Sign in to use this feature.

Years

Between: -

Subjects

remove_circle_outline
remove_circle_outline
remove_circle_outline
remove_circle_outline
remove_circle_outline
remove_circle_outline
remove_circle_outline
remove_circle_outline
remove_circle_outline

Journals

Article Types

Countries / Regions

Search Results (327)

Search Parameters:
Keywords = collaborative optimal scheduling

Order results
Result details
Results per page
Select all
Export citation of selected articles as:
13 pages, 3690 KB  
Article
Design and Development of a Regional Collaborative Platform for Construction Waste Management
by Hong-Ping Wang, Xin Qu, Hao Luo, Xingbin Chen and Hai-Ying Hu
Buildings 2026, 16(3), 666; https://doi.org/10.3390/buildings16030666 - 5 Feb 2026
Abstract
To address the “silo effect” in construction waste management and the inefficiency of resource allocation in large-scale, multi-section engineering projects, this study developed a cloud-based regional collaborative platform for construction waste management. The platform adopts a technical framework based on Java 1.8.0, Spring [...] Read more.
To address the “silo effect” in construction waste management and the inefficiency of resource allocation in large-scale, multi-section engineering projects, this study developed a cloud-based regional collaborative platform for construction waste management. The platform adopts a technical framework based on Java 1.8.0, Spring Boot 2.4.4, and MySQL 8.0.16, and integrates a visual interactive interface. It supports dynamic access, data entry, quality review, and scheduling of construction waste information across multiple sections and projects. Validated through a case study on the Changhu section of the Guangdong Guanshen–Changhu Expressway expansion project, the platform successfully achieved spatial–temporal optimization of 740 thousand cubic meters of diversified construction waste across seven sections. The comprehensive utilization rate of construction waste increased by more than 25%. Practice has shown that the platform effectively promotes carbon emission reduction in earthworks, enhances resource circularity, and provides digital support for construction quality control. This platform presents an innovative informatics-driven approach to construction waste management, serving as a replicable model. Full article
(This article belongs to the Section Construction Management, and Computers & Digitization)
26 pages, 2140 KB  
Article
Operations Research for Pediatric Elective Surgery Planning: Example of a Mathematical Model
by Martina Doneda, Sara Costanzo, Giuliana Carello, Amulya Kumar Saxena and Gloria Pelizzo
Bioengineering 2026, 13(2), 186; https://doi.org/10.3390/bioengineering13020186 - 5 Feb 2026
Abstract
The management of operating rooms (ORs) is one of the most studied topics in operations research applied to healthcare. In particular, scheduling elective surgeries in a pediatric and teaching hospital can be a challenge because disruptions occur frequently. The aim of our research [...] Read more.
The management of operating rooms (ORs) is one of the most studied topics in operations research applied to healthcare. In particular, scheduling elective surgeries in a pediatric and teaching hospital can be a challenge because disruptions occur frequently. The aim of our research was to create a mathematical programming model to schedule day hospital (DH) patients, considering possible disruptions and defining how to best manage the rescheduling process. Our study originates from a collaboration between a high-volume pediatric surgery department and operations research practitioners. The possible disruptions we consider are emergencies and same-day cancellations of planned hospital operations. Elective DH surgeries are scheduled considering the waiting list and the patients’ clinical priorities, generating a nominal schedule. This schedule is optimized in conjunction with a series of back-up schedules to guarantee that OR activity immediately recovers in case of a disruption. An ILP-based approach to the problem is proposed. We enumerate a representative subset of the possible emergency and no-show scenarios, and for each of them a back-up plan is designed. The approach reschedules patients, minimizing disruptions with respect to the nominal schedule, and applies an as-soon-as-possible policy in case of emergencies to ensure that all patients receive timely care. The approach is shown to be effective in managing disruptions, ensuring that the waiting list is managed properly, with a balanced mix of urgent and less urgent patients. It provides an effective solution for scheduling patients in a pediatric hospital, considering the unique features of such facilities. Full article
Show Figures

