Sign in to use this feature.

Years

Between: -

Subjects

remove_circle_outline
remove_circle_outline
remove_circle_outline
remove_circle_outline
remove_circle_outline
remove_circle_outline
remove_circle_outline
remove_circle_outline
remove_circle_outline

Journals

remove_circle_outline
remove_circle_outline
remove_circle_outline
remove_circle_outline
remove_circle_outline

Article Types

Countries / Regions

remove_circle_outline
remove_circle_outline
remove_circle_outline
remove_circle_outline

Search Results (640)

Search Parameters:
Keywords = complex road environments

Order results
Result details
Results per page
Select all
Export citation of selected articles as:
29 pages, 31157 KB  
Article
Geometric Condition Assessment of Traffic Signs Leveraging Sequential Video-Log Images and Point-Cloud Data
by Yiming Jiang, Yuchun Huang, Shuang Li, Jun Liu and He Yang
Remote Sens. 2025, 17(24), 4061; https://doi.org/10.3390/rs17244061 - 18 Dec 2025
Abstract
Traffic signs exposed to long-term outdoor conditions frequently exhibit deformation, inclination, or other forms of physical damage, highlighting the need for timely and reliable anomaly assessment to support road safety management. While point-cloud data provide accurate three-dimensional geometric information, their sparse distribution and [...] Read more.
Traffic signs exposed to long-term outdoor conditions frequently exhibit deformation, inclination, or other forms of physical damage, highlighting the need for timely and reliable anomaly assessment to support road safety management. While point-cloud data provide accurate three-dimensional geometric information, their sparse distribution and lack of appearance cues make traffic sign extraction challenging in complex environments. High-resolution sequential video-log images captured from multiple viewpoints offer complementary advantages by providing rich color and texture information. In this study, we propose an integrated traffic sign detection and assessment framework that combines video-log images and mobile-mapping point clouds to enhance both accuracy and robustness. A dedicated YOLO-SIGN network is developed to perform precise detection and multi-view association of traffic signs across sequential images. Guided by these detections, a frustum-based point-cloud extraction strategy with seed-point density growing is introduced to efficiently isolate traffic sign panels and supporting poles. The extracted structures are then used for geometric parameterization and damage assessment, including inclination, deformation, and rotation. Experiments on 35 simulated scenes and nine real-world road scenarios demonstrate that the proposed method can reliably extract and evaluate traffic sign conditions in diverse environments. Furthermore, the YOLO-SIGN network achieves a localization precision of 91.16% and a classification mAP of 84.64%, outperforming YOLOv10s by 1.7% and 8.7%, respectively, while maintaining a reduced number of parameters. These results confirm the effectiveness and practical value of the proposed framework for large-scale traffic sign monitoring. Full article
21 pages, 22321 KB  
Article
Cooling Effects in Large Urban Mountains: A Case Study of Chengdu Longquan Mountains Urban Forest Park
by Yuhang Ren, Liang Lin, Junjie Pan, Yi Feng, Chao Yu, Tianyi Li, Jialin Liu, Zian Guo and Lin Zhang
Forests 2025, 16(12), 1850; https://doi.org/10.3390/f16121850 - 12 Dec 2025
Viewed by 209
Abstract
Large Urban Mountains (LUM) with their rich vegetation cover offer a key natural solution to mitigate Urban Heat Island (UHI) effects. This study uses Longquan Mountain Forest Park (LMFP) as a case to investigate the spatiotemporal variations in cooling effects and the key [...] Read more.
Large Urban Mountains (LUM) with their rich vegetation cover offer a key natural solution to mitigate Urban Heat Island (UHI) effects. This study uses Longquan Mountain Forest Park (LMFP) as a case to investigate the spatiotemporal variations in cooling effects and the key factors influencing cooling intensity. Using Landsat images from 2001, 2011, and 2023, surface temperatures (LST) were retrieved through radiative transfer methods, and the thermal environment and cooling effects of LMFP were systematically analyzed. The eXtreme Gradient Boosting (XGBoost) model and Shapley Additive exPlanations(SHAP) methods were applied to explore the complex relationships between cooling intensity and its driving factors. Results show that in the years 2001, 2011, and 2023, the heat island area in LMFP has gradually shrunk, while the cooling intensity area has expanded. In the three years, the cooling distance increased from 330 m to 420 m, the cooling area expanded to 124.84 km2, and cooling efficiency increased to 18.31%. Vegetation coverage, leaf area index (LAI), and elevation are core factors influencing cooling, while human activities such as population and road density have a negative impact. This study provides important theoretical insights into the cooling mechanisms of large urban mountain parks. Full article
(This article belongs to the Section Urban Forestry)
Show Figures

