Sign in to use this feature.

Years

Between: -

Subjects

remove_circle_outline
remove_circle_outline
remove_circle_outline
remove_circle_outline
remove_circle_outline
remove_circle_outline
remove_circle_outline
remove_circle_outline
remove_circle_outline

Journals

remove_circle_outline
remove_circle_outline
remove_circle_outline
remove_circle_outline
remove_circle_outline
remove_circle_outline
remove_circle_outline
remove_circle_outline
remove_circle_outline
remove_circle_outline
remove_circle_outline
remove_circle_outline
remove_circle_outline

Article Types

Countries / Regions

remove_circle_outline
remove_circle_outline
remove_circle_outline
remove_circle_outline
remove_circle_outline
remove_circle_outline
remove_circle_outline
remove_circle_outline

Search Results (1,479)

Search Parameters:
Keywords = contouring performance

Order results
Result details
Results per page
Select all
Export citation of selected articles as:
24 pages, 3161 KB  
Article
A Low-Fragmentation Global Vector Dataset for River and Lake Classification of Surface Water Bodies
by Dinan Wang, Pengxiang Li, Zeqiang Chen and Weibo Su
ISPRS Int. J. Geo-Inf. 2026, 15(1), 12; https://doi.org/10.3390/ijgi15010012 (registering DOI) - 25 Dec 2025
Abstract
Accurately classified surface water datasets are critical for hydrological modeling, environmental monitoring, and water resource management. Most large-scale datasets are raster-based, produced through pixel-level classification. Existing global vector datasets often struggle to capture small water bodies and maintain global consistency. Therefore, extracting vector [...] Read more.
Accurately classified surface water datasets are critical for hydrological modeling, environmental monitoring, and water resource management. Most large-scale datasets are raster-based, produced through pixel-level classification. Existing global vector datasets often struggle to capture small water bodies and maintain global consistency. Therefore, extracting vector features from Earth observation raster products and performing fine-grained classification is a promising approach, but fragmentation and the lack of object-level semantic labels remain key challenges. This study, based on the JRC Global Surface Water dataset, proposes a low-fragmentation global-scale vector dataset for river and lake classification. Our workflow integrates a fragment-aggregating strategy with a water body classification model. Specifically, we implemented a three-stage aggregation process using GIS-based hydrological constraints, classification buffering, and neighbor analysis to reduce fragmentation. A deep learning classifier combining convolutional feature extraction with Transformer-based contextual reasoning performs contour-informed classification of water bodies. Experiments show that the aggregation strategy reduces water body fragmentation by nearly 60%, while the classifier achieves an F1 score of 92.4%. These results demonstrate that our approach provides a transferable solution for constructing surface water classification datasets, delivering valuable resources for remote sensing, ecology, and hydrological decision-making. Full article
Show Figures

