Sign in to use this feature.

Years

Between: -

Subjects

remove_circle_outline
remove_circle_outline
remove_circle_outline
remove_circle_outline
remove_circle_outline
remove_circle_outline
remove_circle_outline
remove_circle_outline
remove_circle_outline

Journals

Article Types

Countries / Regions

remove_circle_outline
remove_circle_outline
remove_circle_outline

Search Results (217)

Search Parameters:
Keywords = controlled-release urea

Order results
Result details
Results per page
Select all
Export citation of selected articles as:
26 pages, 3436 KB  
Article
Humic Acid–Functionalized Starch Gel Coatings for Controlled-Release Urea Fertilizer via Wurster Fluidized-Bed System
by Babar Azeem, KuZilati KuShaari, Muhammad Umair Shahid, Muhammad Zubair Shahid and Abdul Basit
Gels 2026, 12(4), 281; https://doi.org/10.3390/gels12040281 - 27 Mar 2026
Abstract
Sustainable fertilizer technologies are essential to address nutrient losses, environmental pollution, and inefficiencies associated with conventional urea application. In this study, humic acid–functionalized starch (St–HA) gel coatings were developed and optimized via a Wurster fluidized-bed system to produce controlled-release urea granules, with an [...] Read more.
Sustainable fertilizer technologies are essential to address nutrient losses, environmental pollution, and inefficiencies associated with conventional urea application. In this study, humic acid–functionalized starch (St–HA) gel coatings were developed and optimized via a Wurster fluidized-bed system to produce controlled-release urea granules, with an additional carnauba wax outer layer to further extend nutrient release duration. The coating formulation was synthesized through in situ crosslinking of tapioca starch with humic acid using N,N′-methylenebisacrylamide and potassium persulfate, yielding a cohesive film. A central composite rotatable design (CCRD) was employed to investigate the influence of atomizing air pressure, fluidizing air flow rate, fluidized-bed temperature, and spray rate on coating performance. Comprehensive characterization; including FTIR, XRD, rheological analysis, thermogravimetric studies, water retention, biodegradability, and surface abrasion, confirmed chemical crosslinking, structural stability, and mechanical robustness of the coatings. Nitrogen release analysis in both water and soil demonstrated a substantial extension of release longevity from less than 2 days (uncoated) to 18–20 days for St–HA-coated urea, and up to 28 days with the additional wax coating. Coated granules exhibited low abrasion (8–24%), high water-retention capacity, and 68% biodegradation in 60 days, ensuring environmental compatibility. The findings establish St–HA/wax hybrid coatings as a viable, eco-friendly strategy for controlled-release fertilizers, integrating renewable feedstocks with scalable industrial processing for precision nutrient management. Full article
(This article belongs to the Section Gel Processing and Engineering)
Show Figures

Figure 1

18 pages, 6033 KB  
Article
Single Deep Placement of Enhanced-Efficiency Nitrogen Fertilizer Improves Yield, Nitrogen Use Efficiency, and Economic–Environmental Performance in Double-Cropping Rice
by Fan Zhang, Can Yang, Xiaoqi Liu, Taowu Ma, Yingru Zhou, Xu Zhao, Yanjun Yue, Jie Zhang, Xintao Yang and Yazhen Shen
Sustainability 2026, 18(5), 2613; https://doi.org/10.3390/su18052613 - 7 Mar 2026
Viewed by 373
Abstract
The intensive management of double-cropping rice systems relies on high inputs of fertilizer and labor to sustain high yields. However, this leads to substantial reactive nitrogen (Nr) losses and severe environmental degradation. Although both enhanced-efficiency nitrogen fertilizers (EENFs) and deep placement are recognized [...] Read more.
The intensive management of double-cropping rice systems relies on high inputs of fertilizer and labor to sustain high yields. However, this leads to substantial reactive nitrogen (Nr) losses and severe environmental degradation. Although both enhanced-efficiency nitrogen fertilizers (EENFs) and deep placement are recognized for mitigating specific Nr loss pathways within individual seasons, robust field evidence for their combined, cross-seasonal efficacy across multiple loss pathways remains scarce. This study assessed the integrated agronomic, environmental, and economic performance of deep-placed EENFs in a double-rice cropping system. The EENFs included stabilized urea (SU) and controlled-release urea (CRU). Nitrogen release patterns differed significantly between fertilizers: SU showed strong season-dependent dynamics, while CRU provided a stable, consistent supply across both early and late rice seasons, achieving superior synchronization with crop nitrogen demand. Crucially, deep placement was indispensable for reducing environmental risks. The integrated strategy of deep-placing CRU (CRUD) facilitated a “spatiotemporal dual regulation” of nitrogen, spatially mitigating surface losses via deep placement and temporally synchronizing nutrient release with crop demand via the controlled-release mechanism. Compared with conventional surface-applied urea, CRUD significantly enhanced grain yield (16.1% and 17.5%), increased nitrogen recovery efficiency (41.5% and 67.4%), reduced total N losses (42.3% and 31.3%), and improved net economic benefits (35.0% and 30.9%) in early and late rice, respectively. It provides a concrete, actionable solution for advancing sustainable intensification in double-cropping rice systems, contributing directly to Sustainable Development Goals (SDGs). Full article
Show Figures

