; however, their incorporation often compromises mechanical properties and durability, limiting practical application. A mechanistic understanding of how MPCM particle size governs the coupled thermal, mechanical, and [...] Read more.
Microencapsulated phase change materials (MPCMs) offer a promising way to enhance the thermal performance of cement-based materials; however, their incorporation often compromises mechanical properties and durability, limiting practical application. A mechanistic understanding of how MPCM particle size governs the coupled thermal, mechanical, and transport behavior of cementitious systems remains incomplete. In this paper, two organic MPCMs with identical core–shell chemistry but distinct particle sizes (mean diameters of 10.78 μm and 34.21 μm) were incorporated into mortar at dosages of 10 wt.% and 20 wt.% under w/b ratios of 0.35 and 0.45. The effects of MPCM particle size and content on hydration kinetics, rheology, strength development, pore transport behavior, and thermal conductivity were systematically investigated using isothermal calorimetry, flow spread testing, compressive strength measurements, capillary water absorption, thermal conductivity analysis, X-ray diffraction, and SEM–EDS characterization. Results show that MPCM incorporation delays early-age hydration and reduces peak hydration rates, with finer particles exerting a stronger inhibitory effect due to increased specific surface area and water adsorption. While all MPCM-modified mortars exhibit reduced compressive strength and increased capillary absorption, larger MPCM particles mitigate strength loss by limiting the total interfacial transition zone (ITZ) area and reducing ITZ connectivity. In contrast, smaller MPCM particles more effectively decrease thermal conductivity, achieving up to a 33% reduction, owing to enhanced interfacial thermal resistance. Microstructural observations confirm that MPCMs do not alter cement hydration products but influence performance through interfacial defects, porosity evolution, and particle-scale interactions. These findings demonstrate that MPCM particle size critically controls the trade-off between thermal regulation and structural integrity, providing quantitative guidance for designing PCM-modified concrete through optimizing particle-size. Full article
(This article belongs to the Section Building Materials, and Repair & Renovation)
Show Figures

