Sign in to use this feature.

Years

Between: -

Subjects

remove_circle_outline
remove_circle_outline
remove_circle_outline
remove_circle_outline
remove_circle_outline
remove_circle_outline
remove_circle_outline
remove_circle_outline
remove_circle_outline

Journals

remove_circle_outline
remove_circle_outline
remove_circle_outline
remove_circle_outline
remove_circle_outline
remove_circle_outline
remove_circle_outline
remove_circle_outline
remove_circle_outline
remove_circle_outline
remove_circle_outline
remove_circle_outline
remove_circle_outline
remove_circle_outline

Article Types

Countries / Regions

remove_circle_outline
remove_circle_outline
remove_circle_outline
remove_circle_outline
remove_circle_outline
remove_circle_outline
remove_circle_outline
remove_circle_outline

Search Results (1,430)

Search Parameters:
Keywords = coordination bond

Order results
Result details
Results per page
Select all
Export citation of selected articles as:
31 pages, 8851 KB  
Article
Design, Manufacturing and Experimental Validation of an Integrated Wing Ice Protection System in a Hybrid Laminar Flow Control Leading Edge Demonstrator
by Ionut Brinza, Teodor Lucian Grigorie and Grigore Cican
Appl. Sci. 2026, 16(3), 1347; https://doi.org/10.3390/app16031347 (registering DOI) - 28 Jan 2026
Abstract
This paper presents the design, manufacturing, instrumentation and validation by tests (ground and icing wind tunnel) of a full-scale Hybrid Laminar Flow Control (HLFC) leading-edge demonstrator based on Airbus A330 outer wing plan-form. The Ground-Based Demonstrator (GBD) was developed to reproduce a full-scale, [...] Read more.
This paper presents the design, manufacturing, instrumentation and validation by tests (ground and icing wind tunnel) of a full-scale Hybrid Laminar Flow Control (HLFC) leading-edge demonstrator based on Airbus A330 outer wing plan-form. The Ground-Based Demonstrator (GBD) was developed to reproduce a full-scale, realistic wing section integrating into the leading-edge three key systems: micro-perforated skin for the hybrid laminar flow control suction system (HLFC), the hot-air Wing Ice Protection System (WIPS) and a folding “bull nose” Krueger high-lift device. The demonstrator combines a superplastic-formed and diffusion-bonded (SPF/DB) perforated titanium skin mounted on aluminum ribs jointed with a carbon-fiber-reinforced polymer (CFRP) wing box. Titanium internal ducts were designed to ensure uniform hot-air distribution and structural compatibility with composite components. Manufacturing employed advanced aeronautical processes and precision assembly under INCAS coordination. Ground tests were performed using a dedicated hot-air and vacuum rig delivering up to 200 °C and 1.6 bar, thermocouples and pressure sensors. The results confirmed uniform heating (±2 °C deviation) and stable operation of the WIPS without structural distortion. Relevant tests were performed in the CIRA Icing Wind Tunnel facility, verifying the anti-ice protection system and Krueger device. The successful design, fabrication, testing and validation of this multifunctional leading edge—featuring integrated HLFC, WIPS and Krueger systems—demonstrates the readiness of the concept for subsequent aerodynamic testing. Full article
20 pages, 1853 KB  
Article
Pharmaceutical Binary and Ternary Complexes of Gemcitabine with Aluminum Metal–Organic Framework: Mechano-Chemical Encapsulation, Delayed Drug Release, and Toxicity to Pancreatic Cells
by Kamala Panthi, Sheriff Umar, James Wachira and Alexander Samokhvalov
Pharmaceutics 2026, 18(2), 170; https://doi.org/10.3390/pharmaceutics18020170 - 28 Jan 2026
Abstract
Background: gemcitabine is a cytidine analog and major anticancer drug functioning as an antimetabolite. However, its administration by systemic route is accompanied by “burst” and side effects. To limit this, drugs are encapsulated in matrices; metal–organic frameworks (MOFs) are coordination polymers with strong [...] Read more.
Background: gemcitabine is a cytidine analog and major anticancer drug functioning as an antimetabolite. However, its administration by systemic route is accompanied by “burst” and side effects. To limit this, drugs are encapsulated in matrices; metal–organic frameworks (MOFs) are coordination polymers with strong potential for drug encapsulation and delayed release. Methods: mechano-chemical synthesis of solid-state binary complex lag(CYCU-3)(Gem) is described from aluminum MOF (Al-MOF) CYCU-3 and gemcitabine free base (Gem). Synthesis is conducted by liquid-assisted grinding (LAG) with dimethyl sulfoxide (DMSO) followed by its outgassing. The alternative “dry” synthesis results in dry(CYCU-3)(Gem). Materials were characterized by FTIR spectroscopy and XRD, and delayed Gem release was tested to phosphate buffered saline (PBS) at 37 °C. The in vitro toxicity to pancreatic cancer PANC−1 and healthy cells hTERT−HPNE E6/E7/K−RasG12D was assessed by fluorometric assay. Results: in lag(CYCU-3)(Gem) interactions MOF-drug are via non-covalent bonds at O-H and COO groups of CYCU-3 as found by FTIR marker peak shifts and crystal structure is retained, while dry(CYCU-3)(Gem) shows significant amorphization and loss of functional groups. The lag(CYCU-3)(Gem) but not dry(CYCU-3)(Gem) shows delayed Gem release for 6000 min. The suppression of PANC−1 cells by lag(CYCU-3)(Gem) is time-dependent and it correlates with delayed Gem release. For the first time, a concept of ternary stoichiometric complex lag(CYCU-3)1(Gem)1(CIT)2 is tested that also contains natural organic compound citronellol (CIT), and its structure, bonding and release of Gem are compared to those of binary complex. Bonding is at the O-H groups of CYCU-3 and this complex shows delayed Gem release. Conclusions: binary and ternary complexes of Gem with CYCU-3 yield delayed release and cytotoxicity. LAG is promising for synthesis of solid-state complexes of gemcitabine for delayed release and time-dependent suppression of cancer cells. Full article
(This article belongs to the Section Drug Delivery and Controlled Release)
Show Figures

