Optimizing the Ratio of One-Off Slow-Release Fertilizer Can Improve the Nitrogen Use Efficiency and Yield of Rice Under the Condition of Nitrogen Reduction
Abstract
1. Introduction
2. Results
2.1. Grain Yield
2.2. Yield Components
2.3. Dry Matter Accumulation
2.4. Photosynthetic Rate
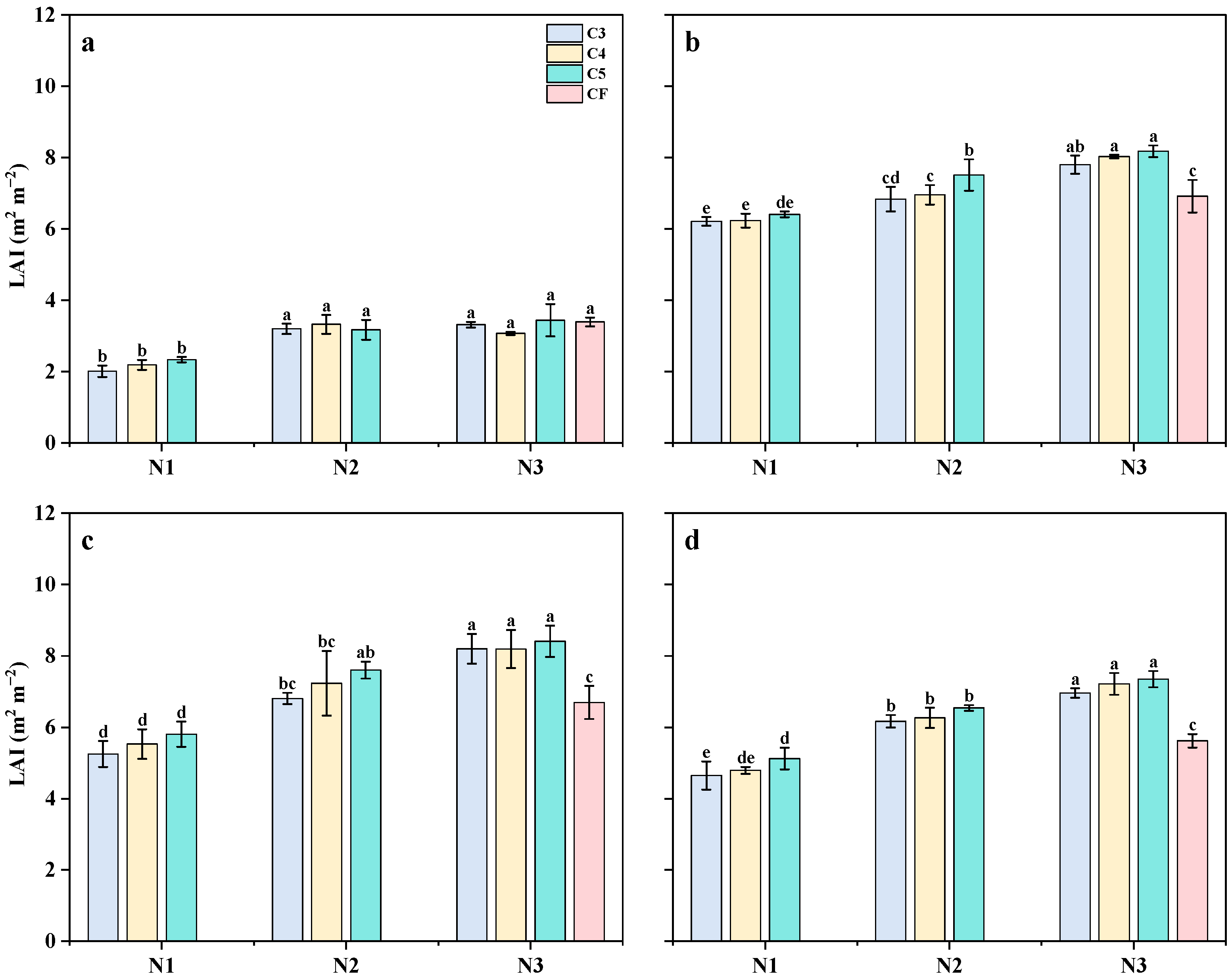
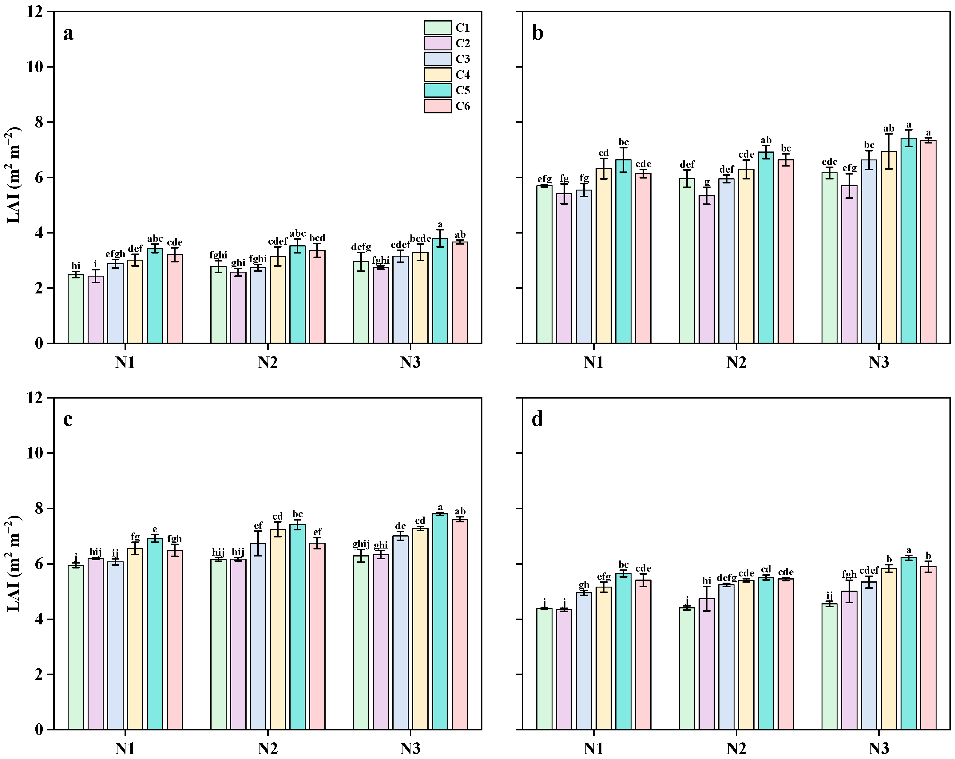
2.5. Leaf Area Index
2.6. Nitrogen Use Efficiency
2.7. Effects of Dry Matter Accumulation and LAI on Yield, Photosynthetic Rate and NUE
3. Discussion
3.1. Effects of N Application Rate and Slow-Release Fertilizer Ratio on Rice Yield Formation and NUE
3.2. The Effect of N Application Rate and Controlled-Release Fertilizer Ratio on Rice Material Accumulation and Photosynthetic Traits
3.3. Optimizing the Ratio of Controlled-Release Fertilizers to Enhance Rice Photosynthetic Capacity and NUE
4. Materials and Methods
4.1. Experiment Site
4.2. Experiment Design
4.3. Sampling and Measurements
4.3.1. Grain Yield and Yield Components
4.3.2. Dry Matter Accumulation
4.3.3. N Accumulation and N Fertilizer Utilization Efficiency
4.3.4. Net Photosynthetic Rate
4.3.5. LAI
4.4. Statistical Analysis
5. Conclusions
Author Contributions
Funding
Data Availability Statement
Conflicts of Interest
References
- Huang, M.; Zou, Y.B. Integrating mechanization with agronomy and breeding to ensure food security in China. Field Crops Res. 2018, 224, 22–27. [Google Scholar] [CrossRef]
- Zhang, X.; Davidson, E.A.; Mauzerall, D.L.; Searchinger, T.D.; Dumas, P.; Shen, Y. Managing nitrogen for sustainable development. Nature 2015, 528, 51–59. [Google Scholar] [CrossRef] [PubMed]
- Cai, S.Y.; Zhao, X.; Pittelkow, C.M.; Fan, M.S.; Zhang, X.; Yan, X.Y. Optimal nitrogen rate strategy for sustainable rice production in China. Nature 2023, 615, 73–79. [Google Scholar] [CrossRef]
- Ling, Q.H.; Zhang, H.C.; Dai, Q.G.; Ding, Y.F.; Ling, L.; Su, Z.F.; Xu, M.; Que, J.; Wang, S. Study on Precise and Quantitative N Application in Rice. Sci. Agric. Sin. 2005, 12, 2457–2467, (In Chinese with English Abstract). [Google Scholar]
- Peng, S.B.; Buresh, R.J.; Huang, J.L.; Zhong, X.H.; Zou, Y.B.; Yang, J.C.; Wang, G.H.; Liu, Y.Y.; Hu, R.F.; Tang, Q.Y.; et al. Improving nitrogen fertilization in rice by site-specific N management. A review. Agron. Sustain. Dev. 2010, 30, 649–656. [Google Scholar] [CrossRef]
