Sign in to use this feature.

Years

Between: -

Subjects

remove_circle_outline
remove_circle_outline
remove_circle_outline
remove_circle_outline
remove_circle_outline
remove_circle_outline
remove_circle_outline
remove_circle_outline
remove_circle_outline

Journals

remove_circle_outline
remove_circle_outline
remove_circle_outline
remove_circle_outline
remove_circle_outline
remove_circle_outline
remove_circle_outline
remove_circle_outline
remove_circle_outline
remove_circle_outline
remove_circle_outline
remove_circle_outline
remove_circle_outline
remove_circle_outline
remove_circle_outline

Article Types

Countries / Regions

remove_circle_outline
remove_circle_outline
remove_circle_outline
remove_circle_outline
remove_circle_outline

Search Results (725)

Search Parameters:
Keywords = connected domain analysis

Order results
Result details
Results per page
Select all
Export citation of selected articles as:
15 pages, 1040 KB  
Article
The Villafañe Lineage in Santiago del Molinillo: Hypotheses on Its Origin and Formation
by Jorge Hugo Villafañe
Genealogy 2025, 9(4), 121; https://doi.org/10.3390/genealogy9040121 (registering DOI) - 1 Nov 2025
Abstract
This article formulates and evaluates historical hypotheses on the origin and formation of the Villafañe lineage in Santiago del Molinillo (León) within the broader dynamics that connected the urban patriciate and the rural hidalguía (minor nobility) of late medieval and early modern Castile. [...] Read more.
This article formulates and evaluates historical hypotheses on the origin and formation of the Villafañe lineage in Santiago del Molinillo (León) within the broader dynamics that connected the urban patriciate and the rural hidalguía (minor nobility) of late medieval and early modern Castile. Through an integrated examination of population registers, parish records, hidalguía lawsuits, and notarial protocols, the study reconstructs the family’s trajectory and its institutional anchoring in the concejo and parish. The evidence suggests an urban origin on León’s Rúa through Doña Elena de Villafañe y Flórez, whose marriage to Ares García—an hidalgo from the Ordás area—established the local house and the compound surname “García de Villafañe” as both an identity marker and a patrimonial device. The consolidation of the lineage resulted from deliberate family strategies, including selective alliances with neighboring lineages (Quiñones, Gavilanes, Rebolledo), participation in municipal and ecclesiastical offices, and the symbolic use of heraldry and memory. The migration of Lázaro de Villafañe to colonial La Rioja and Cordova in the seventeenth century extended this social status across the Atlantic while maintaining Leonese continuity. Although the surviving evidence is fragmentary, convergent archival, onomastic, and heraldic indicators support interpreting the Molinillo branch as a legitimate and adaptive extension of the urban lineage. By combining genealogical and microhistorical analysis with interdisciplinary perspectives—particularly gender and genetics—this article proposes a transferable framework for testing historical hypotheses on lineage continuity, social mobility, and identity formation across early modern Castile and its transatlantic domains. Full article
Show Figures