Graphical abstract

29 pages, 2148 KB  
Article
A Dual-Layer Scheduling Method for Virtual Power Generation with an Integrated Regional Energy System
by Zhaojun Gong, Zhiyuan Zhao, Pengfei Li, Jiafeng Song, Zhile Yang, Yuanjun Guo, Linxin Zhang, Zunyao Wang, Jian Guo, Xiaoran Zheng and Zhenhua Wei
Energies 2026, 19(3), 756; https://doi.org/10.3390/en19030756 - 31 Jan 2026
Viewed by 100
Abstract
An Integrated Energy System (IES) integrates electricity, heat, and natural gas, optimizing energy use and management efficiency. These systems connect to a Virtual Power Plant (VPP) for demand response dispatch in the electricity market. However, the impact of VPP load on the IES [...] Read more.
An Integrated Energy System (IES) integrates electricity, heat, and natural gas, optimizing energy use and management efficiency. These systems connect to a Virtual Power Plant (VPP) for demand response dispatch in the electricity market. However, the impact of VPP load on the IES is often overlooked, which can limit the IES’s effective market participation and stability. To address this issue, this study introduces a two-layer collaborative model to coordinate VPP scheduling for multiple IES units, aiming to improve collaboration efficiency. The upper level involves the VPP setting electricity prices based on load conditions, guiding IES units to adjust their market strategies. At the lower level, the model encourages integration and optimization of different energy types within the IES through enhanced energy interactions. Additionally, the application of the Shapley value method ensures fair benefit distribution among all IES members. This approach supports equitable economic outcomes for all participants in the energy market. The model employs a multi-strategy improved Dung Beetle Optimizer (FSGDBO) combined with commercial solver techniques for efficient problem-solving. Experimental results demonstrate that the model significantly enhances the VPP’s peak-shaving and valley-filling capabilities while preserving the economic interests of the IES alliances, thereby boosting overall energy management effectiveness. Full article
Show Figures

Figure 1

25 pages, 2660 KB  
Article
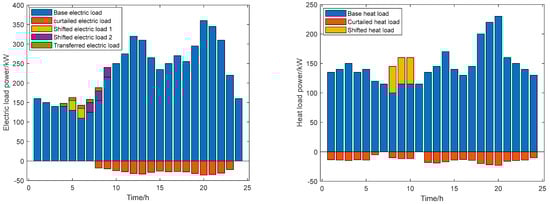
Carbon Trading-Driven Optimal Collaborative Scheduling of Integrated Energy Systems with Multiple Flexible Loads
by Zhenxing Wen, Tao Wu, Dingming Zhuo, Yutao Zhou, Lei Wang and Dongguo Zhou
Energies 2026, 19(3), 746; https://doi.org/10.3390/en19030746 - 30 Jan 2026
Viewed by 145
Abstract
To address the challenges associated with energy decarbonization and economic operation in integrated energy systems (IESs), this paper proposes a collaborative optimal dispatch strategy for IES that considers multiple flexible loads under a carbon trading mechanism. First, a mathematical model of user-side loads [...] Read more.
To address the challenges associated with energy decarbonization and economic operation in integrated energy systems (IESs), this paper proposes a collaborative optimal dispatch strategy for IES that considers multiple flexible loads under a carbon trading mechanism. First, a mathematical model of user-side loads is constructed according to the characteristics of flexible loads. Second, a comprehensive optimization framework is constructed by embedding the carbon trading mechanism into the IES operational model. The objective function minimizes the total operating costs, including energy purchase costs, fuel costs, carbon trading costs, operation and maintenance costs, compensation costs, and green certificate revenues. The CPLEX solver is then employed to solve the model. Finally, a case study is conducted to validate the proposed method. Simulation results demonstrate that the carbon trading mechanism effectively leverages the demand response capabilities and coordinates multiple resources, including electricity, heat, and storage, thereby achieving low-carbon economic operation of the system. Full article
(This article belongs to the Special Issue Advancements in the Integrated Energy System and Its Policy)
Show Figures

