Sign in to use this feature.

Years

Between: -

Subjects

remove_circle_outline
remove_circle_outline
remove_circle_outline
remove_circle_outline
remove_circle_outline
remove_circle_outline
remove_circle_outline
remove_circle_outline
remove_circle_outline

Journals

remove_circle_outline
remove_circle_outline
remove_circle_outline
remove_circle_outline
remove_circle_outline
remove_circle_outline
remove_circle_outline
remove_circle_outline
remove_circle_outline
remove_circle_outline
remove_circle_outline
remove_circle_outline

Article Types

Countries / Regions

remove_circle_outline
remove_circle_outline
remove_circle_outline
remove_circle_outline

Search Results (906)

Search Parameters:
Keywords = conversion scheme

Order results
Result details
Results per page
Select all
Export citation of selected articles as:
31 pages, 2137 KB  
Article
A Single-Stage Three-Phase AC-DC LLC Resonant Converter with Planar Magnetics and Trajectory-Based PFM Control
by Qichen Liu and Zhengquan Zhang
Electronics 2026, 15(5), 1095; https://doi.org/10.3390/electronics15051095 - 5 Mar 2026
Abstract
This paper proposes a single-stage three-phase AC-DC converter based on an LLC resonant topology utilizing a front-end matrix switch. Unlike traditional two-stage solutions, the proposed topology synthesizes a fluctuating equivalent DC voltage from the three-phase input, achieving direct power conversion with high efficiency. [...] Read more.
This paper proposes a single-stage three-phase AC-DC converter based on an LLC resonant topology utilizing a front-end matrix switch. Unlike traditional two-stage solutions, the proposed topology synthesizes a fluctuating equivalent DC voltage from the three-phase input, achieving direct power conversion with high efficiency. To maintain a stable DC output voltage against the time-varying input, a trajectory-based Pulse Frequency Modulation (PFM) control strategy is developed. By employing State-Plane Analysis (SPA), the operational trajectory is divided into four calculation segments, allowing precise derivation of the switching frequency and duty cycles for both boost and buck modes within a single line cycle. Furthermore, to improve power density and reduce parasitic parameters, a high-frequency planar inductor with interleaved windings and a planar transformer are designed for 500 kHz operation. A pipeline control architecture based on a single DSP is implemented to handle the complex real-time computations. A 500 W prototype is built and tested under 100 V input and 130 V output conditions. Experimental results demonstrate that the converter achieves a peak efficiency of 97%, a power factor of 0.99, and a grid current Total Harmonic Distortion (THD) of 3.95%, validating the effectiveness of the proposed topology and control scheme. Full article
(This article belongs to the Special Issue Innovative Technologies in Power Converters, 3rd Edition)
19 pages, 2798 KB  
Article
A High-Precision Cooperative Localization Method for UAVs Based on Multi-Condition Constraints
by Haiqiao Liu, Wen Jiang, Qing Long, Qijun Xia and Xiang Chen
Sensors 2026, 26(5), 1641; https://doi.org/10.3390/s26051641 - 5 Mar 2026
Abstract
Global Navigation Satellite Systems (GNSSs) often suffer from significant localization errors in signal-denied environments. Furthermore, the accuracy of multi-UAV cooperative localization is highly sensitive to the relative geometric configuration of the swarm. To address these challenges, this paper proposed a novel high-precision and [...] Read more.
Global Navigation Satellite Systems (GNSSs) often suffer from significant localization errors in signal-denied environments. Furthermore, the accuracy of multi-UAV cooperative localization is highly sensitive to the relative geometric configuration of the swarm. To address these challenges, this paper proposed a novel high-precision and robust cooperative localization method for UAVs. The proposed method comprised two key modules. First, based on the principle of minimizing the Geometric Dilution of Precision, we optimized both the quantity and geometric configuration of the UAV swarm to identify the top three optimal aerial formations. Second, we introduced Ground-Assisted Reference Stations or Unmanned Ground Vehicles to establish an air–ground cooperative localization system. By leveraging Time Difference of Arrival constraints, this system significantly enhanced localization accuracy and robustness. From this analysis, two optimal hybrid configurations were selected. Experimental results showed that while purely air-based geometric optimization enhanced horizontal coverage, it failed to effectively suppress Z-axis errors due to inadequate vertical baselines, with deviations consistently oscillating between 3.0 m and 5.0 m. Conversely, the introduction of edge-deployed ground reference stations reduced the Position Dilution of Precision to a remarkably low level of 0.75, effectively suppressing error divergence. This demonstrated that the proposed air–ground cooperative scheme outperformed traditional pure air-based swarm approaches in localization performance. These findings hold significant theoretical and practical value. Full article
Show Figures