- Zhang, F.S.; Cui, Z.L.; Fan, M.S.; Zhang, W.F.; Chen, X.P.; Jiang, R.F. Integrated Soil-Crop System Management: Reducing Environmental Risk while Increasing Crop Productivity and Improving Nutrient Use Efficiency in China. J. Environ. Qual. 2011, 40, 1051–1057. [Google Scholar] [CrossRef]
- Peng, S.B.; Buresh, R.J.; Huang, J.L.; Yang, J.C.; Zou, Y.B.; Zhong, X.H.; Wang, G.H.; Zhang, F.S. Strategies for overcoming low agronomic nitrogen use efficiency in irrigated rice systems in China. Field Crops Res. 2006, 96, 37–47. [Google Scholar] [CrossRef]
- Xie, C.S.; Tang, S.H.; Xu, P.Z.; Zhang, F.B.; Chen, J.S. Effects of single basal application of controlled-release fertilizers on growth and yield of rice. J. Plant Nutr. Fertil. 2006, 12, 177–182, (In Chinese with English Abstract). [Google Scholar]
- Tang, S.H.; Yang, S.H.; Chen, J.S.; Xu, P.Z.; Zhang, F.B.; Ai, S.Y.; Xu, H. Studies on the Mechanism of Single Basal Application of Controlled-Release Fertilizers for Increasing Yield of Rice (Oryza safiva L.). Agric. Sci. China 2007, 6, 586–596. [Google Scholar] [CrossRef]
- Liu, C.; Sun, Y.X.; Wu, G.; Wang, X.; Yuan, M.M.; Wang, J.B.; He, W.Z.; Chen, F.; LeCocq, K.; Wang, L.; et al. Amendment with controlled release urea increases leaf morpho-physiological traits, grain yield and NUE in a double-cropping rice system in southern China. J. Sci. Food Agric. 2023, 103, 1692–1703. [Google Scholar] [CrossRef] [PubMed]
- Yang, X.Y.; Geng, J.B.; Liu, Q.J.; Zhang, H.Y.; Hao, X.D.; Sun, Y.B.; Lu, X.F. Controlled-release urea improved rice yields by providing nitrogen in synchrony with the nitrogen requirements of plants. J. Sci. Food Agric. 2021, 101, 4183–4192. [Google Scholar] [CrossRef] [PubMed]
- Zhang, L.; Liang, Z.Y.; Hu, Y.C.; Schmidhalter, U.; Zhang, W.S.; Ruan, S.Y.; Chen, X.P. Integrated assessment of agronomic, environmental and ecosystem economic benefits of blending use of controlled-release and common urea in wheat production. J. Clean. Prod. 2021, 287, 125572. [Google Scholar] [CrossRef]
- Trenkel, M.E. Controlled-Release and Stabilized Fertilizers in Agriculture; International Fertilizer Industry Association: Paris, France, 1997. [Google Scholar]
- Yu, Z.T.; Juhasz, A.; Islam, S.; Diepeveen, D.; Zhang, J.J.; Wang, P.H.; Ma, W.J. Impact of mid-season sulphur deficiency on wheat nitrogen metabolism and biosynthesis of grain protein. Sci. Rep. 2018, 8, 2499. [Google Scholar] [CrossRef]
- Shivay, Y.S.; Pooniya, V.; Pal, M.; Ghasal, P.C.; Bana, R.; Jat, S.L. Coated Urea Materials for Improving Yields, Profitability, and Nutrient Use Efficiencies of Aromatic Rice. Glob. Chall. 2019, 3, 1900013. [Google Scholar] [CrossRef]
