Oil-Water Biphasic Metal-Organic Supramolecular Gel for Lost Circulation Control: Formulation Optimization, Gelation Mechanism, and Plugging Performance
Abstract
1. Introduction
2. Results and Discussion
2.1. Preparation and Single-Component Optimization of MOSG
2.1.1. Preparation and Field Deployment Methodology of MOSG
2.1.2. Emulsifier Concentration
2.1.3. Oil- to Aqueous-Phase Volume Ratio
2.1.4. Concentrations of Gelling Agent and Crosslinker
2.2. Analysis of Factors Influencing the Gelation Performance of MOSG
2.2.1. Effect of Reaction Time and Temperature
2.2.2. Effect of pH
2.2.3. Effect of Shearing Intensity
2.3. Physicochemical Characterization and Performance of MOSG
2.3.1. FTIR Analysis
2.3.2. Morphological Characterization
2.3.3. Thermal Stability of MOSG (TGA)
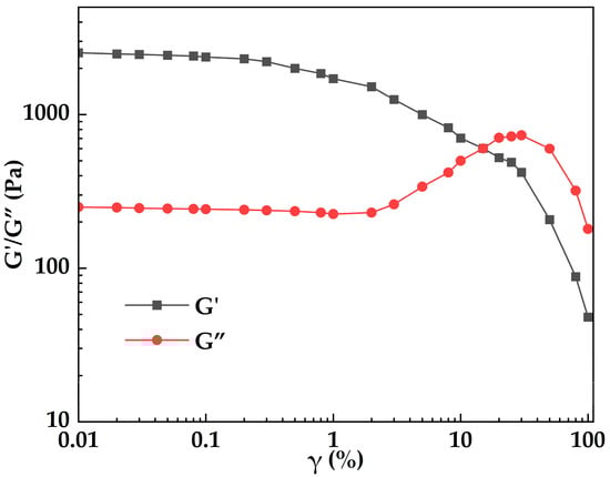
2.3.4. Rheological Behavior
2.3.5. Plugging Performance
- (1)
- Seepage-type Loss
- (2)
- Fracture-type Loss
2.3.6. Shear Resistance
3. Conclusions
4. Materials and Methods
4.1. Experiment Materials
4.2. Experiment Instruments
4.3. Single-Component Optimization of MOSG
4.3.1. Effect of Emulsifier Concentration
4.3.2. Effect of the Oil-to-Aqueous-Phase Volume Ratio
4.3.3. Effect of Gelling Agent Concentration
4.3.4. Effect of Crosslinker Concentration
4.4. Factors Influencing the Gelation Performance of MOSG
4.4.1. Reaction Time and Temperature
4.4.2. pH Value
4.4.3. Shear Effect
4.5. Characterization and Performance Evaluation of MOSG
4.5.1. Structural and Morphological Characterization of MOSG
- (1)
- FTIR Analysis
- (1)
- Aqueous gelling solution (AGS)
- (2)
- Oil-phase gelling solution (OPGS)
- (3)
- Metal–organic supramolecular gel (MOSG)
- (4)
- Spectral processing
- (2)
- Polarized Optical Microscopy and SEM Observation
4.5.2. Thermogravimetric Analysis (TGA)
4.5.3. Rheological Properties
4.5.4. Plugging Performance Test
- (1)
- Seepage-Loss Simulation
- (2)
- Fracture-Loss Simulation
4.5.5. Shear Resistance Test
Supplementary Materials
Author Contributions
Funding
Data Availability Statement
Acknowledgments
Conflicts of Interest
Abbreviations
| AGS | Aqueous Gelling Solution |
| DTG | Derivative Thermogravimetry |
| FTIR | Fourier Transform Infrared Spectroscopy |
| HPHT | High-Pressure High-Temperature |
| LCM | Lost Circulation Material |
| MOG | Metal–Organic Gel |
| MOSG | Oil–Water Biphasic Metal–Organic Supramolecular Gel |
| OBDF | Oil-Based Drilling Fluid |
| OPGS | Oil-Phase Gelling Solution |
| SEM | Scanning Electron Microscopy |
| TG | Thermogravimetry |
| TGA | Thermogravimetric Analysis |
| TXP-4 | Phenolic Ether Phosphate Ester (Gelling Agent) |
References
- Fakoya, M.F.; Ahmed, R.M. A generalized model for apparent viscosity of oil-based muds. J. Pet. Sci. Eng. 2018, 165, 777–785. [Google Scholar] [CrossRef]
- Xu, P.; Xu, M.B.; Tao, Z.W.; Wang, Z.H.; Huang, T. Rheological properties and damage-control mechanism of oiI-based drilling fluid with different types of weighting agents. R. Soc. Open Sci. 2018, 5, 17. [Google Scholar] [CrossRef] [PubMed]