Figure 1

14 pages, 2347 KB  
Article
Posture Tracking of Active Capsule Endoscopes Integrated with Magnetic Actuation Using Hall-Effect Sensors
by Junho Han, Kim Tien Nguyen, Eui-Sun Kim, Jong-Oh Park, Eunho Choe, Chang-bae Moon and Jayoung Kim
Micromachines 2026, 17(3), 327; https://doi.org/10.3390/mi17030327 - 5 Mar 2026
Abstract
A capsule endoscope (CE) provides noninvasive access to the gastrointestinal tract, offering diagnostic information that cannot be obtained through external imaging alone. However, during the examination inside the stomach, the CE’s posture may change rapidly as it moves within a dynamically deforming organ, [...] Read more.
A capsule endoscope (CE) provides noninvasive access to the gastrointestinal tract, offering diagnostic information that cannot be obtained through external imaging alone. However, during the examination inside the stomach, the CE’s posture may change rapidly as it moves within a dynamically deforming organ, making it difficult to determine its orientation using only the onboard camera feedback. To address this problem, this study proposes a method that employs an external array of Hall Effect Sensors (HES) to estimate the capsule’s position and orientation in real time, based on the magnetic field generated by a permanent magnet (PM) embedded inside the capsule, without the need for any additional internal sensors. This approach introduces a unified magnetic actuation and localization framework that enables real-time 5-degree-of-freedom posture estimation using only the internal PM of the capsule. Furthermore, the proposed system features an integrated architecture capable of simultaneous actuation and localization. To enhance system practicality, the sensor module and communication board were combined into a single unit that employs a digital serial communication scheme, eliminating the need for analog to digital conversion of sensing signals. By avoiding additional onboard sensors and employing a PM-based actuation system, the proposed system simplifies hardware configuration by preserving capsule miniaturization and by eliminating the high power consumption and thermal issues associated with electromagnet-based actuation, while maintaining accurate real-time tracking performance. Through an optimization process, the system achieved a position error of less than 2 mm and an angular error within 2° over a sensing range of up to 60 mm. Repeated experiments further validated the system’s effectiveness and reliability under realistic operating conditions, demonstrating its feasibility for compact and clinically applicable active capsule endoscopy systems. Full article
(This article belongs to the Section E:Engineering and Technology)
Show Figures

Figure 1

17 pages, 1704 KB  
Article
Uncovering the Protein Conversion Potential of Alfalfa (Medicago sativa L.) and Duckweed (Lemna minor L.) Through Enzymatic Hydrolysis and Digestibility Assessment
by Ingrida Pauliukaitytė, Milita Žygytė, Alvija Šalaševičienė and Karolina Almonaitytė
Foods 2026, 15(5), 885; https://doi.org/10.3390/foods15050885 - 5 Mar 2026
Abstract
The growing demand for sustainable protein alternatives has increased interest in underutilized plant biomasses with high nutritional potential. This study investigated the conversion efficiency of alfalfa (Medicago sativa L.) and duckweed (Lemna minor L.) proteins through multienzyme hydrolysis, with the aim [...] Read more.
The growing demand for sustainable protein alternatives has increased interest in underutilized plant biomasses with high nutritional potential. This study investigated the conversion efficiency of alfalfa (Medicago sativa L.) and duckweed (Lemna minor L.) proteins through multienzyme hydrolysis, with the aim of evaluating how carbohydrate–protein matrix interactions influence enzymatic accessibility and apparent protein digestibility. Three biotechnological hydrolysis schemes were applied, involving combinations of α-amylase, amyloglucosidase, protease, pepsin, pancreatin, and bile salts, including an in vitro gastrointestinal digestion simulation. The first hydrolysis scheme demonstrated that starch-rich matrices formed a viscous medium that reduced protease mobility and limited protein cleavage. Improved substrate accessibility was achieved when plant material was pre-treated with amylolytic and proteolytic enzymes, which resulted in a noticeably higher release of free amino acids. Amino acid profiling revealed that this enzymatic sequence was the most effective for disrupting carbohydrate-associated protein fractions in both species. In vitro digestion assays indicated higher apparent protein conversion for duckweed compared to alfalfa under standardized laboratory conditions. Overall, the results confirm that appropriate multienzyme strategies can enhance amino acid liberation from complex plant matrices and highlight duckweed biomass as a promising candidate for sustainable protein valorization. Full article
(This article belongs to the Section Food Physics and (Bio)Chemistry)
Show Figures