Figure 1

15 pages, 1612 KB  
Review
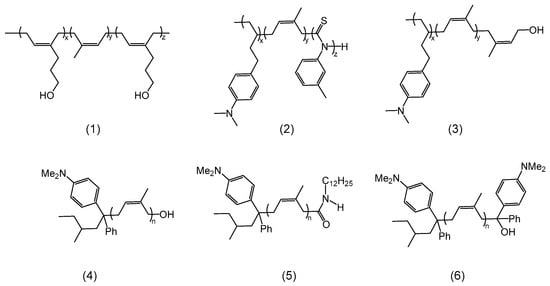
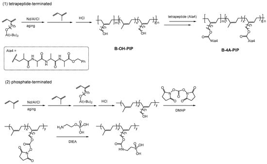
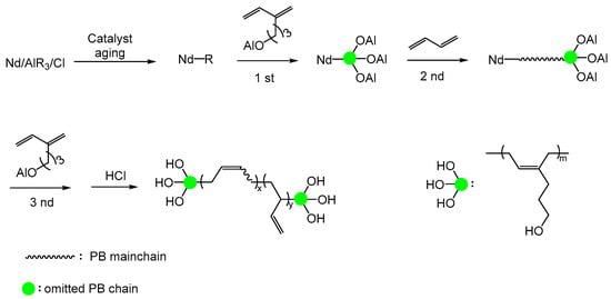
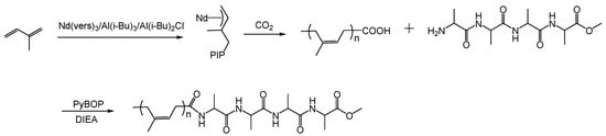
End-Functionalization in Coordination Chain Transfer Polymerization of Conjugated Dienes
by Lijia Liu, Wenpeng Zhao, Feng Wang, Xuequan Zhang and Heng Liu
Catalysts 2026, 16(2), 121; https://doi.org/10.3390/catal16020121 - 27 Jan 2026
Abstract
Coordination chain transfer polymerization (CCTP) has emerged as an efficient and controllable polymerization strategy that also allows for efficient in situ end-functionalization of polydienes through the highly reactive metal–carbon bonds that are generated during the CCTP process. Despite substantial progress in CCTP chemistry, [...] Read more.
Coordination chain transfer polymerization (CCTP) has emerged as an efficient and controllable polymerization strategy that also allows for efficient in situ end-functionalization of polydienes through the highly reactive metal–carbon bonds that are generated during the CCTP process. Despite substantial progress in CCTP chemistry, reviews focusing specifically on its application to diene monomers—and particularly on its effectiveness in producing end-functionalized polydiene elastomers—remain scarce. To address this gap, this review summarizes the advances achieved over the past decade in the end-functionalization of polydienes via CCTP. We begin with a brief overview of the fundamental principles and core mechanisms of CCTP, followed by a systematic discussion of functionalization strategies for key diene monomers, including isoprene and butadiene. Finally, we highlight the existing challenges in this field and provide our perspectives on future research directions. Full article
(This article belongs to the Special Issue Feature Review Papers on Catalysis in Organic and Polymer Chemistry)
Show Figures

