Mechanically Deep-Placed Nitrogen Fertilizer Modulates Rice Yield and Nitrogen Recovery Efficiency in South China
Abstract
1. Introduction
2. Materials and Methods
2.1. Experimental Site
2.2. Fertilizer Applicator
2.3. Experimental Treatments and Design
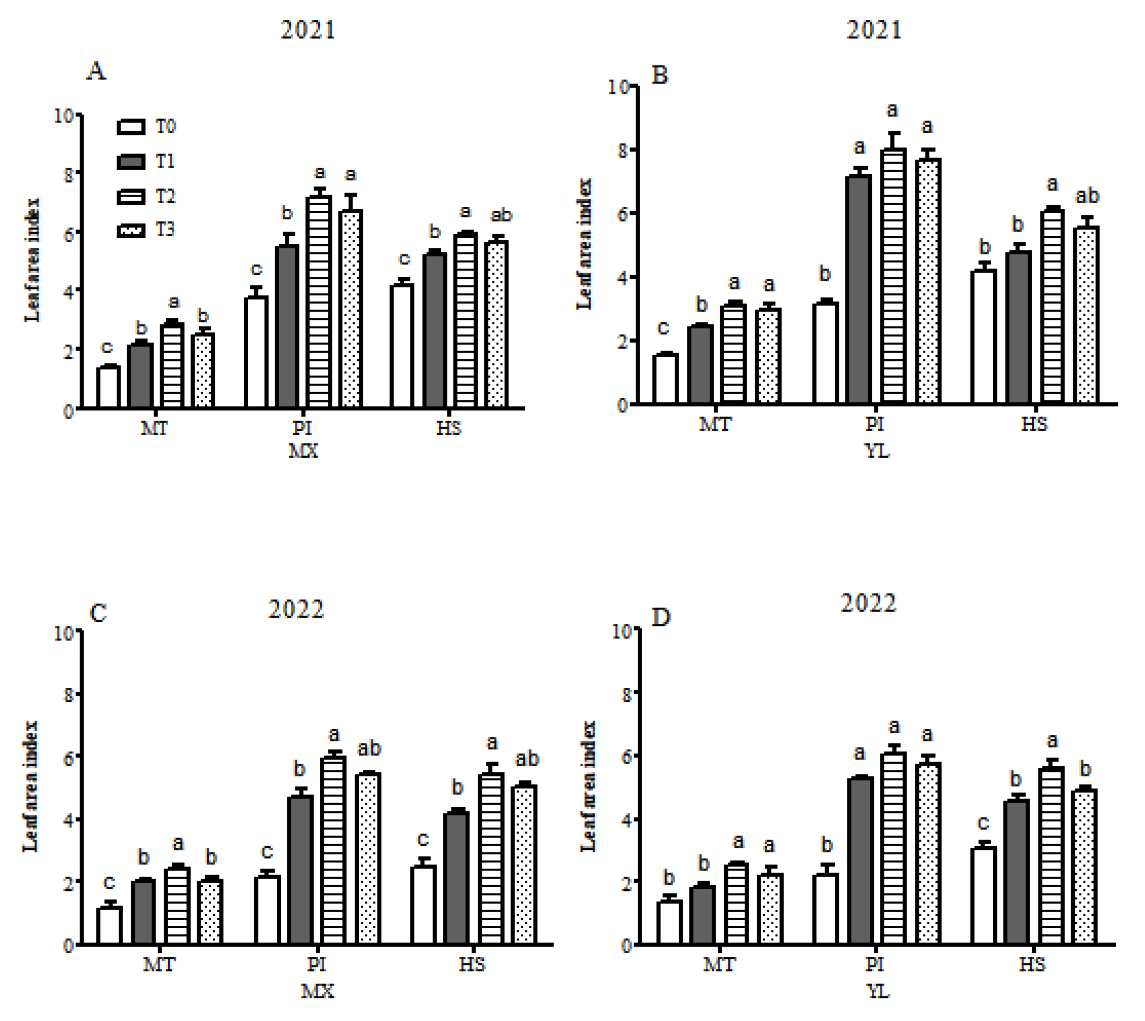
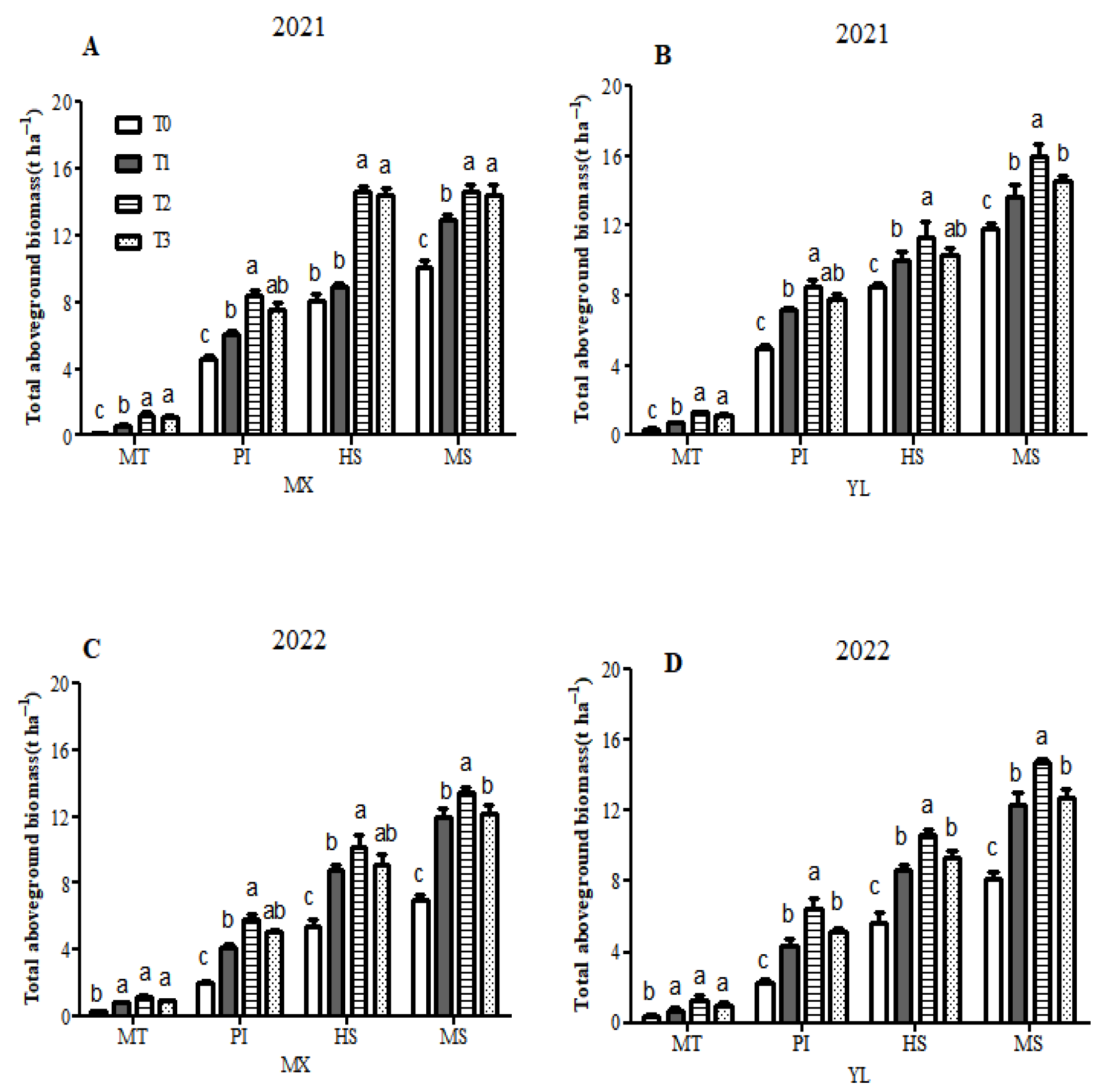
2.4. LAI and TAB
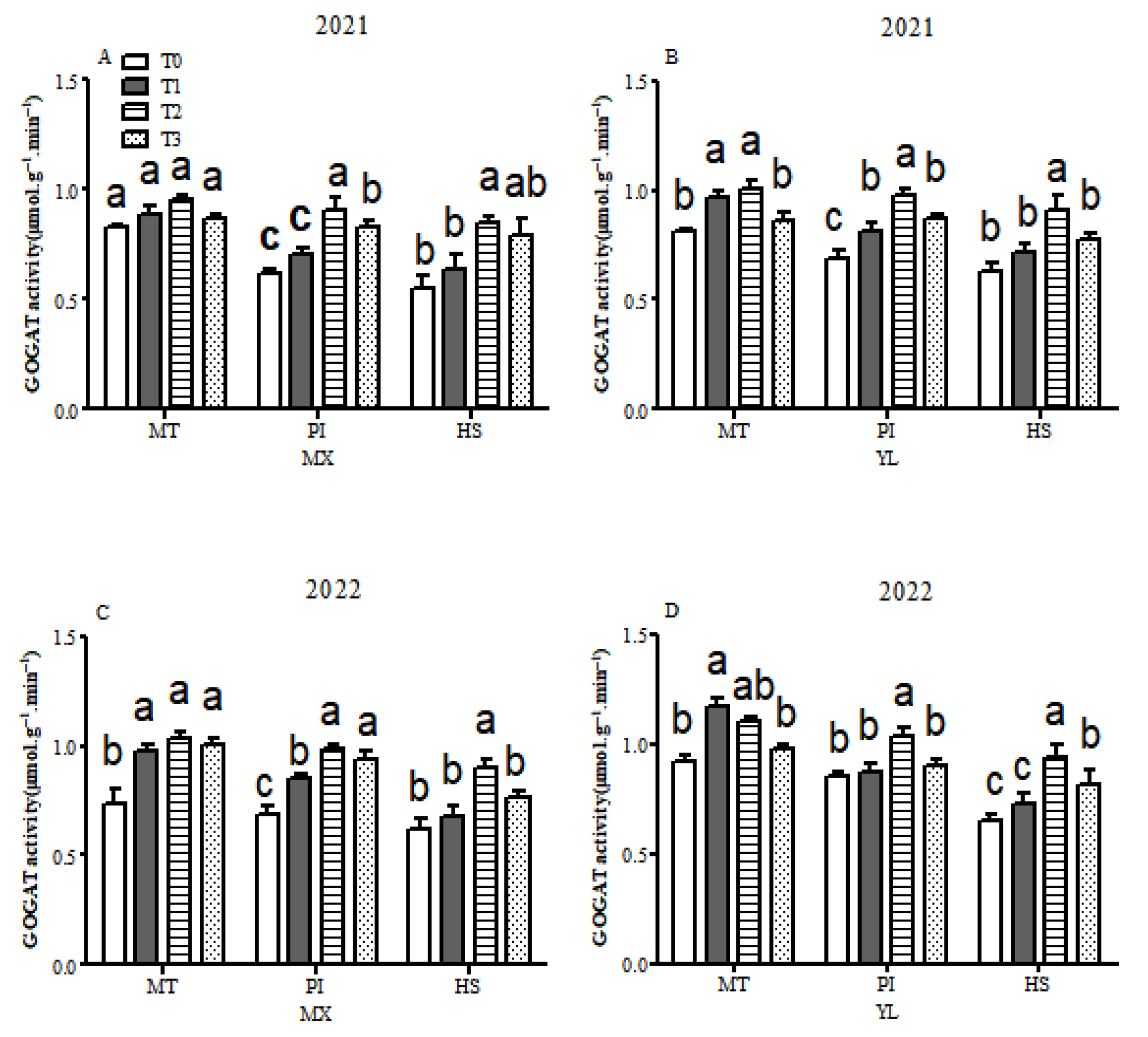
2.5. Nitrogen Metabolic Enzymatic Activity Including NR and GOGAT
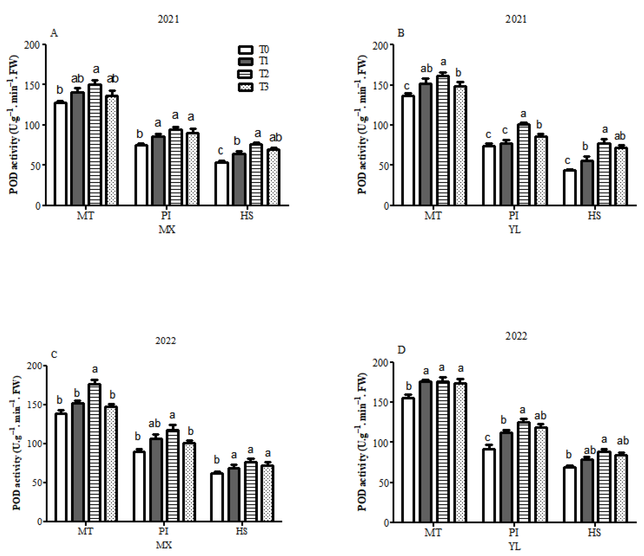
2.6. Anti-Oxidant Enzyme Activities Including POD and CAT
2.7. Nitrogen Absorption and Utilizaiton
2.8. Yield and Its Components
2.9. Data Analysis
3. Results
3.1. Grain Yield and Its Components
3.2. Nitrogen Use Efficiency
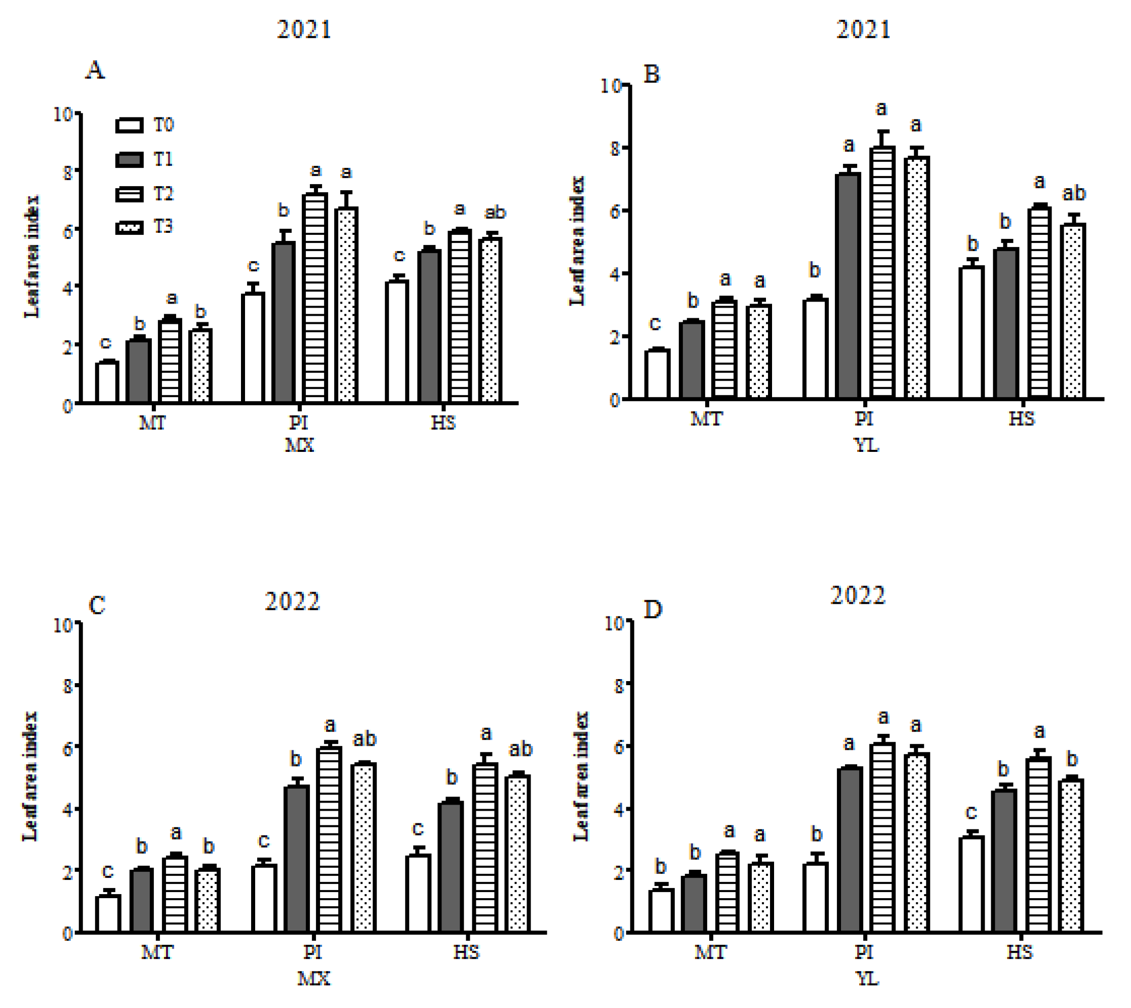
3.3. Leaf Area Index (LAI)
3.4. Total Aboveground Biomass (TAB)
3.5. Nitrate Reductase (NR) and GOGAT Activities
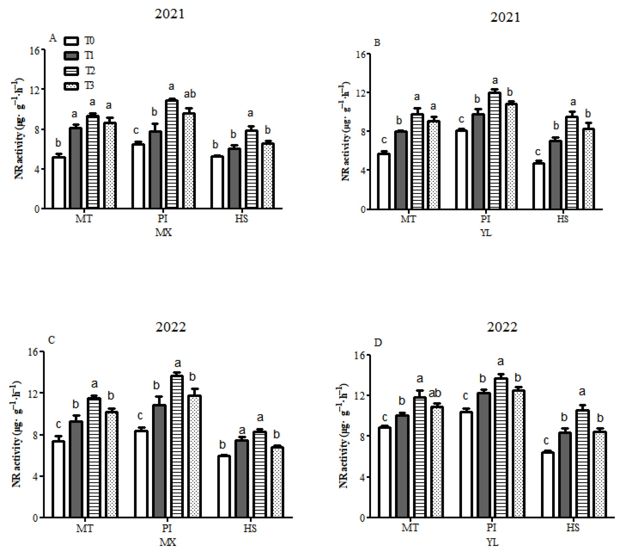
3.5.1. Nitrate Reductase (NR) Activity
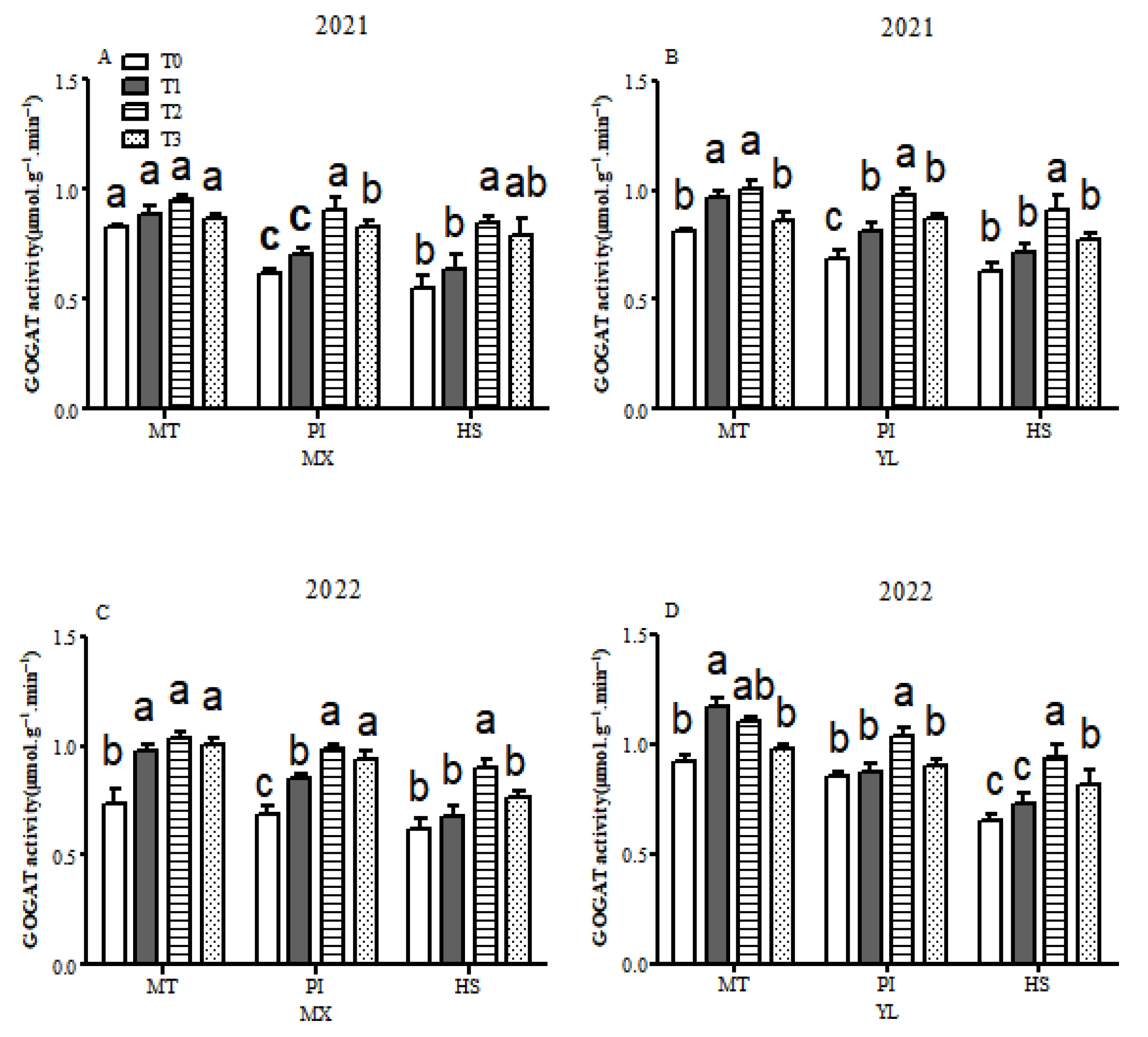
3.5.2. GOGAT Activity
3.6. Anti-Oxidant Enzyme Activities in the Uppermost Leaves of Rice
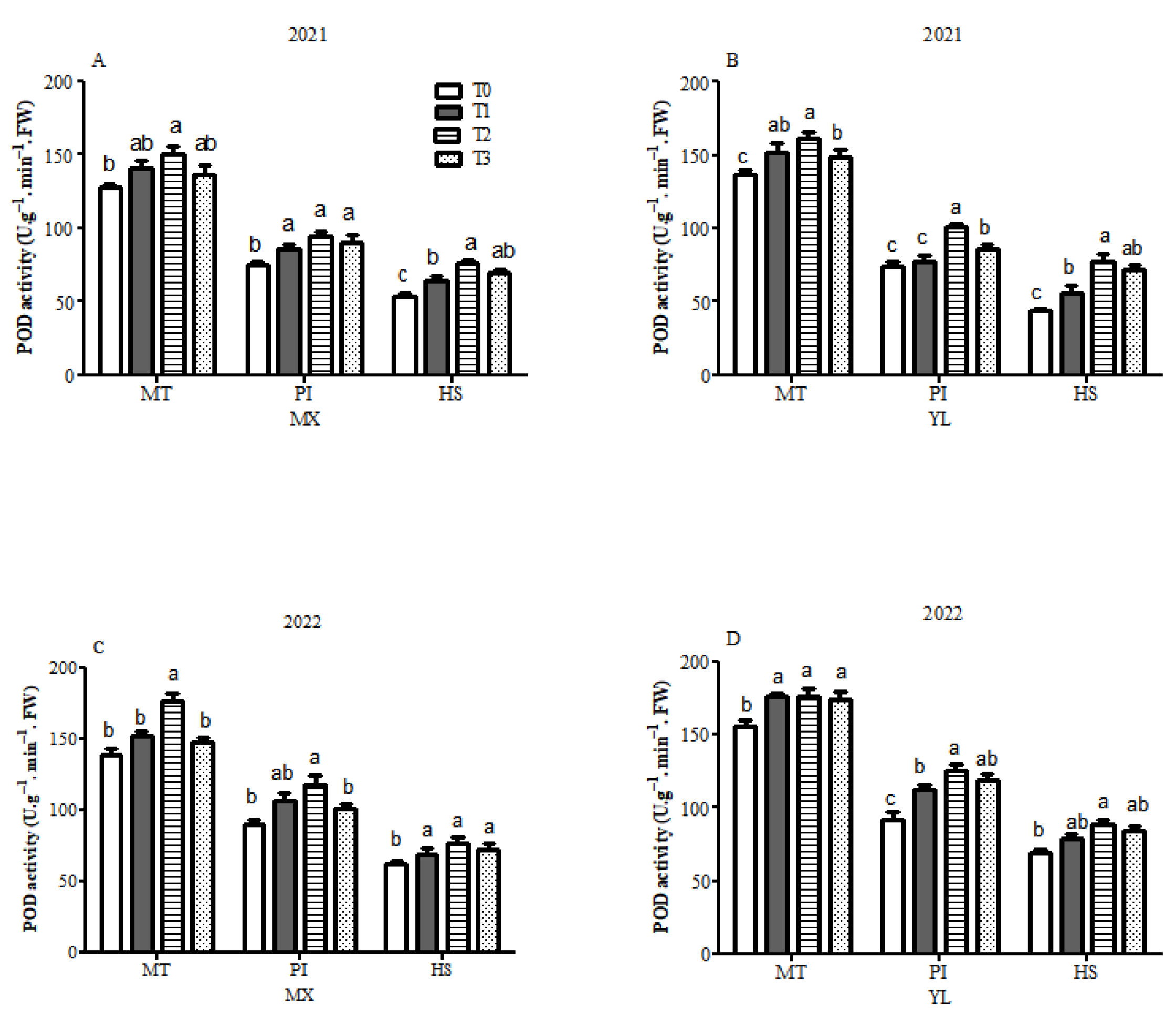
3.6.1. Peroxydase (POD) Activity in the Uppermost Leaves of Rice
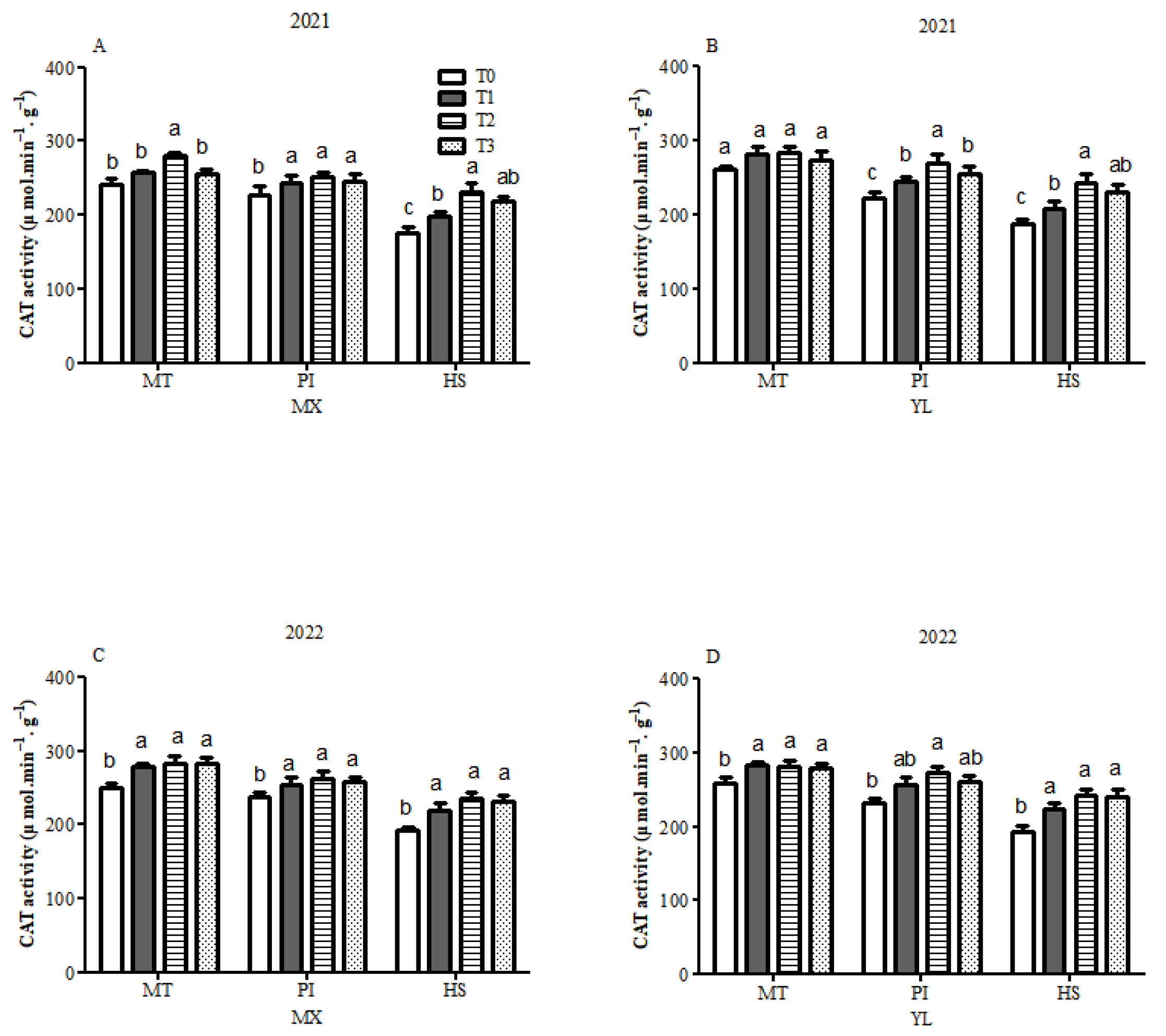
3.6.2. Catalase (CAT) Activity in the Uppermost Leaves of Rice
3.7. Correlation Between Yield and Its Components, Nitrogen Use Efficiency, LAI, and Biomass
4. Discussion
4.1. Grain Yield
4.2. Nitrogen Use Efficiency
4.3. Physiological Traits
5. Conclusions
Author Contributions
Funding
Data Availability Statement
Conflicts of Interest
References
- Luo, Z.; Song, H.X.; Huang, M.; Zhang, Z.H.; Peng, Z.; Yang, Z.C.; Shen, T.; Luo, G.W. Dense planting with reducing nitrogen rate increased nitrogen use efficiency and translocated nitrogen in grains in double-cropped rice. Agronomy 2022, 12, 1090. [Google Scholar] [CrossRef]
- Wang, Z.Q.; Zhang, W.Y.; Beebout, S.S.; Zhang, H.; Liu, L.J.; Yang, J.C.; Zhang, J.H. Grain yield, water and nitrogen use efficiencies of rice as influcecs by irrigation regimes and their interaction with nitrogen rates. Field Crops Res. 2016, 193, 54–69. [Google Scholar] [CrossRef]