- Timilsena, Y.P.; Adhikari, R.; Casey, P.; Muster, T.; Gill, H.; Adhikari, B. Enhanced efficiency fertilisers: A review of formulation and nutrient release patterns. J. Sci. Food Agric. 2015, 95, 1131–1142. [Google Scholar] [CrossRef]
- Haseeb-ur, R.; Asghar, M.G.; Ikram, R.M.; Hashim, S.; Hussain, S.; Irfan, M.; Mubeen, K.; Ali, M.; Alam, M.; Ali, M.; et al. Sulphur coated urea improves morphological and yield characteristics of transplanted rice (Oryza sativa L.) through enhanced nitrogen uptake. J. King Saud Univ. Sci. 2022, 34, 101664. [Google Scholar] [CrossRef]
- Zhao, B.; Zhang, F.; Liao, Z. Strategies in development of new types of fertilizers in China. Acta Metall. Sin. 2004, 10, 536–545. [Google Scholar]
- Shaviv, A. Advances in controlled-release fertilizers. Adv. Agron. 2001, 71, 1–49. [Google Scholar] [CrossRef]
- Wei, H.Y.; Li, H.L.; Cheng, J.Q.; Zhang, H.C.; Dai, Q.G.; Huo, Z.Y.; Xu, K.; Guo, B.W.; Hu, Y.J.; Cui, P.Y. Effects of Slow/Controlled Release Fertilizer Types and Their Application Re gime on Yield in Rice with Different Types of Panicle. Acta Agron. Sin. 2017, 43, 730–740, (In Chinese with English Abstract). [Google Scholar] [CrossRef]
- Xing, X.M.; Li, X.C.; Ding, Y.F.; Wang, S.H.; Liu, Z.H.; Tang, S.; Ding, C.Q.; Li, G.H.; Wei, G.B. Effects of Types of Controlled Released Nitrogen and Fertilization Modes on Yield and Dry Mass Production. Sci. Agric. Sin. 2015, 48, 4892–4902, (In Chinese with English Abstract). [Google Scholar]
- Hou, W.F.; Khan, M.R.; Zhang, J.L.; Lu, J.W.; Ren, T.; Cong, R.H.; Li, X.K. Nitrogen rate and plant density interaction enhances radiation interception, yield and nitrogen use efficiency of mechanically transplanted rice. Agric. Ecosyst. Environ. 2019, 269, 183–192. [Google Scholar] [CrossRef]
- Chong, H.T.; Jiang, Z.Y.; Shang, L.Y.; Shang, C.; Deng, J.; Zhang, Y.B.; Huang, L.Y. Dense Planting with Reduced Nitrogen Input Improves Grain Yield, Protein Quality, and Resource use Efficiency in Hybrid Rice. J. Plant Growth Regul. 2023, 42, 960–972. [Google Scholar] [CrossRef]
- Miao, X.K.; Xing, X.M.; Ding, Y.F.; Ke, J.; Liu, Z.H.; Tang, S.; Ding, C.Q.; Wang, S.H.; Li, G.H. Yield and Nitrogen Uptake of Bowl-Seedling Machine-Transplanted Rice with Slow-Release Nitrogen Fertilizer. Agron. J. 2016, 108, 313–320. [Google Scholar] [CrossRef]
