Sign in to use this feature.

Years

Between: -

Subjects

remove_circle_outline
remove_circle_outline
remove_circle_outline
remove_circle_outline
remove_circle_outline
remove_circle_outline
remove_circle_outline
remove_circle_outline
remove_circle_outline

Journals

remove_circle_outline
remove_circle_outline
remove_circle_outline
remove_circle_outline
remove_circle_outline
remove_circle_outline
remove_circle_outline
remove_circle_outline
remove_circle_outline

Article Types

Countries / Regions

remove_circle_outline
remove_circle_outline
remove_circle_outline
remove_circle_outline
remove_circle_outline
remove_circle_outline
remove_circle_outline
remove_circle_outline
remove_circle_outline

Search Results (1,572)

Search Parameters:
Keywords = climatic threshold

Order results
Result details
Results per page
Select all
Export citation of selected articles as:
36 pages, 2321 KB  
Review
Landscape Determinants of Nitrogen Leaching Risk: Mechanisms, Impacts, and Mitigation Strategies
by Bonface O. Manono, Jacinta M. Kimiti and Damaris K. Musyoka
Nitrogen 2026, 7(1), 20; https://doi.org/10.3390/nitrogen7010020 - 5 Feb 2026
Abstract
Nitrogen leaching from land and farms is a major global issue that pollutes water, damages ecosystems, and accelerates climate change. This review synthesizes evidence from the literature on how interactions among landscape characteristics, sources of nitrogen input, and temporal dynamics shape leaching vulnerability. [...] Read more.
Nitrogen leaching from land and farms is a major global issue that pollutes water, damages ecosystems, and accelerates climate change. This review synthesizes evidence from the literature on how interactions among landscape characteristics, sources of nitrogen input, and temporal dynamics shape leaching vulnerability. It identifies conditions under which nitrogen is most likely to be transported through soil systems into aquatic environments. This review reveals that leaching vulnerability is strongly conditioned by soil hydraulic properties and topographic position. Coarse-textured upland soils exhibit substantially greater nitrate mobilization than finer-textured, hydrologically buffered lowland soils. Fertilizer formulation and application timing further modulate loss potential, with late-season mineral nitrogen inputs disproportionately contributing to subsurface export relative to demand-synchronized applications. Most of the nitrogen leaching occurs outside the active growing period, when vegetative uptake is suppressed and drainage intensity is highest. Farmers can lower nitrate runoff by using targeted fertilization, cover crops, and nitrification inhibitors, while landscape-scale features like controlled drainage and vegetative buffers provide additional downstream filtration. The effectiveness of regulatory approaches is amplified when aligned with economic incentives and regionally calibrated nutrient thresholds. Advances in high-resolution observation platforms and process-based predictive tools offer new capacity for anticipatory management, although widespread deployment is limited by financial and institutional constraints. Collectively, these insights support the development of more targeted and sustainable nitrogen management strategies. Full article
(This article belongs to the Special Issue Nitrogen Uptake and Loss in Agroecosystems)
Show Figures

Figure 1

17 pages, 3072 KB  
Article
Urban Riparian Green Corridors as Climate-Adaptive Infrastructure: Quantifying Ecological Thresholds for Cooling Performance and Sustainable Management
by Meijun Lu, Huiming Fan, Lu Yuan, Shaokun Li, Hongyan Wang, Yang Cao and Xiaxi Liuyang
Buildings 2026, 16(3), 660; https://doi.org/10.3390/buildings16030660 - 5 Feb 2026
Abstract
In the context of global climate change and rapid urbanization, integrating urban blue-green infrastructure into the built environment is essential for mitigating the urban heat island effect and enhancing climate resilience. Focusing on urban riparian corridors as vital natural cooling systems, this study [...] Read more.
In the context of global climate change and rapid urbanization, integrating urban blue-green infrastructure into the built environment is essential for mitigating the urban heat island effect and enhancing climate resilience. Focusing on urban riparian corridors as vital natural cooling systems, this study aims to: (1) quantify their cooling performance in terms of intensity and distance; (2) identify the key landscape drivers and their relative importance; (3) uncover nonlinear relationships and determine ecological thresholds for optimal thermal regulation; and (4) translate these findings into science-based guidelines for climate-adaptive design and sustainable management. Taking 27 representative riparian green spaces in Zhengzhou, China (average area: 17,539 m2, range: 10,027–42,690 m2) as a case study, nine key factors characterizing vegetation structure and composition, corridor morphology, and blue-green spatial pattern were used as predictors in a Boosted Regression Tree (BRT) model to analyze their contributions and marginal-effect thresholds. Results show that these corridors provide substantial cooling, with an average intensity of 5.43 °C extending over 215.56 m. Canopy Density, 3D Green Volume per Unit Area, and Green Cover Ratio emerged as the three core drivers, jointly explaining >86% of the cooling performance. The key innovation lies in identifying explicit, design-oriented ecological thresholds—for example, cooling efficacy stabilizes when Green Cover Ratio reaches ~77%, Canopy Density attains 0.7, and the Blue-Green Space Width Ratio approaches 1:1. These thresholds can be directly translated into performance benchmarks for sustainable urban planning and landscape engineering, providing evidence-based parameters for optimizing vegetation structure and spatial configuration. This study demonstrates that applying quantified ecological thresholds can transform riparian corridors into efficient climate-resilient infrastructure, thereby synergistically improving thermal comfort, enhancing ecosystem services, and promoting sustainable land use in urban environments. Full article
(This article belongs to the Section Architectural Design, Urban Science, and Real Estate)
Show Figures