Figure 1

24 pages, 3660 KB  
Article
A Resilience Assessment Framework for Cross-Regional Gas Transmission Networks with Application to Case Study
by Yue Zhang and Kaixin Shen
Sustainability 2025, 17(24), 10990; https://doi.org/10.3390/su172410990 - 8 Dec 2025
Viewed by 142
Abstract
As critical national energy arteries, long-distance large-scale cross-regional gas transmission networks are characterized by high operating pressures, extensive spatial coverage, and complex topological structures. Thus, the multi-hazard profiles threatening its safety and reliability operation differ significantly from those of local urban gas distribution [...] Read more.
As critical national energy arteries, long-distance large-scale cross-regional gas transmission networks are characterized by high operating pressures, extensive spatial coverage, and complex topological structures. Thus, the multi-hazard profiles threatening its safety and reliability operation differ significantly from those of local urban gas distribution networks. This research develops a resilience assessment framework capable of quantifying resistance, adaptation, and recovery capacities of such energy systems. The framework establishes performance indicator systems based on design parameters, installation environments, and construction methods for long-distance trunk pipelines and key facilities such as storage facilities. Furthermore, based on complex network theory, the size of the largest connected component and global efficiency of the transmission network are selected as core topological metrics to characterize functional scale retention and transmission efficiency under disturbances, respectively, with corresponding quantification methods proposed. A cross-regional pipeline transmission network within a representative municipal-level administrative region in China is used as a case for empirical analysis. The quantitative assessment results of pipeline and network resilience are analyzed. The research indicates that trunk pipeline resilience is significantly affected by characteristic parameters, the laying environment, and installation methods. It is notably observed that installation methods like jacking and directional drilling, used for road or river crossings, offer greater resistance than direct burial but considerably lower restoration capacity due to the complexity of both the environment and the repair processes, which increases time and cost. Moreover, simulation-based comparison of recovery strategies demonstrates that, in this case, a repair-time-prioritized strategy more effectively enhances overall adaptive capacity and restoration efficiency than a node-degree-prioritized strategy. The findings provide quantitative analytical tools and decision-support references for resilience assessment and optimization of cross-regional energy transmission networks. Full article
Show Figures

