Sign in to use this feature.

Years

Between: -

Subjects

remove_circle_outline
remove_circle_outline
remove_circle_outline
remove_circle_outline
remove_circle_outline
remove_circle_outline
remove_circle_outline
remove_circle_outline
remove_circle_outline

Journals

remove_circle_outline
remove_circle_outline

Article Types

Countries / Regions

remove_circle_outline
remove_circle_outline
remove_circle_outline

Search Results (465)

Search Parameters:
Keywords = climate transition zone

Order results
Result details
Results per page
Select all
Export citation of selected articles as:
12 pages, 1187 KB  
Article
Assessment of Sunshine Duration for Various Time Resolutions Based on Pyranometric Data (An Example from Temperate Transition Climate of Central Europe)
by Krzysztof Błażejczyk, Jarosław Baranowski and Anna Błażejczyk
Atmosphere 2026, 17(1), 83; https://doi.org/10.3390/atmos17010083 - 14 Jan 2026
Abstract
Sunshine duration (SD) is one of the essential meteorological variables. It represents the sum of time for which direct solar radiation with an intensity above 120 W∙m−2 reaches the Earth’s surface. In the contemporary observational routine, automatic electronic devices are [...] Read more.
Sunshine duration (SD) is one of the essential meteorological variables. It represents the sum of time for which direct solar radiation with an intensity above 120 W∙m−2 reaches the Earth’s surface. In the contemporary observational routine, automatic electronic devices are in use. The pyranometric method based on the measurements of global solar radiation measurements (Kglob) is also proposed by WMO to assess SD. The aim of the paper is to study the accuracy of the Slob–Monna method (SD-WMO), recommended by WMO to calculate sunshine duration. Alternatively, the author’s method, which is based on the Ångström clearness index (SD-ACI), was used to approximate SD. In this purpose, two years series of SD and Kglob observations at four locations in Poland (well representing Central European transitional climate zone) were analyzed. The result shows that, for SD-WMO, sunshine duration values are on average 16% higher than observed ones. For the SD-ACI method, they are only 5% higher. When verifying the accuracy of SD-WMO and SD-ACI approximations, we have found that both for daily and monthly periods the calculated SD sums are closer to the observed ones in the case of SD-ACI than for the SD-WMO method. The correlation coefficients are, respectively, 0.98 and 0.82 (for daily sums) as well as 0.99 and 0.88 for monthly sums. Full article
(This article belongs to the Section Meteorology)
26 pages, 6709 KB  
Article
Spatial Heterogeneity and Land Use Modulation of Soil Moisture–Vapor Pressure Deficit–Solar-Induced Fluorescence Interactions in Henan, China: An Integrated Random Forest–GeoShapley Approach
by Xiaohu Luo, Linjie Bi, Xianwei Chang, Qiaoling Wang, Di Yang and Shuangcheng Li
Remote Sens. 2026, 18(2), 235; https://doi.org/10.3390/rs18020235 - 11 Jan 2026
Viewed by 221
Abstract
In the context of global climate change, solar-induced chlorophyll fluorescence (SIF), a robust proxy for gross primary productivity, is modulated by the coupled effects of soil moisture (SM) and vapor pressure deficit (VPD). However, fine-scale spatial heterogeneity in the SM–VPD–SIF interactions and their [...] Read more.
In the context of global climate change, solar-induced chlorophyll fluorescence (SIF), a robust proxy for gross primary productivity, is modulated by the coupled effects of soil moisture (SM) and vapor pressure deficit (VPD). However, fine-scale spatial heterogeneity in the SM–VPD–SIF interactions and their modulation by land use/cover change (LUCC) remain inadequately explored, particularly in transitional agricultural zones. This study utilized growing-season data (2001–2020) from Henan Province, China, and applied an integrated analytical framework combining Random Forest with GeoShapley analysis, alongside threshold detection and sensitivity modeling. The analysis was stratified by three dominant LUCC types: cropland, natural land, and built-up area. The key findings are as follows: (1) VPD and its geographic interaction terms (VPD × Longitude, VPD × Latitude) dominated the variability in SIF, exhibiting a combined contribution (Shapley value) over six times greater than that of SM and its geographic interactions. (2) LUCC-specific thresholds were identified: croplands exhibited the lowest SM threshold (approx. 0.231 m3/m3) and the highest sensitivity to VPD (−0.234 ± 0.018); natural lands displayed a shift from SM-dominated to VPD-dominated regulation at a VPD threshold of approximately 0.7 kPa; built-up areas showed weak environmental coupling. (3) The co-occurrence of high SM and high VPD induced significant SIF suppression in croplands, whereas natural lands demonstrated greater hydraulic resilience. This study provides a quantitative framework for understanding spatially explicit SM–VPD–SIF interactions and offers actionable thresholds (e.g., VPD of 0.7–0.8 kPa) to inform precision irrigation and drought risk management in transitional agricultural climates under future climate scenarios. Full article
Show Figures