- Yan, X.; Li, M.; Deng, S.; Xu, C.; Peng, M.; Jing, H.; Lian, X.; Li, W.; You, Z. Fracture plugging failure under oil-based drilling fluids condition in deep geoenergy formations: A mesoscopic mechanical structure evolution perspective. Powder Technol. 2026, 469, 121730. [Google Scholar] [CrossRef]
- Meng, X.; Huang, X.; Sun, J.; Lv, K.; Li, H.; Wang, Z.; Yuan, Z. Ultra-high temperature resistant polystyrene/acrylic resin microspheres for enhanced wellbore stability of oil-based drilling fluids. Colloids Surf. A Physicochem. Eng. Asp. 2025, 725, 137637. [Google Scholar] [CrossRef]
- Bin Irfan, M.W.; Busahmin, B. Rheological Characterization and Shale Inhibition Potential of Single- and Dual-Nanomaterial-Based Drilling Fluids for High-Pressure High-Temperature Wells. Processes 2025, 13, 1957. [Google Scholar] [CrossRef]
- Klungtvedt, K.R.; Saasen, A. Comparison of Lost Circulation Material Sealing Effectiveness in Water-Based and Oil-Based Drilling Fluids and Under Conditions of Mechanical Shear and High Differential Pressures. J. Energy Resour. Technol.-Trans. ASME 2022, 144, 11. [Google Scholar] [CrossRef]
- Kibikas, W.; Nakagawa, S.; Ingraham, M.; Bauer, S.; Chang, C.; Dobson, P.; Kneafsey, T.; Samuel, A. Evaluation of Lost Circulation Material Sealing for Geothermal Drilling. Energies 2024, 17, 2703. [Google Scholar] [CrossRef]
- Saiful Syazni Bin Haji, S.; Bashir, B.; Reddy Prasad, D.M.; Saber, E. Evaluation of Different Well Control Methods Concentrating on the Application of Conventional Drilling Technique. ARPN J. Eng. Appl. Sci. 2023, 18, 1851–1857. [Google Scholar]
- Arbad, N.; Teodoriu, C. A Review of Recent Research on Contamination of Oil Well Cement with Oil-based Drilling Fluid and the Need of New and Accurate Correlations. ChemEngineering 2020, 4, 28. [Google Scholar] [CrossRef]
- Ashena, R.; Ghalambor, A.; Elmgerbi, A.; Hekmatinia, A.-A.; Mubashir, M. ‘Level-off’ cement plugging method to cure lost circulation verified with case studies. J. Pet. Explor. Prod. Technol. 2021, 11, 2777–2789. [Google Scholar] [CrossRef]
- Gaurina-Međimurec, N.; Pašić, B.; Mijić, P.; Medved, I. Drilling Fluid and Cement Slurry Design for Naturally Fractured Reservoirs. Appl. Sci. 2021, 11, 767. [Google Scholar] [CrossRef]
- Elahifar, B.; Hosseini, E. Laboratory study of plugging mechanism and seal integrity in fractured formations using a new blend of lost circulation materials. J. Pet. Explor. Prod. Technol. 2023, 13, 1197–1234. [Google Scholar] [CrossRef]
- Zhu, J.; Wang, T.; Zhang, S.; Bai, Y.; Qin, G.; Yang, J. Study on Gel–Resin Composite for Losting Circulation Control to Improve Plugging Effect in Fracture Formation. Gels 2025, 11, 617. [Google Scholar] [CrossRef]
- Terech, P.; Weiss, R.G. Low Molecular Mass Gelators of Organic Liquids and the Properties of Their Gels. Chem. Rev. 1997, 97, 3133–3160. [Google Scholar] [CrossRef]
- Yu, G.C.; Yan, X.Z.; Han, C.Y.; Huang, F.H. Characterization of supramolecular gels. Chem. Soc. Rev. 2013, 42, 6697–6722. [Google Scholar] [CrossRef] [PubMed]
- Chivers, P.R.A.; Smith, D.K. Shaping and structuring supramolecular gels. Nat. Rev. Mater. 2019, 4, 463–478. [Google Scholar] [CrossRef]