- Yang, Y.L.; Liu, X.H.; Gao, P.L.; Chen, Y.L.; Wei, H.H.; Zhang, H.C.; Dai, Q.G. Response of grain yield to nitrogen application and optimal nitrogen application rate in a rice-wheat rotation system. Agronomy 2025, 15, 2506. [Google Scholar] [CrossRef]
- Zhao, C.; Huang, H.; Qian, Z.H.; Jiang, H.X.; Liu, G.M.; Xu, K.; Hu, Y.J.; Dai, Q.G.; Huo, Z.Y. Effects of side deep placement of nitrogen on yield and nitrogen use efficiency of single season late japonica rice. J. Integr. Agric. 2021, 20, 1487–1502. [Google Scholar] [CrossRef]
- Hofmeier, M.; Roelcke, M.; Han, Y.; Lan, T.; Bergmann, H.; Bohm, D.; Cai, Z.C.; Nieder, R. Nitrogen management in a rice-wheat system in the Taihu Region: Recommendations based on field experiments and surveys. Agric. Ecosyst. Environ. 2015, 209, 60–73. [Google Scholar] [CrossRef]
- Sun, L.; Lu, Y.F.; Yu, F.W.; Kronzuker, H.J.; Shi, W.M. Biological nitrification inhibition by rice root exudates and its relationship with nitrogen use efficiency. New Phytol. 2016, 212, 646–656. [Google Scholar] [CrossRef]
- Zhu, C.H.; Xiang, J.; Zhang, Y.P.; Zhang, Y.K.; Zhu, D.F.; Chen, H.Z. Mechanized transplanting with side deep fertilization increases yield and nitrogen use efficiency of rice in Eastern China. Sci. Rep. 2019, 9, 5653. [Google Scholar] [CrossRef]
- Han, X.M.; Hu, C.; Chen, Y.F.; Qiao, Y.; Liu, D.H.; Fan, J.; Li, S.L.; Zhang, Z. Crop yield stability and sustainability in a rice-wheat cropping system based on 34-year field experiment. Eur. J. Agron. 2020, 113, 125965. [Google Scholar] [CrossRef]
- Fan, X.R.; Jia, L.J.; Li, Y.L.; Smith, S.J.; Miller, A.J.; Shen, Q.R. Comparing nitrate storage and remobilization in two rice cultivars that differ in theri nitrogen use efficiency. J. Exp. Bot. 2007, 58, 1729–1740. [Google Scholar] [CrossRef]
- Chen, Y.Y.; Fan, P.S.; Mo, Z.W.; Kong, L.L.; Tian, H.; Duan, M.Y.; Li, L.; Wu, L.J.; Wang, Z.M.; Tang, X.R.; et al. Deep placement of nitrogen fertilizer affects grain yield, nitrogen recovery efficiency, and root characteristics in direct-seeded rice in South China. J. Plant Growth Regul. 2021, 40, 379–387. [Google Scholar] [CrossRef]