Figure 1

17 pages, 1699 KB  
Article
CrackLite-Net: A Sustainable Transportation-Oriented Real-Time Lightweight Network for Adaptive Road Crack Detection
by Ruiyunfei Pan and Yaojun Zhang
Sustainability 2025, 17(24), 10973; https://doi.org/10.3390/su172410973 - 8 Dec 2025
Viewed by 148
Abstract
Accurate and timely detection of road surface cracks plays a crucial role in ensuring sustainable infrastructure maintenance and improving road safety, particularly under complex and dynamic environmental conditions. However, existing deep learning-based detection methods often suffer from high computational overhead, limited scalability across [...] Read more.
Accurate and timely detection of road surface cracks plays a crucial role in ensuring sustainable infrastructure maintenance and improving road safety, particularly under complex and dynamic environmental conditions. However, existing deep learning-based detection methods often suffer from high computational overhead, limited scalability across diverse crack patterns, and insufficient robustness against complex background interference, hindering real-world deployment in resource-constrained UAV platforms. To address these challenges, this study proposes CrackLite-Net, an improved and lightweight variant of the YOLO12n architecture tailored for adaptive UAV-based road crack detection. First, a novel GhostPercepC2f backbone module is introduced, combining ghost feature generation with axis-aware attention to enhance spatial perception of crack structures while significantly reducing redundant computations and model parameters. Second, a Spatial Attention-Enhanced Feature Pyramid Network (SAFPN) is developed to perform adaptive multi-scale feature integration. By incorporating spatial attention and energy-guided filtering, SAFPN strengthens the representation of cracks with varying widths, orientations, and shapes. Third, the Selective Channel-Enhanced Cross-Stage Fusion module (SC2f) consolidates channel-wise feature dependencies using an adaptive lightweight convolution mechanism, effectively suppressing noise and improving feature discrimination in visually cluttered road scenes. Experimental evaluations on the newly constructed LCrack dataset demonstrate that CrackLite-Net achieves a mAP of 92.3% with only 2.2 M parameters, outperforming YOLO12 by 3.9% while delivering superior efficiency. Cross-dataset validation on RDD2022 further confirms the model’s strong generalization capability across different environments and imaging conditions. Overall, the results highlight CrackLite-Net as an effective, energy-efficient, and deployable solution for sustainable road infrastructure inspection using UAV platforms. Full article
Show Figures

Figure 1

21 pages, 6826 KB  
Article
Research on a Road Crack Detection Method Based on YOLO11-MBC
by Jinhui Li, Xiaowei Jiang and Hui Peng
Sensors 2025, 25(24), 7435; https://doi.org/10.3390/s25247435 - 6 Dec 2025
Viewed by 291
Abstract
To address the issues of low accuracy and high rates of false detection and missed detection in existing methods for pavement crack identification under complex road conditions, this paper proposes a novel approach named YOLO11-MBC, based on the YOLO11 model. A Multi-scale Feature [...] Read more.
To address the issues of low accuracy and high rates of false detection and missed detection in existing methods for pavement crack identification under complex road conditions, this paper proposes a novel approach named YOLO11-MBC, based on the YOLO11 model. A Multi-scale Feature Fusion Backbone Network (MFFBN) is designed to enhance the model’s capability to recognize and extract crack features in complex environments. Considering that pavement cracks often exhibit elongated topologies and are susceptible to interference from similar features like tree roots or lane markings, we combine the Bidirectional Feature Pyramid Network (BiFPN) with a Multimodal Cross-Attention (MCA) mechanism, constructing a novel BiMCNet to replace the Concat layer in the original network, thereby optimizing the detection of minute cracks. The CGeoCIoU loss function replaces the original CIoU, employing three distinct penalty terms to better reflect the alignment between predicted and ground-truth boxes. The effectiveness of the proposed method is validated through comparative and ablation experiments on the public RDD2022 dataset. Results demonstrate the following: (1) Compared to the baseline YOLO11, YOLO11-MBC achieves a 22.5% improvement in F1-score and an 8% increase in mAP50 by integrating the three proposed modules, significantly enhancing performance for complex pavement crack detection. (2) The improved algorithm demonstrates superior performance. Compared to YOLOv8, YOLOv10, and YOLO11, it achieves precision, recall, F1-score, mAP50, and mAP50-95 of 61%, 70%, 72%, 75%, and 66%, respectively, validating the correctness of our approach. Full article
(This article belongs to the Section Intelligent Sensors)
Show Figures