Figure 1

12 pages, 817 KB  
Article
CT-Based Quantification of Prostate Volume Change After LHRH-Agonist Androgen Deprivation: A Prospective, Three-Reader Study for Radiotherapy Planning
by Nicolás Feltes Benítez, Manuel Galdeano-Rubio, Jesus Muñoz-Rodriguez, Arturo Domínguez, Josep Maria Solé i Monné, Meritxell Pérez Márquez, Sergio Caballero del Pozo, Inma Díaz-Álvarez, Felipe Couñago and Saturio Paredes-Rubio
Life 2026, 16(1), 29; https://doi.org/10.3390/life16010029 (registering DOI) - 25 Dec 2025
Abstract
Introduction: ADT is routinely combined with radiotherapy (RT) for intermediate- and high-risk prostate cancer. While prostate shrinkage may facilitate planning, prospective CT-based, patient-level estimates over short, workflow-relevant intervals are scarce. Methods: We conducted a prospective study of 47 patients starting luteinizing hormone-releasing hormone [...] Read more.
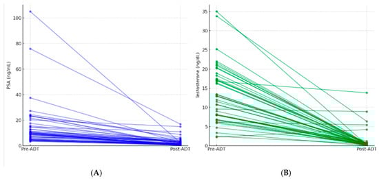
Introduction: ADT is routinely combined with radiotherapy (RT) for intermediate- and high-risk prostate cancer. While prostate shrinkage may facilitate planning, prospective CT-based, patient-level estimates over short, workflow-relevant intervals are scarce. Methods: We conducted a prospective study of 47 patients starting luteinizing hormone-releasing hormone agonist (LHRHa) therapy (leuprolide, 6-month depot). Prostate volumes were independently contoured by three blinded radiation oncologists on paired CT scans at baseline and ~8 weeks post-injection. The primary outcomes were the mean relative volume change and the proportion achieving a clinically relevant reduction (≥15%). PSA and testosterone were recorded at both time points; correlations and exploratory univariable logistic regression for ≥15% reduction were performed at the patient level. Results: Mean relative volume reduction ranged from −18.5% to −21.3% across observers; ≥60% of patients met the ≥15% threshold (RT-A 61.7%, RT-B 66.0%, RT-C 74.5%). PSA and testosterone decreased substantially (e.g., median PSA from 9.64 to 1.84 nmol/L) and were moderately correlated (Spearman ρ = 0.43, p = 0.002; Pearson r = 0.51, p < 0.001). No baseline clinical, histologic, or biochemical variables reached statistical significance for predicting ≥15% volume reduction; % PSA change showed a non-significant trend (OR 1.03; 95% CI 1.00–1.07; p = 0.076). Conclusions: Short-course LHRHa induced consistent CT-measured cytoreduction, with more than half of cases achieving ≥15% shrinkage within 8 weeks. Prostate downsizing was reproducible across readers and accompanied by marked PSA and testosterone declines, although biochemical responses did not predict volumetric change. These findings support incorporating a short neoadjuvant “window” before RT simulation and highlight the need for larger studies to refine predictors and compare agonist vs. antagonist trajectories. Full article
(This article belongs to the Special Issue Diagnosis, Treatment and Prognosis of Prostate Cancer)
Show Figures