Figure 1

27 pages, 1286 KB  
Systematic Review
Smart Speakers for Health and Well-Being of Older Adults: A Mixed-Methods Review
by Michael Joseph Dino, Carla Leinbach, Gerald Dino, Ladda Thiamwong, Chloe Margalaux Villafuerte, Mona Shattell, Justin Pimentel, Maybelle Anne Zamora, Anbel Bautista, John Paul Vitug, Joyline Chepkorir and Nerceilyn Marave
Healthcare 2025, 13(21), 2772; https://doi.org/10.3390/healthcare13212772 (registering DOI) - 31 Oct 2025
Abstract
Background: Rapid population aging poses significant challenges to health and wellness systems, necessitating innovative technological interventions. Smart home technologies, particularly voice-activated intelligent assistants (smart speakers), represent a promising avenue for supporting aging populations. Objectives: This study critically examines the empirical literature on smart [...] Read more.
Background: Rapid population aging poses significant challenges to health and wellness systems, necessitating innovative technological interventions. Smart home technologies, particularly voice-activated intelligent assistants (smart speakers), represent a promising avenue for supporting aging populations. Objectives: This study critically examines the empirical literature on smart speakers’ influence on older adults’ health and well-being, mapping the characteristics of existing studies, assessing the current state of this domain, and providing a comprehensive overview. Methods: A mixed-methods systematic review was conducted in accordance with published guidelines. Bibliometric data, article purposes and outcomes, keyword network analysis, and mixed-methods findings from articles retrieved from five major databases were managed through the Covidence and VosViewer applications. Results: The majority of studies were conducted in the American region. Bibliometric analysis revealed five predominant thematic clusters: health management, psychological support, social connectedness, technology adoption, and usability. Findings demonstrated multifaceted benefits across several domains. Older adults reported improvements in daily living activities, enhanced emotional well-being, strengthened social connections, and overall health benefits. Qualitative evidence particularly emphasized the advantages of medication adherence, routine maintenance, and facilitated social support. However, mixed-method synthesis revealed significant barriers to adoption and sustained use, including privacy concerns, technical difficulties, cost constraints, and limited digital literacy among older users. Conclusions: The integration of smart speakers into the homes of older adults offers considerable potential to enhance technological wellness and promote successful aging in place, underscoring the need for structured integration of smart speaker technology and human-centered designs within geriatric care systems. Full article
(This article belongs to the Section Digital Health Technologies)
Show Figures

Figure 1

16 pages, 1953 KB  
Article
Small-Signal Stability of Large-Scale Integrated Hydro–Wind–Photovoltaic Storage (HWPS) Systems Based on the Linear Time-Periodic (LTP) Method
by Ruikuo Liu, Hong Xiao, Zefei Wu, Jingshu Shi, Bin Wang, Hongqiang Xiao, Depeng Hu, Ziqi Jia, Guojie Zhao and Yingbiao Li
Processes 2025, 13(11), 3500; https://doi.org/10.3390/pr13113500 (registering DOI) - 31 Oct 2025
Abstract
In recent years, renewable energy generation (RPG) has experienced rapid growth, and large-scale hydro–wind–photovoltaic storage (HWPS) bases have been progressively developed in southwest China, where hydropower resources are abundant. Ensuring the small-signal stability of such large-scale integrated systems has become a critical challenge. [...] Read more.
In recent years, renewable energy generation (RPG) has experienced rapid growth, and large-scale hydro–wind–photovoltaic storage (HWPS) bases have been progressively developed in southwest China, where hydropower resources are abundant. Ensuring the small-signal stability of such large-scale integrated systems has become a critical challenge. While considerable research has focused on the small-signal stability of grid-connected wind, photovoltaic, or energy storage systems (ESSs), studies on the stability of large-scale HWPS bases remain limited. Moreover, emerging grid codes require power electronic devices to maintain synchronization under unbalanced grid conditions. The time-varying rotating transformations introduced by positive-sequence (PS) and negative-sequence (NS) control render the conventional Park transformation ineffective. To address these challenges, this study develops a linear time-periodic (LTP) model of a large-scale HWPS base using trajectory linearization. Based on Floquet theory, the impacts of RPG station and ESS control parameters on system stability are analyzed. The results reveal that under the considered scenario, these control parameters may induce oscillations over a relatively wide frequency range. Specifically, low PLL and DVC bandwidths (BWs) are associated with the risk of low-frequency oscillations, whereas excessively high BWs may lead to sub-synchronous oscillations. The validity of the analysis is verified through comparison with time-domain simulations of the nonlinear model. Full article
Show Figures