- Tao, W.K.; Li, J.Q.; Li, W.W.; Wen, C.X.; Gao, S.; Wang, Y.H.; Liu, D.; Xu, L.; Jiang, Y.; Liu, Z.; et al. Higher rice productivity and low paddy nitrogen loss with optimized irrigation and fertilization practices in a rice-upland system. Agric. Ecosyst. Environ. 2024, 374, 109716. [Google Scholar] [CrossRef]
- He, H.B.; Yang, K.; Xu, H.C.; Yao, B.; Li, G.H.; Zhang, X.N.; Yang, R.; You, C.C.; Ke, J.; Wu, L.Q. Precision nitrogen management regimes to obtain high yield and good eating quality of medium indica hybrid rice in mechanical transplanting with bowl-type nursery tray (MTB) based on the critical nitrogen concentration. Eur. J. Agron. 2023, 143, 126711. [Google Scholar] [CrossRef]
- Ding, W.C.; Xu, X.P.; He, P.; Ulah, S.; Zhang, J.J.; Cui, Z.L.; Zhou, W. Improving yield and nitrogen use efficiency through alternative fertilizaiton options for rice in China: A meta-analysis. Field Crops Res. 2018, 227, 11–18. [Google Scholar] [CrossRef]
- Li, L.; Wang, Y.F.; Nie, L.X.; Ashraf, U.; Wang, Z.M.; Zhang, Z.; Wu, T.Y.; Tian, H.; Yousef Alhaj Hamound Tang, X.R.; Pan, S.G. Deep placement of nitrogen fertilizer increases rice yield and energy production efficiency under different mechanical rice production system. Field Crops Res. 2022, 276, 108359. [Google Scholar] [CrossRef]
- Pan, S.G.; Wen, X.C.; Wang, Z.M.; Ashraf, U.; Tian, H.; Duan, M.Y.; Mo, Z.W.; Fan, P.S.; Tang, X.R. Benefits of mechanized deep placement of nitrogen fertilizer in direct-seeded rice in South China. Field Crops Res. 2017, 203, 139–149. [Google Scholar] [CrossRef]
- Propper, C.R.; Sedlock, J.L.; Smedley, R.E.; Frith, O.; Shuman-Goodier, M.E.; Grajal-Puche, A.; Stuart, A.M.; Singleton, G.R. Balancing food security, vertebrate biodiversity, and healthy rice agroecosystems in Southeast Asia. Crop Environ. 2024, 3, 43–50. [Google Scholar] [CrossRef]
- Nayak, P.; Nandipamu, T.M.K.; Chaturvedi, S.; Dhyani, V.C.; Chandra, S. Synthesis, properties, and mechanistic release-kinetics modeling of biochar-based slow-release nitrogen fertilizers and their field efficacy. J. Soil. Sci. Plant Nutr. 2024, 24, 7460–7469. [Google Scholar] [CrossRef]