Graphical abstract

19 pages, 1723 KB  
Article
Effects of Controlled-Release Nitrogen Fertilizer on Rice Yield, Soil Nutrients, and Nitrogen Use Efficiency in Black Soil with Straw Return
by Yu Zheng, Yue Zhao, Lina Chen, Xingzhu Ma, Xiaoyu Hao, Ying Liu, Jinghong Ji and Shuangquan Liu
Plants 2026, 15(5), 707; https://doi.org/10.3390/plants15050707 - 26 Feb 2026
Viewed by 385
Abstract
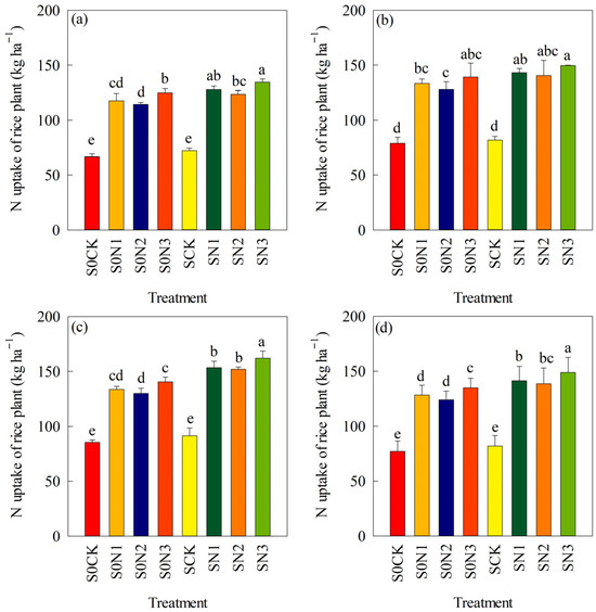
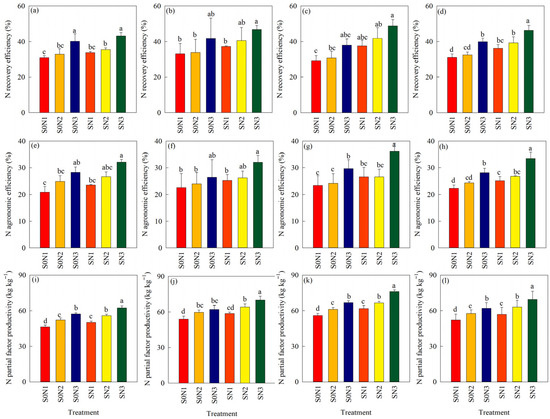
This study used a 3-year field experiment to evaluate the effects of controlled-release nitrogen fertilizers (CRNFs) on rice yield, nitrogen (N) uptake, N recovery efficiency (NRE), N agronomic efficiency (NAE), N partial factor productivity (NPFP), and soil nutrients under straw-returning (SR) conditions in [...] Read more.
This study used a 3-year field experiment to evaluate the effects of controlled-release nitrogen fertilizers (CRNFs) on rice yield, nitrogen (N) uptake, N recovery efficiency (NRE), N agronomic efficiency (NAE), N partial factor productivity (NPFP), and soil nutrients under straw-returning (SR) conditions in the black soil region of Northeast China. The results showed that CRNF combined with SR increased rice yield, NRE, NAE, and NPFP by 11.2%, 27.7%, 26.1%, and 22.3% respectively; the differences were significant when compared with common N fertilizer (CNF) combined with SR. In addition, CRNF increased soil organic matter (SOM), total N (TN), available N (AN), and other nutrients while reducing nitrate N (NO3-N) accumulation in the 30–60 cm soil layer. When the N application rate was reduced by 12%, rice yield still increased by 4.7%, and NRE, NAE, and NPFP increased by 17.2%, 32.9%, and 11.7% respectively; the differences were significant, and the content of soil nutrients has increased to varying degrees. These results indicate that a one-time basal application of controlled-release urea (CRU) mixed with bare urea (BU) at a 6:4 ratio can maintain stable yields, improve fertilization efficiency, reduce N fertilizer input, and lower environmental risks. Therefore, this approach represents an effective strategy for sustainable fertilization in rice-growing areas of Northeast China. Full article
Show Figures