Figure 1

24 pages, 4631 KB  
Article
Binary Classification of Brain MR Images for Meningioma Detection
by Özlem Altıok and Murat Alparslan Güngör
Appl. Sci. 2026, 16(1), 219; https://doi.org/10.3390/app16010219 - 24 Dec 2025
Abstract
Meningiomas are the most common primary brain tumors in the central nervous system. Although numerous studies in the literature have addressed multiclass brain tumor classification that includes the meningioma class, the method proposed in this study aims to improve meningioma detection performance by [...] Read more.
Meningiomas are the most common primary brain tumors in the central nervous system. Although numerous studies in the literature have addressed multiclass brain tumor classification that includes the meningioma class, the method proposed in this study aims to improve meningioma detection performance by employing binary classification instead of multiclass classification. The proposed method enhances classification performance by implementing a three-step classification process. This study utilizes the Nickparvar dataset, which contains brain Magnetic Resonance (MR) images of meningioma, other tumor types, and tumor-free cases. We employ k-means clustering for tumor segmentation, GLCM and contour features for feature extraction, and CatBoost for classification (meningioma vs. non-meningioma). The performance of the proposed method is evaluated using accuracy, precision, recall, negative predictive value, F1-score, and specificity, achieving values of 0.96, 0.93, 0.89, 0.97, 0.91, and 0.98, respectively. Although deep learning methods demonstrate high performance, machine learning approaches require less training data and computational resources. Therefore, machine learning methods represent a more suitable choice for clinical environments with limited hardware capabilities. The results are comparable to those of recent deep learning studies, indicating that the proposed method achieves performance close to deep learning approaches while retaining the advantages of machine learning for meningioma detection. Full article
(This article belongs to the Section Biomedical Engineering)
18 pages, 1249 KB  
Article
Age Estimation of the Cervical Vertebrae Region Using Deep Learning
by Zhiyong Zhang, Ningtao Liu, Ziyi Hu, Zhang Guo, Wenfan Jin and Chunxia Yan
Bioengineering 2026, 13(1), 7; https://doi.org/10.3390/bioengineering13010007 - 22 Dec 2025
Viewed by 51
Abstract
Since skeletal development is largely completed by adulthood, it is difficult for traditional methods to capture subtle age-related structural changes in bones and surrounding tissues. Recent advances in deep learning have demonstrated remarkable potential in medical image-based age estimation. The cervical vertebrae, as [...] Read more.
Since skeletal development is largely completed by adulthood, it is difficult for traditional methods to capture subtle age-related structural changes in bones and surrounding tissues. Recent advances in deep learning have demonstrated remarkable potential in medical image-based age estimation. The cervical vertebrae, as captured in lateral cephalometric radiographs (LCR), have shown particular value in such tasks. To systematically investigate the contribution of different vertebral representations to age estimation, we developed four distinct input modes: (1) Contour (C); (2) Mask (M); (3) Cervical Vertebrae (CV) and (4) Cervical vertebrae region (SR). Using a large-scale LCR dataset of 20,174 subjects aged 4–40 years, grouped into 5-year intervals, we evaluated these modes with deep learning models. The Mean Absolute Error (MAE) was used to evaluate performance. Results indicated that the SR mode achieved the lowest overall MAE, particularly for the C1–C4 combination, followed by CV, while C and M modes showed similar and poorer performance. For subjects younger than 25 years, MAEs for individual vertebrae (C1–2, C3, C4) were less than 5 years across all modes; however, in the 26–40 years group, MAEs for C and M modes exceeded 10 years, whereas CV and SR modes remained below 10 years for most combinations. Combining vertebrae consistently improved accuracy over individual ones, with continuous combinations (e.g., C1–2 + C3) outperforming discontinuous ones (e.g., C1–2 + C4). Visualization of age-related salience revealed that salient regions varied by input mode and expanded with increased information content. These findings underscore the critical importance of incorporating peripheral soft tissue and comprehensive vertebral context for accurate age estimation across a wide age spectrum. Full article
39 pages, 4207 KB  
Article
Ensemble Learning-Driven Flood Risk Management Using Hybrid Defense Systems
by Nadir Murtaza and Ghufran Ahmed Pasha
AI 2026, 7(1), 2; https://doi.org/10.3390/ai7010002 - 22 Dec 2025
Viewed by 152
Abstract
Climate-induced flooding is a major issue throughout the globe, resulting in damage to infrastructure, loss of life, and the economy. Therefore, there is an urgent need for sustainable flood risk management. This paper assesses the effectiveness of the hybrid defense system using advanced [...] Read more.
Climate-induced flooding is a major issue throughout the globe, resulting in damage to infrastructure, loss of life, and the economy. Therefore, there is an urgent need for sustainable flood risk management. This paper assesses the effectiveness of the hybrid defense system using advanced artificial intelligence (AI) techniques. A data series of energy dissipation (ΔE), flow conditions, roughness, and vegetation density was collected from literature and laboratory experiments. Out of the selected 136 data points, 80 points were collected from literature and 56 from a laboratory experiment. Advanced AI models like Random Forest (RF), Extreme Boosting Gradient (XGBoost) with Particle Swarm Optimization (PSO), Support Vector Regression (SVR) with PSO, and artificial neural network (ANN) with PSO were trained on the collected data series for predicting floodwater energy dissipation. The predictive capability of each model was evaluated through performance indicators, including the coefficient of determination (R2) and root mean square error (RMSE). Further, the relationship between input and output parameters was evaluated using a correlation heatmap, scatter pair plot, and HEC-contour maps. The results demonstrated the superior performance of the Random Forest (RF) model, with a high coefficient of determination (R2 = 0.96) and a low RMSE of 3.03 during training. This superiority was further supported by statistical analyses, where ANOVA and t-tests confirmed the significant performance differences among the models, and Taylor’s diagram showed closer agreement between RF predictions and observed energy dissipation. Further, scatter pair plot and HEC-contour maps also supported the result of SHAP analysis, demonstrating greater impact of the roughness condition followed by vegetation density in reducing floodwater energy dissipation under diverse flow conditions. The findings of this study concluded that RF has the capability of modeling flood risk management, indicating the role of AI models in combination with a hybrid defense system for enhanced flood risk management. Full article
(This article belongs to the Special Issue Sensing the Future: IOT-AI Synergy for Climate Action)
Show Figures