Figure 1

23 pages, 470 KB  
Article
Dizque in Andean Spanish and Beyond
by Gabriel Martínez Vera
Languages 2025, 10(11), 276; https://doi.org/10.3390/languages10110276 - 30 Oct 2025
Viewed by 27
Abstract
This paper examines the reportative evidential dizque in Andean Spanish as spoken in Ecuador and Peru. Taking, as a starting point, the synchronic and diachronic syntactic analyses of this type of markers in Romance that have been discussed in the literature, I propose [...] Read more.
This paper examines the reportative evidential dizque in Andean Spanish as spoken in Ecuador and Peru. Taking, as a starting point, the synchronic and diachronic syntactic analyses of this type of markers in Romance that have been discussed in the literature, I propose an analysis that makes explicit how their syntax is mapped into semantics, and provide a semantics that captures the evidential and lack of certainty implications of dizque. I argue that expressions with dizque must be uttered when reportative evidence is available to the speaker, and, building on previous literature, that the lack of certainty flavor that these expressions have is a not-at-issue entailment. I show a number of consequences that follow from this kind of approach. I further point out how my proposal can capture the cross-Romance variation that is found in this domain, and discuss some key differences between dizque and other reportative evidentials cross-linguistically in connection to the expression of lack of certainty. Full article
(This article belongs to the Special Issue Shifting Borders: Spanish Morphosyntax in Contact Zones)
10 pages, 831 KB  
Proceeding Paper
Bridging the Gap Between Traditional Process Mining and Object-Centric Process Mining
by Hamza Moumad and Maryam Radgui
Eng. Proc. 2025, 112(1), 54; https://doi.org/10.3390/engproc2025112054 - 28 Oct 2025
Viewed by 154
Abstract
Process mining has become an essential technique for analyzing and optimizing business processes by leveraging digital traces recorded by enterprise systems. However, traditional process mining methods rely heavily on the concept of case identifiers, assuming that each event is associated with only one [...] Read more.
Process mining has become an essential technique for analyzing and optimizing business processes by leveraging digital traces recorded by enterprise systems. However, traditional process mining methods rely heavily on the concept of case identifiers, assuming that each event is associated with only one process instance. This assumption often limits their applicability in complex, real-world environments where multiple objects interact concurrently. This study seeks to connect conventional process mining approaches with the growing domain of object-centric process mining, which provides a broader perspective by considering events linked to multiple business entities. We review the conceptual foundations of both approaches and identify the challenges in transitioning from a case-centric to an object-centric perspective. Our findings demonstrate that object-centric process mining provides richer insights into interconnected process behavior. We conclude that object-centric paradigms mark a significant advancement in process analytics, paving the way for more adaptive and intelligent process improvement frameworks. This study not only bridges conventional process mining approaches with the emerging field of object-centric process mining (OC-PM) but also explores how recent advancements, particularly in Generative AI, are being leveraged within OC-PM frameworks. Specifically, we highlight approaches that integrate Generative AI techniques, including Large Language Models (LLMs), to enhance process understanding and prediction. The integration of AI—especially Generative AI—enables researchers and practitioners to move beyond the limitations and challenges of classical, case-centric process mining, offering more flexible, intelligent, and context-aware process analysis capabilities. Full article
Show Figures