Figure 1

18 pages, 2411 KB  
Article
AVD-YOLO: Active Vision-Driven Multi-Scale Feature Extraction for Enhanced Road Anomaly Detection
by Minhong Jin, Zhongjie Zhu, Renwei Tu, Ang Lv and Zhijing Yu
Information 2025, 16(12), 1064; https://doi.org/10.3390/info16121064 - 3 Dec 2025
Viewed by 264
Abstract
Deficiencies in road anomaly detection systems precipitate multifaceted risks, including elevated collision probabilities from unidentified hazards, compromised traffic flow efficiency, and exponential maintenance costs. Contemporary methods struggle with complex road environments, dynamic viewing perspectives, and limited datasets. We present AVD-YOLO, an enhanced YOLO [...] Read more.
Deficiencies in road anomaly detection systems precipitate multifaceted risks, including elevated collision probabilities from unidentified hazards, compromised traffic flow efficiency, and exponential maintenance costs. Contemporary methods struggle with complex road environments, dynamic viewing perspectives, and limited datasets. We present AVD-YOLO, an enhanced YOLO variant that synergistically integrates Active Vision-Driven (AVD) multi-scale feature extraction with Position Modulated Attention (PMA) mechanisms. PMA addresses diminished target-background discriminability under variable illumination and weather conditions by capturing long range spatial dependencies, enhancing weak-feature target detection. The AVD technique mitigates missed detections caused by real-time viewing distance variations through adaptive multi-receptive field mechanisms, maintaining conceptual target fixation while dynamically adjusting feature scales. To address data scarcity, a comprehensive Multi-Class Road Anomaly Dataset (MCRAD) comprising 14,208 annotated images across nine anomaly categories is constructed. Experiments demonstrate that AVD-YOLO improves detection accuracy, achieving a 1.6% gain in mAP@0.5 and a 2.9% improvement in F1-score over baseline. These performance gains indicate both more precise localization of abnormal objects and a better balance between precision and recall, thereby enhancing the overall robustness of the detection model. Full article
Show Figures

Figure 1

16 pages, 1229 KB  
Article
XGBoost Method-Based Gearbox Fault Diagnosis Using Time-Domain Signal Under Road Vehicle Characteristics
by Vo-Nguyen Tuyet-Doan, Mooryong Choi and Giseo Park
Electronics 2025, 14(23), 4736; https://doi.org/10.3390/electronics14234736 - 1 Dec 2025
Viewed by 221
Abstract
Gearbox condition monitoring plays a crucial role in ensuring the reliability and safety of mechanical transmission systems in road vehicles. This study proposes an XGBoost-based fault diagnosis method using time-domain signals collected from four wheels—front-left, front-right, rear-left, and rear-right—under real-world operational conditions. Twelve [...] Read more.
Gearbox condition monitoring plays a crucial role in ensuring the reliability and safety of mechanical transmission systems in road vehicles. This study proposes an XGBoost-based fault diagnosis method using time-domain signals collected from four wheels—front-left, front-right, rear-left, and rear-right—under real-world operational conditions. Twelve statistical features extracted from the wheel-speed signals, combined with road vehicle characteristics, are considered as input for the model. The performance of the proposed method is verified through time-domain experiments. The experimental results indicate that the proposed XGBoost approach achieves superior fault classification accuracy compared to traditional tree-based ensemble methods such as Decision Trees and Random Forests, at 82.42%, 75.82%, and 72.53%, respectively. The method offers an effective tool for real-time gearbox fault diagnosis in complex vehicle environments. Full article
Show Figures