Figure 1

14 pages, 1616 KB  
Article
A Novel Polyacrylamide/Sodium Alginate/Polypyrrole Composite Hydrogel for Fabricating Flexible Sensors for Wearable Health Monitoring
by Yan Gao, Hongyi Wan, Guoxiang Wang and Yawen Zhu
Gels 2026, 12(2), 99; https://doi.org/10.3390/gels12020099 - 24 Jan 2026
Viewed by 95
Abstract
Conductive hydrogels that simultaneously exhibit high mechanical robustness, reliable electrical conductivity, and interfacial adhesion are highly desirable for flexible sensing applications; however, achieving these properties in a single system remains challenging due to intrinsic structure–property trade-offs. Herein, a multifunctional conductive hydrogel (ASP hydrogel) [...] Read more.
Conductive hydrogels that simultaneously exhibit high mechanical robustness, reliable electrical conductivity, and interfacial adhesion are highly desirable for flexible sensing applications; however, achieving these properties in a single system remains challenging due to intrinsic structure–property trade-offs. Herein, a multifunctional conductive hydrogel (ASP hydrogel) is developed based on a polyacrylamide (PAM)/sodium alginate (SA) double-network architecture using a gallic acid (GA)–Fe3+–pyrrole (Py) coupling strategy. In this design, GA provides metal-coordination sites for Fe3+, while Fe3+ simultaneously serves as an oxidant to trigger the in situ polymerization of pyrrole, enabling the homogeneous integration of polypyrrole (PPy) conductive networks within the hydrogel matrix. The resulting ASP hydrogel exhibits a markedly enhanced fracture strength of 2.95 MPa compared with PAM (0.26 MPa) and PAM–SA (0.22 MPa) hydrogels, together with stable electrical conductivity and reproducible strain-dependent electrical responses. Moreover, the introduction of dynamic metal–phenolic coordination and hydrogen-bonding interactions endows the hydrogel with intrinsic self-healing capability and strong adhesion to diverse substrates. Rather than relying on simple filler incorporation, this work demonstrates an integrated network design that balances mechanical strength, conductivity, and adhesion, providing a versatile material platform for flexible strain sensors and wearable electronics. Full article
(This article belongs to the Section Gel Chemistry and Physics)
Show Figures

Figure 1

12 pages, 2588 KB  
Article
Low-Odor High-Density Fiberboard Enabled by Supramolecular Interactions in Wood Fibers
by Xia Yu, Zongying Fu, Bo Liu, Xiaoxuan Guo, Yun Lu and Lihong Yao
Polymers 2026, 18(2), 297; https://doi.org/10.3390/polym18020297 - 22 Jan 2026
Viewed by 75
Abstract
The development of sustainable wood-based composites has driven increasing interest in formaldehyde-free, low-odor, and recyclable bonding systems. However, achieving high mechanical performance and dimensional stability in high-density fiberboards (HDFs) without synthetic adhesives remains a challenge. Here, we report a two-step strategy combining oxidative [...] Read more.
The development of sustainable wood-based composites has driven increasing interest in formaldehyde-free, low-odor, and recyclable bonding systems. However, achieving high mechanical performance and dimensional stability in high-density fiberboards (HDFs) without synthetic adhesives remains a challenge. Here, we report a two-step strategy combining oxidative pretreatment of wood fibers with supramolecular assembly of tannic acid (TA) and sodium ions (Na+) to fabricate low-odor, recyclable HDF. Oxidation generated abundant carboxyl groups on the fiber surface, enabling strong coordination and hydrogen-bonding interactions between TA and Na+, which constructed robust inter-fiber supramolecular networks without formaldehyde-based adhesives. The resulting HDF exhibited excellent mechanical properties, with an internal bond strength of 3.1 MPa, a modulus of rupture of 49 MPa, and 24 h water thickness swelling of only 12%. Odor and VOC analysis revealed only trace benzene, demonstrating markedly low odor. Furthermore, the reversible nature of Na+-TA interactions allowed efficient fiber separation and recyclability under mild aqueous conditions. This oxidation-assisted supramolecular approach provides a sustainable route for producing high-performance, low-odor, and recyclable fiberboards, offering a viable alternative to conventional polymer-bonded wood composites. Full article
(This article belongs to the Section Polymer Chemistry)
Show Figures