Figure 1

36 pages, 8294 KB  
Article
Case Study on Enhancing Cultivated Land Use Resilience Through Spatial Layout Optimization in Northern Guangdong, China
by Ziyuan Qiao, Lesong Zhao, Guangsheng Liu, Hongmei Wang, Guoqing Chen and Dingjie Lan
Agriculture 2026, 16(5), 553; https://doi.org/10.3390/agriculture16050553 - 28 Feb 2026
Viewed by 180
Abstract
Cultivated land spatial layout optimization is of great significance for enhancing comprehensive agricultural productivity and safeguarding food security. However, existing studies primarily focus on production suitability as the optimization objective, while rarely incorporating improvements in cultivated land use resilience and stable use as [...] Read more.
Cultivated land spatial layout optimization is of great significance for enhancing comprehensive agricultural productivity and safeguarding food security. However, existing studies primarily focus on production suitability as the optimization objective, while rarely incorporating improvements in cultivated land use resilience and stable use as explicit objectives, which may leave optimized layouts difficult to sustain. To fill this gap, this study takes Meizhou City as a case and conceptualizes cultivated land use resilience under non-grain conversion of the agricultural production structure as a key proxy for stable use. Based on 2019 data, a resistance–reconversion capacity assessment framework is developed, and a 2035-oriented cultivated land layout is generated under a transfer-in–transfer-out area-balance constraint by integrating XGBoost–PVI, the InVEST model, and particle swarm optimization (PSO). The optimized configuration is evaluated using a 2019–2024 observation window. The results show that, after optimization, the mean and minimum cultivated land use resilience increase by 1.72% and 15.16%, respectively, and the share of cultivated land in medium-to-high resilience classes rises by approximately 11.06%. Validation further indicates that parcels selected for transfer-out and transfer-in in the optimized scheme are more likely to undergo transfer-out and restoration in practice. Incorporating cultivated land use resilience into multi-objective layout optimization can simultaneously enhance stable-use potential and spatial integration efficiency, providing decision support for cultivated land layout optimization and sustainable use. Full article
(This article belongs to the Section Agricultural Economics, Policies and Rural Management)
Show Figures

Figure 1

24 pages, 3042 KB  
Article
LightGBM-CH Prediction Method for Fatigue Life of Elastic Wheel on Soft Ground
by Xin Yuan, Mujia Shi, Dong Wang and Lihang Feng
Appl. Sci. 2026, 16(5), 2329; https://doi.org/10.3390/app16052329 - 27 Feb 2026
Viewed by 117
Abstract
The operational reliability of the elastic wheel, essential for specialized vehicle mobility on complex terrain, is critically constrained by fatigue failure under multi-axis ground loads. While high-fidelity physics-based simulation provides an accurate assessment, its “one-simulation-per-test” paradigm is inefficient for exploring multi-condition, multi-parameter designs. [...] Read more.
The operational reliability of the elastic wheel, essential for specialized vehicle mobility on complex terrain, is critically constrained by fatigue failure under multi-axis ground loads. While high-fidelity physics-based simulation provides an accurate assessment, its “one-simulation-per-test” paradigm is inefficient for exploring multi-condition, multi-parameter designs. Conversely, purely data-driven methods are hindered by the scarcity of high-quality fatigue data. This paper proposes LightGBM-CH, an integrated framework that couples Discrete Element Method–Multi-Body Dynamics (DEM-MBD) simulation with an enhanced LightGBM model to overcome these limitations. The framework first converts high-fidelity simulations into a configurable data generator, producing batches of dynamic load–stress response data. A physics-informed feature engineering scheme then extracts 122 discriminative features characterizing six-dimensional loads, fatigue damage metrics, and load–stress coupling. To address the “small-sample, high-dimensional” challenge, a tailored training strategy incorporating robust scaling, correlation-based feature selection, and stability-constrained hyperparameter optimization is developed. Simulation experiments demonstrate that the LightGBM-CH model achieves a determination coefficient of 0.9251 and a root mean square error of 67.06, significantly outperforming benchmark models in accuracy and generalization. The study validates the framework’s engineering efficacy, identifies key influencing factors such as peak–stress ratio, and provides an intelligent, data-informed pathway for fatigue-resistant elastic wheel design. Full article
(This article belongs to the Section Mechanical Engineering)
Show Figures