Figure 1

19 pages, 3377 KB  
Article
A Multi-Source Multi-Timescale Cooperative Dispatch Optimization
by Jiaxing Huo, Yufei Liu and Yongjun Zhang
Energies 2026, 19(3), 721; https://doi.org/10.3390/en19030721 - 29 Jan 2026
Viewed by 167
Abstract
To address the power and energy balancing challenges faced by high-penetration renewable energy systems under long-term intermittent output conditions, this study proposes a multi-source, multi-timescale collaborative dispatch strategy (2MT-S) integrating wind, solar, hydro, thermal, and hydrogen energy resources. First, a long-term-to-day-ahead coupled scheduling [...] Read more.
To address the power and energy balancing challenges faced by high-penetration renewable energy systems under long-term intermittent output conditions, this study proposes a multi-source, multi-timescale collaborative dispatch strategy (2MT-S) integrating wind, solar, hydro, thermal, and hydrogen energy resources. First, a long-term-to-day-ahead coupled scheduling framework is established based on intermittent output duration forecasts (3-day/10-day). By integrating seasonal hydrogen storage and pumped-storage hydroelectric plants, this framework achieves comprehensive coordination among electrochemical storage, thermal power, and other flexible resources. Second, a multi-time-horizon optimization model is developed to simultaneously minimize system operating costs and load curtailment costs. This model dynamically adjusts day-ahead scheduling boundary conditions based on long-term and short-term scheduling results, enabling cross-period resource complementarity during wind and photovoltaic generation troughs. Finally, comparative analysis on an enhanced IEEE 30-bus system demonstrates that compared to traditional day-ahead scheduling, this strategy significantly reduces renewable energy curtailment rates and load curtailment volumes during sustained low-generation periods, fully validating its significant advantages in enhancing power supply reliability and economic benefits. Full article
(This article belongs to the Section F1: Electrical Power System)
Show Figures

Figure 1

25 pages, 2304 KB  
Article
Energy-Efficient Collaborative Scheduling of Dual-Trolley Quay Cranes and Automated Guided Vehicles in Automated Container Terminals
by Shichang Xiao, Shuaishuai Deng, Shaohua Yu, Peng Zheng and Zigao Wu
J. Mar. Sci. Eng. 2026, 14(3), 280; https://doi.org/10.3390/jmse14030280 - 29 Jan 2026
Viewed by 166
Abstract
This paper investigates the energy-efficient collaborative scheduling of dual-trolley quay cranes (DTQCs) and automated guided vehicles (AGVs) in automated container terminals (ACTs). Considering operational constraints such as mixed bidirectional flows, limited buffers, precedence constraints, and deadlocks, this complex logistical system is formally characterized [...] Read more.
This paper investigates the energy-efficient collaborative scheduling of dual-trolley quay cranes (DTQCs) and automated guided vehicles (AGVs) in automated container terminals (ACTs). Considering operational constraints such as mixed bidirectional flows, limited buffers, precedence constraints, and deadlocks, this complex logistical system is formally characterized as a blocking hybrid flow shop scheduling problem (BHFSSP-BFLB). To systematically minimize the total energy consumption, a mathematical framework grounded in a mixed-integer programming model is developed. To solve the model efficiently, an improved genetic algorithm (IGA) is proposed featuring a two-layer encoding approach to respect precedence and mitigate deadlocks. Furthermore, an active scheduling strategy based on machine idle time insertion is incorporated during decoding to shorten the makespan without increasing energy consumption. Numerical experiments demonstrate that the IGA can significantly decrease the makespan while reducing total energy consumption: compared with a standard genetic algorithm (GA) without active scheduling, the proposed IGA reduces the makespan by 32.35% on average. In addition, the makespan under energy minimization is within 1.5% of that under makespan minimization, indicating that energy optimization yields an almost minimal makespan. Sensitivity analysis further evaluates the effects of DTQC-AGV configurations and buffer capacities, offering practical insights for decision-makers. Full article
(This article belongs to the Section Ocean Engineering)
Show Figures