Figure 1

15 pages, 1731 KB  
Article
Structural Identification and Antioxidant Activity of Pine Nut Peptide–Zinc Chelate Complex
by Kexin Yang, Xiaotong Zhang, Jiayu Zhang and Zhi Zhang
Foods 2026, 15(2), 359; https://doi.org/10.3390/foods15020359 - 19 Jan 2026
Viewed by 197
Abstract
To achieve the high-value utilization of pine nut resources, a novel zinc supplement was developed in this study. Pine nut protein was enzymatically hydrolyzed to prepare pine nut peptides (PP), which were subsequently chelated with zinc ions to form pine nut peptide–zinc chelate [...] Read more.
To achieve the high-value utilization of pine nut resources, a novel zinc supplement was developed in this study. Pine nut protein was enzymatically hydrolyzed to prepare pine nut peptides (PP), which were subsequently chelated with zinc ions to form pine nut peptide–zinc chelate (PZn). Under optimized conditions, the zinc chelation rate of PZn reached 60.18 ± 1.77%. Peptidomic analysis revealed that PZn is composed of a select group of peptides predominantly characterized by low molecular weight (80.65 ± 1.47% < 1 kDa) and enrichment in aspartic acid, glutamic acid, and cysteine, indicating a self-selective chelation process. Comprehensive characterization via multiple techniques confirmed that zinc ions coordinate with carboxyl, hydroxyl, and thiol groups on these peptides, leading to charge neutralization, disruption of hydrogen-bonding networks, and peptide aggregation. Furthermore, bioactivity prediction of the PZn-constituting peptides revealed high intrinsic antioxidant potential, which corroborated the experimental results, showing that PZn exhibited significantly enhanced radical scavenging capacity compared to PP. These findings demonstrate that PZn possesses excellent zinc-binding capability and antioxidant activity, suggesting its potential as a novel zinc supplement, with its efficacy rooted in its specific molecular composition. Full article
Show Figures

Figure 1

11 pages, 4960 KB  
Article
Halogen as Template to Modulate the Structures of the Nanocage-Based Silver(I)-Thiolate Coordination Polymers
by Chunhong Tan, Li Tang, Jiajia Tan, Jinrong Zhang, Juan Zhou, Linmao Yin and Xiao-Feng Wang
Molecules 2026, 31(2), 331; https://doi.org/10.3390/molecules31020331 - 19 Jan 2026
Viewed by 124
Abstract
By the reaction of AgNO3, 2-methyl-2-propanethiol (HStBu), with various-sized halogen ions as templates, three multi-nuclear silver-thiolate cluster-based chain-like coordination polymers, [Ag6(μ-SBu)6]n (USC-CP-2), [Ag6(μ-StBu)5 [...] Read more.
By the reaction of AgNO3, 2-methyl-2-propanethiol (HStBu), with various-sized halogen ions as templates, three multi-nuclear silver-thiolate cluster-based chain-like coordination polymers, [Ag6(μ-SBu)6]n (USC-CP-2), [Ag6(μ-StBu)5Br]n (USC-CP-4) and [Ag14(μ-StBu)12I2]n (USC-CP-3) constructed by different Ag(I)-nanocages, have been synthesized and characterized by X-ray diffraction analyses. With F, Cl or without template, USC-CP-2 exhibits a one-dimensional structure composed of detached Ag6-cages, absent of fluoride or chloridion. While with Br and I, USC-CP-4 and USC-CP-3, two distinct halogen-templating multi-sliver cages-based chain-like polymeric structures have been observed, which are a mono-Br encapsulated Ag8-cage, or a dual-I embedded Ag16-cage, respectively. In these three compounds, the multi-Ag(I) cages were self-assembled by Ag-S bonds through bridged μ2-StBu ligands, and stabilized argentophilic interactions between neighboring silver atoms. This study demonstrates that the halide anions of varying sizes play a critical role in inducing the nucleation and structural evolution of the silver-thiolate clusters. Full article
(This article belongs to the Section Inorganic Chemistry)
Show Figures