Figure 1

12 pages, 2425 KB  
Article
High-Efficiency, 10-Watt-Level 6.45 µm Mid-Infrared Source Based on a ZnGeP2 Optical Parametric Oscillator
by You Fang, Yu Shen, Erpeng Wang, Ya Wen, Guanghe Li, Yiming Liang, Shenjin Zhang, Zhongzheng Chen, Yong Bo, Qinjun Peng and Xiaoyong Guo
Photonics 2026, 13(3), 230; https://doi.org/10.3390/photonics13030230 - 27 Feb 2026
Viewed by 220
Abstract
The 6.45 μm mid-infrared laser is highly promising for medical applications due to its efficient tissue ablation with minimal collateral damage. In this work, we demonstrate a stable and compact 10W-level, all-solid-state nanosecond laser source at 6.45 μm based on a Ho:YAG MOPA [...] Read more.
The 6.45 μm mid-infrared laser is highly promising for medical applications due to its efficient tissue ablation with minimal collateral damage. In this work, we demonstrate a stable and compact 10W-level, all-solid-state nanosecond laser source at 6.45 μm based on a Ho:YAG MOPA pumped ring-cavity ZnGeP2 optical parametric oscillator (ZGP OPO). The influence of spot size, phase-matching scheme, and crystal length on the output performance was systematically investigated. Using a 30 mm long Type I ZGP crystal, the system achieved optimal performance: a record-high average output power of 14.6 W at 6.45 μm with an optical-to-optical conversion efficiency of 17.57%, a peak power of 51.7 kW, and excellent power stability (1.45% fluctuation over 120 min at 11.7 W). To our knowledge, this represents the highest reported output power and conversion efficiency for an OPO in this spectral region, surpassing previous sources by an order of magnitude in average power and showing nearly double efficiency. This work provides a stable and reliable laser source tool for application research for techniques such as laser ablation. Full article
(This article belongs to the Section Lasers, Light Sources and Sensors)
Show Figures

