Sign in to use this feature.

Years

Between: -

Subjects

remove_circle_outline
remove_circle_outline
remove_circle_outline
remove_circle_outline
remove_circle_outline
remove_circle_outline

Journals

Article Types

Countries / Regions

Search Results (25)

Search Parameters:
Keywords = consequent pole motor

Order results
Result details
Results per page
Select all
Export citation of selected articles as:
24 pages, 9665 KB  
Article
Multi-Physics Based Optimal Design of an Axial-Flux Ferrite Consequent-Pole Motor for Permanent Magnet Reduction Using 3D Finite Element Analysis
by Hyeon-Jun Kim and Soo-Whang Baek
Appl. Sci. 2026, 16(2), 1094; https://doi.org/10.3390/app16021094 - 21 Jan 2026
Viewed by 79
Abstract
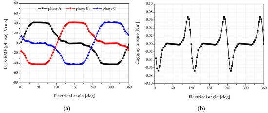
This paper proposes a multiphysics-based optimal design process for a 750 W axial-flux ferrite consequent-pole (AFCP) pump motor aimed at reducing permanent magnet usage. To mitigate the high computational cost associated with repetitive numerical analyses, a metamodel (surrogate model)-based optimization framework is adopted. [...] Read more.
This paper proposes a multiphysics-based optimal design process for a 750 W axial-flux ferrite consequent-pole (AFCP) pump motor aimed at reducing permanent magnet usage. To mitigate the high computational cost associated with repetitive numerical analyses, a metamodel (surrogate model)-based optimization framework is adopted. A consequent-pole (CP) structure is applied to an initial ferrite axial-flux permanent magnet (AFPM) motor, and ten key design variables are selected for optimization. The electromagnetic performance corresponding to variations in these variables is evaluated using three-dimensional finite element analysis (3D FEA), and the resulting dataset is used to construct metamodels. In AFPM motors incorporating ferrite permanent magnets and a CP structure, electromagnetic performance, thermal saturation, and structural stability collectively limit reliable operation. Therefore, a multiphysics-based evaluation is essential. The optimal design is assessed through electromagnetic, thermal, and structural finite element analyses. According to the 3D FEA results, the optimal model achieves a 46.85% reduction in permanent magnet volume while improving efficiency by 0.75%, reaching 95.53%, compared to the initial model. The torque ripple and peak-to-peak cogging torque are reduced by 28.81% and 31.37%, reaching 0.08 Nm and 0.06 Nm, respectively. In addition, the total harmonic distortion (THD) of the back-electromotive force waveform decreases from 12.4% to 2.53%. Stable operating characteristics are confirmed through demagnetization, thermal, and structural analyses, demonstrating that the proposed optimal design process successfully achieves both permanent magnet reduction and overall performance improvement in ferrite-based AFCP motors. Full article
(This article belongs to the Section Electrical, Electronics and Communications Engineering)
Show Figures

Figure 1

21 pages, 8900 KB  
Article
A Pole-Changing Double-Sided Excitation Permanent Magnet Vernier Motor for Electric Tractors
by Han Chen, Yi Du, Feng Xiao and Zhuofan He
Electronics 2026, 15(2), 324; https://doi.org/10.3390/electronics15020324 - 11 Jan 2026
Viewed by 193
Abstract
To further satisfy the extreme operating conditions of electric tractors, a pole-changing double-sided excitation permanent magnet vernier motor (PC-DPMVM) is proposed evolving from the existing PC-SPMVM in this paper. Half of the rotor PMs are transferred to the stator small slots, while a [...] Read more.
To further satisfy the extreme operating conditions of electric tractors, a pole-changing double-sided excitation permanent magnet vernier motor (PC-DPMVM) is proposed evolving from the existing PC-SPMVM in this paper. Half of the rotor PMs are transferred to the stator small slots, while a consequent-pole rotor structure and stator PM structure can be obtained. Firstly, the simulation and experiments of the existing PC-SPMVM are introduced, which shows the deficiency of the maximum torque output. Then, the evolution process of the proposed PC-DPMVM is illustrated. The rotor modulation and stator modulation behaviors of the PC-DPMVM are introduced based on airgap field modulation theory. The main working PM flux density harmonics are deduced further. Next, electromagnetic performance comparisons are made between two PC-PMVMs by using finite element method, and the results reveal that the proposed PC-DPMVM has superior torque output compared with the PC-SPMVM, while the speed regulation abilities of the two motors are similar. It can be concluded that two extra operation regions can be obtained for the PC-DPMVM according to the comparison of torque-speed curve of the two motors. Full article
(This article belongs to the Special Issue Modeling and Control of Power Converters for Power Systems)
Show Figures