Graphical abstract

17 pages, 3184 KB  
Article
Hierarchical Local-Global Feature Fusion Network for Robust Ship Target Recognition in Complex Maritime Environment
by Xuanhe Liu, Shuning Zhang, Si Chen, Jianchao Li and Yingying Luo
Sensors 2026, 26(1), 29; https://doi.org/10.3390/s26010029 - 19 Dec 2025
Viewed by 165
Abstract
Accurate ship target recognition remains challenging in complex maritime environments due to background clutter, multiscale target appearance, and limited discriminative features extracted by single-type networks. To address these issues, this paper proposes a hierarchical local-global feature fusion network (HLGF-Net) that integrates local structural [...] Read more.
Accurate ship target recognition remains challenging in complex maritime environments due to background clutter, multiscale target appearance, and limited discriminative features extracted by single-type networks. To address these issues, this paper proposes a hierarchical local-global feature fusion network (HLGF-Net) that integrates local structural cues from a CNN encoder with global semantic dependencies modeled by a Transformer. The proposed model progressively constructs hierarchical dependencies through stacked Transformer blocks, enabling comprehensive integration of local structural details and global semantic context. This design enhances the capability to capture fine-grained local contours and long-range global contextual relationships simultaneously. Extensive experiments on ship recognition datasets demonstrate that HLGF-Net achieves superior performance compared with traditional CNNs, pure Transformers, and representative recent vision architectures, particularly under conditions of cluttered backgrounds, partial occlusion, and limited target samples. The proposed framework provides an effective solution for robust maritime target recognition and offers a general strategy for hierarchical local-global feature integration. Full article
(This article belongs to the Section Environmental Sensing)
Show Figures

Figure 1

14 pages, 4162 KB  
Article
Considerations in Flap Selection for Soft Tissue Coverage of the Hand and Digits
by Piotr Węgrzyn, Marta Jagosz, Maja Smorąg, Szymon Manasterski, Michał Chęciński, Paweł Stajniak, Jędrzej Króliński, Patryk Ostrowski, Paweł Poznański, Dorota Kamińska and Ahmed Elsaftawy
J. Clin. Med. 2026, 15(1), 13; https://doi.org/10.3390/jcm15010013 - 19 Dec 2025
Viewed by 338
Abstract
Background/Objectives: The goal of reconstructive hand surgery is to achieve both functional and aesthetic restoration. The primary aim of this study is to perform a detailed, practice-oriented evaluation of perforator-based and local flaps for soft-tissue reconstruction of the hand and digits, focusing [...] Read more.
Background/Objectives: The goal of reconstructive hand surgery is to achieve both functional and aesthetic restoration. The primary aim of this study is to perform a detailed, practice-oriented evaluation of perforator-based and local flaps for soft-tissue reconstruction of the hand and digits, focusing specifically on their functional reliability, anatomical consistency, complication profile, and aesthetic integration in a real-world, high-complexity referral population. Methods: This retrospective single-center study included 37 patients with soft tissue defects of the hand that required flap coverage between September 2021 and September 2024. The study assessed patient demographics, defect characteristics, flap selection, surgical techniques, and outcomes including satisfactory soft tissue coverage, functional results and occurrence of complications. Various perforator flaps were analyzed, including the dorsal metacarpal artery flap, reverse radial forearm flap, reverse posterior interosseous artery flap, reverse homodigital and heterodigital island flaps, and the thenar flap. Results: Satisfactory soft tissue coverage was achieved in 35 out of 37 patients. One case involved partial distal flap necrosis, and another presented with Foucher flap failure. The remaining flaps demonstrated stable integration, preserved perfusion, and durable soft-tissue coverage with satisfactory contour and pliability. Functional outcomes were favorable, with restoration of joint mobility and absence of secondary deformities. Conclusions: This study supports the continued use of perforator and local flaps in upper extremity reconstruction, emphasizing the need for individualized planning to optimize the outcomes. Full article
(This article belongs to the Special Issue Advances and Innovations in Hand Surgery)
Show Figures