Figure 1

28 pages, 8828 KB  
Article
Oil-Water Biphasic Metal-Organic Supramolecular Gel for Lost Circulation Control: Formulation Optimization, Gelation Mechanism, and Plugging Performance
by Qingwang Li, Songlei Li, Ye Zhang, Chaogang Chen, Xiaochuan Wu, Menglai Li, Shubiao Pan and Junfei Peng
Gels 2026, 12(1), 74; https://doi.org/10.3390/gels12010074 - 15 Jan 2026
Viewed by 162
Abstract
Lost circulation in oil-based drilling fluids (OBDFs) remains difficult to mitigate because particulate lost circulation materials depend on bridging/packing and gel systems for aqueous media often lack OBDF compatibility and controllable in situ sealing. A dual-precursor oil–water biphasic metal–organic supramolecular gel enables rapid [...] Read more.
Lost circulation in oil-based drilling fluids (OBDFs) remains difficult to mitigate because particulate lost circulation materials depend on bridging/packing and gel systems for aqueous media often lack OBDF compatibility and controllable in situ sealing. A dual-precursor oil–water biphasic metal–organic supramolecular gel enables rapid in situ sealing in OBDF loss zones. The optimized formulation uses an oil-phase to aqueous gelling-solution volume ratio of 10:3, with 2.0 wt% Span 85, 12.5 wt% TXP-4, and 5.0 wt% NaAlO2. Apparent-viscosity measurements and ATR–FTIR analysis were used to evaluate the effects of temperature, time, pH, and shear on MOSG gelation. Furthermore, the structural characteristics and performances of MOSGs were systematically investigated by combining microstructural characterization, thermogravimetric analysis, rheological tests, simulated fracture-plugging experiments, and anti-shear evaluations. The results indicate that elevated temperatures (30–70 °C) and mildly alkaline conditions in the aqueous gelling solution (pH ≈ 8.10–8.30) promote P–O–Al coordination and strengthen hydrogen bonding, thereby facilitating the formation of a three-dimensional network. In contrast, strong shear disrupts the nascent network and delays gelation. The optimized MOSGs rapidly exhibit pronounced viscoelasticity and thermal resistance (~193 °C); under high shear (380 rpm), the viscosity retention exceeds 60% and the viscosity recovery exceeds 70%. In plugging tests, MOSG forms a dense sealing layer, achieving a pressure-bearing gradient of 2.27 MPa/m in simulated permeable formations and markedly improving the fracture pressure-bearing capacity in simulated fractured formations. Full article
(This article belongs to the Topic Advanced Technology for Oil and Nature Gas Exploration)
Show Figures

Figure 1

20 pages, 6825 KB  
Article
Metal Ion-Mediated Interfacial Coordination Complexation in Octyl Gallate-Curcumin Emulsions: Enhanced Stability and Curcumin Protection
by Tong Li, Yongting Feng, Rong Huang, Bin Li, Guoqiang Zhang and Hongshan Liang
Foods 2026, 15(2), 265; https://doi.org/10.3390/foods15020265 - 11 Jan 2026
Viewed by 324
Abstract
This study developed an efficient interfacial stabilization strategy, using metal ions (Cu2+) and octyl gallate (OG) to protect curcumin (Cur) via interfacial coordination. Macroscopic observation, droplet size, and Turbiscan stability index analysis demonstrated that the addition of Cu2+ to the [...] Read more.
This study developed an efficient interfacial stabilization strategy, using metal ions (Cu2+) and octyl gallate (OG) to protect curcumin (Cur) via interfacial coordination. Macroscopic observation, droplet size, and Turbiscan stability index analysis demonstrated that the addition of Cu2+ to the OG/Cur emulsion significantly influenced its emulsification efficiency and physical stability, which depended on both the OG concentration and the amount of Cu2+ added. Interfacial rheological analysis showed that Cu2+ addition significantly enhanced droplet interfacial strength, with distinct effects from different metal ions. FT-IR confirmed the coordination bonds of Cu2+ with both Cur (keto/enol) and OG (phenolic hydroxyl). Under appropriate concentrations of OG and Cu2+, the retention rate of curcumin in the emulsion was significantly improved under various processing conditions. After 100 min of UV exposure, the OG/Cur/Cu2+ system increased curcumin retention by 49.64% compared to Cu2+-free systems. The study presents a metal-phenolic coordination-based strategy for constructing stable functional emulsions with high curcumin protection. Full article
(This article belongs to the Section Food Physics and (Bio)Chemistry)
Show Figures