Figure 1

11 pages, 2368 KB  
Article
Experimental Evaluation of a Line-Start Consequent-Pole Surface Permanent-Magnet Motor with Simple Rotor Design Strategies for Performance Improvement
by Yuichi Yokoi, Yasuhiro Miyamoto and Tsuyoshi Higuchi
Machines 2025, 13(11), 1003; https://doi.org/10.3390/machines13111003 - 31 Oct 2025
Viewed by 546
Abstract
The line-start permanent-magnet (LSPM) motor combines the direct-on-line starting of induction motors with the high efficiency of permanent-magnet (PM) synchronous motors, but conventional interior PM designs are difficult to manufacture and surface PM (SPM) designs often suffer from limited starting torque and reduced [...] Read more.
The line-start permanent-magnet (LSPM) motor combines the direct-on-line starting of induction motors with the high efficiency of permanent-magnet (PM) synchronous motors, but conventional interior PM designs are difficult to manufacture and surface PM (SPM) designs often suffer from limited starting torque and reduced efficiency. This paper investigates consequent-pole SPM designs, in which the number of magnets is reduced by half while maintaining equal magnet volume, enabling simple rotor construction and improved starting performance. A prototype is manufactured and tested, confirming smooth synchronization under load. Efficiency is constrained by the non-sinusoidal flux distribution of the consequent-pole structure. Rotor design strategies enlarging the air gap near the iron poles are analyzed, and a finite element method analysis shows improved torque and efficiency without loss of starting capability. Full article
(This article belongs to the Section Electrical Machines and Drives)
Show Figures

Figure 1

22 pages, 5253 KB  
Article
Torque Ripple Reduction and Efficiency Enhancement of Flared-Type Consequent-Pole Motors via Asymmetric Air-Gap and Structural Optimization
by Keun-Young Yoon and Soo-Whang Baek
Appl. Sci. 2025, 15(21), 11520; https://doi.org/10.3390/app152111520 - 28 Oct 2025
Cited by 1 | Viewed by 533
Abstract
The consequent-pole interior permanent-magnet (CPM) motor is a promising alternative for minimizing rare-earth magnet usage while supporting high-speed operation. However, rotor flux asymmetry often leads to distorted back-electromotive force waveforms and increased torque ripple. This study investigated a flared-type CPM motor that employs [...] Read more.
The consequent-pole interior permanent-magnet (CPM) motor is a promising alternative for minimizing rare-earth magnet usage while supporting high-speed operation. However, rotor flux asymmetry often leads to distorted back-electromotive force waveforms and increased torque ripple. This study investigated a flared-type CPM motor that employs ferrite magnets arranged in a flared configuration to enhance flux concentration within a compact rotor. To address waveform distortion, structural modifications such as bridge removal and an asymmetric air-gap design were implemented. Three rotor parameters—polar angle, asymmetric air-gap length, and rotor opening length—were optimized using Latin hypercube sampling combined with an evolutionary algorithm. Finite element method analyses conducted under no-load and rated-load conditions showed that the optimized model achieved a 77.8% reduction in torque ripple, a 43.4% decrease in cogging torque, and a 0.5% improvement in efficiency compared with the basic model. Stress analyses were performed to examine the structural bonding strength and rotor deformation of the optimized model under high-speed operation. The results revealed a 5.5× safety margin at four times the rated speed. The proposed approach offers a cost-effective and sustainable alternative to rare-earth magnet machines for high-efficiency household appliances, where vibration reduction, cost stability, and energy efficiency are critical. Full article
(This article belongs to the Section Electrical, Electronics and Communications Engineering)
Show Figures