Figure 1

19 pages, 1407 KB  
Article
Privacy Protection Optimization Method for Cloud Platforms Based on Federated Learning and Homomorphic Encryption
by Jing Wang and Yun Wang
Sensors 2026, 26(3), 890; https://doi.org/10.3390/s26030890 - 29 Jan 2026
Viewed by 159
Abstract
With the wide application of cloud computing in multi-tenant, heterogeneous nodes and high-concurrency environments, model parameters frequently interact during distributed training, which easily leads to privacy leakage, communication redundancy, and decreased aggregation efficiency. To realize the collaborative optimization of privacy protection and computing [...] Read more.
With the wide application of cloud computing in multi-tenant, heterogeneous nodes and high-concurrency environments, model parameters frequently interact during distributed training, which easily leads to privacy leakage, communication redundancy, and decreased aggregation efficiency. To realize the collaborative optimization of privacy protection and computing performance, this study proposes the Heterogeneous Federated Homomorphic Encryption Cloud (HFHE-Cloud) model, which integrates federated learning (FL) and homomorphic encryption and constructs a secure and efficient collaborative learning framework for cloud platforms. Under the condition of not exposing the original data, the model effectively reduces the performance bottleneck caused by encryption calculation and communication delay through hierarchical key mapping and dynamic scheduling mechanism of heterogeneous nodes. The experimental results show that HFHE-Cloud is significantly superior to Federated Averaging (FedAvg), Federated Proximal (FedProx), Federated Personalization (FedPer) and Federated Normalized Averaging (FedNova) in comprehensive performance, Homomorphically Encrypted Federated Averaging (HE-FedAvg) and other five baseline models. In the dimension of privacy protection, the global accuracy is up to 94.25%, and the Loss is stable within 0.09. In terms of computing performance, the encryption and decryption time is shortened by about one third, and the encryption overhead is controlled at 13%. In terms of distributed training efficiency, the number of communication rounds is reduced by about one fifth, and the node participation rate is stable at over 90%. The results verify the model’s ability to achieve high security and high scalability in multi-tenant environment. This study aims to provide cloud service providers and enterprise data holders with a technical solution of high-intensity privacy protection and efficient collaborative training that can be deployed in real cloud platforms. Full article
(This article belongs to the Section Sensor Networks)
Show Figures

Figure 1

24 pages, 2256 KB  
Article
Low-Carbon Economic Dispatch of Data Center Microgrids via Heat-Determined Computing and Tiered Carbon Trading
by Lijun Ma, Hongru Shi, Guohai Liu, Weiping Lu and Na Gu
Energies 2026, 19(3), 699; https://doi.org/10.3390/en19030699 - 29 Jan 2026
Viewed by 106
Abstract
The exponential growth of the digital economy has transformed data centers into major energy consumers, yet their inflexible power consumption patterns and substantial waste heat generation pose significant challenges to grid stability and carbon neutrality targets. Existing energy management strategies often overlook the [...] Read more.
The exponential growth of the digital economy has transformed data centers into major energy consumers, yet their inflexible power consumption patterns and substantial waste heat generation pose significant challenges to grid stability and carbon neutrality targets. Existing energy management strategies often overlook the deep coupling potential between computing workload flexibility, thermal dynamics, and carbon trading mechanisms, leading to suboptimal resource utilization. To address these issues, this study proposes a collaborative low-carbon economic scheduling strategy for data center microgrids. A multiple-dimensional coupling framework is established, integrating a queuing theory-based model for delay-tolerant workload shifting and a heat-determined computing mechanism for active waste heat recovery (WHR). Furthermore, a mixed-integer linear programming (MILP) model is formulated, incorporating a linearized tiered carbon trading mechanism to facilitate source–load coordination. Simulation results demonstrate that the proposed strategy achieves a dual optimization of economic and environmental benefits, reducing total operating costs by 11.7% while minimizing carbon emissions to 6879 kg compared to baseline scenarios. Additionally, by leveraging temperature aware load migration, the daily weighted power usage effectiveness (PUE) is optimized to 1.2607. These findings quantify the marginal benefits of load flexibility under tiered pricing, providing insights for operators to balance service timeliness and energy efficiency in next generation green computing infrastructure. Full article
(This article belongs to the Section A1: Smart Grids and Microgrids)
Show Figures