Figure 1

16 pages, 7510 KB  
Article
Determining the Optimal Heparin Binding Domain Distance in VEGF165 Using Umbrella Sampling Simulations for Optimal Dimeric Aptamer Design
by Jung Seok Lee, Yeon Ju Go and Young Min Rhee
Int. J. Mol. Sci. 2026, 27(2), 712; https://doi.org/10.3390/ijms27020712 - 10 Jan 2026
Viewed by 185
Abstract
Vascular endothelial growth factor 165 (VEGF165) stands out as a pivotal isoform of the VEGF-A protein and is critically involved in various angiogenesis-related diseases. Consequently, it has emerged as a promising target for diagnosing and treating such conditions. Structurally, VEGF165 [...] Read more.
Vascular endothelial growth factor 165 (VEGF165) stands out as a pivotal isoform of the VEGF-A protein and is critically involved in various angiogenesis-related diseases. Consequently, it has emerged as a promising target for diagnosing and treating such conditions. Structurally, VEGF165 forms a homodimer, and each of its constituting monomers comprises a receptor-binding domain (RBD) and a heparin-binding domain (HBD). These two domains are linked by a flexible linker, and thus the overall structure of VEGF165 remains incompletely understood. Aptamers are known as potent drugs that interact with VEGF165, and dimeric aptamers that can simultaneously interact with two distant domains are frequently adopted to improve the potency. However, designing such aptamer dimers faces challenges in regard to determining the appropriate length of the linker connecting the two aptamer fragments. To gain insight into this distance information, we here employ biased molecular dynamics (MD) simulations with the umbrella sampling method, with the distance between the two HBDs serving as a reaction coordinate. Our simulations reveal an overall preference for compact conformations with HBD-HBD distances below 3 nm, with the minimum of the potential of mean force located at 1.1 nm. We find that VEGF165 with the optimal HBD-HBD distance forms hydrogen bonds with its receptor VEGFR-2 that well match experimentally known key hydrogen bonds. We then try to computationally design aptamer homodimers consisting of two del5-1 aptamers connected by various linker lengths to target VEGF165. Collectively, our findings may provide quantitative guidelines for rationally designing high-affinity aptamers for targeting VEGF165. Full article
(This article belongs to the Special Issue Nucleic Acid Aptamers in Molecular Medicine)
Show Figures

Figure 1

30 pages, 1428 KB  
Review
Greening the Bond: A Narrative and Systematic Literature Review on Advancing Sustainable and Non-Toxic Adhesives for the Fiberboard Industry
by Prosper Mensah, Rafael Rodolfo de Melo, Alexandre Santos Pimenta, James Amponsah, Gladys Tuo, Fernando Rusch, Edgley Alves de Oliveira Paula, Humphrey Danso, Juliana de Moura, Márcia Ellen Chagas dos Santos Couto, Giorgio Mendes Ribeiro and Francisco Leonardo Gomes de Menezes
Adhesives 2026, 2(1), 2; https://doi.org/10.3390/adhesives2010002 - 8 Jan 2026
Viewed by 402
Abstract
The fiberboard industry remains heavily reliant on synthetic, formaldehyde-based adhesives, which, despite their cost-effectiveness and strong bonding performance, present significant environmental and human health concerns due to volatile organic compound (VOC) emissions. In response to growing sustainability imperatives and regulatory pressures, the development [...] Read more.
The fiberboard industry remains heavily reliant on synthetic, formaldehyde-based adhesives, which, despite their cost-effectiveness and strong bonding performance, present significant environmental and human health concerns due to volatile organic compound (VOC) emissions. In response to growing sustainability imperatives and regulatory pressures, the development of non-toxic, renewable, and high-performance bio-based adhesives has emerged as a critical research frontier. This review, conducted through both narrative and systematic approaches, synthesizes current advances in green adhesive technologies with emphasis on lignin, tannin, starch, protein, and hybrid formulations, alongside innovative synthetic alternatives designed to eliminate formaldehyde. The Evidence for Policy and Practice Information and Coordinating Centre (EPPI) framework was applied to ensure a rigorous, transparent, and reproducible methodology, encompassing the identification of research questions, systematic searching, keywording, mapping, data extraction, and in-depth analysis. Results reveal that while bio-based adhesives are increasingly capable of approaching or matching the mechanical strength and durability of urea–formaldehyde adhesives, challenges persist in terms of water resistance, scalability, cost, and process compatibility. Hybrid systems and novel crosslinking strategies demonstrate particular promise in overcoming these limitations, paving the way toward industrial viability. The review also identifies critical research gaps, including the need for standardized testing protocols, techno-economic analysis, and life cycle assessment to ensure the sustainable implementation of these solutions. By integrating environmental, economic, and technological perspectives, this work highlights the transformative potential of green adhesives in transitioning the fiberboard sector toward a low-toxicity, carbon-conscious future. It provides a roadmap for research, policy, and industrial innovation. Full article
(This article belongs to the Special Issue Advances in Bio-Based Wood Adhesives)
Show Figures