Figure 1

24 pages, 6903 KB  
Article
Brain Myelin Covariance Networks: Gradients, Cognition, and Higher-Order Landscape
by Huijun Wu, Arpana Church, Xueyan Jiang, Jennifer S. Labus, Chuyao Yan, Emeran A. Mayer and Hao Wang
Behav. Sci. 2025, 15(11), 1466; https://doi.org/10.3390/bs15111466 - 28 Oct 2025
Viewed by 244
Abstract
Myelin is essential for efficient neural signaling and can be quantitatively evaluated using the T1-weighted/T2-weighted (T1w/T2w) ratio as a proxy for regional myelin content. Myelin covariance networks (MCNs) reflect correlated myelin patterns across brain regions, enabling the investigation of topological organization. However, a [...] Read more.
Myelin is essential for efficient neural signaling and can be quantitatively evaluated using the T1-weighted/T2-weighted (T1w/T2w) ratio as a proxy for regional myelin content. Myelin covariance networks (MCNs) reflect correlated myelin patterns across brain regions, enabling the investigation of topological organization. However, a vertex-level map of myelin covariance gradients and their cognitive associations remains underexplored. The objective of this study was to construct and characterize vertex-level MCNs, identify their principal gradients, map their higher-order topological landscape, and determine their associations with cognitive functions and other multimodal cortical features. We conducted a cross-sectional, secondary analysis of publicly available data from the Human Connectome Project (HCP). The dataset included T1w/T2w MRI data from 1096 healthy adult participants (age 22–37). All original data collection and sharing procedures were approved by the Washington University institutional review board. Our procedures involved (1) constructing a vertex-wise MCN from T1w/T2w ratio data; (2) applying gradient analysis to identify principal organizational axes; (3) calculating network connectivity strength; (4) performing cognitive meta-analysis using Neurosynth; and (5) using graphlet analysis to assess higher-order topology. Our results show that the primary myelin gradient (Gradient 1) spans from sensory-motor to association cortices, strongly associates with connectivity strength (r = 0.66), and shows a functional dissociation between affective processing and sensorimotor domains. Furthermore, Gradient 2, as well as the positive and full connectivity strength, showed robust correlations with fractional anisotropy (FA), a DTI metric reflecting white matter microstructure. Our higher-order analysis also revealed that negative and positive myelin covariance connections exhibited distinct topologies. Negative connections were dominated by star-like graphlet structures, while positive connections were dominated by path-like and triangular structures. This systematic vertex-level investigation offers novel insights into the organizational principles of cortical myelin, linking gray matter myelin patterns to white matter integrity, and providing a valuable reference for neuropsychological research and the potential identification of biomarkers for neurological disorders. Full article
(This article belongs to the Section Cognition)
Show Figures

Figure 1

22 pages, 30853 KB  
Article
Morphology, Polarization Patterns, Compression, and Entropy Production in Phase-Separating Active Dumbbell Systems
by Lucio Mauro Carenza, Claudio Basilio Caporusso, Pasquale Digregorio, Antonio Suma, Giuseppe Gonnella and Massimiliano Semeraro
Entropy 2025, 27(11), 1105; https://doi.org/10.3390/e27111105 - 25 Oct 2025
Viewed by 247
Abstract
Polar patterns and topological defects are ubiquitous in active matter. In this paper, we study a paradigmatic polar active dumbbell system through numerical simulations, to clarify how polar patterns and defects emerge and shape evolution. We focus on the interplay between these patterns [...] Read more.
Polar patterns and topological defects are ubiquitous in active matter. In this paper, we study a paradigmatic polar active dumbbell system through numerical simulations, to clarify how polar patterns and defects emerge and shape evolution. We focus on the interplay between these patterns and morphology, domain growth, irreversibility, and compressibility, tuned by dumbbell rigidity and interaction strength. Our results show that, when separated through MIPS, dumbbells with softer interactions can slide one relative to each other and compress more easily, producing blurred hexatic patterns, polarization patterns extended across entire hexatically varied domains, and stronger compression effects. Analysis of isolated domains reveals the consistent presence of inward-pointing topological defects that drive cluster compression and generate non-trivial density profiles, whose magnitude and extension are ruled by the rigidity of the pairwise potential. Investigation of entropy production reveals instead that clusters hosting an aster/spiral defect are characterized by a flat/increasing entropy profile mirroring the underlying polarization structure, thus suggesting an alternative avenue to distinguish topological defects on thermodynamical grounds. Overall, our study highlights how interaction strength and defect–compression interplay affect cluster evolution in particle-based active models, and also provides connections with recent studies of continuum polar active field models. Full article
Show Figures