Figure 1

18 pages, 4625 KB  
Article
Design of Intersect Consequent Pole Rotor for a Radial-Flux IPMSM to Reduce Rare-Earth Magnet Usage
by Yun-Ha Song, Si-Woo Song, Do-Hyeon Choi, Su-Bin Jeon and Won-Ho Kim
Actuators 2025, 14(10), 482; https://doi.org/10.3390/act14100482 - 3 Oct 2025
Cited by 1 | Viewed by 615
Abstract
Interior Permanent Magnet Synchronous Motors (IPMSMs) are widely used in the electrification sector; however, reliance on rare-earth magnets imposes constraints stemming from supply instability and mining-related environmental impacts, raising sustainability concerns. To address these issues, this study investigates an IPMSM employing a consequent [...] Read more.
Interior Permanent Magnet Synchronous Motors (IPMSMs) are widely used in the electrification sector; however, reliance on rare-earth magnets imposes constraints stemming from supply instability and mining-related environmental impacts, raising sustainability concerns. To address these issues, this study investigates an IPMSM employing a consequent pole (CP) structure, in which one permanent magnet pole is replaced by iron. Because flux asymmetry in CP IPMSMs can cause torque ripple and associated vibration and noise, we propose an Intersect Consequent Pole (ICP) rotor geometry and evaluate it against a conventional IPMSM under identical stator conditions. The proposed ICP topology reduces permanent magnet usage and provides a rare-earth-reduced design alternative that addresses the vibration/noise trade-off, with a particular focus on electric power steering (EPS) applications. Electromagnetic characteristics and performance were analyzed using finite element analysis (FEA) and verified via FEA-based comparisons. Full article
(This article belongs to the Section High Torque/Power Density Actuators)
Show Figures

Figure 1

15 pages, 3196 KB  
Article
Design and Analysis of Consequent Pole Axial Flux Motors for Reduced Torque Ripple and Magnet Consumption
by Si-Woo Song, Seung-Heon Lee and Won-Ho Kim
Processes 2025, 13(7), 2139; https://doi.org/10.3390/pr13072139 - 4 Jul 2025
Cited by 3 | Viewed by 1483
Abstract
With growing demand for high-performance and high-efficiency motors, Axial Flux Permanent Magnet Motors (AFPMs) have received significant attention. These motors typically use rare-earth magnets due to their high magnetic and energy density. However, rare-earth magnets face challenges such as limited availability and price [...] Read more.
With growing demand for high-performance and high-efficiency motors, Axial Flux Permanent Magnet Motors (AFPMs) have received significant attention. These motors typically use rare-earth magnets due to their high magnetic and energy density. However, rare-earth magnets face challenges such as limited availability and price volatility, prompting research into reducing magnet usage. This study aims to reduce magnet consumption by applying a Consequent Pole (CP) structure to AFPMs. While CP structures improve magnet efficiency, they also introduce significant back-EMF ripple. To address this, an Intersect Consequent Pole (ICP) structure is proposed, which reduces ripple through alternating magnet placement within the rotor. Since ICP implementation is difficult in single-rotor AFPMs, a double-rotor, single-stator configuration was used. Simulation results show that the proposed design effectively reduces magnet usage and back-EMF ripple, demonstrating its potential for maintaining high performance with reduced rare-earth dependency. Full article
(This article belongs to the Section Energy Systems)
Show Figures