Figure 1

34 pages, 18426 KB  
Article
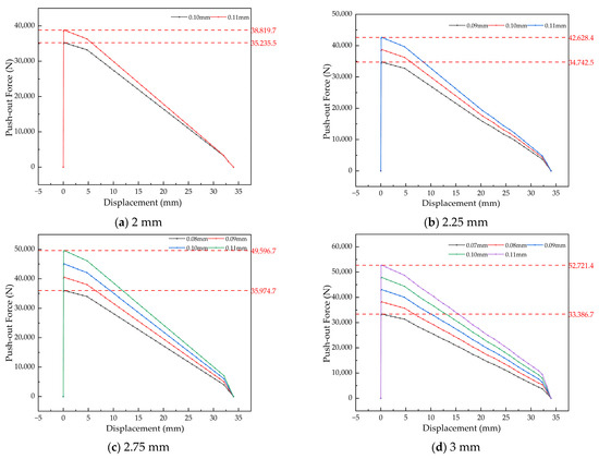
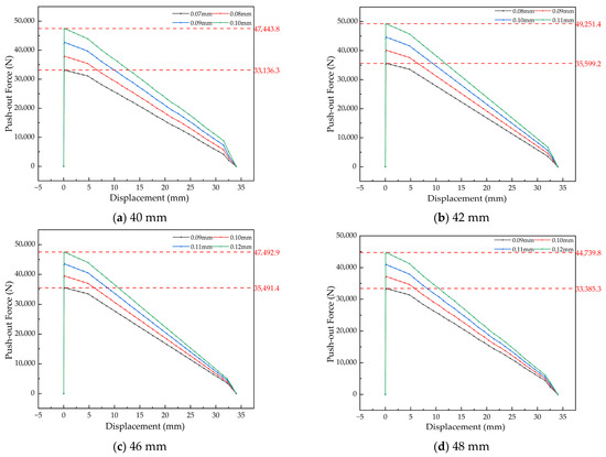
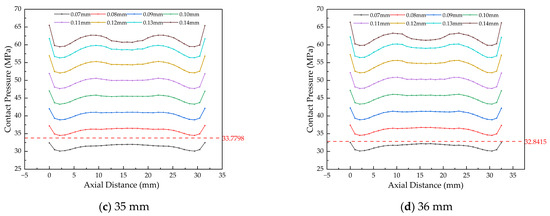
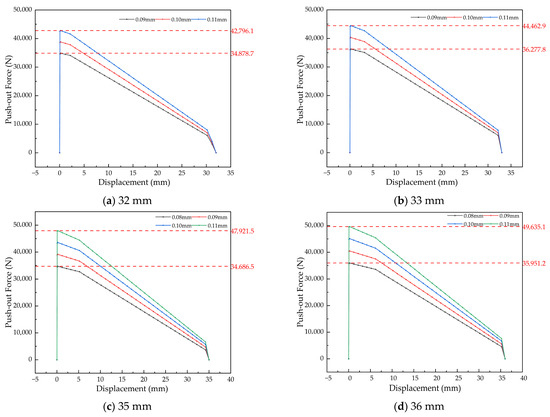
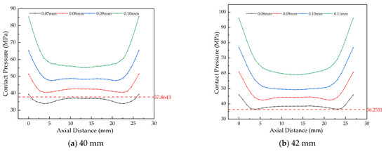
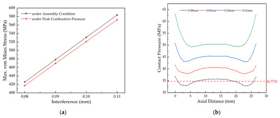
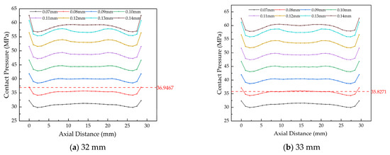
The Influence of Structural Design Parameters on the Retention Force and Interference-Fit Reliability of Connecting Rod Bushings
by Ting Li, Chao Jiang, Siyuan Gong, Tao Song and Yi Zhang
Appl. Sci. 2026, 16(4), 1843; https://doi.org/10.3390/app16041843 - 12 Feb 2026
Viewed by 139
Abstract
Connecting rod bushing loosening in diesel engines is a critical failure mode that causes accelerated wear and potential catastrophic damage. This study systematically examines the effects of key structural parameters—inner diameter, wall thickness, and width—on the retention force of interference fits. Employing theoretical [...] Read more.
Connecting rod bushing loosening in diesel engines is a critical failure mode that causes accelerated wear and potential catastrophic damage. This study systematically examines the effects of key structural parameters—inner diameter, wall thickness, and width—on the retention force of interference fits. Employing theoretical analysis and finite element simulation (assuming a dry friction coefficient μ = 0.2 for steel–bronze), this work predicts an optimal interference range of 0.08–0.11 mm, corresponding to a theoretical retention force of 33.61–46.25 kN. A limited experiment validated the model at lower interference levels, but the proposed range remains a model-derived prediction awaiting extensive verification. Simulation-based parametric analysis quantified the influence of each factor: retention force decreases by ~2 kN per 2 mm increase in inner diameter, increases by ~3 kN per 0.25 mm increase in wall thickness (the most significant parameter), and increases by 1.3 kN per 1 mm increase in width. These findings establish a predictive, simulation-driven design framework for guiding bushing design and assembly control in heavy-duty applications, with the explicit understanding that its core outputs are model-predicted and require experimental confirmation. Full article
(This article belongs to the Special Issue Mechanical Engineering Reliability Optimization Design)
Show Figures

Figure 1

27 pages, 9021 KB  
Article
Experimental Investigation of Hot Drilling and Their Effect on the Damage Mechanisms in CFRP Nanocomposites
by S. M. Shahabaz, Niranjan N Prabhu, Tanzila Nargis, Krishna Kumar P and Nagaraja Shetty
Sci 2026, 8(2), 38; https://doi.org/10.3390/sci8020038 - 9 Feb 2026
Viewed by 254
Abstract
Carbon fiber-reinforced polymer (CFRP) composites modified with alumina (Al2O3) and silicon carbide (SiC) nanoparticles were developed to produce hybrid nanocomposites with improved mechanical and thermal characteristics. This study investigates the hot drilling behavior of unidirectional CFRP and hybrid nanocomposites [...] Read more.
Carbon fiber-reinforced polymer (CFRP) composites modified with alumina (Al2O3) and silicon carbide (SiC) nanoparticles were developed to produce hybrid nanocomposites with improved mechanical and thermal characteristics. This study investigates the hot drilling behavior of unidirectional CFRP and hybrid nanocomposites by examining the effects of spindle speed, feed rate, drill diameter, and drill geometry (step, core, and twist). Response Surface Methodology (RSM) and Analysis of Variance (ANOVA) were used to identify the most influential parameters governing drilling-induced damage. ANOVA results revealed that drill geometry was the most dominant factor, contributing more than 89% to delamination, burr formation, and surface roughness, followed by drill diameter with over 7% contribution. For temperature rise, drill geometry accounted for more than 50% of the total variation, while drill diameter contributed over 17%. Among the tools evaluated, the step drill produced the minimum drilling-induced damage, followed by the twist drill. In terms of material performance, the Al2O3-reinforced hybrid nanocomposite exhibited superior drilling behavior compared to the SiC-reinforced and neat CFRP laminates. Overall, the results demonstrate that drilling-induced damage under hot drilling conditions can be effectively minimized through appropriate selection of tool geometry and process parameters, confirming the suitability of hot drilling for machining aerospace-grade CFRP hybrid nanocomposites. Full article
Show Figures