Figure 1

26 pages, 6167 KB  
Article
Exploring the Seven Climate Zones of China: How Soil Moisture and Vapor Pressure Deficit Influence Vegetation Productivity
by Yan Zhou, Changqing Meng, Yue Li and Qingqing Fang
Hydrology 2026, 13(2), 61; https://doi.org/10.3390/hydrology13020061 - 4 Feb 2026
Abstract
Reduced soil moisture (SM) together with elevated vapor pressure deficit (VPD) suppresses gross primary productivity (GPP) and thus weakens the capacity of the terrestrial carbon pool. Against the backdrop of global climate change, soil and atmospheric drought exert a more profound impact on [...] Read more.
Reduced soil moisture (SM) together with elevated vapor pressure deficit (VPD) suppresses gross primary productivity (GPP) and thus weakens the capacity of the terrestrial carbon pool. Against the backdrop of global climate change, soil and atmospheric drought exert a more profound impact on vegetation growth, and their combined impacts remain unclear. Based on multi-source remote sensing observations and reanalysis datasets, three vegetation remote sensing indices, GPP, SIF, and NDVI (collectively referred to as Vegetation Remote Sensing Indices, VSI), are employed in this study to assess the relative impacts of soil and atmospheric drought on terrestrial vegetation. First, Copula-based conditional probabilities are applied to identify which factor (reduced SM or high VPD) plays a dominant role under conditions of declining vegetation productivity and to determine their corresponding thresholds. Furthermore, the underlying driving mechanisms are elucidated by utilizing Structural Equation Modeling (SEM) for path analysis to clarify how climatic factors indirectly affect vegetation productivity by influencing SM and VPD. The results suggest that vegetation growth in China’s different climatic zones is affected by distinct factors. Specifically, SM is the primary factor influencing vegetation productivity, dominating 71.16% of the nation’s vegetated areas. Its influence is particularly pronounced in arid and semi-arid regions. In contrast, the impact of VPD is predominantly concentrated in semi-humid plain regions. Furthermore, the critical thresholds for SM in different climate zones are identified: the threshold averages approximately 0.33 m3/m3 in humid and plateau regions and 0.13 m3/m3 in arid and semi-arid regions. The SEM analysis further reveals the complex pathways by which climatic variables influence vegetation growth. In SM-dominated regions, higher SM directly promotes vegetation growth; in VPD-dominated regions, drier air imposes a stronger suppression on vegetation growth. Nonetheless, the plateau temperate semi-arid zone demonstrates distinct hydrometeorological characteristics. Attributed to the region’s unique hydrometeorological conditions, the negative effects of higher VPD are generally outweighed by the favorable conditions for photosynthesis with which it co-occurs. These findings clarify the intricate impacts of SM and VPD on vegetation productivity, providing a foundational framework for the development of tailored ecological management strategies and drought early warning systems. Full article
(This article belongs to the Section Hydrology–Climate Interactions)
38 pages, 14737 KB  
Article
A Novel Framework for Heat Stress Risk Assessment and Mitigation in Real and Typological Historical Public Open Spaces Under Climate Change Scenarios
by Enrico Quagliarini, Caterina Alighieri, Gabriele Bernardini, Elena Cantatore and Fabio Fatiguso
Heritage 2026, 9(2), 60; https://doi.org/10.3390/heritage9020060 - 4 Feb 2026
Abstract
Climate change is altering the use of public open spaces in historical urban environments, compounded by urban heat island effects. Especially considering urban squares, rising temperatures increase health risks for outdoor users, particularly for vulnerable individuals (by, e.g., age and fragility). Rapid risk [...] Read more.
Climate change is altering the use of public open spaces in historical urban environments, compounded by urban heat island effects. Especially considering urban squares, rising temperatures increase health risks for outdoor users, particularly for vulnerable individuals (by, e.g., age and fragility). Rapid risk assessment under current and future climate scenarios can exploit integrated simulations to support the process, considering both real-world environments and Built Environment Typologies (BETs), which represent the recurring morphological, constructive, and material features of such urban squares. Simulation-based approaches can also support the assessment of mitigation strategies considering sustainability, reversibility, visual integration, and compatibility with the heritage. This work proposes a framework for simulation-based heat risk assessment of outdoor users under current and future (2050 and 2080) overheating scenarios and considers pre- and post-mitigation conditions of urban squares. Outdoor temperature conditions are simulated using ENVI-met, enabling the multiscale assessment of users’ heat stress and thresholds in exposure timings before critical dehydration. The approach is applied to two Italian historical urban squares in Bari and Naples, and to their associated BETs. The results highlight the framework’s capabilities in addressing the impact of climate scenarios and pre-/post-mitigation conditions, considering the local and global conditions of the urban squares. Moreover, the observed similarities between POSs and their corresponding BETs demonstrate that these archetypes can support preliminary risk assessments, providing decision makers with a rapid overview before adapting analyses and mitigation strategies to the specific characteristics of each urban square. Full article
30 pages, 14066 KB  
Article
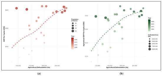
Agricultural Expansion and Forest Transition in Mozambique: Evidence of Premature Decoupling (2001–2024)
by Sebastião De Hermínia Lucas Vilanculos, Sosdito Estevão Mananze and Mário Campos Cunha
Resources 2026, 15(2), 26; https://doi.org/10.3390/resources15020026 - 3 Feb 2026
Abstract
This study analyzes forest cover change patterns, agricultural expansion, and economic growth in Mozambique from 2001 to 2024, using remote sensing data from Global Forest Watch and socioeconomic indicators from the World Bank and FAO. Mozambique lost approximately 4.6 million hectares of forest [...] Read more.
This study analyzes forest cover change patterns, agricultural expansion, and economic growth in Mozambique from 2001 to 2024, using remote sensing data from Global Forest Watch and socioeconomic indicators from the World Bank and FAO. Mozambique lost approximately 4.6 million hectares of forest during the analyzed period, with agriculture accounting for 97.4% of total deforestation. GDP per capita increased by 90.5%, while cultivated area expanded by 116.4%. However, agricultural productivity declined by 25.3%, revealing a paradox: production growth relied on extensive land expansion rather than intensification. Statistical analysis of three 8-year sub-periods identified significant differences in GDP per capita, agricultural GDP per capita, population, and agricultural employment (p < 0.001), but agricultural deforestation remained statistically stable (p = 0.065). This pattern suggests premature decoupling between economic growth and deforestation at income levels (USD 604) substantially below historical Environmental Kuznets Curve thresholds (USD 8000–10,000). However, this decoupling is fragile, driven by capital-intensive extractive sectors that generate GDP growth without absorbing rural populations. The persistence of extensive agricultural expansion, combined with weak governance, demographic pressures, and climate variability, indicates that observed stabilization represents an initial, vulnerable phase requiring structural transformation through agricultural intensification, inclusive industrialization, land tenure reform, and climate resilience building. Full article
Show Figures