Figure 1

41 pages, 9647 KB  
Article
Approach for the Assessment of Stability and Performance in the s- and z-Complex Domains
by Vesela Karlova-Sergieva
Automation 2025, 6(4), 61; https://doi.org/10.3390/automation6040061 - 25 Oct 2025
Viewed by 245
Abstract
This paper presents a systematic approach for rapid assessment of the performance and robustness of linear control systems through geometric analysis in the complex plane. By combining indirect performance indices within a defined zone of desired performance in the complex s-plane, a connection [...] Read more.
This paper presents a systematic approach for rapid assessment of the performance and robustness of linear control systems through geometric analysis in the complex plane. By combining indirect performance indices within a defined zone of desired performance in the complex s-plane, a connection is established with direct performance indices, forming a foundation for the synthesis of control algorithms that ensure root placement within this zone. Analytical relationships between the complex variables s and z are derived, thereby defining an equivalent zone of desired performance for discrete-time systems in the complex z-plane. Methods for verifying digital algorithms with respect to the desired performance zone in the z-plane are presented, along with a visual assessment of robustness through radii describing robust stability and robust performance, representing performance margins under parameter variations. Through parametric modeling of controlled processes and their projections in the complex s- and z-domains, the influence of the discretization method and sampling period, as forms of a priori uncertainty, is analyzed. This paper offers original derivations for MISO systems, facilitating the analysis, explanation, and understanding of the dynamic behavior of real-world controlled processes in both the continuous and discrete-time domains, and is aimed at integration into expert systems supporting control strategy selection. The practical applicability of the proposed methodology is related to discrete control systems in energy, electric drives, and industrial automation, where parametric uncertainty and choice of method and period of discretization significantly affect both robustness and control performance. Full article
(This article belongs to the Section Control Theory and Methods)
Show Figures

Figure 1

25 pages, 5464 KB  
Article
A Computational Framework for Fully Coupled Time-Domain Aero-Hydro-Servo-Elastic Analysis of Hybrid Offshore Wind and Wave Energy Systems by Deploying Generalized Modes
by Nikos Mantadakis, Eva Loukogeorgaki and Peter Troch
J. Mar. Sci. Eng. 2025, 13(11), 2047; https://doi.org/10.3390/jmse13112047 - 25 Oct 2025
Viewed by 240
Abstract
In this paper, a generic computational framework, based on the generalized-mode approach, is developed for the fully coupled time-domain aero-hydro-servo-elastic analysis of Hybrid Offshore Wind and Wave Energy Systems (HOWiWaESs), consisting of a Floating Offshore Wind Turbine (FOWT) and several wave energy converters [...] Read more.
In this paper, a generic computational framework, based on the generalized-mode approach, is developed for the fully coupled time-domain aero-hydro-servo-elastic analysis of Hybrid Offshore Wind and Wave Energy Systems (HOWiWaESs), consisting of a Floating Offshore Wind Turbine (FOWT) and several wave energy converters (WECs) mechanically connected to it. The FOWT’s platform and the WECs of the HOWiWaES are modeled as a single floating body with conventional rigid-body modes, while the motions of the WECs relative to the FOWT are described as additional generalized modes of motion. A numerical tool is established by appropriately modifying/extending the OpenFAST source code. The frequency-dependent exciting forces and hydrodynamic coefficients, as well as hydrostatic stiffness terms, are obtained using the traditional boundary integral equation method, whilst the generalized-mode shapes are determined by developing appropriate 3D vector shape functions. The tool is applied for a 5 MW FOWT with a spar-type floating platform and a conic WEC buoy hinged on it via a mechanical arm, and results are compared with those of other investigators utilizing the multi-body approach. Two distinctive cases of a pitching and a heaving WEC are considered. A quite good agreement is established, indicating the potential of the developed tool to model floating HOWiWaESs efficiently. Full article
(This article belongs to the Section Ocean Engineering)
Show Figures