- Zhu, C.H.; Ouyang, Y.Y.; Diao, Y.; Yu, J.Q.; Luo, X.; Zheng, J.G.; Li, X.Y. Effects of mechanized deep placement of nitrogen fertilizer rate and type on rice yield and nitrogen use efficiency in Chuanxi Plain, China. J. Integr. Agric. 2021, 20, 581–592. [Google Scholar] [CrossRef]
- Xie, Q.H.; Yao, X.B.; Yang, Y.; Li, D.J.; Qi, J.Y. Effects of deep application of fertilizer on soil carbon and nitrogen functions in rice paddies. Agronomy 2025, 15, 938. [Google Scholar] [CrossRef]
- Datta, A.; Santra, S.C.; Adhya, T.K. Environmental and economic opportunities of applications of different types and application methods of chemical fertilizer in rice paddy. Nutr. Cycl. Agroecosyst. 2017, 107, 413–431. [Google Scholar] [CrossRef]
- Yao, Y.L.; Zhang, M.; Tian, Y.H.; Zhao, M.; Zhang, B.W.; Zhao, M.; Zeng, K.; Yin, B. Urea deep placement for minimizing NH3 loss in an intensive rice cropping system. Field Crops Res. 2018, 218, 254–266. [Google Scholar] [CrossRef]
- Eldridge, S.M.; Pandey, A.; Weatherley, A.; Willett, I.R.; Myint, A.K.; Oo, A.N.; Ngwe, K.; Mang, Z.T.; Singh, U.; Chen, D.L. Recovery of nitrogen fertilizer can be doubled by urea-briquette deep placement in rice paddies. Eur. J. Agron. 2022, 140, 126605. [Google Scholar] [CrossRef]
- Ming, J.; Sun, H.J.; Wang, Y.; Pan, Y.F.; Kronzucker, H.J.; Zhao, D.Q.; Shi, W.M. Mechanical side-deep fertilization mitigates ammonia volatilization and nitrogen runoff and increase profitability in rice production independent of fertilizer type and split ratio. J. Clean. Prod. 2021, 316, 128370. [Google Scholar] [CrossRef]
- Liu, H.Y.; Won, P.L.P.; Banayo, N.P.M.; Nie, L.X.; Peng, S.B.; Kato, Y. Late-season nitrogen applications improve grain yield and fertilizer-use efficiency of dry-seeded rice in the tropics. Field Crops Res. 2019, 233, 114–120. [Google Scholar] [CrossRef]