Figure 1

38 pages, 6253 KB  
Article
Does Partial Organic Fertilization Maintain Physiological and Biometric Performance in Apple Trees?
by Susana Ferreira, Marta Gonçalves, Margarida Rodrigues, Francisco Martinho, Verónica Amado, Sidónio Rodrigues, Pedro Bulcão, Jorge Vieira, Mariana Mota and Miguel Leão de Sousa
Horticulturae 2026, 12(2), 192; https://doi.org/10.3390/horticulturae12020192 - 3 Feb 2026
Viewed by 27
Abstract
The MOPLUS project, funded by the Portuguese Recovery and Resilience Plan (PRR), aims to enhance soil organic matter, soil structure, and water retention in apple orchards located in the “Maçã de Alcobaça” Protected Geographical Indication area through organic fertilization based on locally available [...] Read more.
The MOPLUS project, funded by the Portuguese Recovery and Resilience Plan (PRR), aims to enhance soil organic matter, soil structure, and water retention in apple orchards located in the “Maçã de Alcobaça” Protected Geographical Indication area through organic fertilization based on locally available livestock effluents, thereby reducing reliance on synthetic fertilizers under Mediterranean climatic conditions. This study evaluated the physiological and biometric responses of apple trees subjected to four fertilization strategies (M1–M4) in three commercial ‘Gala’ orchards in central Portugal over three growing seasons (2023–2025). Measurements included leaf functional traits, gas exchange, chlorophyll fluorescence, spectral indices, vegetative growth, fruit production per tree and mean fruit weight. Interannual climatic variability and orchard-specific conditions were the dominant drivers of tree response, while fertilization effects were smaller and mainly expressed through interactions with year and orchard. When analyzed within the same orchard, fertilization strategies M2 and particularly M3 maintained physiological performance, vegetative growth, and fruit production per tree at levels comparable to full mineral fertilization. Among treatments, M3 showed the most consistent responses across sites and years, indicating that partial mineral substitution with pig slurry can sustain tree functioning while maintaining or enhancing fruit production per tree. The most restrictive strategy (M4) occasionally showed reduced photosynthetic performance under specific orchard–year combinations, suggesting a threshold effect associated with stronger mineral reduction, but without evidence of generalized physiological stress. Overall, these findings demonstrate that partial substitution of mineral fertilizers by organic amendments—especially pig slurry (M3) and, to a lesser extent, composted cattle manure (M2)—is agronomically viable, allowing apple tree performance and productivity to be maintained while enhancing system resilience under Mediterranean climatic variability. These results also provide practical decision support for site-adapted fertilization management in commercial drip-irrigated apple orchards, supporting reduced mineral fertilizer dependence without compromising productivity. Full article
(This article belongs to the Special Issue Improving Quality of Fruit: 2nd Edition)
Show Figures