Figure 1

28 pages, 6693 KB  
Article
Optimization of Collaborative Vessel Scheduling for Offshore Wind Farm Installation Under Weather Uncertainty
by Shengguan Qu, Changmao Yu, Yang Zhou, Yi Hou, Jianhua Wang and Fenglei Li
J. Mar. Sci. Eng. 2026, 14(2), 223; https://doi.org/10.3390/jmse14020223 - 21 Jan 2026
Viewed by 115
Abstract
The construction cost of offshore wind farms (OWFs) is heavily influenced by vessel scheduling and meteorological uncertainties. To address these challenges, this paper proposes a constraint-driven hierarchical optimization framework for the coordinated scheduling of installation vessels (IVs) and transport vessels (TVs). First, a [...] Read more.
The construction cost of offshore wind farms (OWFs) is heavily influenced by vessel scheduling and meteorological uncertainties. To address these challenges, this paper proposes a constraint-driven hierarchical optimization framework for the coordinated scheduling of installation vessels (IVs) and transport vessels (TVs). First, a Mixed-Integer Linear Programming (MILP) model is established to describe the operational constraints, which is then decomposed into two interrelated sub-problems: vessel path planning and scheduling optimization. For path planning, the problem is modeled as a Multiple Traveling Salesman Problem (MTSP) to ensure balanced fleet workloads. This stage is solved via a tailored three-stage heuristic combining balanced sweep clustering and penalized local search. For scheduling optimization, a hybrid Earliest Deadline First (EDF)-Simulated Annealing (SA) strategy is employed, where EDF generates a strictly feasible baseline to warm-start the SA optimization. Furthermore, a stochastic optimization approach integrates historical meteorological data to ensure schedule robustness against weather uncertainty. The validity of the framework is supported by two real-world OWF cases, which demonstrate total cost reductions of 15.44% and 13.20%, respectively, under stochastic weather conditions. These results demonstrate its effectiveness in solving high-constraint offshore engineering problems. Full article
(This article belongs to the Section Ocean Engineering)
Show Figures

Figure 1

15 pages, 1201 KB  
Article
Optimal Operation of Distribution Networks Considering an Improved Voltage Stability Margin
by Chen Dai, Sitong Yan, Chuang Yu, Xiufeng Wang, Qianran Zhang, Lichao Zhou, Zifa Liu and Ming Gong
Energies 2026, 19(2), 426; https://doi.org/10.3390/en19020426 - 15 Jan 2026
Viewed by 129
Abstract
To address the voltage instability in distribution networks with a high penetration of renewable energy, a multi-objective optimal scheduling method is proposed based on an enhanced static voltage stability margin ratio (SVSMR). The SVSMRd index suitable for complex distribution networks is constructed [...] Read more.
To address the voltage instability in distribution networks with a high penetration of renewable energy, a multi-objective optimal scheduling method is proposed based on an enhanced static voltage stability margin ratio (SVSMR). The SVSMRd index suitable for complex distribution networks is constructed by analytical derivation and equivalent impedance correction, and the distributed access characteristics of distributed power generation are considered. Based on the simulation analysis of the PS_CAD simulation platform, the effectiveness and engineering applicability of the SVSMRd index are compared in the multi-energy station distribution network scenario, and the calculation results of SVSMRF and SDSCR are used to verify it. A multi-objective mixed-integer optimisation model is constructed, with the objective function encompassing electricity purchase cost, network loss cost, and energy storage revenue, and the lowest value of the SVSMRd index of various new energy nodes is used as the optimisation object to carry out stability targets. Based on the epsilon constraint method, a Pareto frontier solution set is generated through example analysis, which has non-dominant characteristics. The results of the example analysis show that the proposed method can effectively reduce the operating cost, ensure the voltage stability margin of the system, and realise the collaborative optimisation of source–network–load–storage resources. This paper provides a new idea and method for the optimal operation of the distribution network, and optimises the distribution network under a high proportion of new energy access in the distribution network. Full article
Show Figures