Figure 1

23 pages, 3113 KB  
Review
Integrated Building Retrofit for Seismic Resilience and Environmental Sustainability: A Critical Review
by Ghada Karaki and Rami A. Hawileh
Buildings 2025, 15(20), 3800; https://doi.org/10.3390/buildings15203800 - 21 Oct 2025
Viewed by 310
Abstract
Integrated seismic–environmental retrofit is gaining attention in research and practice, as it combines resilience and sustainability objectives in building retrofits. However, current research and practice remain fragmented. This paper presents a systematic literature review to analyse how retrofit is addressed across four key [...] Read more.
Integrated seismic–environmental retrofit is gaining attention in research and practice, as it combines resilience and sustainability objectives in building retrofits. However, current research and practice remain fragmented. This paper presents a systematic literature review to analyse how retrofit is addressed across four key dimensions: structural, environmental, social, and governance. A thematic analysis in NVivo was combined with Python-based quantitative analysis of code frequency and co-occurrence. The integrated retrofit literature reframes environmental assessment, shifting towards whole-building lifecycle assessment and having seismic environmental impacts and energy efficiency as embedded components. Retrofit practices are mainly discussed in technical and compliance terms, but are not properly examined using unified quantitative metrics; the broad use of metrics and indicators limits comparability and replication. Social and governance dimensions remain peripheral, with weak connections to structural and environmental dimensions, which constrain cross-domain integration and challenge scaling up retrofit interventions. These gaps encompass the barriers facing integrated retrofit, with potential pathways to overcome, including aligned standards and datasets, capacity building, community engagement, and coordinated regulatory frameworks. Full article
(This article belongs to the Special Issue Challenges in Structural Repairs and Renovations)
Show Figures

Figure 1

24 pages, 797 KB  
Article
Towards a Sustainable Workforce in Big Data Analytics: Skill Requirements Analysis from Online Job Postings Using Neural Topic Modeling
by Fatih Gurcan, Ahmet Soylu and Akif Quddus Khan
Sustainability 2025, 17(20), 9293; https://doi.org/10.3390/su17209293 - 20 Oct 2025
Viewed by 422
Abstract
Big data analytics has become a cornerstone of modern industries, driving advancements in business intelligence, competitive intelligence, and data-driven decision-making. This study applies Neural Topic Modeling (NTM) using the BERTopic framework and N-gram-based textual content analysis to examine job postings related to big [...] Read more.
Big data analytics has become a cornerstone of modern industries, driving advancements in business intelligence, competitive intelligence, and data-driven decision-making. This study applies Neural Topic Modeling (NTM) using the BERTopic framework and N-gram-based textual content analysis to examine job postings related to big data analytics in real-world contexts. A structured analytical process was conducted to derive meaningful insights into workforce trends and skill demands in the big data analytics domain. First, expertise roles and tasks were identified by analyzing job titles and responsibilities. Next, key competencies were categorized into analytical, technical, developer, and soft skills and mapped to corresponding roles. Workforce characteristics such as job types, education levels, and experience requirements were examined to understand hiring patterns. In addition, essential tasks, tools, and frameworks in big data analytics were identified, providing insights into critical technical proficiencies. The findings show that big data analytics requires expertise in data engineering, machine learning, cloud computing, and AI-driven automation. They also emphasize the importance of continuous learning and skill development to sustain a future-ready workforce. By connecting academia and industry, this study provides valuable implications for educators, policymakers, and corporate leaders seeking to strengthen workforce sustainability in the era of big data analytics. Full article
Show Figures