Figure 1

30 pages, 7386 KB  
Article
Liveable School Surroundings: Italian Tactical Urbanism for Community-Friendly Public Spaces
by Jacopo Ammendola and Benedetta Masiani
Sustainability 2026, 18(3), 1487; https://doi.org/10.3390/su18031487 - 2 Feb 2026
Viewed by 69
Abstract
In recent years, the design of public spaces surrounding school buildings has gained growing attention in urban planning and child-friendly city agendas. This paper examines the role of tactical urbanism in creating more Liveable School Surroundings (LSS) and introduces the LSS framework as [...] Read more.
In recent years, the design of public spaces surrounding school buildings has gained growing attention in urban planning and child-friendly city agendas. This paper examines the role of tactical urbanism in creating more Liveable School Surroundings (LSS) and introduces the LSS framework as a new lens for interpreting school-adjacent spaces as threshold environments where safety, autonomy, sustainable mobility, social interaction, and play converge. Methodologically, it develops a 12-indicator evaluation grid structured around four dimensions and applies it to a systematic comparative analysis of 30 interventions implemented in Milano, Bologna, and Torino. The analysis provides new empirical evidence on the effectiveness of tactical urbanism in this domain. Findings show that tactical interventions can rapidly enhance perceived safety and social interaction, often outperforming permanent solutions in terms of spatial reconfiguration and activation, while revealing limitations in the domains of play, climatic comfort, and cycling integration. The comparative analysis also reveals the modest scale of Italian initiatives compared to international programs, underscoring the need for stronger governance and long-term planning tools. By positioning tactical urbanism as an experimental device and a strategic lever for school-centered public space regeneration, the study offers an original contribution to international debates on child-friendly planning and proximity-based urban policies. Full article
18 pages, 3742 KB  
Brief Report
How Important Is Solid Phase PFAS Release from Legacy Coastal Landfills to the Water Environment?
by William M. Mayes, Sebastian J. Pitman, Alex L. Riley, Patrick Byrne, Ashley Lily, Adam P. Jarvis, Karen A. Hudson-Edwards and Ian T. Burke
Water 2026, 18(3), 383; https://doi.org/10.3390/w18030383 - 2 Feb 2026
Viewed by 177
Abstract
Historical landfills in coastal environments are at increasing risk of erosion under changing climate conditions. Various studies have highlighted pollutant release associated with potentially toxic elements and flame retardants from such erosional processes, but there has been little focus on per- and poly-fluoroalkyl [...] Read more.
Historical landfills in coastal environments are at increasing risk of erosion under changing climate conditions. Various studies have highlighted pollutant release associated with potentially toxic elements and flame retardants from such erosional processes, but there has been little focus on per- and poly-fluoroalkyl substance (PFAS) release as a result of physical erosion at such sites, despite landfills being highlighted as a key source of PFAS to the water environment. This study presents a rapid screening approach that could be adopted at scale by regulators to assess the presence and potential flux of PFAS released at three historical municipal waste landfill sites in the UK. The sites selected cover a range of epochs prior to rigorous environmental regulation from the second half of the twentieth century. At the older waste deposits (Withernsea: 1950s–1960s; Hessle: 1930s–1970s), all 52 PFAS analysed in solid materials were below the detection limits except for two samples where modest concentrations (0.92–1.98 ng/g) of perfluorooctane sulfonate (PFOS) and perfluoroethylcyclohexane sulfonate (PFecHS) were detected. At the more recently operational site (Crosby: 1970s–1980s), the legacy PFAS chemicals, PFOS and perfluorooctanoic acid (PFOA), were present in all samples in modest concentrations (6.01–8.22 ng/g for PFOS; 0.62–1.20ng/g for PFOA) below contaminated land thresholds. At this site, it was possible to model the flux of PFAS release based on LiDAR surveys of the eroding waste terrace over an 18-year period. This showed an annualised total solid phase PFAS (PFOS plus PFOA in this case) flux in the region of 2.5–16.9 g/yr, which is towards the lower end of the reported landfill leachate flux at inland sites. While such releases are relatively modest on an individual site basis, in transitional and coastal waters in heavily urbanised and (post-)industrial regions, the aggregated solid phase PFAS flux from the large number of eroding historical landfills (n = 114) could be significant. Full article
(This article belongs to the Section Water Quality and Contamination)
Show Figures