Figure 1

19 pages, 5700 KB  
Article
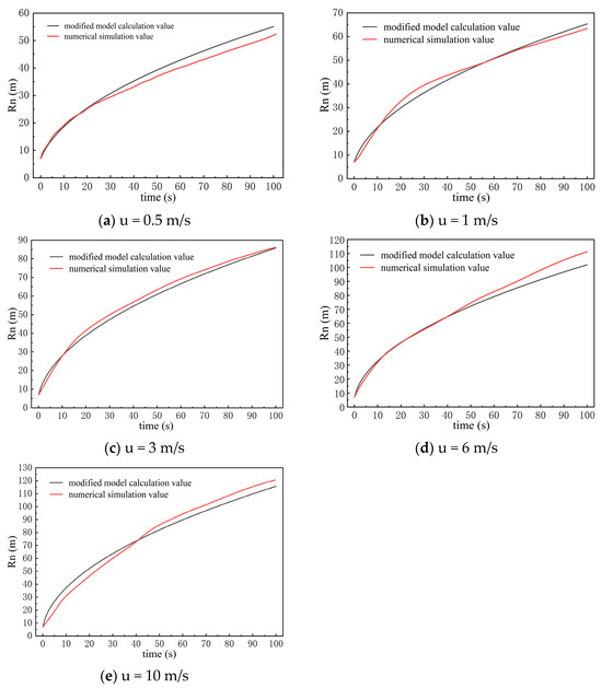
Study on Instantaneous Leak Diffusion Characteristics of Heavy Gas Under Wind Speed Control and Modification of Cloud Cluster Radius Prediction Model
by Jihong Yang, Xiaoying Li, Jiabin Han, Ruoyu Chen, Jiacheng Wang, Haihang Li and Haining Wang
Symmetry 2026, 18(3), 401; https://doi.org/10.3390/sym18030401 - 25 Feb 2026
Viewed by 101
Abstract
The diffusion process of heavy gas during instantaneous leakage is significantly influenced by wind speed. Accurately characterizing the coupling relationship between wind speed and heavy gas diffusion is crucial for accident risk assessment and emergency response. Based on the Thorney Island 008 test, [...] Read more.
The diffusion process of heavy gas during instantaneous leakage is significantly influenced by wind speed. Accurately characterizing the coupling relationship between wind speed and heavy gas diffusion is crucial for accident risk assessment and emergency response. Based on the Thorney Island 008 test, this study employs computational fluid dynamics (CFD) numerical simulation to construct a gas leakage diffusion model. Through grid independence verification and comparison with measured data, the optimal simulation scheme is determined. Design five wind speed conditions of 0.5 m/s, 1 m/s, 3 m/s, 6 m/s, and 10 m/s to investigate the division of heavy gas dispersion phases, the cloud radius modification model, and the spatiotemporal distribution characteristics of downwind concentrations. The study clearly identifies that heavy gas leakage dispersion can be divided into three stages: gravity diffusion, density stratification, and passive diffusion. By introducing a dimensionless wind speed correction term to improve the cloud plume radius prediction model, the validation results show that the calculated values from the modified model align with the trend observed in CFD simulations. Under all wind speed conditions, the maximum relative error remains within 10%. Downwind gas concentration distribution characteristics reveal that in the near-source areas (25 m, 100 m), higher wind speeds correlate with higher peak gas concentrations and shorter peak arrival times. Conversely, in the mid- and far-field zones (200–500 m), lower wind speeds are associated with higher peak gas concentrations and longer peak arrival times. The cloud radius modification model proposed in this study enables the prediction of heavy gas cloud radii under varying wind speeds within specific conditions. The revealed characteristics of the diffusion phase and the spatiotemporal distribution patterns of gas concentrations provide scientific basis for risk zoning and emergency response planning in heavy gas leakage incidents. Full article
(This article belongs to the Section Physics)
Show Figures

Figure 1

13 pages, 2191 KB  
Article
Low-Phase-Noise 10.23 MHz Satellite Navigation Reference Generation Based on 10th-Harmonic-Locked NALM Fiber Laser
by Nanhui Xu, Pengpeng Yan, Zhaoyang Li, Leijun Xu, Heng Hu, Xuesen Xu, Qi’an Wang, Weiming Xu and Rong Shu
Photonics 2026, 13(3), 217; https://doi.org/10.3390/photonics13030217 - 25 Feb 2026
Viewed by 186
Abstract
This paper proposes a method to generate a low-noise 10.23 MHz time-frequency reference signal based on high-order harmonic locking of the repetition rate (fr) of an optical frequency comb (OFC). An all-polarization-maintaining (PM) Erbium-doped fiber laser with a 122.76 MHz [...] Read more.
This paper proposes a method to generate a low-noise 10.23 MHz time-frequency reference signal based on high-order harmonic locking of the repetition rate (fr) of an optical frequency comb (OFC). An all-polarization-maintaining (PM) Erbium-doped fiber laser with a 122.76 MHz fr is constructed using the nonlinear amplifying loop mirror (NALM) principle. By applying a feedback control to the intracavity piezoelectric actuator (PZT) and electro-optic modulator (EOM), the 10th harmonic of fr is phase-locked to a high-performance rubidium atomic clock (Rb clock), achieving low-noise conversion from the Rb clock to the target signal. Experimental results show that the generated 10.23 MHz signal exhibits residual phase noise of −123.4 dBc/Hz at 1 Hz offset and −158 dBc/Hz at 1 MHz offset, and achieves a residual frequency stability of 3.52 × 10−13 @ 1 s and 3.65 × 10−15 @ 10,000 s. This harmonic locking scheme validates the advantages of photonic microwave generation in achieving ultra-low phase noise while preserving the long-term stability of atomic clocks, providing a strategic solution for next-generation BeiDou Navigation Satellite System (BDS) time-frequency payloads. Full article
(This article belongs to the Section Lasers, Light Sources and Sensors)
Show Figures