Figure 1

28 pages, 17592 KB  
Article
Symmetry-Aware Bayesian-Optimized Gaussian Process Regression for Remaining Useful Life Prediction of Lithium-Ion Batteries Under Real-World Conditions
by Vikraman Karkuzhali, Nesamony Jothi Swaroopan, Nagalingam Rajendiran Shanker and Sarangapani Senthilraj
Symmetry 2025, 17(12), 2039; https://doi.org/10.3390/sym17122039 - 30 Nov 2025
Viewed by 345
Abstract
Lithium-ion batteries are widely used in electric vehicles (EVs) due to their high energy and power density. The accurate prediction of Remaining Useful Life (RUL) is critical for ensuring safety, reliability, and optimal battery utilization. However, RUL estimation remains challenging because battery degradation [...] Read more.
Lithium-ion batteries are widely used in electric vehicles (EVs) due to their high energy and power density. The accurate prediction of Remaining Useful Life (RUL) is critical for ensuring safety, reliability, and optimal battery utilization. However, RUL estimation remains challenging because battery degradation is influenced not only by electrochemical factors but also by real-world operating conditions, which often exhibit complex symmetric and asymmetric patterns. Existing RUL prediction models neglect the impact of micro-climatic conditions and road-induced vehicle vibrations, which leads to reduced prediction accuracy and limited application in practical driving environments. This paper proposes a Bayesian-optimized Gaussian process regression model (BO_GPR) for RUL prediction by integrating internal resistance data, battery degradation characteristics, micro-climatic parameters (temperature, humidity, wind speed), and vehicle vibration data under diverse driving scenarios. Vibration signals are preprocessed using the Discrete Wavelet Transform (DWT) and band-specific features are extracted using Tunable Q-factor Wavelet Transform (TQWT) to enhance feature sensitivity. The proposed BO-GPR model achieves an accuracy of 98.1%, outperforming conventional machine learning approaches. Experimental analysis shows that Z-axis vibrations, aggressive driving patterns, and urban terrain roads, in combination with micro-climatic variability, play a crucial role in accelerating RUL degradation. By explicitly modeling these factors, the proposed method provides a more realistic, data-driven framework for the health monitoring of electric vehicle batteries. These findings highlight the importance of incorporating environmental influences, vehicle dynamics, and degradation symmetry considerations in RUL prediction, supporting predictive maintenance, fleet management, and battery warranty optimization, improving the reliability and lifecycle cost-effectiveness of electric mobility systems. Full article
(This article belongs to the Section Engineering and Materials)
Show Figures

Graphical abstract

26 pages, 16346 KB  
Article
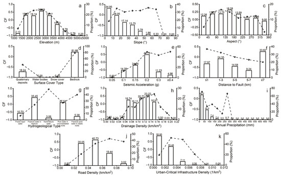
A Conditional Probability-Based Model for Mountainous Geological Hazard Susceptibility Assessment
by Yixi Wang, Jing Chen, Shouding Li, Pengfei Zhang, Xinshuo Chen, Shiwei Ma, Hui Ouyang, Hang Bian, Tianqiao Mao, Zhaobin Zhang and Xiao Li
Appl. Sci. 2025, 15(23), 12653; https://doi.org/10.3390/app152312653 - 28 Nov 2025
Viewed by 185
Abstract
The occurrence of mountainous geological hazards, primarily including rockfalls, landslides, and debris flows, is frequently influenced by multiple environmental factors and exhibits significant spatial heterogeneity and cumulative effects. To address the need for regional-scale susceptibility assessments within complex geological settings, we propose a [...] Read more.
The occurrence of mountainous geological hazards, primarily including rockfalls, landslides, and debris flows, is frequently influenced by multiple environmental factors and exhibits significant spatial heterogeneity and cumulative effects. To address the need for regional-scale susceptibility assessments within complex geological settings, we propose a novel geological hazard susceptibility assessment model based on conditional probability. This study establishes a dual-module evaluation framework incorporating certainty factors (CFs) and weights (W), in which the CF quantifies the contribution of each factor class to hazard occurrence, while the weights reflect the relative importance of the conditioning factors, thereby improving the model’s capability to characterize multifactorial coupling effects. Using three representative mountainous regions in Xinjiang, China—the Ili Valley Region (IVR), the Northern Piedmont of the Tianshan Mountains (NPTM), and the Kunlun–Altun Mountain Region (KAMR)—we integrate 7938 historical hazard points and 11 conditioning factors within a GIS environment to conduct the assessment. The results reveal regional differences in the weights of conditioning factors: IVR is primarily controlled by Elevation (0.184), Urban-Critical Infrastructure Density (0.163), and Annual Precipitation (0.156); NPTM is dominated by Annual Precipitation (0.153), Urban-Critical Infrastructure Density (0.145), and Road Density (0.136); and KAMR is governed by Elevation (0.197), Seismic Acceleration (0.167), and Hydrogeological Type (0.134). In IVR, NPTM, and KAMR, the Very-High and High susceptibility zones occupy 37.10%, 34.86%, and 26.23% of the land area, respectively, and contain 78.18%, 77.24%, and 82.10% of the identified geological hazards. The region-specific ROC-AUCs are 0.8536 (IVR), 0.8545 (NPTM), and 0.8775 (KAMR), indicating good predictive capability across sedimentary basins and tectonically active zones. This study provides methodological and data support for quantitative risk assessment of geological hazards at the regional scale under complex geological conditions. Full article
(This article belongs to the Section Earth Sciences)
Show Figures