Figure 1

24 pages, 6587 KB  
Article
Preliminary Microclimate Monitoring for Preventive Conservation and Visitor Comfort: The Case of the Ligurian Archaeological Museum
by Alice Bellazzi, Benedetta Barozzi, Lorenzo Belussi, Anna Devitofrancesco, Matteo Ghellere, Claudio Maffè, Francesco Salamone and Ludovico Danza
Buildings 2026, 16(3), 614; https://doi.org/10.3390/buildings16030614 - 2 Feb 2026
Viewed by 76
Abstract
The preservation of cultural heritage within museum environments requires systematic control and monitoring of indoor microclimatic conditions. Over the past four decades, scientific evidence has established the critical role of environmental parameters, including air temperature, relative humidity, light, and airborne pollutants, in the [...] Read more.
The preservation of cultural heritage within museum environments requires systematic control and monitoring of indoor microclimatic conditions. Over the past four decades, scientific evidence has established the critical role of environmental parameters, including air temperature, relative humidity, light, and airborne pollutants, in the preventive conservation of artifacts. International standards and national guidelines mandate continuous, non-invasive monitoring protocols that integrate conservation requirements with the architectural and operational constraints of historic buildings. Effective implementation necessitates a multidisciplinary approach balancing artifact preservation, human comfort, and building energy efficiency. Recent international recommendations further promote adaptive approaches wherein microclimate thresholds are calibrated to site-specific “historical climate” conditions, derived from minimum one-year baseline datasets. While essential for long-term conservation management, the design and implementation of such monitoring systems present significant technical and logistical challenges. This study presents a replicable methodological approach wherein preliminary surveys and three short-term monitoring campaigns (duration: 2 to 5 weeks) supported design, sensor selection, and spatial deployment and will allow the validation of a long-term continuous monitoring infrastructure (at least one year). These preliminary investigations enabled the following: (1) identification of priority environmental parameters; (2) optimization of sensor placement relative to exhibition layouts and maintenance protocols; and (3) preliminary assessment of microclimate risks in naturally ventilated spaces in the absence of HVAC systems. Full article
(This article belongs to the Section Building Energy, Physics, Environment, and Systems)
Show Figures

Figure 1

33 pages, 7256 KB  
Article
Spatiotemporal Variability of Seasonal Snow Cover over 25 Years in the Romanian Carpathians: Insights from a MODIS CGF-Based Approach
by Andrei Ioniță, Iosif Lopătiță, Florina Ardelean, Flavius Sîrbu, Petru Urdea and Alexandru Onaca
Remote Sens. 2026, 18(3), 468; https://doi.org/10.3390/rs18030468 - 2 Feb 2026
Viewed by 81
Abstract
Understanding long-term snow cover dynamics is essential in mountain regions with limited meteorological or in situ observations. This study examines seasonal snow cover evolution across the Romanian Carpathians (2000–2025) using daily MODIS/Terra MOD10A1 Cloud-Gap-Filled data at 500 m resolution. Snow-covered pixels were identified [...] Read more.
Understanding long-term snow cover dynamics is essential in mountain regions with limited meteorological or in situ observations. This study examines seasonal snow cover evolution across the Romanian Carpathians (2000–2025) using daily MODIS/Terra MOD10A1 Cloud-Gap-Filled data at 500 m resolution. Snow-covered pixels were identified using an NDSI ≥ 40 threshold, and snow cover duration (SCD), snow onset date (SOD), and snow end date (SED) were analyzed in relation to elevation and aspect from the FABDEM, complemented by snow-covered area (SCA) and snowline elevation (SLE) metrics. Across the entire range, the snow season shortens mainly due to later onset (+0.28 days/year) and earlier melt (−0.78 days/year), resulting in an SCD decrease of −1.14 days/year. High-elevation (>2000 m) areas show only small changes (SCD: −0.13 days/year; SOD: +0.46 days/year; SED: +0.32 days/year), while the strongest reductions occur at low and mid elevations, where snow persistence is most sensitive to warming; consistent declines in seasonal SCA and a pronounced monthly SLE cycle further document the spatial expression of this variability. Uncertainty was assessed by comparison with station-based snow cover duration (n = 230 station-years), indicating strong agreement (r = 0.95) with a modest negative bias (median: −8 days) and a mean absolute error (MAE) of 16.7 days. Climate correlations highlight air temperature as the dominant covariate of interannual snow-phenology variability, whereas precipitation associations are weaker. Overall, these shifts in snow phenology highlight increasing instability of the Carpathian snow regime and emphasize the value of long-term MODIS observations for tracking cryospheric change in a warming southeastern European mountain system. Full article
(This article belongs to the Special Issue Remote Sensing of the Cryosphere (Third Edition))
Show Figures