Figure 1

21 pages, 2506 KB  
Article
Collaborative Dispatch of Power–Transportation Coupled Networks Based on Physics-Informed Priors
by Zhizeng Kou, Yingli Wei, Shiyan Luan, Yungang Wu, Hancong Guo, Bochao Yang and Su Su
Electronics 2026, 15(2), 343; https://doi.org/10.3390/electronics15020343 - 13 Jan 2026
Viewed by 183
Abstract
Under China’s “dual-carbon” strategic goals and the advancement of smart city development, the rapid adoption of electric vehicles (EVs) has deepened the spatiotemporal coupling between transportation networks and distribution grids, posing new challenges for integrated energy systems. To address this, we propose a [...] Read more.
Under China’s “dual-carbon” strategic goals and the advancement of smart city development, the rapid adoption of electric vehicles (EVs) has deepened the spatiotemporal coupling between transportation networks and distribution grids, posing new challenges for integrated energy systems. To address this, we propose a collaborative optimization framework for power–transportation coupled networks that integrates multi-modal data with physical priors. The framework constructs a joint feature space from traffic flow, pedestrian density, charging behavior, and grid operating states, and employs hypergraph modeling—guided by power flow balance and traffic flow conservation principles—to capture high-order cross-domain coupling. For prediction, spatiotemporal graph convolution combined with physics-informed attention significantly improves the accuracy of EV charging load forecasting. For optimization, a hierarchical multi-agent strategy integrating federated learning and the Alternating Direction Method of Multipliers (ADMM) enables privacy-preserving, distributed charging load scheduling. Case studies conducted on a 69-node distribution network using real traffic and charging data demonstrate that the proposed method reduces the grid’s peak–valley difference by 20.16%, reduces system operating costs by approximately 25%, and outperforms mainstream baseline models in prediction accuracy, algorithm convergence speed, and long-term operational stability. This work provides a practical and scalable technical pathway for the deep integration of energy and transportation systems in future smart cities. Full article
Show Figures

Figure 1

20 pages, 3985 KB  
Article
Multi-Cooperative Agricultural Machinery Scheduling with Continuous Workload Allocation: A Hybrid PSO Approach with Sparsity Repair
by Weimin Wang, Yiliu Tu, Yunxia Wang and Qinghai Jiang
Agriculture 2026, 16(1), 136; https://doi.org/10.3390/agriculture16010136 - 5 Jan 2026
Viewed by 396
Abstract
Scheduling agricultural machinery across multiple cooperatives is often inefficient because existing rigid, discrete assignment models fail to flexibly coordinate shared resources under tight time windows. To address this limitation, we develop a simulation-based framework for the Multi-cooperative Agricultural Machinery Scheduling Problem (MAMSP) underpinned [...] Read more.
Scheduling agricultural machinery across multiple cooperatives is often inefficient because existing rigid, discrete assignment models fail to flexibly coordinate shared resources under tight time windows. To address this limitation, we develop a simulation-based framework for the Multi-cooperative Agricultural Machinery Scheduling Problem (MAMSP) underpinned by a Continuous Collaborative Workload Sharing (CWS) formulation. To mitigate the solution fragmentation inherent in continuous optimization, we propose a Hybrid Particle Swarm Optimization with Sparsity Repair (HPSO-SR). The algorithm integrates a stochastic initialization strategy to enhance global exploration, a mutation injection mechanism to avoid swarm stagnation, and a sparsity repair operator that prunes uneconomical fractional assignments, yielding operationally feasible sparse schedules. A real-world case study from Liyang, China, augmented by synthetic instances of varying scales (small, medium, and large), was conducted to benchmark the proposed approach against a rule-based heuristic, a Genetic Algorithm (GA-CWS), and Simulated Annealing (SA-CWS) under a unified decoding scheme. The results show that HPSO-SR consistently achieves the lowest objective values, reducing the total cost by 74.43% relative to GA-CWS and 59.20% relative to SA-CWS in the medium-scale case. By deliberately trading off minimal additional transfer cost against improved timeliness, the obtained schedules nearly eliminate delay penalties. Sensitivity analysis and mechanism ablation studies further confirm that the sparse solutions exhibit structural resilience and that the proposed repair strategy is essential for algorithmic convergence, supporting the reliability of the proposed approach for time-critical, high-stakes agricultural operations. Full article
(This article belongs to the Section Agricultural Technology)
Show Figures