- Wang, L.; Xue, C.; Pan, X.; Chen, F.; Liu, Y. Application of Controlled-Release Urea Enhances Grain Yield and Nitrogen Use Efficiency in Irrigated Rice in the Yangtze River Basin, China. Front. Plant Sci. 2018, 9, 999. [Google Scholar] [CrossRef]
- Yu, Z.X.; Shen, Z.Y.; Xu, L.; Yu, J.; Zhang, L.; Wang, X.K.; Yin, G.D.; Zhang, W.J.; Li, Y.L.; Zuo, W.G.; et al. Effect of Combined Application of Slow-Release and Conventional Urea on Yield and Nitrogen Use Efficiency of Rice and Wheat under Full Straw Return. Agronomy 2022, 12, 998. [Google Scholar] [CrossRef]
- Zhang, J.S.; Li, B.; Wang, C.Q.; Xiang, H.; Zhou, Y.H.; Yin, B.; Liang, J.Y.; Fu, Y.J. Effects of the blending ratio of controlled release nitrogen fertilizer and urea on soil nitrogen supply in the mid-late growing stage and yield of wheat and rice. J. Plant Nutr. Fertil. 2017, 23, 110–118, (In Chinese with English Abstract). [Google Scholar]
- Zhou, Q.; Yuan, R.; Zhang, W.Y.; Gu, J.F.; Liu, L.J.; Zhang, H.; Wang, Z.Q.; Yang, J.C. Grain yield, nitrogen use efficiency and physiological performance of indica/japonica hybrid rice in response to various nitrogen rates. J. Integr. Agric. 2023, 22, 63–79. [Google Scholar] [CrossRef]
- Xu, R.; Chen, S.; Xu, C.M.; Liu, Y.H.; Zhang, X.F.; Wang, D.Y.; Chu, G. Effects of nitrogen fertilizer rates on grain yield and nitrogen use efficiency of japonica-indica hybrid rice cultivar Yongyou 1540 and its physiological bases. Acta Agron. Sin. 2023, 49, 1630–1642, (In Chinese with English Abstract). [Google Scholar]
- Ye, Y.S.; Liang, X.Q.; Chen, Y.X.; Liu, J.; Gu, J.T.; Guo, R.; Li, L. Alternate wetting and drying irrigation and controlled-release nitrogen fertilizer in late-season rice. Effects on dry matter accumulation, yield, water and nitrogen use. Field Crops Res. 2013, 144, 212–224. [Google Scholar] [CrossRef]
- Man, J.G.; Shi, Y.; Yu, Z.W.; Zhang, Y.L. Dry Matter Production, Photosynthesis of Flag Leaves and Water Use in Winter Wheat Are Affected by Supplemental Irrigation in the Huang-Huai-Hai Plain of China. PLoS ONE 2015, 10, e0137274. [Google Scholar] [CrossRef]
- Xu, C.; Zhao, H.X.; Li, Q.; Liu, X.L.; Zhang, Z.A.; Bian, S.F. Study on dry matter accumulation and leaf response to light and CO2 of maize under irrigation quota. Cereal Res. Commun. 2020, 48, 173–178. [Google Scholar] [CrossRef]
- Zhou, W.; Lv, T.; Yang, Z.P.; Wang, T.; Fu, Y.; Chen, Y.; Hu, B.H.; Ren, W.J. Morphophysiological mechanism of rice yield increase in response to optimized nitrogen management. Sci. Rep. 2017, 7, 17226. [Google Scholar] [CrossRef]