- Yang, L.; Ma, J.; Chang, X.; Wu, Y.; Jiang, G.; Qiu, S.; Kinkeyi Moukoko, A.D. Novel polymeric organic gelator as lost circulation material for oil-based drilling fluids. Geoenergy Sci. Eng. 2023, 231, 212414. [Google Scholar] [CrossRef]
- Liu, G.; Li, S.; Shi, C.; Huo, M.; Lin, Y. Progress in Research and Application of Metal-Organic Gels: A Review. Nanomaterials 2023, 13, 1178. [Google Scholar] [CrossRef]
- Cao, W.; Lin, Z.; Zheng, D.; Zhang, J.; Heng, W.; Wei, Y.; Gao, Y.; Qian, S. Metal–organic gels: Recent advances in their classification, characterization, and application in the pharmaceutical field. J. Mater. Chem. B 2023, 11, 10566–10594. [Google Scholar] [CrossRef]
- Dastidar, P.; Ganguly, S.; Sarkar, K. Metallogels from Coordination Complexes, Organometallic, and Coordination Polymers. Chem.—Asian J. 2016, 11, 2484–2498. [Google Scholar] [CrossRef]
- Zhang, X.; Zhang, S.; Li, L.; Wu, R.; Liu, D.; Wu, J.; Wu, W. High-temperature-resistant polymer gel system with metal–organic mixed cross-linking agents. J. Appl. Polym. Sci. 2015, 132, 42261. [Google Scholar] [CrossRef]
- Wang, M.; He, J.; Zhang, W. Performance Research of Oil-based Gelled Fracture Fluid Based on the Phosphoric Acid Ester and Ferric Iron. J. Southwest Pet. Univ. 2013, 35, 150–154. [Google Scholar]
- Wang, C.; Sun, J.; Long, Y.; Huang, H.; Song, J.; Wang, R.; Qu, Y.; Yang, Z. A Self-Healing Gel with an Organic–Inorganic Network Structure for Mitigating Circulation Loss. Gels 2024, 10, 93. [Google Scholar] [CrossRef]
- Smith, D.K. Supramolecular gels—A panorama of low-molecular-weight gelators from ancient origins to next-generation technologies. Soft Matter 2024, 20, 10–70. [Google Scholar] [CrossRef]
- Martin, B.; Brouillet, F.; Franceschi, S.; Perez, E. Evaluation of Organogel Nanoparticles as Drug Delivery System for Lipophilic Compounds. AAPS PharmSciTech 2017, 18, 1261–1269. [Google Scholar] [CrossRef]
- Willimann, H.; Walde, P.; Luisi, P.L.; Gazzaniga, A.; Stroppolo, F. Lecithin organogel as matrix for transdermal transport of drugs. J. Pharm. Sci. 1992, 81, 871–874. [Google Scholar] [CrossRef] [PubMed]
- Nishida, Y.; Tanaka, A.; Yamamoto, S.; Tominaga, Y.; Kunikata, N.; Mizuhata, M.; Maruyama, T. In Situ Synthesis of a Supramolecular Hydrogelator at an Oil/Water Interface for Stabilization and Stimuli-Induced Fusion of Microdroplets. Angew. Chem. Int. Ed. 2017, 56, 9410–9414. [Google Scholar] [CrossRef]
- Williams, G.T.; Haynes, C.J.E.; Fares, M.; Caltagirone, C.; Hiscock, J.R.; Gale, P.A. Advances in applied supramolecular technologies. Chem. Soc. Rev. 2021, 50, 2737–2763. [Google Scholar] [CrossRef]
- Dai, L.; Sun, J.; Lv, K.; Bai, Y.; Wang, J.; Liu, C.; Li, M.-C. Research Progress of Supramolecular Gels in the Field of Petroleum Engineering. Gels 2025, 11, 661. [Google Scholar] [CrossRef] [PubMed]
- Du, X.; Feng, S.; Lu, H.; Bai, Y.; Lv, Z. Evaluation of Supramolecular Gel Properties and Its Application in Drilling Fluid Plugging. Processes 2023, 11, 2749. [Google Scholar] [CrossRef]
- Zhang, H.; Jiang, G. A self-breaking supramolecular plugging system as lost circulation material in oilfield. Open Chem. 2020, 18, 757–763. [Google Scholar] [CrossRef]