Figure 1

20 pages, 1793 KB  
Article
Multi-Time Scale Optimal Scheduling of Aluminum Electrolysis Parks Considering Production Economy and Operational Safety Under High Wind Power Integration
by Chiyin Xiao, Hao Zhong, Xun Li, Zhenhui Ouyang and Yongjia Wang
Energies 2026, 19(1), 278; https://doi.org/10.3390/en19010278 - 5 Jan 2026
Viewed by 182
Abstract
To address the power fluctuation challenges associated with high-proportion wind power integration and enhance the source–load coordination capability of aluminum electrolysis parks, this paper proposes a multi-time scale collaborative regulation strategy. Based on the production characteristics and regulation principles of aluminum electrolysis loads, [...] Read more.
To address the power fluctuation challenges associated with high-proportion wind power integration and enhance the source–load coordination capability of aluminum electrolysis parks, this paper proposes a multi-time scale collaborative regulation strategy. Based on the production characteristics and regulation principles of aluminum electrolysis loads, a multi-objective optimization model for regulating loads with multiple potline series is established, considering both production revenue and temperature penalties. On this basis, a multi-time scale optimal scheduling model is developed for the park, involving day-ahead commitment optimization, intraday rolling adjustment, and real-time dynamic responses. Case studies based on actual data demonstrate that the proposed strategy effectively alleviates wind power fluctuations and enhances local consumption capacity. Compared to the baseline scenario without load regulation, the integration of electrolytic aluminum load across day-ahead, intra-day, and real-time stages reduces wind curtailment by approximately 40.1%, 52.5%, and 74.6% in successive scenarios, respectively, while the total operating cost shows a decreasing trend with reductions of about 1.15%, 0.63%. This facilitates economical and high-quality operation while maintaining temperature stability for the aluminum electrolysis production process. Full article
Show Figures