Figure 1

9 pages, 404 KB  
Article
Updated Conversion Table for the Multiple Criteria Qualitative Value-Based Pricing Framework “MARIE”
by Akina Takami and Ataru Igarashi
J. Mark. Access Health Policy 2026, 14(1), 12; https://doi.org/10.3390/jmahp14010012 - 25 Feb 2026
Viewed by 147
Abstract
Background: Value-based pricing has the potential to contribute to the appropriate allocation of healthcare expenditures. We developed the “MARIE”, a qualitative scheme that evaluates broad value elements without requiring a comparator to estimate new drug prices. In this study, we updated the [...] Read more.
Background: Value-based pricing has the potential to contribute to the appropriate allocation of healthcare expenditures. We developed the “MARIE”, a qualitative scheme that evaluates broad value elements without requiring a comparator to estimate new drug prices. In this study, we updated the conversion table that monetizes points calculated from value elements. Methods: We investigated and calculated the daily drug prices at the time of listing for drugs containing new active ingredients that were included in the National Health Insurance Drug Price List from fiscal year 2015 to 2024, summarizing the data using descriptive statistics. Results: New drug prices are listed annually in Japan, so we updated the conversion table using current drug prices to maintain continuity. This study also observed a trend where the median daily price tended to be higher as the maximum number of patients decreased. Conclusions: The MARIE method, our developed framework to qualitatively evaluate the various values of drugs, monetizing points calculated based on the elements of value via the conversion table, plays a crucial role. Updating the conversion table based on the latest data maintains continuity with the current drug pricing system and is considered to contribute to the social implementation of the MARIE method. Full article
Show Figures

Figure 1

20 pages, 2209 KB  
Article
Integrated Sliding Mode Control and Adaptive-Step P&O MPPT Strategy for DC–DC Boost–Buck Converter in Photovoltaic Systems
by Jesús A. González-Castro, Guillermo J. Rubio-Astorga, Jesús R. Castro-Rubio, Martin A. Alarcón-Carbajal, Julio C. Picos-Ponce, Juan Diego Sánchez-Torres and David E. Castro-Palazuelos
Energies 2026, 19(5), 1123; https://doi.org/10.3390/en19051123 - 24 Feb 2026
Viewed by 263
Abstract
The efficient utilization of solar energy largely depends on the capability of a photovoltaic system to operate at its maximum power point under variable irradiance and temperature conditions. In this context, a control strategy that combines a sliding mode control scheme with a [...] Read more.
The efficient utilization of solar energy largely depends on the capability of a photovoltaic system to operate at its maximum power point under variable irradiance and temperature conditions. In this context, a control strategy that combines a sliding mode control scheme with a Perturb-and-Observe-based maximum power point tracking (MPPT) algorithm with adaptive step size is proposed and applied to a DC–DC boost–buck converter. The proposed approach aims to improve the dynamic stability of the system, ensure robustness against model uncertainties, and enhance conversion efficiency. The MPPT algorithm employs an adaptive perturbation step that reduces steady-state oscillations and accelerates convergence toward the optimal operating point, while the sliding mode controller guarantees accurate tracking of the converter voltage reference under external disturbances. Simulation and experimental results validate the effectiveness of the proposed strategy, achieving an overall efficiency of 99.42% and a startup time of 180 ms in the implemented version. These results confirm improved transient response, reduced steady-state error, and high efficiency compared to competing control strategies reported in the literature. Full article
Show Figures