- Dai, L.; Sun, J.; Lv, K.; Bai, Y.; Wang, J.; Liu, C.; Li, M.-C. Influences of Reservoir Conditions on the Performance of Cellulose Nanofiber/Laponite-Reinforced Supramolecular Polymer Gel-Based Lost Circulation Materials. Gels 2025, 11, 472. [Google Scholar] [CrossRef] [PubMed]
- Fukasawa, J.; Tsutsumi, H.; Ishida, A. New oil-gelling agents for cosmetics: Formation mechanism of oil gels. Int. J. Cosmet. Sci. 1989, 11, 153–165. [Google Scholar] [CrossRef]
- Kaddoori, Z.S.; Mohamed, M.B.M.; Kadhum, W.R.; Numan, N.A. To Consider The Organogel of Span 40 and Span 60 in Sesame Oil as a New Member in the Gastro Retentive Drug Delivery Systems. Syst. Rev. Pharm. 2020, 11, 850–861. [Google Scholar]
- Graham, T.R.; Hu, J.Z.; Jaegers, N.R.; Zhang, X.; Pearce, C.I.; Rosso, K.M. An amorphous sodium aluminate hydrate phase mediates aluminum coordination changes in highly alkaline sodium hydroxide solutions. Inorg. Chem. Front. 2022, 9, 6344–6357. [Google Scholar] [CrossRef]
- Tanada, S.; Kabayama, M.; Kawasaki, N.; Sakiyama, T.; Nakamura, T.; Araki, M.; Tamura, T. Removal of phosphate by aluminum oxide hydroxide. J. Colloid Interface Sci. 2003, 257, 135–140. [Google Scholar] [CrossRef]
- Guan, X.-H.; Liu, Q.; Chen, G.-H.; Shang, C. Surface complexation of condensed phosphate to aluminum hydroxide: An ATR-FTIR spectroscopic investigation. J. Colloid Interface Sci. 2005, 289, 319–327. [Google Scholar] [CrossRef] [PubMed]
- Li, W.; Pierre-Louis, A.-M.; Kwon, K.D.; Kubicki, J.D.; Strongin, D.R.; Phillips, B.L. Molecular level investigations of phosphate sorption on corundum (α-Al2O3) by 31P solid state NMR, ATR-FTIR and quantum chemical calculation. Geochim. Cosmochim. Acta 2013, 107, 252–266. [Google Scholar] [CrossRef]
- Luengo, C.V.; Castellani, N.J.; Ferullo, R.M. Quantum chemical study on surface complex structures of phosphate on gibbsite. Spectrochim. Acta A Mol. Biomol. Spectrosc. 2015, 147, 193–199. [Google Scholar] [CrossRef]
- Wang, X.; Phillips, B.L.; Boily, J.-F.; Hu, Y.; Hu, Z.; Yang, P.; Feng, X.; Xu, W.; Zhu, M. Phosphate Sorption Speciation and Precipitation Mechanisms on Amorphous Aluminum Hydroxide. Soil Syst. 2019, 3, 20. [Google Scholar] [CrossRef]
- Wan, B.; Huang, R.; Diaz, J.M.; Tang, Y. Polyphosphate Adsorption and Hydrolysis on Aluminum Oxides. Environ. Sci. Technol. 2019, 53, 9542–9552. [Google Scholar] [CrossRef]
- Wang, S.-L.; Johnston, C.T. Assignment of the structural OH stretching bands of gibbsite. Am. Mineral. 2000, 85, 739–744. [Google Scholar] [CrossRef]
- Nabika, H.; Itatani, M.; Lagzi, I. Pattern Formation in Precipitation Reactions: The Liesegang Phenomenon. Langmuir 2020, 36, 481–497. [Google Scholar] [CrossRef]
- Sui, R.; Charpentier, P.A.; Marriott, R.A. Metal Oxide-Related Dendritic Structures: Self-Assembly and Applications for Sensor, Catalysis, Energy Conversion and Beyond. Nanomaterials 2021, 11, 1686. [Google Scholar]
- Lo Presti, L.; Moret, M.; Rizzato, S. Phase Stability and Morphology of Gel Grown Crystals: The Case of CdCl2-bpp Polymeric System. Crystals 2019, 9, 363. [Google Scholar] [CrossRef]