Figure 1

14 pages, 9844 KB  
Article
CRU–Urea Mixtures Improve Maize Protein Yield and Nitrogen Use Efficiency in the Black Soil Region of Northeast China
by Lele Tian, Chunyan Yin, Liang Feng, Xiaorong Wu, Li Han, Jinhu Yang, Fang Luo, Ju Zhao and Lijun Li
Plants 2026, 15(5), 675; https://doi.org/10.3390/plants15050675 - 24 Feb 2026
Viewed by 257
Abstract
Excessive nitrogen fertilizer application in the black soil region of Northeast China leads to nitrate leaching and gaseous nitrogen loss, posing environmental risks. This study aimed to evaluate the effectiveness of controlled-release urea (CRU) mixed with conventional urea in synchronizing nitrogen fertilizer supply [...] Read more.
Excessive nitrogen fertilizer application in the black soil region of Northeast China leads to nitrate leaching and gaseous nitrogen loss, posing environmental risks. This study aimed to evaluate the effectiveness of controlled-release urea (CRU) mixed with conventional urea in synchronizing nitrogen fertilizer supply with maize nitrogen requirements, improving nitrogen fertilizer use efficiency (NUE), and increasing economic benefits. A two-year field trial (2023–2024) tested six nitrogen fertilizer application strategies, all with a total nitrogen application rate of 168 kg N ha−1, including no nitrogen fertilizer application (CK), conventional fractionated urea application (C0), and four controlled-release urea–urea mixed application schemes, where CRU supplied 100%, 70%, 50%, and 30% of the total nitrogen (C100, C70, C50, and C30). The results showed that the C70 treatment had the highest maize grain yield and protein yield, at 12,502.92 kg ha−1 and 1567.65 kg ha−1, respectively, and NUE increased by 10.07% in 2024 compared to the C0 treatment. The C70 strategy also reduced nitrate concentrations in deeper soil layers, decreasing nitrogen loss by 29.04–31.21% compared to the C0 treatment. Furthermore, the C70 strategy yielded the highest net benefit, reaching $2817 ha−1. These results indicate that in black soil systems, a single basal application of C70 mixed fertilizer is an effective strategy for increasing maize yield, improving nitrogen fertilizer use efficiency, and reducing environmental risks. Full article
Show Figures

Figure 1

17 pages, 2367 KB  
Article
Impact of New N Fertilizers on N Supply and Greenhouse Gas Emissions in Vegetable Soils
by Yijiang Wang, Lingying Xu and Wentai Zhang
Horticulturae 2026, 12(2), 236; https://doi.org/10.3390/horticulturae12020236 - 15 Feb 2026
Viewed by 255
Abstract
Soil mineral nitrogen (N) supply and the ammonium-to-nitrate ratio (NH4+-N:NO3-N) are critical for vegetable yield and quality. Under current urea N-reduction practices, inadequate soil N often limits continuous vegetable growth. This study evaluated novel N fertilizer prepared [...] Read more.
Soil mineral nitrogen (N) supply and the ammonium-to-nitrate ratio (NH4+-N:NO3-N) are critical for vegetable yield and quality. Under current urea N-reduction practices, inadequate soil N often limits continuous vegetable growth. This study evaluated novel N fertilizer prepared by adsorbing different ratios of ammonium nitrogen and nitrate nitrogen onto rice straw extract (AX1–AX5), different N gradient conventional urea (U1, U2) and a control without N fertilizer (CK) in an incubation experiment. Results showed that ammonium-loaded novel N fertilizers (AX1, AX2) maintained a stable soil NH4+-N:NO3-N (~1:1), while nitrate-loaded ones (AX4, AX5) exhibited slow-release effects, increasing cumulative mineral N by ~70% over U1. Novel N fertilizers also raised cumulative CO2 (3451–4513 μg kg−1) and N2O (9.6–12.0 μg kg−1) emissions versus U1, reflecting stimulated microbial activity supported by higher sucrase and nitrate reductase activities. The treatment (AX2) showed “fast-early, stable-late” N release, with mineral N consistently exceeding U1 and a maintained NH4+-N:NO3-N near 1:1. Field validation is needed to assess agronomic and environmental performance under real farming conditions. Full article
(This article belongs to the Section Vegetable Production Systems)
Show Figures