Figure 1

17 pages, 2876 KB  
Article
Research on the Oil Cooling Structure Design Method of Permanent Magnet Synchronous Motors for Electric Vehicles
by Shijun Chen, Cheng Miao, Xinyu Chen, Wei Qian and Songchao Chu
Energies 2025, 18(12), 3134; https://doi.org/10.3390/en18123134 - 14 Jun 2025
Cited by 1 | Viewed by 2513
Abstract
Permanent magnet synchronous motors for electric vehicles (EVs) prioritize high power density and lightweight design, leading to elevated thermal flux density. Consequently, cooling methods and heat conduction in stator windings become critical. This paper proposes a compound cooling structure combining direct oil spray [...] Read more.
Permanent magnet synchronous motors for electric vehicles (EVs) prioritize high power density and lightweight design, leading to elevated thermal flux density. Consequently, cooling methods and heat conduction in stator windings become critical. This paper proposes a compound cooling structure combining direct oil spray cooling on stator windings and housing oil channel cooling (referred to as the winding–housing composite oil cooling system) for permanent synchronous motors in EVs. A systematic design methodology for oil jet nozzles and housing oil channels is investigated, determining the average convective heat transfer coefficient on end-winding surfaces and the heat dissipation factor of the oil channels. Finite element analysis (FEA) was employed to simulate the thermal field of a 48-slot 8-pole oil-cooled motor, with further analysis on the effects of oil temperature and flow rate on motor temperature. Based on these findings, an optimized oil-cooled structure is proposed, demonstrating enhanced thermal management efficiency. The results provide valuable references for the design of cooling systems in oil-cooled motors for EV applications. Full article
(This article belongs to the Special Issue Advances in Permanent Magnet Motor and Motor Control)
Show Figures

Figure 1

23 pages, 12851 KB  
Article
Optimal Design, Electromagnetic–Thermal Analysis and Application of In-Wheel Permanent Magnet BLDC Motor for E-Mobility
by Yucel Cetinceviz
Appl. Sci. 2025, 15(6), 3258; https://doi.org/10.3390/app15063258 - 17 Mar 2025
Cited by 4 | Viewed by 1563
Abstract
In this paper, a 96 V, 2.5 kW, 36-slot, and 32-pole brushless direct-current (BLDC) motor is designed, analyzed, and tested in the laboratory and on the prototype vehicle to provide the required output performance for an electric vehicle (EV) according to the rated [...] Read more.
In this paper, a 96 V, 2.5 kW, 36-slot, and 32-pole brushless direct-current (BLDC) motor is designed, analyzed, and tested in the laboratory and on the prototype vehicle to provide the required output performance for an electric vehicle (EV) according to the rated operating conditions. Applications for in-wheel electric drivetrains have the potential to deliver high efficiency and high torque. Consequently, in-wheel motor topology is proposed for small EVs, and the sizing equations, including primary, stator, and rotor dimensions, are developed step by step for the preliminary design. Then, a multi-goal function is introduced to obtain optimum motor design. This motor has an outer-rotor-type construction. In addition, a concentrated winding arrangement is used, which ensures low-end winding and thus low copper loss. Then, multiphysics using the coupled electromagnetic–thermal analysis is carried out. Elective analysis using the finite element method, a motor prototype, and experimental studies verifies the design effectively. Full article
(This article belongs to the Section Electrical, Electronics and Communications Engineering)
Show Figures

Figure 1

14 pages, 2367 KB  
Article
Optimization Design of Novel Consequent Pole Motor for Electric Power Steering System
by Sung-Jun Jo, Soo-Whang Baek and Kyu-Yun Hwang
Machines 2024, 12(12), 893; https://doi.org/10.3390/machines12120893 - 6 Dec 2024
Cited by 4 | Viewed by 1584
Abstract
This paper proposes a novel consequent pole machine (CPM) to improve cogging torque, torque ripple, and torque per magnet volume compared to a conventional CPM. The proposed structure consists of a consequent pole rotor that reduces permanent magnet (PM) material. Different from conventional [...] Read more.
This paper proposes a novel consequent pole machine (CPM) to improve cogging torque, torque ripple, and torque per magnet volume compared to a conventional CPM. The proposed structure consists of a consequent pole rotor that reduces permanent magnet (PM) material. Different from conventional surface permanent magnet machines (SPMs) and conventional CPMs, the proposed CPM has an additional iron pole (AIP) extension under the magnet. This structure is suggested in order to increase the magnet pole angle while maintaining the magnet volume by partially substituting the magnet with iron. The design of the proposed machine was optimized to achieve higher torque and lower torque ripple. Comparisons of the proposed CPM with a conventional SPM and CPM were conducted to show the superiority of the proposed CPM utilizing AIP. The results showed that the proposed CPM exhibits 68% lower cogging torque, 75% lower torque ripple, and 16% higher torque per magnet volume with the same magnet volume compared with the conventional CPM. Full article
(This article belongs to the Special Issue Dual Winding Motors and Drives)
Show Figures