Figure 1

25 pages, 4200 KB  
Article
Optimizing Biogas-to-Hydrogen Conversion Under the Feed-In Premium Scheme: A Comparative Analysis of Steam Reforming and Electrolysis in an Individual Biogas Plant
by Shiho Ishikawa, Nicholas O’Connell and Raphael Lechner
Energies 2026, 19(5), 1119; https://doi.org/10.3390/en19051119 - 24 Feb 2026
Viewed by 232
Abstract
The transition toward market-oriented renewable energy policies has increased the demand for flexible operation of biogas plants (BGPs), particularly under Japan’s Feed-in Premium (FIP) scheme. This study evaluates the technical performance and revenue potential of integrating hydrogen production into a dairy-manure-based BGP, focusing [...] Read more.
The transition toward market-oriented renewable energy policies has increased the demand for flexible operation of biogas plants (BGPs), particularly under Japan’s Feed-in Premium (FIP) scheme. This study evaluates the technical performance and revenue potential of integrating hydrogen production into a dairy-manure-based BGP, focusing on steam reforming (SR) and electrolysis (EL) pathways. An energy system optimization model was developed using the Open Energy Modelling Framework (OEMOF) to simulate coordinated operation of biogas combined heat and power (CHP), hydrogen production, heat supply, and storage under electricity spot market conditions in Hokkaido, Japan. Sensitivity and scenario analyses were conducted to examine hydrogen production behavior, system-level resource allocation, and revenue performance under varying hydrogen prices and FIP levels. The results show that EL enables price-responsive switching between electricity supply and hydrogen production, resulting in dynamic hydrogen output and high sensitivity to conditions. In contrast, SR provides stable hydrogen production through continuous biogas utilization, achieving biogas throughput but limited responsiveness to price fluctuations. A System-level trade-off between conversion flexibility and direct fuel utilization efficiency was identified. These findings indicate that hydrogen pathway selection in farm-scale BGPs should be treated as a system design decision shaped by market exposure, operational objectives, and risk tolerance under the FIP framework. Full article
(This article belongs to the Special Issue Advances in Green Hydrogen Energy Production)
Show Figures

Figure 1

35 pages, 4968 KB  
Article
Research on Protection of a Three-Level Converter-Based Flexible DC Traction Substation System
by Peng Chen, Qiang Fu, Chunjie Wang and Yaning Zhu
Sensors 2026, 26(4), 1350; https://doi.org/10.3390/s26041350 - 20 Feb 2026
Viewed by 188
Abstract
With the expansion of urban rail transit, increased train operation density, and the large-scale grid integration of renewable energy such as offshore photovoltaic power, traction power supply systems face stricter requirements for operational safety, power supply reliability and energy utilization efficiency. Offshore photovoltaic [...] Read more.
With the expansion of urban rail transit, increased train operation density, and the large-scale grid integration of renewable energy such as offshore photovoltaic power, traction power supply systems face stricter requirements for operational safety, power supply reliability and energy utilization efficiency. Offshore photovoltaic power, integrated into the traction power supply network via flexible DC transmission technology, promotes renewable energy consumption, but its random and volatile output overlaps with time-varying traction loads, increasing the complexity of DC-side fault characteristics and protection control. Flexible DC technology is a core direction for next-generation traction substations, and three-level converters (key energy conversion units) have advantages over traditional two-level topologies. However, their P-O-N three-terminal DC-side topology introduces new faults (e.g., PO/ON bipolar short circuits, O-point-to-ground faults), making traditional protection strategies ineffective. In addition, wide system current fluctuation (0.5–3 kA) and offshore photovoltaic power fluctuation easily cause fixed-threshold protection maloperation, and the coupling mechanism among modulation strategies, DC bus capacitor voltage dynamics and fault current paths is unclear. To solve these bottlenecks, this paper establishes a simulation model of the system based on the PSCAD/EMTDC(A professional simulation software for electromagnetic transient analysis in power systems V4.5.3) platform, analyzes the transient electrical characteristics of three-level converters under traction and braking conditions for typical faults, clarifies the coupling mechanism, proposes a condition-adaptive fault identification strategy, and designs a reconfigurable fault energy handling system with bypass thyristors and adaptive crowbar circuits. Simulation and hardware-in-the-loop (HIL) experiments show that the proposed scheme completes fault identification and protection within 2–3 ms, suppresses fault peak current by more than 70%, limits DC bus overvoltage within ±10% of the rated voltage, and has good post-fault recovery performance. It provides a reliable and engineering-feasible protection solution for related systems and technical references for similar flexible DC system protection design. Full article
(This article belongs to the Section Electronic Sensors)
Show Figures