Figure 1

19 pages, 3815 KB  
Article
CNF/p(AM-co-KAA) Semi-Interpenetrating Network Hydrogel Fertilizer Carriers for Enhanced Nutrient Use Efficiency, Water Retention, and Salt–Alkali Resistance
by Jingxuan Pan, Yanhong Wang, Jingwei Wang, Weiwen Qiu, Qiang Xiao and Shuqi Dong
Gels 2026, 12(2), 157; https://doi.org/10.3390/gels12020157 - 11 Feb 2026
Viewed by 344
Abstract
Developing functional agricultural materials that synchronize nutrient release, water retention, and soil amendment is crucial to advancing resource-efficient, sustainable farming systems. However, integrating these multifunctional properties within a single material remains a significant challenge. In this work, we fabricated a multifunctional hydrogel (CPAUH) [...] Read more.
Developing functional agricultural materials that synchronize nutrient release, water retention, and soil amendment is crucial to advancing resource-efficient, sustainable farming systems. However, integrating these multifunctional properties within a single material remains a significant challenge. In this work, we fabricated a multifunctional hydrogel (CPAUH) via a one-pot synthesis strategy, which was composed of carboxylated cellulose nanofibers as a rigid network combined with poly(AA-co-KAA), forming a semi-interpenetrating network (semi-IPN) for loading urea and humic acid. The structure and properties of hydrogels were characterized by FTIR, TGA, SEM, and XPS. The CPAUH exhibited outstanding mechanical strength (0.169 MPa), water absorption capacity (121.65 g g−1), and retained 118 g g−1 after three absorption–desorption cycles, demonstrating remarkable structural stability. Nutrient release kinetics revealed sustained-release behavior, with cumulative elution of only 66.91% for urea and 92.45% for humic acid over 15 days. Under salt stress, the 1.5% CPAUH amendment (P2) markedly enhanced wheat growth compared with the non-amended control (P0), as reflected by significant increases in plant height, chlorophyll content, fresh weight, dry weight, and nitrogen uptake. Concurrently, CPAUH application effectively improved soil conditions by reducing electrical conductivity by 39.16% (to 4.38 mS·cm−1). These collective findings of CPAUH hydrogel offer substantial potential as a multifunctional soil amendment for enhancing water-fertilizer efficiency, reclaiming saline–alkali soils, and improving crop productivity under resource-limited conditions. Full article
Show Figures

Figure 1

18 pages, 4052 KB  
Article
Phenophase Transitions and Fertiliser-Mediated Regimes as Determinants of C-N Partitioning and Pedogenic Pathways in Tropical Agriculture
by Odhiambo O. Nicholas, Xunzhun Li, Qilin Zhu, Raymond Gervas Ntakihale, Chaoqi Liu, Hua Zhao, Xiangdong Zhang, Qiqian Lu, Xiaoqian Dan, Jinbo Zhang, Ahmed S. Elrys and Lei Meng
Agronomy 2026, 16(3), 366; https://doi.org/10.3390/agronomy16030366 - 2 Feb 2026
Viewed by 455
Abstract
Complex interactions in soil carbon and nitrogen (C-N) synchronisation in tropical perennial orchards are highly responsive to fertiliser chemistry. However, the intensity and stage-specific dynamics of these interactions are not well quantified. Six nitrogen regimes, namely, urea (URT), ammonium (AMT), nitrate (NT), slow-release [...] Read more.
Complex interactions in soil carbon and nitrogen (C-N) synchronisation in tropical perennial orchards are highly responsive to fertiliser chemistry. However, the intensity and stage-specific dynamics of these interactions are not well quantified. Six nitrogen regimes, namely, urea (URT), ammonium (AMT), nitrate (NT), slow-release fertiliser (SRT), bio-organic fertiliser (BFT), and an unfertilised control, were assessed at the vegetative, flowering, fruit-set, and maturity stages of durian cultivated on highly weathered tropical soils. A two-way ANOVA indicated high to very high treatment × phenology interactions for almost all soil properties (p < 0.001), indicating that nutrient responses were highly stage-dependent. The highest soil organic carbon (SOC) and cation exchange capacity (CEC) values were consistently obtained with the BFT, which was often associated with significant differences compared with synthetic treatments. In contrast, the SRT showed the most consistent nutrient release behaviour, especially in flowering. On the other hand, soil pH did not differ significantly among the treatments during the vegetative and maturity stages. A significant decrease in pH was observed for the URT and NT treatments during the flowering stage, indicating temporary acidification at this stage and steep increases in nitrate nitrogen (NO3N), indicating strong nitrification and attenuated carbon (C) stabilisation. Leaf nutrient responses were increased in phosphorus (P), potassium (K), calcium (Ca), and magnesium (Mg) by 23% in response to the SRT and BFT. The NT and URT tended to enhance leaf nitrogen (N) primarily, and PCA (59–69% variance explained) clearly displayed clustering of the fertiliser effects, with the maximum difference at flowering, the peak period of nutrient demand in the crop. In general, fertiliser chemistry and phenophase jointly controlled the C-N partitioning, soil chemical paths, and nutrient yield correlations. The BFT and SRT showed the greatest significant gains in soil fertility and nutrient retention, making them the best high-performance alternatives in sustainable durian production in tropical systems. Full article
(This article belongs to the Section Farming Sustainability)
Show Figures