Figure 1

19 pages, 7669 KB  
Article
Experimental Evaluation of Different Optical Fibers for Micro-Invasive Soft-Tissue Ablation with a 1064 nm Diode Laser System
by Danny Di Minno, Cosimo Trono, Lorenzo Capineri, Alessia Blundo and Giovanni Masotti
Sensors 2026, 26(3), 1073; https://doi.org/10.3390/s26031073 - 6 Feb 2026
Viewed by 279
Abstract
This study presents an experimental evaluation of different optical fibers for soft-tissue laser ablation using an Echolaser system, developed by Elesta S.p.A., for minimally invasive therapies. Eight fibers with varying core diameters, numerical apertures, and tip geometries (flat, conical radial, and spherical) were [...] Read more.
This study presents an experimental evaluation of different optical fibers for soft-tissue laser ablation using an Echolaser system, developed by Elesta S.p.A., for minimally invasive therapies. Eight fibers with varying core diameters, numerical apertures, and tip geometries (flat, conical radial, and spherical) were compared to investigate the influence of optical properties on the ablation dimensions and thermal profiles. The experiments were conducted at 1064 nm with powers of 3, 5, and 7 W and delivered energies ranging from 1200 to 3600 J. The results highlight how the fiber characteristics affect tissue ablation, identifying the configurations suitable for minimally invasive prostate applications. These findings provide an experimental reference for the development of laser-based biomedical approaches. Full article
Show Figures

Figure 1

19 pages, 6327 KB  
Article
Finite Element Analysis of the Connection Between Prefabricated Large-Diameter Steel-Reinforced Concrete Hollow Tubular Columns and Foundations
by Bailing Chen, Zifan Bai, Yu He, Lianguang Wang and Chuang Shao
Appl. Sci. 2026, 16(3), 1651; https://doi.org/10.3390/app16031651 - 6 Feb 2026
Viewed by 189
Abstract
The extensive use of prefabricated large-diameter steel-reinforced concrete (SRC) hollow tubular columns in major infrastructure projects creates a critical demand for efficient and reliable column-to-foundation connections with satisfactory seismic performance. To address this, three novel prefabricated connection details are proposed herein. A refined [...] Read more.
The extensive use of prefabricated large-diameter steel-reinforced concrete (SRC) hollow tubular columns in major infrastructure projects creates a critical demand for efficient and reliable column-to-foundation connections with satisfactory seismic performance. To address this, three novel prefabricated connection details are proposed herein. A refined three-dimensional nonlinear finite element model was developed using ABAQUS to assess their mechanical behavior under quasi-static cyclic loading. The model was established based on widely accepted constitutive models, contact algorithms, and loading protocols consistent with relevant codes and international research. The results demonstrate that the proposed prefabricated connections significantly outperform conventional cast-in-place connections in terms of ultimate bearing capacity, with an increase of approximately 79%. A comprehensive parametric analysis was conducted, identifying an optimal design configuration comprising a socket depth of 600 mm, six embedded steel sections, an axial compression ratio of 0.1, and a hollow core radius of 600 mm, which achieves an optimal balance between mechanical performance and cost-effectiveness. These findings provide a reliable theoretical basis and practical guidance for designing and implementing high-performance prefabricated connections in engineering practice. Full article
(This article belongs to the Topic Advances on Structural Engineering, 3rd Edition)
Show Figures