Figure 1

15 pages, 6494 KB  
Article
Design and Construction of a Multipole Electric Motor Using an Axial Flux Configuration
by Adrián González-Parada, Francisco Moreno Del Valle and Ricard Bosch-Tous
World Electr. Veh. J. 2024, 15(6), 256; https://doi.org/10.3390/wevj15060256 - 12 Jun 2024
Cited by 3 | Viewed by 3046
Abstract
In the transportation industry, the use of renewable energies has been implemented in conjunction with the development of higher-power electric motors and, consequently, the development of intelligent control systems for torque and speed control. Currently, the coupling between both systems is being developed [...] Read more.
In the transportation industry, the use of renewable energies has been implemented in conjunction with the development of higher-power electric motors and, consequently, the development of intelligent control systems for torque and speed control. Currently, the coupling between both systems is being developed through mechanical systems, affecting the efficient transmission of energy and the useful life of the components. On the other hand, new configurations of electric motors are being developed, such as axial flux motors (AFM), because these can be coupled directly without a mechanical coupling, given their characteristics of high torque at low speeds. In the present work, an innovative design of a multipole axial flux motor (MAFM) is introduced. General criteria for the design and construction are presented considering the geometry in axial flux and permanent magnets. The performance of the system is evaluated through finite element magnetic simulations (FEMM) and compared with experimental measurements of the developed prototype; confirming the effectiveness of the design, obtaining torques of up to 1.784 Nm without extra mechanical couplings and maximum speed regulation errors of 8.43%. The motor was controlled by a digital pole switching system whit six control mode, applied to a permanent magnet MFA for speed and torque control at constant speed. This control can be extended to conventional radial flux electric motor configurations and intelligent traction applications, based on torque demand. Full article
(This article belongs to the Topic Advanced Electrical Machine Design and Optimization Ⅱ)
Show Figures

Figure 1

18 pages, 9842 KB  
Article
Design and Optimization of External Rotor Consequent Pole Permanent Magnet Motor with Low Iron Loss and Low Torque Ripple
by Liyan Guo, Hubin Yu and Huimin Wang
World Electr. Veh. J. 2024, 15(6), 232; https://doi.org/10.3390/wevj15060232 - 28 May 2024
Cited by 5 | Viewed by 1944
Abstract
To reduce the iron loss and torque ripple of an external rotor consequent pole (ERCP) motor used in an electric vehicle air-conditioning compressor, the magnetic pole structure of the motor was improved, and an unequal piecewise consequent pole (CP) structure was designed. The [...] Read more.
To reduce the iron loss and torque ripple of an external rotor consequent pole (ERCP) motor used in an electric vehicle air-conditioning compressor, the magnetic pole structure of the motor was improved, and an unequal piecewise consequent pole (CP) structure was designed. The performance of the motor is optimized by reducing the harmonic content in the air gap flux density and reducing the iron saturation degree of the motor. The designed CP structure can significantly reduce the iron loss and torque ripple of the motor. Based on the Taguchi method, the optimal size parameters of the unequal piecewise CP structure are determined, and the final optimization design scheme is obtained. The results of finite element simulation and high-precision iron loss model show the following: compared with the original motor, the iron loss and torque ripple of the motor with the final optimized design scheme are significantly reduced. Full article
Show Figures