Figure 1

17 pages, 845 KB  
Article
Effects of Nitrogen Management Strategies on Nitrogen Losses via Leaching and Runoff from Paddy Fields Under Rainfall-Adapted Irrigation
by Shan Zhang, Yonggang Duan, Jianqiang Zhu, Weihan Wang and Dongliang Qi
Agronomy 2026, 16(3), 320; https://doi.org/10.3390/agronomy16030320 - 27 Jan 2026
Viewed by 485
Abstract
Rainfall-adapted irrigation (RAI), the application of controlled-release nitrogen fertilizer (CRNF), and deep placement of nitrogen fertilizer can contribute to the improvement of resource utilization efficiency. Nevertheless, the interactive effects of these factors on nitrogen loss via runoff and leaching from paddy fields remain [...] Read more.
Rainfall-adapted irrigation (RAI), the application of controlled-release nitrogen fertilizer (CRNF), and deep placement of nitrogen fertilizer can contribute to the improvement of resource utilization efficiency. Nevertheless, the interactive effects of these factors on nitrogen loss via runoff and leaching from paddy fields remain ambiguous. Consequently, a two-year field experiment was conducted to evaluate the interactive effects of four nitrogen management strategies on nitrogen losses through runoff and leaching from paddy fields and rice yield under RAI when compared to conventional flooding irrigation (CI). Compared to CI, RAI significantly reduced total nitrogen loss via runoff (−49.8%) and leaching (−35.9%) by lowering volume of runoff and leaching. Compared to conventional nitrogen application (surface application of common urea with 240 kg N ha−1), deep placement of CRNF with 192 kg N ha−1 decreased floodwater nitrogen concentration, reducing total nitrogen loss by 46.8% via runoff and 50.9% via leaching. Importantly, RAI combined with deep placement of CRNF with 192 kg N ha−1 minimized nitrogen losses through leaching and runoff from paddy fields and maximized grain yield (8251 kg ha−1) by improving nitrogen accumulation in rice. Collectively, RAI combined with deep-placed CRNF with an 80% nitrogen rate could reduce non-point source pollution from paddy fields. Full article
Show Figures

Figure 1

22 pages, 3711 KB  
Article
Optimized Nitrogen Application Under Mulching Enhances Maize Yield and Water Productivity by Regulating Crop Growth and Water Use Dynamics
by Haoran Sun, Xufeng Wang, Shengdan Duan, Mengni Cui, Guangyao Xing, Shanchao Yue, Miaoping Xu and Yufang Shen
Agronomy 2026, 16(3), 290; https://doi.org/10.3390/agronomy16030290 - 23 Jan 2026
Viewed by 366
Abstract
Surface mulching and nitrogen (N) application are widely used to enhance crop yield and water productivity (WP). However, their combined effects remain unclear. Here, a three-year field experiment was conducted to comprehensively assess the effects of surface mulching (no mulching, B; straw mulching, [...] Read more.
Surface mulching and nitrogen (N) application are widely used to enhance crop yield and water productivity (WP). However, their combined effects remain unclear. Here, a three-year field experiment was conducted to comprehensively assess the effects of surface mulching (no mulching, B; straw mulching, S; and plastic film mulching, F) and N fertilization (no N application, N0; split application of urea, N1; 1:2 mixture of controlled-release urea and urea, N2) on maize growth, yield, and WP on the Loess Plateau. Application of nitrogen (N) significantly increased evapotranspiration (ET), grain yield, and WP by 4.58%, 176% (from 5215.43 kg ha−1 in N0 to 14,548.21 kg ha−1 in N2), and 166% (from 11.36 kg ha−1 mm−1 in N0 to 30.63 kg ha−1 mm−1 in N2), respectively. Compared with B and S, F increased ET during the pre-silking stage by 16.75% and 23.99%, respectively, and shortened the vegetative period of maize by 3–9 days but extended the duration from the milky stage (R3) to physiological maturity (R6) in the reproductive period by 5–13 days. F significantly increased yield and WP by 9.18% and 8.26% compared with S. Under F combined with N application, deep soil water (100–200 cm) consumption during R1–R3 increased by 15.75 mm and 13.15 mm compared with B and S, respectively. The combination of F and N2 achieved the highest yield (15,648.28 kg ha−1) and WP (32.44 kg ha−1 mm−1) without causing detectable depletion of soil water within the 0–200 cm profile during the study period, providing an effective strategy for enhancing crop yield and improving water–fertilizer use efficiency in semi-arid regions. Full article
Show Figures