Figure 1

41 pages, 4552 KB  
Systematic Review
Impact of Traffic Stress, Built Environment, and Socioecological Factors on Active Transport Among Young Adults
by Irfan Arif and Fahim Ullah
Sustainability 2025, 17(20), 9159; https://doi.org/10.3390/su17209159 - 16 Oct 2025
Viewed by 686
Abstract
Active transport (AT) offers an effective and sustainable strategy to address physical inactivity, reduce traffic congestion, and mitigate environmental challenges. However, participation in AT among young adults (YA) aged 18–25 remains low, leading to public health issues. This review synthesises evidence on how [...] Read more.
Active transport (AT) offers an effective and sustainable strategy to address physical inactivity, reduce traffic congestion, and mitigate environmental challenges. However, participation in AT among young adults (YA) aged 18–25 remains low, leading to public health issues. This review synthesises evidence on how traffic stress (TS), built environment (BE) features, and socioecological factors interact to shape AT behaviour among YA, a relationship that remains insufficiently understood. We systematically reviewed 173 peer-reviewed studies (2015–2025) from Web of Science (WoS), PubMed, and Scopus, following the PRISMA 2020 guidelines. Thematic analysis, bibliometric mapping, and meta-synthesis informed the impact of TS, the Level of Traffic Stress (LTS), the 5Ds of BE, and the Socioecological Model (SEM) on AT among YA. The findings show that high TS, characterised by unsafe road conditions, high-speed motor traffic, and inadequate walking or cycling facilities, consistently reduces AT participation. In contrast, supportive BE features, including street connectivity, land-use diversity, and destination accessibility, increase AT by reducing TS while enhancing safety and comfort. Socioecological factors, including self-efficacy, social norms, and peer support, further mediate these effects. This review introduces two novel metrics: Daily Traffic Stress (DTS), a time-sensitive measure of cumulative daily TS exposure, and the Stress-to-Step Ratio (SSR), a step-based index that standardises how stress exposures translate into AT behaviour. By integrating environmental and psychosocial domains, it offers a theoretical contribution as well as a practical foundation for targeted, multilevel policies to increase AT among YA and foster healthier, more equitable urban mobility. Full article
Show Figures

Figure 1

24 pages, 821 KB  
Article
Investigating the Connection Between Spatial Reasoning Skills and Reggio Emilia-Inspired Kindergarten Mathematics Activities
by Robyn K. Pinilla, Pratimaben J. Mehta and Enrique Pineda Sanchez
Educ. Sci. 2025, 15(10), 1375; https://doi.org/10.3390/educsci15101375 - 15 Oct 2025
Viewed by 409
Abstract
Spatial reasoning (SR) skills are inherent to our daily interactions with the world and essential to young children’s learning in science, technology, engineering, arts, and mathematics (STEAM) domains. Most simply, SR skills allow humans to mentally represent and transform objects and their relations. [...] Read more.
Spatial reasoning (SR) skills are inherent to our daily interactions with the world and essential to young children’s learning in science, technology, engineering, arts, and mathematics (STEAM) domains. Most simply, SR skills allow humans to mentally represent and transform objects and their relations. While the connection between SR skills and mathematics achievement is strong, the skills are infrequently emphasized in curriculum or instruction in the early grades of traditional elementary schools. The Regio-Emilia Inspired Approach (RE-IA) offers a schooling model that promotes teachers, or guides, to engage children in authentic learning opportunities and co-construct an emergent curriculum suited to their learning goals, which offers opportunities to learn and practice SR skills through interactive engagements. In this study, we sought to understand and identify specific ways of designing and implementing mathematics activities that support children in receiving opportunities to learn SR skills, whether they are explicit within learning objectives or implicit in learning actions students take. We examined lessons that offer opportunities to integrate SR within a kindergarten mathematics project targeting data analysis concepts. Findings revealed RE-IA as one pedagogical approach to including SR in early childhood education, which could help educators provide engaging environments and joyful mathematics learning experiences for young children. Implications for practice and directions for future research aimed more broadly at transdisciplinary STEAM and in other school models are discussed. Full article
(This article belongs to the Special Issue Cultivating Teachers for STEAM Education)
Show Figures