Figure 1

26 pages, 29417 KB  
Article
Design Optimisation Approach of an Outer Rotor Multiphase PM Actuator for Multirotor Aerial Vehicle Applications
by Saad Chahba, Guillaume Krebs, Cristina Morel, Rabia Sehab and Ahmad Akrad
Aerospace 2024, 11(2), 150; https://doi.org/10.3390/aerospace11020150 - 13 Feb 2024
Cited by 2 | Viewed by 2996
Abstract
The electric urban air mobility sector has gained significant attraction in public debates, particularly with the proliferation of announcements demonstrating new aerial vehicles and the infrastructure that goes with them. In this context, the development of new methodologies for the design and sizing [...] Read more.
The electric urban air mobility sector has gained significant attraction in public debates, particularly with the proliferation of announcements demonstrating new aerial vehicles and the infrastructure that goes with them. In this context, the development of new methodologies for the design and sizing of actuation systems, ensuring high performances of these aerial vehicles, remains an important task in this process. This will allow for better integration within this transport sector. In this paper, a robust design optimisation approach of multiphase fault-tolerant (FT) outer rotor (OR) permanent magnets (PM) for multirotor aerial vehicle applications is proposed. In order to show the effectiveness and the robustness of the proposed design methodology, the number of stator winding phases, with a fractional slot concentrated winding (FSCW) configuration, as well as the PM configuration are considered as variables. Thus, four cases for the number of phases are considered, namely 3, 5, 6 and 7 phases, where for each number of phases case, the PM takes 3 configurations, namely surface PM, interior V-shape PM and interior spoke PM. First, a pre-sizing step is carried out, consisting of selecting the optimal combinations slot/pole, designing the multiphase FSCW layout, and estimating the electric motor (EM) geometry using analytical computations to obtain a preliminary validation of the design specifications. Second, constrained multiobjective optimisation is considered in order to optimise the EM performances, such as motor efficiency and weight, under constraints where the FEMM/Matlab based Finite Element Analysis (FEA) tool is used to perform this optimisation. Finally, results analysis and performance comparisons of different EM configurations are carried out in order to assess the design parameters, such as phases number, PM position, and harmonic currents in the EM design and consequently to select the best configuration for the considered application. Full article
(This article belongs to the Special Issue Electric Machines for Electrified Aircraft Propulsion)
Show Figures

Figure 1

17 pages, 5226 KB  
Article
Optimal Design of a Novel Consequent-Pole Interior Permanent Magnet Motor with Flared-Structured Rotor
by Keun-young Yoon and Yong-min You
Appl. Sci. 2024, 14(4), 1496; https://doi.org/10.3390/app14041496 - 12 Feb 2024
Cited by 7 | Viewed by 2470
Abstract
Interior permanent magnet motors are widely used in applications requiring high power density and high efficiency due to their high torque-generating capabilities. Recently, given the price fluctuations and unstable supply of rare earth permanent magnets, alternative configurations with reduced use of permanent magnets [...] Read more.
Interior permanent magnet motors are widely used in applications requiring high power density and high efficiency due to their high torque-generating capabilities. Recently, given the price fluctuations and unstable supply of rare earth permanent magnets, alternative configurations with reduced use of permanent magnets are being sought. Among the various candidates related to this, the consequent-pole type rotor structure can halve the number of permanent magnets used compared with conventional structures. However, in a no-load analysis, the waveform of the back electromotive force becomes asymmetric, generating a harmonic component. As a result, there is a disadvantage that the torque ripple increases. To overcome these shortcomings, we propose a novel rotor structure that applies a consequent-pole structure to an embedded permanent-magnet motor structure, wherein a number of permanent magnets are arranged in a flared structure to constitute a single polarity. In the proposed flared-structured magnet arrangement, it is possible to adjust the angle of the permanent magnet and the polar angle to mitigate the asymmetry of the back-EMF waveform. The proposed structure was optimized with a genetic algorithm and a prototype of the optimal model was constructed and experimentally evaluated to verify its validity. Finally, the performance improvement and validity of the proposed structure were verified by comparing the analysis results of the optimal model with the experimental results. Full article
(This article belongs to the Section Electrical, Electronics and Communications Engineering)
Show Figures