Figure 1

14 pages, 611 KB  
Article
Mechanically Deep-Placed Nitrogen Fertilizer Modulates Rice Yield and Nitrogen Recovery Efficiency in South China
by Hanyue Guo, Longfei Xia, Siying Yang, Yifei Wang, Haidong Liu, Ming Jiang, Jianying Qi, Zhaowen Mo and Shenggang Pan
Agronomy 2026, 16(2), 213; https://doi.org/10.3390/agronomy16020213 - 15 Jan 2026
Viewed by 358
Abstract
Mechanical deep fertilization is an efficient fertilization method. However, the effects of different types of nitrogen fertilizer on rice grain yield and nitrogen use efficiency under deep-application conditions remain unclear. In this study, field experiments were carried out in 2021 and 2022. The [...] Read more.
Mechanical deep fertilization is an efficient fertilization method. However, the effects of different types of nitrogen fertilizer on rice grain yield and nitrogen use efficiency under deep-application conditions remain unclear. In this study, field experiments were carried out in 2021 and 2022. The experimental treatments consisted of three types of nitrogen fertilizer, i.e., urea (T1), slow/controlled-release fertilizer (T2), and super rice special fertilizer (T3), applied at a rate of 150 kg N ha−1 via mechanical deep placement using Meixiangzhan 2 (MX) and Y liangyou 1378 (YL) as experimental materials. No fertilizer application was used as a control (T0) to calculate nitrogen use efficiency. The T2 treatment produced 29.03% and 25.52% higher grain yield for MX and YL because of the increase in productive panicles per ha and spikelet number per panicle, 21.20% and 13.68% higher nitrogen recovery efficiency, and 24.57% and 23.29% higher nitrogen agronomy efficiency than T1, respectively. In addition, the T2 treatment significantly improved the leaf area index and total aboveground biomass at the panicle initiation and heading stages. We also found that the POD, CAT, NR, and GOGAT of T2 for MX and YL at the heading stage were significantly enhanced compared to other treatments. Significant interaction was also observed in spikelet per panicle and 1000-grain weight between rice variety and nitrogen fertilizer type. Therefore, slow/controlled-release fertilizer application at the rate of 150 kg N per ha is a more feasible nitrogen fertilizer management strategy under mechanical deep placement, with the merit of increasing grain yield and improving nitrogen use efficiency in South China. Full article
(This article belongs to the Special Issue Crop Productivity and Management in Agricultural Systems)
Show Figures

Figure 1

27 pages, 2422 KB  
Systematic Review
Nitrogen Source–Carbohydrate Synchronization in Ruminant Nutrition: A Systematic Review
by Leilson Rocha Bezerra, Juliana Paula Felipe de Oliveira, Antônio Fernando de Melo Vaz, Kevily Henrique de Oliveira Soares de Lucena, Lucas de Souza Barros, Yuri Martins de Andrade Fortunato, Severino Gonzaga Neto, Elzania Sales Pereira, Ronaldo Lopes Oliveira and José Morais Pereira Filho
Animals 2026, 16(2), 239; https://doi.org/10.3390/ani16020239 - 13 Jan 2026
Cited by 1 | Viewed by 705
Abstract
The synchronization between nitrogen sources and carbohydrate fractions represents a critical factor for optimizing microbial protein synthesis and overall ruminant performance. This systematic review, conducted according to PRISMA 2020 guidelines, comprehensively evaluated the interactions between different nitrogen sources (true protein, urea, controlled-release urea, [...] Read more.
The synchronization between nitrogen sources and carbohydrate fractions represents a critical factor for optimizing microbial protein synthesis and overall ruminant performance. This systematic review, conducted according to PRISMA 2020 guidelines, comprehensively evaluated the interactions between different nitrogen sources (true protein, urea, controlled-release urea, and bypass amino acids) and carbohydrate fractions (rapidly degrading soluble, slowly degrading soluble, fibrous, non-fibrous, and Van Soest fractions) in ruminant nutrition. A comprehensive search across PubMed, ScienceDirect, Web of Science, and Scopus databases identified 1855 records, of which 164 studies met the eligibility criteria for qualitative synthesis and 89 for quantitative meta-analysis. The review reveals that synchronization effectiveness varies significantly depending on the nitrogen source–carbohydrate combination, with controlled-release urea showing superior synchrony with slowly degrading carbohydrates, while conventional urea performs better with rapidly degrading sources. Meta-analytical results indicate that optimal nitrogen–carbohydrate synchronization can improve microbial protein synthesis by 18–34%, reduce urinary nitrogen excretion by 12–28%, and enhance feed efficiency by 8–15%. These findings provide evidence-based recommendations for precision nutrition strategies in ruminant production systems. Full article
(This article belongs to the Section Animal Nutrition)
Show Figures

Figure 1

18 pages, 5020 KB  
Article
Siloxane and Nano-SiO2 Dual-Modified Bio-Polymer Coatings Based on Recyclable Spent Mushroom Substrate: Excellent Performance, Controlled-Release Mechanism, and Effect on Plant Growth
by Jianrong Zhao, Yuanhao Zhang, Fuxin Liu, Songling Chen, Hongbao Wu and Ruilin Huang
Agriculture 2026, 16(1), 76; https://doi.org/10.3390/agriculture16010076 - 29 Dec 2025
Cited by 1 | Viewed by 388
Abstract
Spent mushroom substrate (SMS)-derived bio-based polyurethane coatings typically exhibit poor hydrophobicity and short nutrient release durations, limiting their ability to satisfy long-term crop requirements. This study developed improved controlled-release urea by preparing water-repellent and compact bio-polymer coatings from recyclable SMS using non-toxic siloxane [...] Read more.
Spent mushroom substrate (SMS)-derived bio-based polyurethane coatings typically exhibit poor hydrophobicity and short nutrient release durations, limiting their ability to satisfy long-term crop requirements. This study developed improved controlled-release urea by preparing water-repellent and compact bio-polymer coatings from recyclable SMS using non-toxic siloxane and nano-SiO2 modifiers through simple processes. The dual modification markedly reduced water absorption (from 6.60% to 4.43%) and porosity (from 6.32% to 3.92%), creating a dense coating with lotus-leaf-like nanoscale surface protrusions and fewer intermembrane pores. As a result, the nitrogen (N) release period of the dual-modified bio-polymer-polyurethane-coated urea (SBPCU) with a 7% coating thickness was extended from 23 days to 42 days. Phytotoxicity assessments confirmed the excellent biosafety of the bio-polymer coating, revealing no adverse effects on maize growth and even promotional effects at low concentrations. This approach offers a sustainable, eco-friendly, and scalable strategy for producing bio-polymer-coated urea from agricultural waste, serving as a viable alternative to petrochemical coatings while improving nutrient use efficiency and biosafety. Full article
(This article belongs to the Section Agricultural Technology)
Show Figures