Figure 1

22 pages, 10023 KB  
Article
Multi-Parameter Observation System for Glacial Seismicity at High-Altitude Tien Shan Region
by Natalya Mikhailova, Vitaliy Morozov, Aidyn Mukambayev, Assem Issagali and Ulan Igibayev
Geosciences 2026, 16(2), 60; https://doi.org/10.3390/geosciences16020060 - 1 Feb 2026
Viewed by 241
Abstract
In 2023–2025, a research study named “Application of nuclear, seismic and infrasound methods for assessing climate change and mitigating the effects of climate change” was conducted in Kazakhstan under the Targeted Funding Program. The main task of the study was to create an [...] Read more.
In 2023–2025, a research study named “Application of nuclear, seismic and infrasound methods for assessing climate change and mitigating the effects of climate change” was conducted in Kazakhstan under the Targeted Funding Program. The main task of the study was to create an observation network for processes occurring in the glaciers of the high Tien Shan. Seismic and infrasound methods were used for signal recording, and meteorological data was additionally used for the analysis. A network of seismic, infrasound and meteorological stations has been installed near the large glaciers of Tien Shan in Kazakhstan. This paper presents the results of the recorded data in terms of seismic and infrasound noise levels, daily variations, and the relationship between noise and changes in temperature and wind speed. The threshold of the expected minimal magnitude and energy classes of glacial earthquakes for day and night was assessed. Seismic and infrasound monitoring has proven to be a reliable all-season and all-weather tool for monitoring the dynamics of glacial processes. Among the large number of recorded glacial events, more than 4000 have been located, and a seismic bulletin that includes information on the location, magnitude, and energy class of each has been compiled. Full article
(This article belongs to the Special Issue Applied Geophysics for Geohazards Investigations)
Show Figures

Figure 1

34 pages, 1728 KB  
Article
Time Left to Critical Climate Feedback/Loops: Annual Solar Geoengineering-PLUS, Pathways to Planetary Self-Cooling
by Alec Feinberg
Climate 2026, 14(2), 37; https://doi.org/10.3390/cli14020037 - 1 Feb 2026
Viewed by 240
Abstract
Global warming (GW) contributions from feedbacks and feedback loops are projected to rise from ≈54% (loops: 29%) in 2024 to ≈71% (loops: 50%) under faltering RCP pathways without Solar Geoengineering (SG) by about 2100. A critical threshold, RCP_Critical, defined as the point at [...] Read more.
Global warming (GW) contributions from feedbacks and feedback loops are projected to rise from ≈54% (loops: 29%) in 2024 to ≈71% (loops: 50%) under faltering RCP pathways without Solar Geoengineering (SG) by about 2100. A critical threshold, RCP_Critical, defined as the point at which feedback loops account for more than half of GW, is projected to occur between 2075 and 2125. Beyond this point, reversing warming becomes severely constrained, and climate tipping points become more likely. From these trends, an average mitigation difficulty and cost increase rate (MDCR) of ≈1.33–1.5% per year is estimated. By 2100, absent mitigation, the effort required to offset global warming would roughly double relative to today, approaching an unsustainable mitigation critical threshold. Current feedback levels may already be driving nonlinear warming behavior. These diagnostic estimates align with three key indicators: a minimum-feedback baseline from 1870, an equilibrium climate sensitivity (ECS) range of 3.1 °C–4.3 °C (potentially reached by ≈2082), and consistency with IPCC AR6 confidence bounds. In response, this study proposes Annual Solar Geoengineering-PLUS pathways (ASG+Ps) as supplemental measures. These include Earth Brightening, targeted Arctic Stratospheric Aerosol Injection (SAI), and feasible L1 Space Sunshade systems designed to reduce feedback amplification and extend mitigation timelines. The “PLUS” component refers to the use of increased mitigation levels with a focus on high-amplification regions, particularly the Arctic and the tropics, to help reverse local feedbacks and promote negative feedback loops. These moderate ASG+P pathways directly address AR6 concerns while avoiding many governance challenges of full-scale SG. ASG+Ps are less controversial and provide ≈14× stronger cooling potential per Wm−2 than Carbon Dioxide Removal (CDR), while allowing variable regional targeting. Meanwhile, RCP2.6 has already been missed, placing RCP4.5 and RCP6 at risk. In 2024, atmospheric CO2 rose by ≈23 Gt (≈3 ppm), while forest tree losses exceeded afforestation gains by 2×, yielding a 2 GtCO2 sink loss, further diminishing CDR’s effectiveness. Declines in planetary albedo since 1998 continue to amplify warming. Urbanization accounts for roughly 13% of total surface GW, affecting 60% of the population, underscoring the mitigation potential of urban Earth Brightening. New results here also show major Space Sunshading area reductions, at ≈32× less than prior flawed estimates (detailed here) and ≈1600× less under the ASG+P method, substantially improving feasibility and the importance of space agencies’ needed mitigation role. A coordinated global ASG+P strategy, supported by IPCC working groups and space agencies like NASA/SpaceX, are needed to provide a critical supplemental pathway for climate stabilization. Given the shrinking intervention window, rising MDCR, and the escalating risks to civilization, prioritizing timely work in this area is essential; the investment is minor compared to the trillions in climate financial damages that could be avoided. Full article
Show Figures