Figure 1

19 pages, 1591 KB  
Systematic Review
A Meta-Analysis of Artificial Intelligence in the Built Environment: High-Efficacy Silos and Fragmented Ecosystems
by Omar Alrasbi and Samuel T. Ariaratnam
Smart Cities 2025, 8(5), 174; https://doi.org/10.3390/smartcities8050174 - 15 Oct 2025
Viewed by 288
Abstract
Cities face mounting pressures to deliver reliable, low-carbon services amid rapid urbanization and budget constraints. Artificial Intelligence (AI), Machine Learning (ML), Deep Learning (DL), and the Internet of Things (IoT) are widely promoted to automate operations and strengthen decision-support across the built environment; [...] Read more.
Cities face mounting pressures to deliver reliable, low-carbon services amid rapid urbanization and budget constraints. Artificial Intelligence (AI), Machine Learning (ML), Deep Learning (DL), and the Internet of Things (IoT) are widely promoted to automate operations and strengthen decision-support across the built environment; however, it remains unclear whether these interventions are both effective and systemically integrated across domains. We conducted a Preferred Reporting Items for Systematic Reviews (PRISMA) aligned systematic review and meta-analysis (January 2015–July 2025) of empirical AI/ML/DL/IoT interventions in urban infrastructure. Searches across five open-access indices Multidisciplinary Digital Publishing Institute (MDPI), Directory of Open Access Journals (DOAJ), Connecting Repositories (CORE), Bielefeld Academic Search Engine (BASE), and Open Access Infrastructure for Research in Europe (OpenAIRE)returned 7432 records; after screening, 71 studies met the inclusion criteria for quantitative synthesis. A random-effects model shows a large, pooled effect (Hedges’ g = 0.92; 95% CI: 0.78–1.06; p < 0.001) for within-domain performance/sustainability outcomes. Yet 91.5% of implementations operate at integration Levels 0–1 (isolated or minimal data sharing), and only 1.4% achieve real-time multi-domain integration (Level 3). Publication bias is likely (Egger’s test p = 0.03); a conservative bias-adjusted estimate suggests a still-positive effect of g ≈ 0.68–0.70. Findings indicate a dual reality: high efficacy in silos but pervasive fragmentation that prevents cross-domain synergies. We outline actions, mandating open standards and APIs, establishing city-level data governance, funding Level-2/3 integration pilots, and adopting cross-domain evaluation metrics to translate local gains into system-wide value. Overall certainty of evidence is rated Moderate based on Grading of Recommendations Assessment, Development, and Evaluation (GRADE) due to heterogeneity and small-study effects, offset by the magnitude and consistency of benefits. Full article
Show Figures

Figure 1

15 pages, 2825 KB  
Article
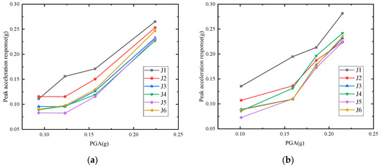
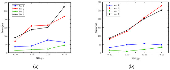
Experimental Study on the Seismic Dynamic Response of a Valve Tower on an Offshore Converter Platform
by Wei Zhang, Zhenzhou Sun, Tianchai Wang, Jiefeng Chen, Qiying Sun, Guohai Dong and Chunwei Bi
J. Mar. Sci. Eng. 2025, 13(10), 1969; https://doi.org/10.3390/jmse13101969 - 15 Oct 2025
Viewed by 223
Abstract
With the development of offshore wind power towards deep-sea areas, the offshore valve tower, as a key facility of offshore wind farms, plays a vital role in ensuring the stable operation of the system. To investigate its dynamic response characteristics under seismic loading, [...] Read more.
With the development of offshore wind power towards deep-sea areas, the offshore valve tower, as a key facility of offshore wind farms, plays a vital role in ensuring the stable operation of the system. To investigate its dynamic response characteristics under seismic loading, a 1:25 physical test model of the valve tower was constructed based on the gravity–elasticity similarity principle. Acceleration responses at the first deck of a 1:65 scale offshore converter platform model were obtained through shaking-table tests and applied as base excitation to the valve tower model. The experimental results reveal that the frequency domain response of the valve tower transitions from high-frequency dominance at the base to low-frequency dominance at the top, with the structural weak link located at the mid-connection between the front and rear sub-towers. The fundamental frequency of the valve tower is 3.92 Hz, and the average damping ratio is 3.21%. The shake table test of the converter valve tower was verified using the gravity–elasticity similarity law, effectively reproducing the seismic response characteristics of the prototype. This provides crucial data for seismic response spectrum analysis, identifies structural weaknesses, and offers guidance for the design of more earthquake-resistant offshore valve towers, thus enhancing the safety of deep-sea wind farms. Full article
(This article belongs to the Section Ocean Engineering)
Show Figures

Figure 1

Back to TopTop