Figure 1

19 pages, 4756 KB  
Article
Sustainable Biodegradable Starch–Collagen Polymeric Systems: Preparation, Characterization, and Efficacy for Slow Release of Organic Nitrogen, Phosphorus, and Potassium
by Maíra L. S. Couto, Ingrid A. dos S. Matusinho, Patterson P. Souza, Luiz C. A. Oliveira and Patrícia S. de O. Patricio
Polysaccharides 2025, 6(4), 113; https://doi.org/10.3390/polysaccharides6040113 - 9 Dec 2025
Viewed by 731
Abstract
The use of biodegradable polymers in slow-release NPK fertilizers is gaining prominence for reducing overdosing, minimizing nutrient loss, and enhancing efficiency. This study prepared modified and unmodified thermoplastic starch (TPS) systems via extrusion, incorporating collagen and potassium phosphate. Controlled-release nutrient systems utilizing nitrogen [...] Read more.
The use of biodegradable polymers in slow-release NPK fertilizers is gaining prominence for reducing overdosing, minimizing nutrient loss, and enhancing efficiency. This study prepared modified and unmodified thermoplastic starch (TPS) systems via extrusion, incorporating collagen and potassium phosphate. Controlled-release nutrient systems utilizing nitrogen from an organic source were developed and characterized. The materials were characterized using Fourier-transform infrared spectroscopy (FTIR), X-ray diffraction (XRD), contact angle measurements, and biodegradability in the soil. The biodegradability of the polymeric matrix was evaluated through mass loss, with up to 78.9% degradation observed after 60 days for TPS-based systems containing collagen. Structural modifications in the TPS matrix led to changes in crystallinity and hydrophilicity, which directly influenced degradation rates. The nutrient release effect was assessed by monitoring the growth of chili pepper seedlings over 15 days. Seedlings grown in soil containing polymeric systems with 20% collagen or 6.2% urea reached average heights between 5.2 and 7.8 cm, compared to 5.0 cm for the unmodified TPS and 0 cm in treatments with pure urea, which caused seedling mortality. The polymeric systems containing collagen exhibited superior performance as a sustainable nitrogen source, ensuring a slower and more controlled release while yielding positive outcomes for early plant development. Full article
Show Figures

Graphical abstract

26 pages, 3336 KB  
Article
Co-Incorporation of Controlled-Release Urea and Conventional Urea Enhances Rice Yield, Economic Benefits, and Nitrogen Use Efficiency in Saline–Alkali Paddy Fields
by Zhouzhou Wu, Jiaxin Liu, Jiamei Nie, Chao Liang, Shimeng Guo, Chanchan Zhou, Yuancai Huang and Shu Wang
Agronomy 2025, 15(12), 2786; https://doi.org/10.3390/agronomy15122786 - 2 Dec 2025
Viewed by 845
Abstract
The combination of controlled-release urea (CRU) and conventional urea (CU) has become an important practical strategy to simultaneously increase rice yield, economic benefits, and nitrogen (N) use efficiency (NUE) with one-time fertilization management. However, the method by which the combination of CRU and [...] Read more.
The combination of controlled-release urea (CRU) and conventional urea (CU) has become an important practical strategy to simultaneously increase rice yield, economic benefits, and nitrogen (N) use efficiency (NUE) with one-time fertilization management. However, the method by which the combination of CRU and CU intervenes with rice yield, economic benefits, and NUE in saline–alkali paddy fields has not yet been established. Accordingly, a two-year field experiment was set up with a total of seven treatments (CK, no N application; CUF, conventional urea split applications; RCUF, CUF treatment with 20% N reduction; CRBF1, 50%CRU + 50%CU one-time base application; CRBF2, 70%CRU + 30%CU one-time base application; RCRBF1, CRBF1 treatment with 20% N reduction; RCRBF2, CRBF2 treatment with 20% N reduction). The results showed that the controlled-release blended fertilizer (CRBF) treatments significantly increased the yield, economic benefits, and NUE over the two years. The CRBF1 and CRBF2 treatments significantly increased the rice yield by 5.10–6.77% and 10.41–11.04%, N recovery efficiency by 13.30–17.40% and 21.69–26.75%, and N agronomic efficiency by 10.40–13.91% and 21.26–22.10% compared to the CUF treatment, respectively. The RCRBF1 and RCRBF2 treatments maintained rice yields and significantly increased NUE compared to the CUF treatment. The analysis of yield components indicated that the greater rice yields of the CRBF were mainly attributed to increased panicle numbers and spikelet numbers per m2. Furthermore, the post-anthesis dry matter, N accumulation, flag SPAD values, flag photosynthetic rates, and soil ammonium nitrogen content were higher during the grain-filling stage of the CRBF treatments compared to the CUF treatments. Compared with the CUF treatment, the CRBF1 and CRBF2 treatments increased economic benefits by 8.74–11.16% and 17.14–17.41%. Therefore, the combination of CRU and CU can increase rice yield, economic benefits, and NUE in saline–alkali paddy fields. Moreover, it is recommended to apply CRU and CU at a ratio of 7:3 in a single basal application as a green and efficient alternative N management strategy for saline–alkali paddy fields. The results provide a scientific basis for N management strategies in saline–alkali paddy fields. Full article
(This article belongs to the Section Soil and Plant Nutrition)
Show Figures