- Mi, W.H.; Zheng, S.Y.; Yang, X.; Wu, L.H.; Liu, Y.L.; Chen, J.Q. Comparison of yield and nitrogen use efficiency of different types of nitrogen fertilizers for different rice cropping systems under subtropical monsoon climate in China. Eur. J. Agron. 2017, 90, 79–86. [Google Scholar] [CrossRef]
- Xu, J.Z.; Liao, L.X.; Tan, J.Y.; Shao, X.H. Ammonia volatilization in gemmiparous and early seedling stages from direct seeding rice fields with different nitrogen management strategies: A pots experiment. Soil Till. Res. 2013, 126, 169–176. [Google Scholar] [CrossRef]
- Ke, J.; He, R.C.; Hou, P.F.; Ding, C.; Ding, Y.F.; Wang, S.H.; Liu, Z.H.; Tang, S.; Ding, C.Q.; Chen, L.; et al. Combined controlled-released nitrogen fertilizers and deep placement effect of N leaching, rice yield and N recovery in machine-transplanted rice. Agric. Ecosyst. Environ. 2018, 265, 402–412. [Google Scholar] [CrossRef]
- Zhong, X.M.; Zhou, X.; Fei, J.C.; Huang, Y.; Wang, G.; Kang, X.R.; Hu, W.F.; Zhang, H.R.; Rong, X.M.; Peng, J.W. Reducing ammonia volatilization and increasing nitrogen use efficiency in machine-transplanted rice with side-deep fertilization in a double-cropping rice system in Southern China. Agric. Ecosyst. Environ. 2021, 36, 107183. [Google Scholar] [CrossRef]
- Chen, G.; Chen, Y.; Zhao, G.; Cheng, W.; Guo, S.; Zhang, H.; Shi, W. Do high nitrogen use efficiency rice cultivars reduce nitrogen losses from paddy field? Agric. Ecosyst. Environ. 2015, 209, 26–33. [Google Scholar] [CrossRef]
- Zhang, Z.; Wang, Y.F.; Wang, Z.M.; Ashraf, M.; Mo, Z.W.; Tian, H.; Duan, M.Y.; Li, Y.Q.; Tang, X.R.; Pan, S.G. Precise delivery of nitrogen at tillering stage enhances grain yield and nitrogen use efficiency in double rice cropping systems of South China. Field Crops Res. 2022, 289, 108739. [Google Scholar] [CrossRef]






| Time | pH | Soil Organic Matter (g kg−1) | Total Nitrogen (g kg−1) | Total Phosphorus (g kg−1) | Total Potassium (g kg−1) |
|---|---|---|---|---|---|
| 2021 | 5.69 | 20.63 | 3.26 | 1.16 | 20.83 |
| 2022 | 5.62 | 20.96 | 3.47 | 1.27 | 19.87 |
| Year | Cultivar | Treatments | Productive Panicles (104 ha−1) | Spikelets Per Panicle | Grain-Filling Rate (%) | 1000-Grain Weight (g) | Grain Yield (t ha−1) |