- Wei, H.Y.; Zhang, H.C.; Blumwald, E.; Li, H.L.; Cheng, J.Q.; Dai, Q.G.; Huo, Z.Y.; Xu, K.; Guo, B.W. Different characteristics of high yield formation between inbred japonica super rice and inter-sub-specific hybrid super rice. Field Crops Res. 2016, 198, 179–187. [Google Scholar] [CrossRef]
- Jiang, H.; Thobakgale, T.; Li, Y.; Liu, L.Z.; Su, Q.W.; Cang, B.F.; Bai, C.Y.; Li, J.Y.; Song, Z.; Wu, M.K.; et al. Construction of dominant rice population under dry cultivation by seeding rate and nitrogen rate interaction. Sci. Rep. 2021, 11, 7189. [Google Scholar] [CrossRef]
- Gupta, N.; Ram, H.; Kumar, B. Mechanism of Zinc absorption in plants: Uptake, transport, translocation and accumulation. Rev. Environ. Sci. Bio/Technol. 2016, 15, 89–109. [Google Scholar] [CrossRef]
- Qadeer, U.; Ahmed, M.; Fayyaz-ul, H.; Akmal, M. Impact of Nitrogen Addition on Physiological, Crop Total Nitrogen, Efficiencies and Agronomic Traits of the Wheat Crop under Rainfed Conditions. Sustainability 2019, 11, 6486. [Google Scholar] [CrossRef]
- Abbas, G.; Fatima, Z.; Hussain, M.; Hussain, S.; Atique-ur, R.; Sarwar, N.; Ahmed, M.; Ahmad, S. Nitrogen Rate and Hybrid Selection Matters Productivity of Maize-Maize Cropping System under Irrigated Arid Environment of Southern Punjab, Pakistan. Int. J. Plant Prod. 2020, 14, 309–320. [Google Scholar] [CrossRef]
- Liu, Z.C.; Shang, L.Y.; Dai, S.J.; Ye, J.Y.; Sheng, T.; Deng, J.; Liu, K.; Fahad, S.; Tian, X.H.; Zhang, Y.B.; et al. Optimizing nitrogen application and planting density improves yield and resource use efficiency via regulating canopy light and nitrogen distribution in rice. J. Integr. Agric. 2024; in press. [Google Scholar] [CrossRef]
- Deng, F.; Wang, L.; Ren, W.J.; Mei, X.F.; Li, S.X. Optimized nitrogen managements and polyaspartic acid urea improved dry matter production and yield of indica hybrid rice. Soil Tillage Res. 2015, 145, 1–9. [Google Scholar] [CrossRef]
- Li, M.; Guo, X.S.; Ye, S.Y.; Liu, F.; Yuan, M.M.; Huang, Y.D. Effects of sulfur-and polymer-coated controlled release urea on yield, photosynthetic characteristics and nitrogen fertilizer efficiency of rice. J. Plant Nutr. Fertil. 2013, 19, 808–815, (In Chinese with English Abstract). [Google Scholar]
- Chen, J.; Cao, F.B.; Xiong, H.R.; Huang, M.; Zou, Y.B.; Xiong, Y.F. Effects of single basal application of coated compound fertilizer on yield and nitrogen use efficiency in double-cropped rice. Crop J. 2017, 5, 265–270. [Google Scholar] [CrossRef]