Figure 1

25 pages, 6290 KB  
Article
Monitoring Spatiotemporal Dynamics of Spartina alternifloraPhragmites australis Mixed Ecotone in Chongming Dongtan Wetland Using an Integrated Three-Dimensional Feature Space and Multi-Threshold Otsu Segmentation
by Wan Hou, Xiaoyu Xu, Xiyu Chen, Qianyu Li, Ting Dong, Bao Xi and Zhiyuan Zhang
Remote Sens. 2026, 18(3), 454; https://doi.org/10.3390/rs18030454 - 1 Feb 2026
Viewed by 180
Abstract
The Chongming Dongtan wetland, a representative coastal wetland in East Asia, faces a significant ecological threat from the invasive species Spartina alterniflora. The mixed ecotone formed between this invasive species and the native Phragmites australis serves as a highly sensitive and critical [...] Read more.
The Chongming Dongtan wetland, a representative coastal wetland in East Asia, faces a significant ecological threat from the invasive species Spartina alterniflora. The mixed ecotone formed between this invasive species and the native Phragmites australis serves as a highly sensitive and critical indicator of alterations in wetland ecosystem structure and function. Using spring and autumn Sentinel-2 imagery from 2016 to 2023, this study developed an integrated method that combines a three-dimensional feature space with multi-threshold Otsu segmentation to accurately extract the mixed S. alternifloraP. australis ecotone. The spatiotemporal dynamics of the mixed ecotone were analyzed at multiple temporal scales using a centroid migration model and a newly defined Seasonal Area Ratio (SAR) index. The results suggest that: (1) Near-infrared reflectance and NDVI were identified as the optimal spectral indices for spring and autumn, respectively. This approach led to a classification achieving an overall accuracy of 87.3 ± 1.4% and a Kappa coefficient of 0.84 ± 0.02. Notably, the mixed ecotone was mapped with producers’ and users’ accuracies of 85.2% and 83.6%. (2) The vegetation followed a distinct land-to-sea ecological sequence of “pure P. australis–mixed ecotone–pure S. alterniflora”, predominantly distributed as an east–west trending belt. This pattern was fragmented by tidal creeks and micro-topography in the northwest, contrasting with geometrically regular linear features in the central area, indicative of human engineering. (3) The ecotone showed continuous seaward expansion from 2016 to 2023. Spring exhibited a consistent annual area growth of 13.93% and a stable seaward centroid migration, whereas autumn exhibited significant intra-annual fluctuations in both area and centroid, likely influenced by extreme climate events. (4) Analysis using the Seasonal Area Ratio (SAR) index, defined as the ratio of autumn to spring ecotone area, revealed a clear transition in the seasonal competition pattern in 2017, initiating a seven-year spring-dominant phase after a single year of autumn dominance. This spring-dominated era exhibited a distinctive sawtooth fluctuation pattern, indicative of competitive dynamics arising from the phenological advancement of P. australis combined with the niche penetration of S. alterniflora. This study elucidates the multiscale competition mechanisms between S. alterniflora and P. australis, thereby providing a scientific basis for effective invasive species control and ecological restoration in coastal wetlands. Full article
(This article belongs to the Section Ecological Remote Sensing)
Show Figures