Figure 1

15 pages, 5291 KB  
Article
Research on Transport AC Loss Characteristics of Bent Conductor on Round Core Cable
by Yuxuan Chen, Zhixing Yang, Shijie Zhai, Wenxin Huang, Yufei Ouyang, Xuanqi Zhong and Jie Sheng
Energies 2026, 19(3), 841; https://doi.org/10.3390/en19030841 - 5 Feb 2026
Viewed by 217
Abstract
High-temperature superconducting (HTS) conductor on round core (CORC) cables possess the combined features of high current-carrying capacity, strong mechanical properties, and excellent isotropic flexibility. The current relative research on the electromagnetic properties of straight CORC cables has been exceedingly mature. In high-field magnets, [...] Read more.
High-temperature superconducting (HTS) conductor on round core (CORC) cables possess the combined features of high current-carrying capacity, strong mechanical properties, and excellent isotropic flexibility. The current relative research on the electromagnetic properties of straight CORC cables has been exceedingly mature. In high-field magnets, CORC cables are typically bent into coils to meet the compactness requirement. Evaluating the bending characteristics of CORC cables, particularly their post-bending electromagnetic properties, holds great scientific significance. In this paper, CORC cables with different sizes of central formers were fabricated to explore the impacts of the bending process and strain on their transport AC loss characteristics. A mapping method was proposed to couple mechanical and electromagnetic models. Results show that the cable sample with a 4 mm outer diameter of the central former exhibits a superior bending characteristic. The bending process on the transport AC loss of CORC cable lies in the redistribution of the magnetic field, while strain mainly affects AC loss by leading to local critical current (Ic) degradation. CORC cables with small bending diameters require electromagnetic–mechanical-coupling simulation to predict their electromagnetic characteristics accurately. Conclusions drawn from this paper will provide invaluable guidance for the fabrication of bent CORC cables. Full article
Show Figures

Figure 1

19 pages, 7088 KB  
Article
Integrating Transcriptomics and Metabolomics to Elucidate the Molecular Mechanisms Underlying Beef Quality Variations
by Fengying Ma, Le Zhou, Yanchun Bao, Lili Guo, Jiaxin Sun, Shuai Li, Lin Zhu, Risu Na, Caixia Shi, Mingjuan Gu and Wenguang Zhang
Foods 2026, 15(3), 561; https://doi.org/10.3390/foods15030561 - 5 Feb 2026
Viewed by 270
Abstract
Elucidating the molecular mechanisms underlying beef quality differences is crucial for precision breeding of high-quality cattle. In this study, we first characterized the myofibrillar morphology of high-quality (H group) and low-quality (L group) beef samples using hematoxylin–eosin (HE) staining. Transcriptomic and metabolomic analyses [...] Read more.
Elucidating the molecular mechanisms underlying beef quality differences is crucial for precision breeding of high-quality cattle. In this study, we first characterized the myofibrillar morphology of high-quality (H group) and low-quality (L group) beef samples using hematoxylin–eosin (HE) staining. Transcriptomic and metabolomic analyses were then conducted to reveal the molecular regulatory basis of quality variation. HE staining revealed highly significant differences in muscle fiber area and diameter between H and L groups (p < 0.01), along with significant differences in muscle fiber density (p < 0.05), but no significant differences in muscle fiber perimeter. Furthermore, by focusing on five core metabolic pathways shared across the transcriptome and metabolome datasets, 30 differentially expressed genes (DEGs) and 14 differentially accumulated metabolites (DAMs) were identified. Pearson correlation analysis revealed synergistic regulation between DEGs and DAMs: AMPD2 modulates umami flavor by regulating inosine accumulation via the purine metabolism pathway; ACOX3 promotes unsaturated fatty acid synthesis and intramuscular fat deposition through carbohydrate metabolism; genes in the glycolysis/gluconeogenesis pathway maintain post-slaughter muscle pH homeostasis, thereby influencing beef tenderness. Collectively, this study integrates morphological and molecular evidence to elucidate the multi-level basis of beef quality formation, providing key candidate genes, metabolites, and pathways for molecular breeding. These findings offer comprehensive theoretical and technical support for the sustainable development of the premium beef industry. Full article
(This article belongs to the Section Meat)
Show Figures

Figure 1

Back to TopTop