Figure 1

41 pages, 26216 KB  
Article
Spatiotemporal Heterogeneity and Multi-Scale Determinants of Human Mobility Pulses: The Case of Harbin City
by Xinyue Xu, Ming Sun and Qimeng Ren
Sustainability 2025, 17(23), 10514; https://doi.org/10.3390/su172310514 - 24 Nov 2025
Viewed by 268
Abstract
To enhance winter tourism competitiveness and address seasonal tourist flow pressures, this study adopts Harbin as a case study and introduces a metamodernist theoretical framework. This framework redefines the “population pulse” phenomenon as a structural oscillation involving periodic switching between the two poles [...] Read more.
To enhance winter tourism competitiveness and address seasonal tourist flow pressures, this study adopts Harbin as a case study and introduces a metamodernist theoretical framework. This framework redefines the “population pulse” phenomenon as a structural oscillation involving periodic switching between the two poles of global tourist consumption and local resident daily needs. By integrating multi-source spatiotemporal data, the study employs X-means clustering to identify population aggregation–dispersion patterns and combines the Geographical Detector and GWR model to construct a complete technical pathway ranging from global factor detection to local heterogeneity analysis. The findings reveal that (1) population activity in Harbin exhibits a “monocentric polarization” pattern during the peak season, which shifts to a “polycentric weak agglomeration” mode in the off-season, reflecting the seasonal oscillation of the city’s functional roles; (2) X-means clustering identifies three types of functional zones: transit-oriented areas on the urban periphery, commercial supporting service zones, and core commercial districts; (3) the Geographical Detector quantifies the independent explanatory power and interactive effects of various influencing factors, identifying the interaction between POI density and road network accessibility as having the strongest explanatory power regarding population aggregation; (4) GWR analysis reveals significant spatiotemporal heterogeneity in the effects of various built environment and socioeconomic driving factors. This study provides specific evidence and technical support for urban planning practices in Harbin and other similar cities, deepens the theoretical understanding of the “constitutive conditions” of urban vitality, and explores a post-paradigmatic research path in geographical methodology that can embrace complexity and analyze oscillatory behavior. Full article
Show Figures

Figure 1

20 pages, 9080 KB  
Article
Integration of Multi-Sensor Fusion and Decision-Making Architecture for Autonomous Vehicles in Multi-Object Traffic Conditions
by Hai Ngoc Nguyen, Thien Nguyen Luong, Tuan Pham Minh, Nguyen Mai Thi Hong, Kiet Tran Anh, Quan Bui Hong and Ngoc Pham Van Bach
Sensors 2025, 25(22), 7083; https://doi.org/10.3390/s25227083 - 20 Nov 2025
Viewed by 608
Abstract
Autonomous vehicles represent a transformative technology in modern transportation, promising enhanced safety, efficiency, and accessibility in mobility systems. This paper presents a comprehensive autonomous vehicle system designed specifically for Vietnam’s traffic conditions, featuring a multi-layered approach to perception, decision-making, and control. The system [...] Read more.
Autonomous vehicles represent a transformative technology in modern transportation, promising enhanced safety, efficiency, and accessibility in mobility systems. This paper presents a comprehensive autonomous vehicle system designed specifically for Vietnam’s traffic conditions, featuring a multi-layered approach to perception, decision-making, and control. The system utilizes dual 2D LiDARs, camera vision, and GPS sensing to navigate complex urban environments. A key contribution is the development of a specialized segmentation model that accurately identifies Vietnam-specific traffic signs, lane markings, road features, and pedestrians. The system implements a hierarchical decision-making architecture, combining long-term planning based on GPS and map data with short-term reactive planning derived from a bird’s-eye view transformation of segmentation and LiDAR data. The control system modulates the speed and steering angle through a validated model that ensures stable vehicle operation across various traffic scenarios. Experimental results demonstrate the system’s effectiveness in real-world conditions, achieving a high accuracy rate in terms of segmentation and detection and an exact response in navigation tasks. The proposed system shows robust performance in Vietnam’s unique traffic environment, addressing challenges such as mixed traffic flow and country-specific road infrastructure. Full article
(This article belongs to the Section Vehicular Sensing)
Show Figures