- Zhou, W.L.; Lou, Y.S.; Ren, L.X.; Han, Y.; Meng, Y.; Wu, L. Application of Controlled-Release Nitrogen Fertilizer Decreased Methane Emission in Transgenic Rice from a Paddy Soil. Water Air Soil Pollut. 2014, 225, 1897. [Google Scholar] [CrossRef]
- Gil-Ortiz, R.; Naranjo, M.A.; Ruiz-Navarro, A.; Atares, S.; Garcia, C.; Zotarelli, L.; San Bautista, A.; Vicente, O. Enhanced Agronomic Efficiency Using a New Controlled-Released, Polymeric-Coated Nitrogen Fertilizer in Rice. Plants 2020, 9, 1183. [Google Scholar] [CrossRef] [PubMed]
- Pu, X.J.; Guo, H.Y.; Wang, Y.F.; Xia, L.F.; Tian, H. Mechanical Deep Placement of Slow/Controlled-Release Fertilizer Increases Grain Yield and Nitrogen Use Efficiency by Improving the Carbon and Nitrogen Metabolism Abilities of Rice. 2025. Available online: https://www.researchsquare.com/article/rs-6256990/v1 (accessed on 27 November 2025).
- Long, S.P.; Zhu, X.G.; Naidu, S.L.; Ort, D.R. Can improvement in photosynthesis increase crop yields? Plant Cell Environ. 2006, 29, 315–330. [Google Scholar] [CrossRef] [PubMed]
- Sun, Y.; Mi, W.H.; Su, L.J.; Shan, Y.Y.; Wu, L.H. Controlled-release fertilizer enhances rice grain yield and N recovery efficiency in continuous non-flooding plastic film mulching cultivation system. Field Crops Res. 2019, 231, 122–129. [Google Scholar] [CrossRef]
- Liu, T.N.; Gu, L.M.; Dong, S.T.; Zhang, J.W.; Liu, P.; Zhao, B. Optimum leaf removal increases canopy apparent photosynthesis, 13C-photosynthate distribution and grain yield of maize crops grown at high density. Field Crops Res. 2015, 170, 32–39. [Google Scholar] [CrossRef]
- Huang, M.; Yang, C.L.; Ji, Q.M.; Jiang, L.G.; Tan, J.L.; Li, Y.Q. Tillering responses of rice to plant density and nitrogen rate in a subtropical environment of southern China. Field Crops Res. 2013, 149, 187–192. [Google Scholar] [CrossRef]
- Peng, Y.; Sun, Y.J.; Jiang, M.J.; Xu, H.; Qin, J.; Yang, Z.Y.; Ma, J. Effects of Water Management and Slow/Controlled Release Nitrogen Fertilizer on Biomass and Nitrogen Accumulation, Translocation, and Distribution in Rice. Acta Agron. Sin. 2014, 40, 859–870, (In Chinese with English Abstract). [Google Scholar] [CrossRef]









| Nitrogen | Slow-Release Fertilizer Ratios | Spikelets Panicle−1 | Grain Filling (%) | Grain Weight (g Per 1000 Seeds) | Panicles Number (m2) |
|---|---|---|---|---|---|
| N1 | C1 | 97.6 e | 94.3 bc | 25.1 a | 241.3 i |
| C2 | 102.0 de | 94.9 abc | 23.8 abcd | 289.0 gh | |
| C3 | 102.4 de | 96.6 abc | 24.5 abc | 303.3 fg | |