- Contreras-Montoya, R.; Álvarez de Cienfuegos, L.; Gavira, J.A.; Steed, J.W. Supramolecular gels: A versatile crystallization toolbox. Chem. Soc. Rev. 2024, 53, 10604–10619. [Google Scholar] [CrossRef] [PubMed]
- Pintos, B.; Gomez-Garay, A. Aluminum Phosphate Nanoplates Synthesized via Green Method Using Cork Oak Somatic Embryo-Derived Phytates. Appl. Sci. 2024, 14, 8681. [Google Scholar] [CrossRef]
- Weiss, R.G. The Past, Present, and Future of Molecular Gels. What Is the Status of the Field, and Where Is It Going? J. Am. Chem. Soc. 2014, 136, 7519–7530. [Google Scholar] [CrossRef] [PubMed]
- Yang, J.; Sun, J.; Bai, Y.; Lv, K.; Zhang, G.; Li, Y. Status and Prospect of Drilling Fluid Loss and Lost Circulation Control Technology in Fractured Formation. Gels 2022, 8, 260. [Google Scholar] [CrossRef]
- Elkatatny, S.; Ahmed, A.; Abughaban, M.; Patil, S. Deep Illustration for Loss of Circulation While Drilling. Arab. J. Sci. Eng. 2020, 45, 483–499. [Google Scholar] [CrossRef]

















| Fracture Aperture (mm) | Injection Pressure (MPa) | Pressure-Bearing Capacity (kPa) | Pressure Gradient (MPa/m) |
|---|---|---|---|
| 0.50 | 0.50 | 42.1 | 0.842 |
| 1.0 | 408 | 8.16 | |
| 1.5 | 624 | 12.48 | |
| 1.0 | 0.50 | 35.7 | 0.714 |
| 1.0 | 343 | 6.86 | |
| 1.5 | 475 | 9.5 | |
| 1.5 | 0.50 | 30.4 | 0.608 |
| 1.0 | 298 | 5.96 | |
| 1.5 | 405 | 8.10 |
Disclaimer/Publisher’s Note: The statements, opinions and data contained in all publications are solely those of the individual author(s) and contributor(s) and not of MDPI and/or the editor(s). MDPI and/or the editor(s) disclaim responsibility for any injury to people or property resulting from any ideas, methods, instructions or products referred to in the content. |
© 2026 by the authors. Licensee MDPI, Basel, Switzerland. This article is an open access article distributed under the terms and conditions of the Creative Commons Attribution (CC BY) license.
Share and Cite
Li, Q.; Li, S.; Zhang, Y.; Chen, C.; Wu, X.; Li, M.; Pan, S.; Peng, J. Oil-Water Biphasic Metal-Organic Supramolecular Gel for Lost Circulation Control: Formulation Optimization, Gelation Mechanism, and Plugging Performance. Gels 2026, 12, 74. https://doi.org/10.3390/gels12010074
Li Q, Li S, Zhang Y, Chen C, Wu X, Li M, Pan S, Peng J. Oil-Water Biphasic Metal-Organic Supramolecular Gel for Lost Circulation Control: Formulation Optimization, Gelation Mechanism, and Plugging Performance. Gels. 2026; 12(1):74. https://doi.org/10.3390/gels12010074
Chicago/Turabian StyleLi, Qingwang, Songlei Li, Ye Zhang, Chaogang Chen, Xiaochuan Wu, Menglai Li, Shubiao Pan, and Junfei Peng. 2026. "Oil-Water Biphasic Metal-Organic Supramolecular Gel for Lost Circulation Control: Formulation Optimization, Gelation Mechanism, and Plugging Performance" Gels 12, no. 1: 74. https://doi.org/10.3390/gels12010074
APA StyleLi, Q., Li, S., Zhang, Y., Chen, C., Wu, X., Li, M., Pan, S., & Peng, J. (2026). Oil-Water Biphasic Metal-Organic Supramolecular Gel for Lost Circulation Control: Formulation Optimization, Gelation Mechanism, and Plugging Performance. Gels, 12(1), 74. https://doi.org/10.3390/gels12010074