Figure 1

19 pages, 13860 KB  
Article
TGU-Net: A Temporal Generative U-Net Framework for Real-Time Traffic Anomaly Detection
by Borja Pérez, Mario Resino, Abdulla Al-Kaff and Fernando García
Smart Cities 2025, 8(6), 194; https://doi.org/10.3390/smartcities8060194 - 19 Nov 2025
Viewed by 417
Abstract
Traffic anomaly detection plays a crucial role in improving road safety and enabling timely responses to abnormal events. Recent research has explored generative and predictive models to enhance detection accuracy; however, the dynamic and complex nature of traffic scenes often introduces noise and [...] Read more.
Traffic anomaly detection plays a crucial role in improving road safety and enabling timely responses to abnormal events. Recent research has explored generative and predictive models to enhance detection accuracy; however, the dynamic and complex nature of traffic scenes often introduces noise and uncertainty, reducing reliability. This work presents TGU-Net, a Temporal Generative U-Net framework designed for real-time traffic anomaly detection in urban environments. The proposed model integrates two key innovations: (1) a temporal modeling component that captures dependencies across consecutive frames, and (2) contextual scene enrichment that enhances the distinction between normal and anomalous behaviors. These additions mitigate reconstruction noise and improve detection robustness without compromising computational efficiency. Experimental evaluations on a synthetically generated CARLA-based dataset demonstrate that TGU-Net achieves strong performance in precision, recall, and early anomaly detection, confirming its potential as a scalable and reliable framework for real-world traffic monitoring systems. Full article
(This article belongs to the Section Smart Urban Mobility, Transport, and Logistics)
Show Figures

Figure 1

22 pages, 408 KB  
Article
Many-Objective Edge Computing Server Deployment Optimization for Vehicle Road Cooperation
by Shanshan Fan and Bin Cao
Appl. Sci. 2025, 15(22), 12240; https://doi.org/10.3390/app152212240 - 18 Nov 2025
Viewed by 300
Abstract
In the Internet of Vehicles (IoV), vehicles need to process a large amount of perception data to support tasks such as road navigation and autonomous driving. However, their computational resources are limited. Therefore, it is necessary to explore the combination of vehicle–road cooperation [...] Read more.
In the Internet of Vehicles (IoV), vehicles need to process a large amount of perception data to support tasks such as road navigation and autonomous driving. However, their computational resources are limited. Therefore, it is necessary to explore the combination of vehicle–road cooperation with edge computing. Roadside units (RSUs) can provide data access services for vehicles, and deploying edge servers on RSUs can improve the data processing capability in IoV environments and ensure the sustainability of vehicle communications, thus supporting complex traffic scenarios more effectively. In this work, we study the deployment of RSUs in vehicle–road cooperative systems. To balance the deployment cost of RSUs and the quality of service (QoS) of vehicle users, we propose an RSU deployment optimization model with six objectives, including time delay, energy consumption and security when vehicles offload their tasks to RSUs, as well as load balancing and the number and communication coverage area of RSUs. In addition, we propose a Wasserstein generative adversarial network (WGAN)-based Two_Arch2 (WGTwo_Arch2) to solve this many-objective optimization problem to better ensure the diversity and convergence of the solutions. In addition, a polynomial variation strategy based on Lecy’s flight mechanism and a diversity archive selection strategy with an adaptive Lp-norm are also proposed to balance the exploratory and exploitative capabilities of the algorithm. The effectiveness of the proposed algorithm WGTwo_Arch2 for 6-objective RSU deployment optimization is verified by comparisons with five different algorithms. Full article
Show Figures