| C4 | 103.8 de | 95.8 abc | 23.4 abcd | 338.0 def | |
| C5 | 118.2 bc | 94.4 bc | 22.3 d | 474.0 b | |
| C6 | 102.5 de | 95.3 abc | 23.5 abcd | 310.0 efg | |
| N2 | C1 | 103.8 de | 93.4 c | 22.8 cd | 263.0 hi |
| C2 | 102.0 de | 87.4 d | 22.3 d | 340.0 def | |
| C3 | 102.5 de | 95.5 abc | 23.6 abcd | 376.0 cd | |
| C4 | 115.3 bc | 97.8 ab | 24.3 abc | 377.3 cd | |
| C5 | 119.6 b | 95.5 abc | 23.9 abcd | 402.3 c | |
| C6 | 103.8 de | 98.2 a | 23.1 bcd | 347.7 de | |
| N3 | C1 | 101.8 de | 96.8 ab | 22.7 cd | 299.0 fgh |
| C2 | 109.7 cd | 95.1 abc | 23.7 abcd | 347.7 de | |
| C3 | 112.5 bc | 94.5 bc | 23.7 abcd | 375.3 cd | |
| C4 | 114.3 bc | 96.0 abc | 23.9 abcd | 397.3 c | |
| C5 | 141.6 a | 96.9 ab | 23.9 abcd | 515.8 a | |
| C6 | 103.8 de | 94.7 bc | 24.7 ab | 471.3 b | |
| Analysis of variance | |||||
| N | ** | NS | NS | ** | |
| C | ** | ** | NS | ** | |
| N×C | ** | ** | * | ** | |
| Nitrogen | Slow-Release Fertilizer Ratios | Spikelets Panicle−1 | Grain Filling (%) | Grain Weight (g per 1000 Seeds) | Panicles Number (m2) |
|---|---|---|---|---|---|
| N1 | C3 | 139.2 cd | 93.8 ab | 21.5 b | 258.0 f |
| C4 | 137.7 d | 94.2 ab | 21.5 b | 267.0 ef | |
| C5 | 137.7 d | 94.3 ab | 21.6 b | 275.7 de | |
| N2 | C3 | 139.6 cd | 94.8 a | 21.9 ab | 292.0 cd |
| C4 | 140.8 bcd | 94.3 ab | 21.9 ab | 299.3 bc | |
| C5 | 146.1 ab | 93.9 ab | 21.8 ab | 309.3 ab | |
| N3 | C3 | 144.9 ab | 94.7 ab | 22.1 ab | 315.0 ab |
| C4 | 145.7 ab | 93.8 ab | 22.1 ab | 318.6 a | |
| C5 | 148.7 a | 94.6 ab | 22.0 ab | 322.2 a | |
| CF | 290.0 cd | 146.7 a | 22.9 a | 146.7 a | |
| CK | 168.3 g | 121.9 e | 22.0 ab | 121.9 e | |
| Analysis of variance | |||||
| N C N×C | ** | NS | NS | ** | |
| NS | NS | NS | ** | ||
| NS | NS | NS | NS | ||
| Nitrogen | Slow-Release Fertilizer Ratios | TN HD (kg ha−1) | TN PM (kg ha−1) | NFP (kg kg−1) | NHI (%) | NAE (kg kg−1) | NAUE (%) | NPE (kg kg−1) |
|---|---|---|---|---|---|---|---|---|
| N1 | C3 | 49.95 i | 69.12 i | 80.46 bc | 72.79 abc | 33.42 cd | 37.40 d | 89.68 a |
| C4 | 60.42 h | 74.64 h | 82.25 ab | 70.30 d | 35.82 bcd | 43.53 c | 82.57 ab | |
| C5 | 65.09 g | 78.81 g | 86.00 a | 69.82 d | 38.96 ab | 48.17 b | 79.74 abc | |
| N2 | C3 | 68.49 g | 93.98 f | 70.31 ef | 73.69 a | 35.03 bcd | 48.77 b | 71.91 bc |
| C4 | 72.94 f | 98.01 e | 72.47 de | 73.72 a | 37.19 bcd | 52.13 ab | 71.44 bc | |
| C5 | 81.71 d | 103.43 d | 77.02 cd | 72.63 abc | 41.75 a | 56.64 a | 73.71 bc | |
| N3 | C3 | 87.09 c | 109.35 c | 63.75 gh | 73.41 ab | 35.53 bcd | 49.43 b | 71.88 bc |