Figure 1

36 pages, 7810 KB  
Review
A Comprehensive Review of Human-Robot Collaborative Manufacturing Systems: Technologies, Applications, and Future Trends
by Qixiang Cai, Jinmin Han, Xiao Zhou, Shuaijie Zhao, Lunyou Li, Huangmin Liu, Chenhao Xu, Jingtao Chen, Changchun Liu and Haihua Zhu
Sustainability 2026, 18(1), 515; https://doi.org/10.3390/su18010515 - 4 Jan 2026
Viewed by 491
Abstract
Amid the dual-driven trends of Industry 5.0 and smart manufacturing integration, as well as the global imperative for manufacturing sustainability to address resource constraints, carbon neutrality goals, and circular economy demands, human–robot collaborative (HRC) manufacturing has emerged as a core direction for reshaping [...] Read more.
Amid the dual-driven trends of Industry 5.0 and smart manufacturing integration, as well as the global imperative for manufacturing sustainability to address resource constraints, carbon neutrality goals, and circular economy demands, human–robot collaborative (HRC) manufacturing has emerged as a core direction for reshaping manufacturing production modes while aligning with sustainable development principles. This paper comprehensively reviews HRC manufacturing systems, summarizing their technical framework, practical applications, and development trends with a focus on the synergistic realization of operational efficiency and sustainability. Addressing the rigidity of traditional automated lines, inefficiency of manual production, and the unsustainable drawbacks of high energy consumption and resource waste in conventional manufacturing, HRC integrates humans’ flexible decision-making and environmental adaptability with robots’ high-precision and continuous operation, not only improving production efficiency, quality, and safety but also optimizing resource allocation, reducing energy consumption, and minimizing production waste to bolster manufacturing sustainability. Its core technologies include task allocation, multimodal perception, augmented interaction (AR/VR/MR), digital twin-driven integration, adaptive motion control, and real-time decision-making, all of which can be tailored to support sustainable production scenarios such as energy-efficient process scheduling and circular material utilization. These technologies have been applied in automotive, aeronautical, astronautical, and shipping industries, boosting high-end equipment manufacturing innovation while advancing the sector’s sustainability performance. Finally, challenges and future directions of HRC are discussed, emphasizing its pivotal role in driving manufacturing toward a balanced development of efficiency, intelligence, flexibility, and sustainability. Full article
(This article belongs to the Special Issue Sustainable Manufacturing Systems in the Context of Industry 4.0)
Show Figures

Figure 1

75 pages, 6060 KB  
Review
Collaborative Mechanisms of Fixed and Mobile Resources: A Review on Enhancing the Full-Cycle Resilience of Integrated Energy Cyber-Physical Systems Against Cyber-Attacks
by Tianlei Zang, Kewei He, Chuangzhi Li, Lan Yu, Libo Ran, Siting Li, Rui Su and Buxiang Zhou
Energies 2026, 19(1), 38; https://doi.org/10.3390/en19010038 - 21 Dec 2025
Viewed by 369
Abstract
Integrated energy cyber-physical systems (IECPS) face escalating cyber-attack threats due to their deep cyber-physical coupling, while traditional resilience models relying solely on fixed resources exhibit rigidity and limited adaptability. This review investigates IECPS attack mechanisms through the lens of the confidentiality, integrity, and [...] Read more.
Integrated energy cyber-physical systems (IECPS) face escalating cyber-attack threats due to their deep cyber-physical coupling, while traditional resilience models relying solely on fixed resources exhibit rigidity and limited adaptability. This review investigates IECPS attack mechanisms through the lens of the confidentiality, integrity, and availability framework, revealing their cross-layer propagation characteristics. We explicitly distinguish between fixed and mobile resources. Fixed resources include energy sources, transmission and distribution network facilities, coupling and conversion devices, fixed energy storage systems, and communication and control infrastructure. Mobile resources are grouped into five categories: mobile electricity resources, mobile gas resources, mobile heat resources, mobile hydrogen resources, and mobile communication resources. Fixed resources provide geographically anchored capacity and structural redundancy, and they offer static operational flexibility. Mobile resources, in contrast, provide spatially reconfigurable and rapidly deployable support for sensing, temporary multi-energy supply, and emergency communications. Building on this distinction, this review proposes a full-cycle resilience enhancement framework that encompasses pre-event prevention, in-progress response, and post-event recovery, with a particular focus on collaborative mechanisms between fixed and mobile resources. Furthermore, this review examines the foundational theories and key supporting technologies for such coordination, including fixed-mobile resource scheduling, intelligent perception and data fusion, communication security, and collaborative scheduling optimization. Key technical gaps and challenges in fixed-mobile resource collaboration are identified. Ultimately, this review aims to provide theoretical insights and practical guidance for developing resilient, adaptive, and secure integrated energy systems in the face of evolving cyber-physical threats. Full article
(This article belongs to the Section F1: Electrical Power System)
Show Figures

Figure 1

Back to TopTop