Figure 1

20 pages, 12267 KB  
Article
RETRACTED: The Potential Neuroprotective Effect of Thymoquinone on Scopolamine-Induced In Vivo Alzheimer’s Disease-like Condition: Mechanistic Insights
by Hend E. Abo Mansour, Aya Ibrahim Elberri, Mai El-Sayed Ghoneim, Waad A. Samman, Aisha A. Alhaddad, Mahmoud S. Abdallah, Eman I. El-Berri, Mohamed A. Salem and Esraa M. Mosalam
Molecules 2023, 28(18), 6566; https://doi.org/10.3390/molecules28186566 - 11 Sep 2023
Cited by 20 | Viewed by 4231 | Retraction
Abstract
Background: Alzheimer’s disease (AD) is a common neurodegenerative disorder without effective treatment. Thymoquinone (TQ) has demonstrated potential in exhibiting anti-inflammatory, anti-cancer, and antioxidant characteristics. Despite TQ’s neuroprotection effect, there is a scarcity of information regarding its application in AD research, and its molecular [...] Read more.
Background: Alzheimer’s disease (AD) is a common neurodegenerative disorder without effective treatment. Thymoquinone (TQ) has demonstrated potential in exhibiting anti-inflammatory, anti-cancer, and antioxidant characteristics. Despite TQ’s neuroprotection effect, there is a scarcity of information regarding its application in AD research, and its molecular trajectories remain ambiguous. Thus, the objective of the current investigation was to examine the potential beneficial effects and underlying mechanisms of TQ in scopolamine (SCOP)-induced neuronal injury to mimic AD in vivo model. Methods: Thirty mice were divided into normal, SCOP, and TQ groups. The Y-maze and pole climbing tests were performed to measure memory and motor performance. Afterwards, histopathological and immunohistochemical examinations were carried out. Furthermore, peroxisome proliferator-activated receptor gamma (PPAR-γ) signaling pathway-related proteins and genes were detected with an emphasis on the role of miR-9. Results: TQ has the potential to ameliorate cognitive deficits observed in SCOP-induced AD-like model, as evidenced by the improvement in behavioral outcomes, histopathological changes, modulation of the expression pattern of PPAR-γ downstream targets with a significant decrease in the deposition of amyloid beta (Aβ). Conclusions: TQ provided meaningful multilevel neuroprotection through its anti-inflammatory and its PPAR-γ agonist activity. Consequently, TQ may possess a potential beneficial role against AD development. Full article
Show Figures

Graphical abstract

10 pages, 3903 KB  
Article
A Study on Reduction of Cogging Torque and Magnet Usage through Intersect Magnet Consequent Pole Structure
by Si-Woo Song, Min-Ki Hong, Ju Lee and Won-Ho Kim
Energies 2022, 15(23), 9255; https://doi.org/10.3390/en15239255 - 6 Dec 2022
Cited by 5 | Viewed by 2676
Abstract
Owing to the shortage of rare-earth magnetic materials, various methods are being examined to reduce the use of magnets. One of these is a consequent pole. The consequent pole model can reduce the use of magnets by 50% using only one pole of [...] Read more.
Owing to the shortage of rare-earth magnetic materials, various methods are being examined to reduce the use of magnets. One of these is a consequent pole. The consequent pole model can reduce the use of magnets by 50% using only one pole of the magnet and replacing the other pole with iron. However, the consequent pole has the disadvantage of generating back EMF asymmetry and a high cogging torque. In this study, an intersect magnet consequent pole structure is proposed to overcome the disadvantages of the existing consequent pole. Two methods have been proposed to improve axial leakage magnetic flux caused by the intersect magnet consequent pole structure. Finally, we propose a method to reduce the cogging torque and minimize the use of magnets with the same performance standard. For motor design, two-dimensional and three-dimensional finite element analysis was used, and comparative analysis was performed via simulations for several models. The existing model and the final model were compared and verified. Full article
Show Figures

Figure 1

Back to TopTop