Figure 1

10 pages, 545 KB  
Article
A Study of the Conversion Kinetics of High-Viscosity Oil Components During Ultrasonic Treatment in the Presence of Zeolite
by Darzhan Aitbekova, Murzabek Baikenov, Assanali Ainabayev, Nazerke Balpanova, Sairagul Tyanakh, Zaure Absat, Nazym Rakhimzhanova and Yelena Kochegina
Fuels 2026, 7(1), 12; https://doi.org/10.3390/fuels7010012 - 19 Feb 2026
Viewed by 157
Abstract
In this work, the kinetics of the redistribution of oils, resins, and asphaltenes in high-viscosity oil from the Karazhanbas field (Republic of Kazakhstan) were investigated. This was achieved with an ultrasonic treatment (22 kHz, 50 W) in the presence of a zeolite catalyst [...] Read more.
In this work, the kinetics of the redistribution of oils, resins, and asphaltenes in high-viscosity oil from the Karazhanbas field (Republic of Kazakhstan) were investigated. This was achieved with an ultrasonic treatment (22 kHz, 50 W) in the presence of a zeolite catalyst (1.0 wt%). The parameters of the technological process were established as a temperature range from 30 to 70 °C and an exposure time of 3 to 11 min. This allowed us to increase the oil content by 14.8% and decrease the concentration of resins by 12.2% and asphaltenes by 2.6%. Conversion schemes (“oils ↔ resins” and “resins ↔ asphaltenes”) were developed, which made it possible to determine the main direction of the reaction processes. The most rapid process is the conversion of resins to oils (k2 = 0.1148–0.1860 min−1). The process of the cracking of asphaltenes with the formation of resins (k4 = 0.1023–0.1413 min−1) ranks second in rates. Condensation reactions, including the transition of oils to resins (k1 = 0.0175–0.0252 min−1) and resins to asphaltenes (k3 = 0.0139–0.0194 min−1), occur significantly more slowly. The calculated activation energies (7.0–10.4 kJ/mol) show that the cavitation treatment of high-viscosity oil in the presence of a catalyst effectuates the processing of heavy oil with minimal energy consumption. A group composition analysis of the light and middle oil fractions demonstrated an increase in paraffinic, naphthenic, benzenic, and olefinic hydrocarbons, with a simultaneous decrease in naphthalenes and heteroatomic compounds. The results obtained confirm the effectiveness of ultrasonic–catalytic treatment for the structural cracking of high-viscosity oil and the formation of lighter hydrocarbon fractions. Full article
Show Figures

Figure 1

25 pages, 4823 KB  
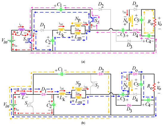
Article
Two-Winding Coupled-Inductor-Based DC–DC Converter with Two Synchronous Power Switches and Ultra-High Voltage-Gain Capability
by Ali Nadermohammadi, Hoda Sorouri, Arman Oshnoei, Seyed Hossein Hosseini and Frede Blaabjerg
Appl. Sci. 2026, 16(4), 1956; https://doi.org/10.3390/app16041956 - 15 Feb 2026
Viewed by 273
Abstract
This article describes a non-isolated boost DC–DC configuration that uses a two-winding coupled inductor (CI) together with two synchronous power switches to acquire ultra-high voltage conversion at relatively low duty cycles. The proposed structure combines a quadratic gain stage with the coupled inductor [...] Read more.
This article describes a non-isolated boost DC–DC configuration that uses a two-winding coupled inductor (CI) together with two synchronous power switches to acquire ultra-high voltage conversion at relatively low duty cycles. The proposed structure combines a quadratic gain stage with the coupled inductor to realize a substantial output voltage boost. The overall conversion ratio can be flexibly adjusted through two independent design factors: the duty cycle of the switches and the turns ratio of the coupled inductor providing additional degrees of freedom for optimization. The main merits of the converter are its very high voltage gain (VG), reduced voltage stress (VS) on the active switches, continuous input current, common ground between input and output, soft-switching operation for diodes D3 and D4, and the possibility of using a synchronized gate-drive scheme. The paper thoroughly examines the operating intervals, steady-state behavior, design procedure, and efficiency performance, and also develops a dynamic model for control-oriented analysis. To highlight its strengths, the proposed topology is systematically compared with several existing high-gain converters. Finally, experimental outcomes obtained from a 400-W laboratory prototype operating at 50 kHz confirm the feasibility and effectiveness of the proposed converter in achieving high voltage gain, reduced device voltage stress, and high efficiency under practical operating conditions. Full article
Show Figures

Figure 1

Back to TopTop