Figure 1

22 pages, 4007 KB  
Article
Restoring Soil and Ecosystem Functions in Hilly Olive Orchards in Northwestern Syria by Adopting Contour Tillage and Vegetation Strips in a Mediterranean Environment
by Zuhair Masri, Francis Turkelboom, Chi-Hua Huang, Thomas E. Schumacher and Venkataramani Govindan
Soil Syst. 2026, 10(1), 1; https://doi.org/10.3390/soilsystems10010001 - 19 Dec 2025
Viewed by 206
Abstract
Steep olive orchards in northwest Syria are experiencing severe land degradation as a result of unsustainable uphill–downhill tillage, which accelerates erosion and reduces productivity. To address this problem, three tillage systems, no-till natural vegetation strips (NVSs), contour tillage, and uphill–downhill tillage, were evaluated [...] Read more.
Steep olive orchards in northwest Syria are experiencing severe land degradation as a result of unsustainable uphill–downhill tillage, which accelerates erosion and reduces productivity. To address this problem, three tillage systems, no-till natural vegetation strips (NVSs), contour tillage, and uphill–downhill tillage, were evaluated at two research sites, Yakhour and Tel-Hadya, NW Syria. The adoption of no-till NVSs significantly increased soil organic matter (SOM) at both sites, outperforming uphill–downhill tillage. While contour tillage resulted in lower SOM levels than NVSs, it still performed better than the conventional uphill–downhill practice. Contour soil flux (CSF) was lower in Yakhour, where mule-drawn tillage on steep slopes (31–35%) was practiced, compared to higher CSF values in Tel-Hadya, where tractor tillage was applied on gentler slopes (11–13%), which highlights the influence of slope steepness on soil fluxes. Over four years, net soil flux (NSF) indicated greater soil loss under tractor tillage, confirming that mule-drawn tillage is less disruptive. Olive trees with no-till NVSs benefited from protected root systems, improved soil structure through SOM accumulation, reduced erosion risk, and improved surface runoff buffering, which resulted in increased water infiltration and soil water retention. This study was carried out using a participatory technology development (PTD) framework, which guided the entire research process, from diagnosing problems to co-designing, field testing, and refining soil conservation practices. In Yakhour, farmers actively identified the challenges of degradation. They collaboratively chose no-till natural vegetation strips (NVSs) and contour tillage as key interventions, valuing NVSs for their ability to conserve moisture, suppress weeds and pests, and increase olive productivity. The farmer–scientist co-learning network positioned PTD not only as an outreach tool but also as a core research method, enabling locally relevant and scalable strategies to restore soil functions and combat land degradation in northwest Syria’s hilly olive orchards. Full article
Show Figures

Graphical abstract

28 pages, 4151 KB  
Article
FANet: Frequency-Aware Attention-Based Tiny-Object Detection in Remote Sensing Images
by Zixiao Wen, Peifeng Li, Yuhan Liu, Jingming Chen, Xiantai Xiang, Yuan Li, Huixian Wang, Yongchao Zhao and Guangyao Zhou
Remote Sens. 2025, 17(24), 4066; https://doi.org/10.3390/rs17244066 - 18 Dec 2025
Viewed by 241
Abstract
In recent years, deep learning-based remote sensing object detection has achieved remarkable progress, yet the detection of tiny objects remains a significant challenge. Tiny objects in remote sensing images typically occupy only a few pixels, resulting in low contrast, poor resolution, and high [...] Read more.
In recent years, deep learning-based remote sensing object detection has achieved remarkable progress, yet the detection of tiny objects remains a significant challenge. Tiny objects in remote sensing images typically occupy only a few pixels, resulting in low contrast, poor resolution, and high sensitivity to localization errors. Their diverse scales and appearances, combined with complex backgrounds and severe class imbalance, further complicate the detection tasks. Conventional spatial feature extraction methods often struggle to capture the discriminative characteristics of tiny objects, especially in the presence of noise and occlusion. To address these challenges, we propose a frequency-aware attention-based tiny-object detection network with two plug-and-play modules that leverage frequency-domain information to enhance the targets. Specifically, we introduce a Multi-Scale Frequency Feature Enhancement Module (MSFFEM) to adaptively highlight the contour and texture details of tiny objects while suppressing background noise. Additionally, a Channel Attention-based RoI Enhancement Module (CAREM) is proposed to selectively emphasize high-frequency responses within RoI features, further improving object localization and classification. Furthermore, to mitigate sample imbalance, we employ multi-directional flip sample augmentation and redundancy filtering strategies, which significantly boost detection performance for few-shot categories. Extensive experiments on public object detection datasets, i.e., AI-TOD, VisDrone2019, and DOTA-v1.5, demonstrate that the proposed FANet consistently improves detection performance for tiny objects, outperforming existing methods and providing new insights into the integration of frequency-domain analysis and attention mechanisms for robust tiny-object detection in remote sensing applications. Full article
(This article belongs to the Special Issue Deep Learning-Based Small-Target Detection in Remote Sensing)
Show Figures