|---|---|---|---|---|---|---|---|
| 2021 | MX | T0 | 229.13 c | 127.54 c | 69.58 c | 19.95 c | 3.48 c |
| T1 | 281.21 b | 139.20 b | 75.55 b | 20.65 b | 5.29 b | ||
| T2 | 315.92 a | 152.56 a | 80.83 a | 21.64 a | 6.86 a | ||
| T3 | 305.51 a | 145.90 ab | 78.31 ab | 21.42 a | 6.43 a | ||
| mean | 282.94 | 141.29 | 76.07 | 20.92 | 5.52 | ||
| YL | T0 | 194.41 c | 145.09 c | 72.42 c | 21.69 c | 4.10 d | |
| T1 | 256.90 b | 152.15 bc | 75.15 bc | 22.71 b | 6.07 c | ||
| T2 | 295.09 a | 162.33 a | 80.95 a | 23.46 a | 8.29 a | ||
| T3 | 284.68 a | 158.13 ab | 78.01 ab | 22.88 ab | 7.56 b | ||
| mean | 257.77 | 154.43 | 76.63 | 22.69 | 6.51 | ||
| 2022 | MX | T0 | 187.47 c | 121.63 c | 76.64 c | 20.19 c | 2.88 c |
| T1 | 277.73 b | 130.28 bc | 81.52 b | 20.78 b | 4.56 b | ||
| T2 | 308.98 a | 146.46 a | 86.81 a | 21.63 a | 5.85 a | ||
| T3 | 298.56 ab | 134.81 ab | 83.84 ab | 21.55 a | 5.03 b | ||
| mean | 268.19 | 133.30 | 82.20 | 21.04 | 4.58 | ||
| YL | T0 | 177.06 c | 137.53 c | 79.97 b | 20.88 b | 3.62 c | |
| T1 | 232.60 b | 143.71 b | 83.19 ab | 22.79 a | 5.88 b | ||
| T2 | 281.21 a | 157.26 a | 85.79 a | 23.25 a | 6.71 a | ||
| T3 | 260.38 a | 152.85 a | 84.46 a | 22.02 a | 6.16 b | ||
| mean | 237.81 | 147.84 | 83.35 | 22.24 | 5.59 | ||
| Anova | |||||||
| Y (year) | ns | ns | * | ns | ns | ||
| C (cultivar) | ** | ns | ns | ** | ** | ||
| F (fertilizaiton) | ** | ** | ** | ** | ** | ||
| Y × C | ns | ** | ns | ns | ns | ||
| Y × F | ns | ** | ns | ns | ** | ||
| C × F | ns | ** | ns | * | ns | ||
| Y × C × F | ns | ** | ns | ns | ns |
| Year | Cultivar | Treatments | NRE (%) | NAE (kg·kg−1) | NGPE (kg·kg−1) | NHI (%) |
|---|---|---|---|---|---|---|
| 2021 | MX | T0 | 30.91 c | 46.08 c | ||
| T1 | 26.54 b | 12.08 b | 34.63 b | 49.46 b | ||
| T2 | 37.11 a | 22.53 a | 40.20 a | 52.00 a | ||
| T3 | 31.22 ab | 19.69 a | 39.77 a | 51.03 ab | ||
| mean | 31.62 | 18.10 | 36.38 | 49.64 | ||
| YL | T0 | 33.29 b | 47.99 d | |||
| T1 | 29.54 b | 13.17 c | 36.30 b | 50.95 c | ||
| T2 | 38.80 a | 27.93 a | 45.73 a | 54.12 a | ||
| T3 | 33.28 ab | 23.12 b | 43.75 a | 52.80 a | ||