Figure 1

22 pages, 23172 KB  
Article
UGV Formation Path Planning Based on DRL-DWA in Off-Road Environments
by Congduan Li, Yiqi Zhang, Dan Song, Nanfeng Zhang, Lei Chen, Jingfeng Yang, Li Wang and Xiangping Bryce Zhai
Appl. Sci. 2025, 15(22), 12212; https://doi.org/10.3390/app152212212 - 18 Nov 2025
Viewed by 395
Abstract
Uneven terrains and complex obstacles in off-road environments present significant challenges to the stability and safety of vehicle path planning. This paper presents a hierarchical DRL-DWA path planning framework for unmanned ground vehicles (UGVs). At the global level, an energy-aware D* Lite algorithm [...] Read more.
Uneven terrains and complex obstacles in off-road environments present significant challenges to the stability and safety of vehicle path planning. This paper presents a hierarchical DRL-DWA path planning framework for unmanned ground vehicles (UGVs). At the global level, an energy-aware D* Lite algorithm generates cost-efficient waypoints considering both distance and energy consumption. At the local level, a deep reinforcement learning-enhanced DWA controller adaptively adjusts the weighting factors of evaluation functions in real time to ensure dynamic feasibility on rough terrain. The parameter selection is formulated as a Markov decision process (MDP), where a novel reward function based on elevation maps, vehicle pose, goal, and obstacle information guides the optimization for off-road navigation. Furthermore, the single UGV framework is extended to a multi-UGV system, where formation control is achieved through the leader–follower strategy. To evaluate the performance of our algorithm, we conduct experiments in 3D simulation environments featuring various terrains and obstacles. The results indicate that the proposed approach outperforms existing path planning techniques, showing a higher success rate and a lower average elevation gradient in uneven terrains. Full article
Show Figures

Figure 1

41 pages, 8041 KB  
Article
Modeling Pedestrian Accessibility: Research on Public Space of Industrial Heritage Renovated Districts
by Xin Xu, Enxuan Ding, Kanhua Yu, Jinting Yu, Wei Liu and Liming Bo
Buildings 2025, 15(22), 4142; https://doi.org/10.3390/buildings15224142 - 17 Nov 2025
Viewed by 330
Abstract
Pedestrian accessibility of public space is a crucial basis for ensuring public equality in sharing resources and enhancing spatial vitality and utilization efficiency. This research applied complex network theory to examine pedestrian accessibility in industrial heritage renovated public spaces, integrating the node efficiency [...] Read more.
Pedestrian accessibility of public space is a crucial basis for ensuring public equality in sharing resources and enhancing spatial vitality and utilization efficiency. This research applied complex network theory to examine pedestrian accessibility in industrial heritage renovated public spaces, integrating the node efficiency model with an improved gravity model to propose the node accessibility model. By taking Xi’an Banpo International Art District as a case study, 13 public spaces were selected and categorized into categories to identify the current characteristics and key deficiencies. The results showed that public space pedestrian accessibility shows a positive correlation with the quality of the spaces, though individual nodes may deviate due to network effects. Correlation analyses indicated that an appropriate road setting in public spaces contributed to positive pedestrian accessibility of the whole district; however, poor spatial environment and lack of arts and cultural atmosphere were key reasons for low pedestrian accessibility. In response, four strategies for improving the pedestrian accessibility of public spaces in industrial heritage renovated districts were proposed, which included industrialization of public transport space, peripheral space integration, entrance space transition, and internal space enhancement. This study provides scientific methodology and theoretical guidance for the optimization of public space in industrial heritage renovated projects and contributes new insights into industrial heritage preservation and urban space renewal. Full article
(This article belongs to the Section Architectural Design, Urban Science, and Real Estate)
Show Figures

Figure 1

Back to TopTop