Figure 1

20 pages, 2164 KB  
Article
Automatic Vehicle Recognition: A Practical Approach with VMMR and VCR
by Andrei Istrate, Madalin-George Boboc, Daniel-Tiberius Hritcu, Florin Rastoceanu, Constantin Grozea and Mihai Enache
AI 2025, 6(12), 329; https://doi.org/10.3390/ai6120329 - 18 Dec 2025
Viewed by 250
Abstract
Background: Automatic vehicle recognition has recently become an area of great interest, providing substantial support for multiple use cases, including law enforcement and surveillance applications. In real traffic conditions, where for various reasons license plate recognition is impossible or license plates are forged, [...] Read more.
Background: Automatic vehicle recognition has recently become an area of great interest, providing substantial support for multiple use cases, including law enforcement and surveillance applications. In real traffic conditions, where for various reasons license plate recognition is impossible or license plates are forged, alternative solutions are required to support human personnel in identifying vehicles used for illegal activities. In such cases, appearance-based approaches relying on vehicle make and model recognition (VMMR) and vehicle color recognition (VCR) can successfully complement license plate recognition. Methods: This research addresses appearance-based vehicle identification, in which VMMR and VCR rely on inherent visual cues such as body contours, stylistic details, and exterior color. In the first stage, vehicles passing through an intersection are detected, and essential visual characteristics are extracted for the two recognition tasks. The proposed system employs deep learning with semantic segmentation and data augmentation for color recognition, while histogram of oriented gradients (HOG) feature extraction combined with a support vector machine (SVM) classifier is used for make-model recognition. For the VCR task, five different neural network architectures are evaluated to identify the most effective solution. Results: The proposed system achieves an overall accuracy of 94.89% for vehicle make and model recognition. For vehicle color recognition, the best-performing models obtain a Top-1 accuracy of 94.17% and a Top-2 accuracy of 98.41%, demonstrating strong robustness under real-world traffic conditions. Conclusions: The experimental results show that the proposed automatic vehicle recognition system provides an efficient and reliable solution for appearance-based vehicle identification. By combining region-tailored data, segmentation-guided processing, and complementary recognition strategies, the system effectively supports real-world surveillance and law-enforcement scenarios where license plate recognition alone is insufficient. Full article
Show Figures

Figure 1

15 pages, 2420 KB  
Article
A Pre-Trained Model Customization Framework for Accelerated PET/MR Segmentation of Abdominal Fat in Obstructive Sleep Apnea
by Valentin Fauveau, Heli Patel, Jennifer Prevot, Bolong Xu, Oren Cohen, Samira Khan, Philip M. Robson, Zahi A. Fayad, Christoph Lippert, Hayit Greenspan, Neomi Shah and Vaishnavi Kundel
Diagnostics 2025, 15(24), 3243; https://doi.org/10.3390/diagnostics15243243 - 18 Dec 2025
Viewed by 166
Abstract
Background: Accurate quantification of visceral (VAT) and subcutaneous adipose tissue (SAT) is critical for understanding the cardiometabolic consequences of obstructive sleep apnea (OSA) and other chronic diseases. This study validates a customization framework using pre-trained networks for the development of automated VAT/SAT [...] Read more.
Background: Accurate quantification of visceral (VAT) and subcutaneous adipose tissue (SAT) is critical for understanding the cardiometabolic consequences of obstructive sleep apnea (OSA) and other chronic diseases. This study validates a customization framework using pre-trained networks for the development of automated VAT/SAT segmentation models using hybrid positron emission tomography (PET)/magnetic resonance imaging (MRI) data from OSA patients. While the widespread adoption of deep learning models continues to accelerate the automation of repetitive tasks, establishing a customization framework is essential for developing models tailored to specific research questions. Methods: A UNet-ResNet50 model, pre-trained on RadImageNet, was iteratively trained on 59, 157, and 328 annotated scans within a closed-loop system on the Discovery Viewer platform. Model performance was evaluated against manual expert annotations in 10 independent test cases (with 80–100 MR slices per scan) using Dice similarity coefficients, segmentation time, intraclass correlation coefficients (ICC) for volumetric and metabolic agreement (VAT/SAT volume and standardized uptake values [SUVmean]), and Bland–Altman analysis to evaluate the bias. Results: The proposed deep learning pipeline substantially improved segmentation efficiency. Average annotation time per scan was 121.8 min (manual segmentation), 31.8 min (AI-assisted segmentation), and only 1.2 min (fully automated AI segmentation). Segmentation performance, assessed on 10 independent scans, demonstrated high Dice similarity coefficients for masks (0.98 for VAT and SAT), though lower for contours/boundary delineation (0.43 and 0.54). Agreement between AI-derived and manual volumetric and metabolic VAT/SAT measures was excellent, with all ICCs exceeding 0.98 for the best model and with minimal bias. Conclusions: This scalable and accurate pipeline enables efficient abdominal fat quantification using hybrid PET/MRI for simultaneous volumetric and metabolic fat analysis. Our framework streamlines research workflows and supports clinical studies in obesity, OSA, and cardiometabolic diseases through multi-modal imaging integration and AI-based segmentation. This facilitates the quantification of depot-specific adipose metrics that may strongly influence clinical outcomes. Full article
Show Figures