Figure 1

20 pages, 1657 KB  
Article
Optimizing the Ratio of One-Off Slow-Release Fertilizer Can Improve the Nitrogen Use Efficiency and Yield of Rice Under the Condition of Nitrogen Reduction
by Zichen Liu, Zilin Wang, Gaoyuan Wu, Junlei Chen, Jingqi He, Meikang Wu, Dongchao Wang, Xiaoshuang Wei, Ping Tian, Zhihai Wu, Siyuan Li and Meiying Yang
Plants 2025, 14(23), 3650; https://doi.org/10.3390/plants14233650 - 29 Nov 2025
Cited by 1 | Viewed by 670
Abstract
Increasing grain production is crucial for national food security, and fertilizer management is one of the most effective ways to achieve this. In traditional agricultural production, excessive nitrogen (N) application often leads to reduced N use efficiency and increased environmental pollution. Compound slow-release [...] Read more.
Increasing grain production is crucial for national food security, and fertilizer management is one of the most effective ways to achieve this. In traditional agricultural production, excessive nitrogen (N) application often leads to reduced N use efficiency and increased environmental pollution. Compound slow-release fertilizers can effectively improve N use efficiency while still meeting the nutritional demands of rice. However, research on these compound slow-release fertilizers remains limited. The effects of fertilizer management measures (controlled-release fertilizer ratios and N fertilizer levels) on rice yield, material accumulation, photosynthetic characteristics, and N use efficiency are not yet fully understood. In particular, the relationships between yield and material accumulation, photosynthetic characteristics, and N use efficiency require further study. Therefore, this study was conducted in 2021 and 2022 using Jinongda 667 as the material, with three N fertilizer rates of 90 (N1), 120 (N2), and 150 kg ha−1 N (N3). Six controlled-release fertilizer ratios of sulfur-coated urea (SCU) and resin-coated urea (RCU) were tested: 1:0 (C1), 0:1 (C2), 3:1 (C3), 4:1 (C4), 5:1 (C5), and 6:1 (C6) (optimized in 2022 to three ratios: 3:1, 4:1, and 5:1, with traditional split-application fertilization (CF) added as a control). The results showed that the N3C5 treatment achieved the highest yield of 9246.7 kg ha−1 among all combinations of slow-controlled release compound fertilizer ratios and N levels. In 2021, under the same N gradient, yields followed the order C5 > C4 > C3 > C2 > C1, whereas the C6 treatment exhibited a declining yield trend across different N levels. The yield pattern observed in 2022 was consistent with that of 2021. Further comparisons of C3, C4, and C5 under different N levels with the traditional fertilization treatment (N3CF) indicated that, under the same N level, the C5 treatment produced significantly higher yields than the C3 and C4 treatments. Photosynthetic rates at various stages under the C5 treatment increased by 1.9% to 12.7% compared to the C3 and C4 treatments. The N2C5 and N3C5 treatments increased yield by 1.3% and 9.4%, respectively, compared with N3CF, with effective panicle numbers increasing by 6.7% and 11.1%, respectively. The N2C5 treatment reduced N application by 20% compared with N3CF, while significantly increasing N Apparent Use Efficiency (NAUE) by 56.6% and Agronomic N Agricultural Utilization Efficiency (NAE) by 41.8%. Therefore, applying a 5:1 controlled-release fertilizer at a N application rate of 120 kg ha−1 can reduce N use while enhancing efficiency. This approach provides a theoretical basis for green, high-yield rice cultivation. Full article
(This article belongs to the Special Issue Advances in Nitrogen Nutrition in Plants)
Show Figures

Figure 1

Back to TopTop