| mean | 33.87 | 21.41 | 39.77 | 51.47 | ||
| 2022 | MX | T0 | 29.34 b | 44.53 b | ||
| T1 | 24.80 b | 11.16 b | 33.61 ab | 47.26 a | ||
| T2 | 35.95 a | 19.81 a | 38.45 a | 48.96 a | ||
| T3 | 29.06 b | 14.30 b | 35.44 a | 48.86 a | ||
| mean | 29.92 | 15.09 | 34.21 | 47.40 | ||
| YL | T0 | 33.93 b | 43.44 b | |||
| T1 | 26.91 b | 15.06 b | 39.93 a | 49.45 a | ||
| T2 | 36.66 a | 19.56 a | 40.51 a | 51.12 a | ||
| T3 | 33.10 a | 15.40 b | 37.94 a | 49.40 a | ||
| mean | 32.22 | 16.67 | 38.08 | 48.35 | ||
| Anova | ||||||
| Y (year) | ns | ns | ns | ns | ||
| C (cultivar) | ns | * | * | ns | ||
| F (fertilizer) | ** | ** | ** | ** | ||
| Y × C | ns | ns | ns | ns | ||
| Y × F | ns | * | * | ns | ||
| C × F | ns | ns | ns | ns | ||
| Y × C × F | ns | * | * | ns |
| Yield | PP | GN | GF | GW | NRE | NAE | NGPE | NHI | BH | BM | LAIPI | LAIHS | |
|---|---|---|---|---|---|---|---|---|---|---|---|---|---|
| Yield | 0.691 * | 0.786 ** | 0.381 | 0.752 ** | 0.651 * | 0.894 ** | 0.935 ** | 0.877 ** | 0.322 | 0.584 * | 0.301 | 0.840 ** | |
| PP | 0.691 * | −0.576 * | 0.438 | 0.338 | 0.427 | 0.442 | 0.578 * | 0.687 * | 0.174 | 0.766 * | 0.197 | 0.531 * | |
| GN | 0.786 ** | −0.576 * | 0.341 | 0.858 ** | 0.707 * | 0.653 * | 0.773 ** | 0.708 * | 0.216 | 0.774 * | 0.211 | 0.288 | |
| GF | 0.381 | 0.438 | 0.341 | 0.440 | 0.288 | 0.121 | 0.434 | 0.186 | 0.328 | 0.311 | 0.274 | 0.333 | |
| GW | 0.752 ** | 0.338 | 0.858 ** | 0.44 | 0.499 | 0.483 | 0.744 ** | 0.658 * | 0.417 | 0.269 | 0.353 | 0.545 * | |
| NRE | 0.651 * | 0.427 | 0.707 ** | 0.288 | 0.499 | 0.759 * | 0.523 * | 0.621 * | 0.629 * | 0.641 * | 0.528 * | 0.629 * | |
| NAE | 0.894 ** | 0.442 | 0.653 * | 0.121 | 0.483 | 0.759 * | 0.908 ** | 0.768 * | 0.663 * | 0.795 * | 0.702 * | 0.764 * | |
| NGPE | 0.935 ** | 0.578 * | 0.773 ** | 0.434 | 0.744 ** | 0.523 * | 0.908 ** | 0.779 * | 0.718 ** | 0.812 ** | 0.784 * | 0.770 * | |
| NHI | 0.877 ** | 0.687 * | 0.708 ** | 0.186 | 0.658 * | 0.621 * | 0.768 * | 0.779 * | 0.175 | 0.644 * | 0.235 | 0.823 ** | |
| BH | 0.322 | 0.174 | 0.216 | 0.328 | 0.417 | 0.629 * | 0.663 * | 0.718 * | 0.175 | 0.713 * | 0.846 ** | 0.870 ** | |