Figure 1

15 pages, 2262 KB  
Article
An Intelligent Surveillance Framework for Pedestrian Safety Under Low-Illuminance Street Lighting Conditions
by Junhwa Jeong, Kisoo Park, Taekyoung Kim and Wonil Park
Appl. Sci. 2025, 15(24), 13201; https://doi.org/10.3390/app152413201 - 16 Dec 2025
Viewed by 253
Abstract
This study proposes an intelligent surveillance framework that integrates image preprocessing, illuminance-adaptive object detection, multi-object tracking, and pedestrian abnormal behavior recognition to address the rapid degradation of image recognition performance under low-illuminance street lighting conditions. In the preprocessing stage, image quality was enhanced [...] Read more.
This study proposes an intelligent surveillance framework that integrates image preprocessing, illuminance-adaptive object detection, multi-object tracking, and pedestrian abnormal behavior recognition to address the rapid degradation of image recognition performance under low-illuminance street lighting conditions. In the preprocessing stage, image quality was enhanced by correcting color distortion and contour loss, while in the detection stage, illuminance-based loss weighting was applied to maintain high detection sensitivity even in dark environments. During the tracking process, a Kalman filter was employed to ensure inter-frame consistency of detected objects. In the abnormal behavior recognition stage, temporal motion patterns were analyzed to detect events such as falls and prolonged inactivity in real time. The experimental results indicate that the proposed method maintained an average detection accuracy of approximately 0.9 and adequate tracking performance in the 80% range under low-illuminance conditions, while also exhibiting stable recognition rates across various weather environments. Although slight performance degradation was observed under dense fog or highly crowded scenes, such limitations are expected to be mitigated through sensor fusion and enhanced processing efficiency. These findings experimentally demonstrate the technical feasibility of a real-time intelligent recognition system for nighttime street lighting environments. Full article
(This article belongs to the Section Computing and Artificial Intelligence)
Show Figures

Figure 1

25 pages, 6583 KB  
Article
Revealing Siting Patterns in Design Studio: An Architectural Reading with Cohort-Scale Visual Analytics
by Nuno Montenegro and Vasco Montenegro
Buildings 2025, 15(24), 4528; https://doi.org/10.3390/buildings15244528 - 15 Dec 2025
Viewed by 210
Abstract
Building placement strongly conditions performance, experience, and meaning in architecture and urban planning, yet siting rationales in design studio work are rarely made explicit or examined systematically. This post hoc, observational study analyzes 22 student proposals for a paddle school on a defended [...] Read more.
Building placement strongly conditions performance, experience, and meaning in architecture and urban planning, yet siting rationales in design studio work are rarely made explicit or examined systematically. This post hoc, observational study analyzes 22 student proposals for a paddle school on a defended coastal headland in Cascais, Portugal, to reveal siting patterns and test convergence toward an expert recommendation. Each project is mapped onto a common grid and encoded as building mass and external paths, and a site-specific expert prior is formalized as a polygon that follows the defended wall and upper terrace, combining edge protection, elevation, and ocean prospect. Alignment with this prior is assessed using exact permutation tests under uniform and elevation-stratified random siting, and each proposal is summarized by three descriptors that capture where mass concentrates, how far it extends, and how broadly it uses the site. Results show a pronounced nucleus along the upper terrace, a contour-parallel circulation spine, and extensive underused areas elsewhere, with alignment to the expert prior significantly above chance. Clustering projects by the three descriptors differentiates siting families, from edge-anchored schemes to prospect-led variants and a small set of deliberate counterexamples. The framework turns studio designs into auditable evidence of how cohorts occupy a site and makes siting heuristics explicit and testable, supporting more transparent discussion of site strategies in architectural education and informing practice-oriented design guidance. Full article
(This article belongs to the Special Issue Emerging Trends in Architecture, Urbanization, and Design)
Show Figures