| C4 | 92.45 b | 114.51 b | 64.18 gh | 72.18 bc | 35.96 bcd | 52.70 ab | 68.41 c | |
| C5 | 98.26 a | 118.91 a | 66.56 fg | 71.61 c | 38.34 abc | 55.66 a | 68.93 c | |
| CF | 76.82 e | 89.96 f | 60.82 h | 69.81 d | 32.60 d | 36.34 d | 90.08 a | |
| CK | 26.07 j | 35.46 j | —— | —— | —— | —— | —— | |
| Analysis of variance | ||||||||
| N | ** | ** | ** | ** | NS | ** | ** | |
| C | ** | ** | ** | ** | ** | ** | NS | |
| N×C | NS | NS | NS | NS | NS | NS | NS | |
Disclaimer/Publisher’s Note: The statements, opinions and data contained in all publications are solely those of the individual author(s) and contributor(s) and not of MDPI and/or the editor(s). MDPI and/or the editor(s) disclaim responsibility for any injury to people or property resulting from any ideas, methods, instructions or products referred to in the content. |
© 2025 by the authors. Licensee MDPI, Basel, Switzerland. This article is an open access article distributed under the terms and conditions of the Creative Commons Attribution (CC BY) license (https://creativecommons.org/licenses/by/4.0/).
Share and Cite
Liu, Z.; Wang, Z.; Wu, G.; Chen, J.; He, J.; Wu, M.; Wang, D.; Wei, X.; Tian, P.; Wu, Z.; et al. Optimizing the Ratio of One-Off Slow-Release Fertilizer Can Improve the Nitrogen Use Efficiency and Yield of Rice Under the Condition of Nitrogen Reduction. Plants 2025, 14, 3650. https://doi.org/10.3390/plants14233650
Liu Z, Wang Z, Wu G, Chen J, He J, Wu M, Wang D, Wei X, Tian P, Wu Z, et al. Optimizing the Ratio of One-Off Slow-Release Fertilizer Can Improve the Nitrogen Use Efficiency and Yield of Rice Under the Condition of Nitrogen Reduction. Plants. 2025; 14(23):3650. https://doi.org/10.3390/plants14233650
Chicago/Turabian StyleLiu, Zichen, Zilin Wang, Gaoyuan Wu, Junlei Chen, Jingqi He, Meikang Wu, Dongchao Wang, Xiaoshuang Wei, Ping Tian, Zhihai Wu, and et al. 2025. "Optimizing the Ratio of One-Off Slow-Release Fertilizer Can Improve the Nitrogen Use Efficiency and Yield of Rice Under the Condition of Nitrogen Reduction" Plants 14, no. 23: 3650. https://doi.org/10.3390/plants14233650
APA StyleLiu, Z., Wang, Z., Wu, G., Chen, J., He, J., Wu, M., Wang, D., Wei, X., Tian, P., Wu, Z., Li, S., & Yang, M. (2025). Optimizing the Ratio of One-Off Slow-Release Fertilizer Can Improve the Nitrogen Use Efficiency and Yield of Rice Under the Condition of Nitrogen Reduction. Plants, 14(23), 3650. https://doi.org/10.3390/plants14233650