Figure 1

29 pages, 5015 KB  
Article
Synthesis and Structural Characterization of Dinitrogen Chromium Complexes with Triamidoamine Ligands Possessing Bulky Substituents, and Nitrogen Fixation by These Complexes
by Takeru Kuribayashi, Yoshiaki Kokubo, Haruki Nagai, Tomoya Furui, Tomohiro Ozawa, Hideki Masuda and Yuji Kajita
Inorganics 2026, 14(1), 24; https://doi.org/10.3390/inorganics14010024 - 7 Jan 2026
Viewed by 237
Abstract
Chromium complexes with triamidoamine derivatives bearing bulky substituents at the terminal positions of the ligands, tris(2-(3-pentylamino)ethyl)amine (H3LPen) and tris(2-dicyclohexylmethylaminoethyl)amine (H3LCy), are prepared: [{Cr(LPen)}2(μ-N2)] (1), [...] Read more.
Chromium complexes with triamidoamine derivatives bearing bulky substituents at the terminal positions of the ligands, tris(2-(3-pentylamino)ethyl)amine (H3LPen) and tris(2-dicyclohexylmethylaminoethyl)amine (H3LCy), are prepared: [{Cr(LPen)}2(μ-N2)] (1), [{CrK(LPen)(μ-N2)(Et2O)}2] (2), [CrCl(LPen)] (3), [Cr(LCy)] (4), [CrK(LCy)(μ-N2)(18-crown-6)(THF)] (5(THF)), and [CrCl(LCy)] (6). The preparation of these complexes is confirmed by X-ray diffraction analysis. Complexes 1, 2, and 5(THF) have coordinated dinitrogen molecules, with N–N bond lengths of 1.185(3), 1.174(9), and 1.162(3) Å, respectively. These lengths are significantly elongated compared to that of a free dinitrogen molecule (1.10 Å), indicating that the N2 ligands are activated. The ν(14N–14N) values of 1, 2, and 5(THF) are 1715 cm−1 for 1 (Raman, in solution), 1787, 1743 cm−1 for 2 (IR, in solid), and 1824 cm−1 for 5(THF) (IR, in solid), respectively. These values are markedly smaller than free nitrogen (2331 cm−1), confirming that the dinitrogen is interacting with the metal ions and is activated. The structures of 2 and 5(THF) in solution are also studied by 1H NMR and solution IR spectroscopies. 1H NMR spectra of these complexes reveal that the peaks of 2 and 5(THF) are observed in the diamagnetic region, whereas those for the other complexes (1, 3, 4, and 6) exhibit paramagnetic shifts. The reactions of these complexes with K[C10H8] and HOTf under N2 in THF yield hydrazine and a small amount of ammonia; however, they are not catalytic. The 1H NMR and IR spectra of the products obtained by reacting 1 or 3 with reductant K in THF under N2 atmosphere indicate that 2 is formed based on spectral agreement. Similarly, upon examining for 4 or 6, it is confirmed that a species similar to 5(THF) is generated. Full article
(This article belongs to the Special Issue State-of-the-Art Inorganic Chemistry in Japan)
Show Figures

Figure 1

30 pages, 3551 KB  
Article
Research on Bayesian Hierarchical Spatio-Temporal Model for Pricing Bias of Green Bonds
by Yiran Liu and Hanshen Li
Sustainability 2026, 18(1), 455; https://doi.org/10.3390/su18010455 - 2 Jan 2026
Viewed by 262
Abstract
Driven by carbon neutrality policies, the cumulative issuance volume of the global green bond market has surpassed $2.5 trillion over the past five years, with China, as the second largest issuer, accounting for 15%. However, there exists a yield difference of up to [...] Read more.
Driven by carbon neutrality policies, the cumulative issuance volume of the global green bond market has surpassed $2.5 trillion over the past five years, with China, as the second largest issuer, accounting for 15%. However, there exists a yield difference of up to 0.8% for bonds with the same credit rating across different policy regions, and the premium level fluctuates dramatically with market cycles, severely restricting the efficiency of green resource allocation. This study innovatively constructs a Bayesian hierarchical spatiotemporal model framework to systematically analyze pricing deviations through a three-level data structure: the base level quantifies the impact of bond micro-characteristics (third-party certification reduces financing costs by 0.15%), the temporal level captures market dynamics using autoregressive processes (premium volatility increases by 50% during economic recessions), and the spatial level reveals policy regional dependencies using conditional autoregressive models (carbon trading pilot provinces and cities form premium sinkholes). The core breakthroughs are: 1. Designing spatiotemporal interaction terms to explicitly model the policy diffusion process, with empirical evidence showing that the green finance reform pilot zone policy has a radiation radius of 200 km within three years, leading to a 0.10% increase in premiums in neighboring provinces; 2. Quantifying the posterior distribution of parameters using the Markov Chain Monte Carlo algorithm, demonstrating that the posterior mean of the policy effect in pilot provinces is −0.211%, with a half-life of 0.75 years, and the residual effect in non-pilot provinces is only −0.042%; 3. Establishing a hierarchical shrinkage prior mechanism, which reduces prediction error by 41% compared to traditional models in out-of-sample testing. Key findings include: the contribution of policy pilots is −0.192%, surpassing the effect of issuer credit ratings, and a 10 yuan/ton increase in carbon price can sustainably reduce premiums by 0.117%. In 2021, the “dual carbon” policy contributed 32% to premium changes through spatiotemporal interaction channels. The research results provide quantitative tools for issuers to optimize financing timing, investors to identify cross-regional arbitrage, and regulators to assess policy coordination, promoting the transformation of the green bond market from an efficiency priority to equitable allocation paradigm. Full article
Show Figures