Figure 1

27 pages, 110853 KB  
Article
Resilience and Threshold-like Behavior of Moroccan Tetraclinis articulata (Vahl) Mast. Ecosystems Under Four Decades of Climate Warming
by Mourad Touaf, Fatima Zahra Echogdali, Mohamed Abioui, Abdelhafed El Asbahani, Laila Boukhalef, Aicha Nait Douch, Fatima Ain-Lhout and Said Boutaleb
Atmosphere 2026, 17(2), 161; https://doi.org/10.3390/atmos17020161 - 31 Jan 2026
Viewed by 145
Abstract
Climate warming and land degradation are reshaping Mediterranean and semi-arid ecosystems, yet their combined effects remain poorly quantified in North Africa. Using four Landsat reference epochs spanning 1984–2024, and four spectral/thermal indices (NDVI, EVI, NDMI, LST), we assessed vegetation dynamics and eco-climatic resilience [...] Read more.
Climate warming and land degradation are reshaping Mediterranean and semi-arid ecosystems, yet their combined effects remain poorly quantified in North Africa. Using four Landsat reference epochs spanning 1984–2024, and four spectral/thermal indices (NDVI, EVI, NDMI, LST), we assessed vegetation dynamics and eco-climatic resilience of Tetraclinis articulata ecosystems in Morocco. Four study sites (Stehat, Merchouch, Tamanar, and Amskroud) distributed along a latitudinal gradient from the northern to southern limits of the species’ Moroccan range were chosen and analyzed. Results reveal a generalized decline in vegetation cover, strongly coupled with increasing land surface temperatures, with threshold-like patterns emerging above 74–75 °C that lead to a rapid reduction in NDVI. The northern site (Stehat) exhibited partial recovery, likely supported by local schist aquifers, whereas the arid southern sites (Tamanar and Amskroud) experienced near-total biomass loss and reduced climate buffering. Moisture indices limited hydrological mediation and suggest that shallow soil water availability constrains T. articulata functioning, amplifying vulnerability under recurrent warming. These findings demonstrate how local edaphic and hydrological conditions modulate the impacts of global change and provide early warning indicators of heightened vulnerability and potential threshold-like behavior in drylands. The study emphasizes the urgent need for targeted management strategies to sustain ecosystem resilience under accelerating climate stress. Full article
(This article belongs to the Special Issue Observation of Climate Change and Cropland with Satellite Data)
Show Figures

Figure 1

21 pages, 3091 KB  
Article
Impact of a High-PAR-Transmittance Plastic Cover on Photosynthetic Activity and Production of Cucumber (Cucumis sativus L.) Crops in a Mediterranean Solar Greenhouse
by María Ángeles Moreno-Teruel, Francisco Domingo Molina-Aiz, Alejandro López-Martínez, Diego Luis Valera-Martínez, Araceli Peña-Fernández and Fátima Baptista
Agronomy 2026, 16(3), 354; https://doi.org/10.3390/agronomy16030354 - 31 Jan 2026
Viewed by 272
Abstract
The optical properties of greenhouse cover materials play a critical role in controlling the internal light environment, directly affecting photosynthetic performance and crop productivity. This study evaluates the impact of a high photosynthetically active radiation (PAR) transmittance and high-light-diffusivity polyethylene film on the [...] Read more.
The optical properties of greenhouse cover materials play a critical role in controlling the internal light environment, directly affecting photosynthetic performance and crop productivity. This study evaluates the impact of a high photosynthetically active radiation (PAR) transmittance and high-light-diffusivity polyethylene film on the microclimate, photosynthetic activity, yield, and disease incidence of cucumber (Cucumis sativus L.) crops grown in a Mediterranean passive solar greenhouse. Trials were conducted over two consecutive autumn–winter seasons using a multi-span greenhouse divided into two sectors: one covered with an experimental high-transmittance film and the other with a standard commercial plastic. The experimental cover increased PAR transmission by 8.7% and 11.6% at canopy level in the first and second seasons, respectively, leading to improvements in leaf-level net photosynthesis of 9.3% and 17.9%. These effects contributed to yield increases of 5.0% and 17.3% in the respective seasons. The internal air temperature rose by up to 1.3 °C without exceeding critical thresholds, and no significant differences were observed in plant morphology or fruit quality between treatments. Additionally, the experimental film reduced the incidence of major fungal diseases, particularly under higher disease pressure conditions. The use of high-PAR-transmittance films enhances radiation use efficiency and crop performance in resource-limited environments without increasing energy inputs. This approach offers a sustainable, low-cost strategy to improve yield and disease resilience in protected cropping systems under passive climate control. Full article
Show Figures

Figure 1

Back to TopTop