Figure 1

19 pages, 3566 KB  
Article
Assessment of the Calculation Methods for Circle Diameter According to Arc Length, Form Deviations, and Instrument Error: A Cosine Function Simulation Approach
by Lidia Smyczyńska, Bartosz Gapiński and Michał Jakubowicz
Appl. Sci. 2025, 15(24), 13104; https://doi.org/10.3390/app152413104 - 12 Dec 2025
Viewed by 229
Abstract
Coordinate measuring techniques are essential for determining the diameter and roundness of circular features, yet measurements based on short arc segments remain highly sensitive to form deviations, sampling strategy, and instrument error. With the increasing demands placed on metrology, the choice of suitable [...] Read more.
Coordinate measuring techniques are essential for determining the diameter and roundness of circular features, yet measurements based on short arc segments remain highly sensitive to form deviations, sampling strategy, and instrument error. With the increasing demands placed on metrology, the choice of suitable data calculation and analysis methods becomes crucial for reliable interpretation of results. This study presents a simulation-based analysis of diameter evaluation for an oval-shaped profile, considering different levels of form deviation, three orientations of the contour peak, and the presence of random measurement error. The analysis includes both complete contours and partial arc segments and evaluates four reference-circle-fitting methods (LSCI, MZCI, MICI, MCCI). The results show that shortening the measured arc increases the influence of local geometric irregularities and random error on the obtained diameter values. The fitting methods behave differently under these conditions: LSCI is strongly affected by the orientation of the deformation peak, while MICI and MCCI provide reliable results only for sufficiently long arcs. MZCI consistently delivers the most stable performance when only fragmentary data are available. These findings indicate that both the choice of reference method and the selection of an adequate arc length are crucial for ensuring reliable and meaningful diameter assessment. Full article
(This article belongs to the Special Issue Recent Advances and Future Challenges in Manufacturing Metrology)
Show Figures

Figure 1

33 pages, 9540 KB  
Article
Impact of Flame Tube Convergent Segment Wall Configurations on Main Combustor Performance
by Duo Wang, Juan Wang, Hongjun Lin, Feng Li, Yinze Zhao, Dichang Wang, Yunchuan Tan and Kai Zhao
Fire 2025, 8(12), 476; https://doi.org/10.3390/fire8120476 - 12 Dec 2025
Viewed by 296
Abstract
This study investigates the effect of the flame tube convergent segment wall configuration on the performance of a High-Temperature-Rise (HTR) triple-swirler main combustor. Three configurations were evaluated: the Vitosinski principle (Scheme A), the equal velocity gradient criterion (Scheme B), and a novel convex-arc [...] Read more.
This study investigates the effect of the flame tube convergent segment wall configuration on the performance of a High-Temperature-Rise (HTR) triple-swirler main combustor. Three configurations were evaluated: the Vitosinski principle (Scheme A), the equal velocity gradient criterion (Scheme B), and a novel convex-arc flow-facing method (Scheme C). Three-dimensional numerical simulations were conducted using validated RANS equations with the Realizable k-ε turbulence model and a non-premixed PDF combustion model. The results demonstrate that the proposed Scheme C, characterized by an inflection-free convex contour, successfully avoids the localized high-velocity region and achieves a more uniform flow field. A systematic comparison reveals that Scheme C achieves the highest outlet temperature distribution quality (lowest OTDF and RTDF), the highest combustion efficiency, and the lowest total pressure loss (TPL) in the convergent segment among the three designs. In conclusion, the comprehensive analysis confirms that the convex-arc design (Scheme C), by eliminating the geometric discontinuity of an inflection point, provides the best overall performance for the HTR combustor under takeoff conditions. Full article
Show Figures

Figure 1

Back to TopTop