| BM | 0.584 * | 0.766 * | 0.774 * | 0.311 | 0.269 | 0.641 * | 0.795 * | 0.812 ** | 0.644 * | 0.713 * | 0.668 * | 0.715 * | |
| LAIPI | 0.301 | 0.197 | 0.211 | 0.274 | 0.353 | 0.528 * | 0.702 * | 0.784 * | 0.235 | 0.846 ** | 0.668 * | 0.548 * | |
| LAIHS | 0.840 ** | 0.531 * | 0.288 | 0.333 | 0.545 * | 0.629 * | 0.764 * | 0.77 * | 0.823 ** | 0.870 ** | 0.715 * | 0.548 * |
Disclaimer/Publisher’s Note: The statements, opinions and data contained in all publications are solely those of the individual author(s) and contributor(s) and not of MDPI and/or the editor(s). MDPI and/or the editor(s) disclaim responsibility for any injury to people or property resulting from any ideas, methods, instructions or products referred to in the content. |
© 2026 by the authors. Licensee MDPI, Basel, Switzerland. This article is an open access article distributed under the terms and conditions of the Creative Commons Attribution (CC BY) license.
Share and Cite
Guo, H.; Xia, L.; Yang, S.; Wang, Y.; Liu, H.; Jiang, M.; Qi, J.; Mo, Z.; Pan, S. Mechanically Deep-Placed Nitrogen Fertilizer Modulates Rice Yield and Nitrogen Recovery Efficiency in South China. Agronomy 2026, 16, 213. https://doi.org/10.3390/agronomy16020213
Guo H, Xia L, Yang S, Wang Y, Liu H, Jiang M, Qi J, Mo Z, Pan S. Mechanically Deep-Placed Nitrogen Fertilizer Modulates Rice Yield and Nitrogen Recovery Efficiency in South China. Agronomy. 2026; 16(2):213. https://doi.org/10.3390/agronomy16020213
Chicago/Turabian StyleGuo, Hanyue, Longfei Xia, Siying Yang, Yifei Wang, Haidong Liu, Ming Jiang, Jianying Qi, Zhaowen Mo, and Shenggang Pan. 2026. "Mechanically Deep-Placed Nitrogen Fertilizer Modulates Rice Yield and Nitrogen Recovery Efficiency in South China" Agronomy 16, no. 2: 213. https://doi.org/10.3390/agronomy16020213
APA StyleGuo, H., Xia, L., Yang, S., Wang, Y., Liu, H., Jiang, M., Qi, J., Mo, Z., & Pan, S. (2026). Mechanically Deep-Placed Nitrogen Fertilizer Modulates Rice Yield and Nitrogen Recovery Efficiency in South China. Agronomy, 16(2), 213. https://doi.org/10.3390/agronomy16020213