Figure 1

22 pages, 938 KB  
Review
Topology Meets Reactivity: Rationalizing Electron Rearrangements in Cycloadditions Through Thom’s Polynomials and Bonding Evolution Theory
by Leandro Ayarde-Henríquez, Cristian J. Guerra, Hans Lenes, Elizabeth Rincón and Eduardo Chamorro
Reactions 2026, 7(1), 1; https://doi.org/10.3390/reactions7010001 - 1 Jan 2026
Viewed by 358
Abstract
This mini-review discusses recent advances in the rigorous application of Bonding Evolution Theory (BET) to elucidate electron rearrangements in cycloaddition reactions occurring in both ground and electronically excited states. Computational studies reveal that describing bond formation and cleavage through parametric polynomials derived from [...] Read more.
This mini-review discusses recent advances in the rigorous application of Bonding Evolution Theory (BET) to elucidate electron rearrangements in cycloaddition reactions occurring in both ground and electronically excited states. Computational studies reveal that describing bond formation and cleavage through parametric polynomials derived from the Catastrophe Theory (CT) provides a deeper and more coherent understanding of chemical bonding and reactivity. However, several existing BET applications have adopted CT concepts without fully incorporating the mathematical rigor on which BET is based, resulting in conceptual ambiguities and inaccurate interpretations. A proper implementation of BET requires evaluating the Hessian matrix at potentially degenerate critical points (CPs) of the Electron Localization Function (ELF) and assessing their relative evolution along the reaction coordinate. This systematic protocol integrates key CT principles within BET’s original framework, restoring its formal consistency. The resulting analyses have revealed correlations between electron-density symmetry and CT polynomials, relationships between these polynomials and the homolytic or heterolytic character of bond dissociation, and the development of a CT-based model for scaling bond polarity. These findings demonstrate that incorporating CT-derived functions into BET is not merely a formal refinement but a fundamental step toward achieving a more rigorous and predictive understanding of electron rearrangements in cycloadditions. Full article
Show Figures

Graphical abstract

25 pages, 1183 KB  
Review
Boron in Diet and Medicine: Mechanisms of Delivery and Detection
by Dorota Bartusik-Aebisher, Izabela Rudy, Kacper Rogóż, David Aebisher and Gabriela Henrykowska
Pharmaceuticals 2026, 19(1), 81; https://doi.org/10.3390/ph19010081 - 30 Dec 2025
Viewed by 532
Abstract
Boron is a trace element with multifaceted chemical and biological properties that underpin its emerging relevance in human health and medicinal chemistry. Although present in organisms at very low concentrations, boron participates in key physiological processes, including mineral metabolism, bone homeostasis, hormonal regulation, [...] Read more.
Boron is a trace element with multifaceted chemical and biological properties that underpin its emerging relevance in human health and medicinal chemistry. Although present in organisms at very low concentrations, boron participates in key physiological processes, including mineral metabolism, bone homeostasis, hormonal regulation, immune modulation, and redox balance. Its unique electronic structure—characterized by electron deficiency and the ability to form multi-center bonds—gives rise to diverse allotropic, cluster, and coordination chemistries, enabling the formation of biologically active complexes and therapeutic agents. Dietary boron, derived mainly from plant-based foods, is efficiently absorbed and predominantly excreted by the kidneys, showing a strong correlation between intake and urinary levels. Current evidence suggests beneficial effects of boron on bone mineral density, cognitive function, inflammation, antioxidant defenses, and metabolic regulation, although the precise molecular mechanisms remain partially understood. In medicinal chemistry, a broad spectrum of boron-containing compounds—including borates, boronic acids, boronated amino acids, carboranes, and metallacarboranes—has gained clinical and preclinical importance. These compounds serve as enzyme inhibitors, antimicrobial and anti-inflammatory agents, metabolic modulators, and critical boron carriers in boron neutron capture therapy (BNCT), which leverages the neutron-capture properties of 10B for targeted cancer treatment. Advances in synthesis, functionalization, and nanocarrier design have expanded the therapeutic potential of boron-based molecules. Ongoing research aims to optimize their selectivity, biodistribution, safety, and diagnostic integration. Overall, boron represents a versatile and rapidly developing component of modern biomedical science, with promising implications for oncology, infectious diseases, metabolic disorders, and precision medicine. Full article
Show Figures

Figure 1

Back to TopTop