Figure 1

31 pages, 3343 KB  
Article
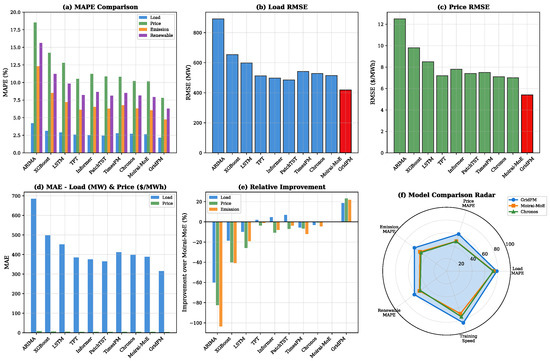
GridFM: A Physics-Informed Foundation Model for Multi-Task Energy Forecasting Using Real-Time NYISO Data
by Ali Sayghe, Mohammed Ahmed Mousa, Salem Batiyah, Abdulrahman Husawi and Mansour Almuwallad
Energies 2026, 19(2), 357; https://doi.org/10.3390/en19020357 - 11 Jan 2026
Viewed by 83
Abstract
The rapid integration of renewable energy sources and increasing complexity of modern power grids demand advanced forecasting tools capable of simultaneously predicting multiple interconnected variables. While time series foundation models (TSFMs) have demonstrated remarkable zero-shot forecasting capabilities across diverse domains, their application in [...] Read more.
The rapid integration of renewable energy sources and increasing complexity of modern power grids demand advanced forecasting tools capable of simultaneously predicting multiple interconnected variables. While time series foundation models (TSFMs) have demonstrated remarkable zero-shot forecasting capabilities across diverse domains, their application in power grid operations remains limited due to complex coupling relationships between load, price, emissions, and renewable generation. This paper proposes GridFM, a novel physics-informed foundation model specifically designed for multi-task energy forecasting in power systems. GridFM introduces four key innovations: (1) a FreqMixer adaptation layer that transforms pre-trained foundation model representations to power-grid-specific patterns through frequency domain mixing without modifying base weights; (2) a physics-informed constraint module embedding power balance equations and zonal grid topology using graph neural networks; (3) a multi-task learning framework enabling joint forecasting of load demand, locational-based marginal prices (LBMP), carbon emissions, and renewable generation with uncertainty-weighted loss functions; and (4) an explainability module utilizing SHAP values and attention visualization for interpretable predictions. We validate GridFM using over 10 years of real-time data from the New York Independent System Operator (NYISO) at 5 min resolution, comprising more than 10 million data points across 11 load zones. Comprehensive experiments demonstrate that GridFM achieves state-of-the-art performance with an 18.5% improvement in load forecasting MAPE (achieving 2.14%), a 23.2% improvement in price forecasting (achieving 7.8% MAPE), and a 21.7% improvement in emission prediction compared to existing TSFMs including Chronos, TimesFM, and Moirai-MoE. Ablation studies confirm the contribution of each proposed component. The physics-informed constraints reduce physically inconsistent predictions by 67%, while the multi-task framework improves individual task performance by exploiting inter-variable correlations. The proposed model provides interpretable predictions supporting the Climate Leadership and Community Protection Act (CLCPA) 2030/2040 compliance objectives, enabling grid operators to make informed decisions for sustainable energy transition and carbon reduction strategies. Full article
Show Figures

Figure 1

33 pages, 2271 KB  
Review
Cross-Ecosystem Transmission of Pathogens from Crops to Natural Vegetation
by Marina Khusnitdinova, Valeriya Kostyukova, Gulnaz Nizamdinova, Alexandr Pozharskiy, Yerlan Kydyrbayev and Dilyara Gritsenko
Forests 2026, 17(1), 76; https://doi.org/10.3390/f17010076 - 7 Jan 2026
Viewed by 125
Abstract
Cross-ecosystem transmission of plant pathogens from crops to natural forests is increasingly recognized as a key factor in disease emergence and biodiversity loss. Agricultural systems serve as major sources of inoculum, with landscape interfaces—such as crop–forest edges, riparian zones, abandoned orchards, and nursery–wildland [...] Read more.
Cross-ecosystem transmission of plant pathogens from crops to natural forests is increasingly recognized as a key factor in disease emergence and biodiversity loss. Agricultural systems serve as major sources of inoculum, with landscape interfaces—such as crop–forest edges, riparian zones, abandoned orchards, and nursery–wildland transitions—acting as active epidemiological gateways. Biological vectors, abiotic dispersal, and human activities collectively enable pathogen movement across these boundaries. Host-range expansion, recombination, and hybridization allow pathogens to infect both cultivated and wild hosts, leading to generalist and recombinant lineages that survive across diverse habitats. In natural ecosystems, such introductions can alter community composition, decrease resilience, and intensify the impacts of climate-driven stress. Advances in molecular diagnostics, genomic surveillance, environmental DNA, and remote sensing–GIS (Geographic Information System) approaches now enable high-resolution detection of pathogen flow across landscapes. Incorporating these tools into interface-focused monitoring frameworks offers a pathway to earlier detection, better risk assessment, and more effective mitigation. A One Health, landscape-based approach that treats agro–wild interfaces as key control points is essential for reducing spillover risk and safeguarding both agricultural productivity and the health of natural forest ecosystems. Full article
(This article belongs to the Special Issue Reviews on Innovative Monitoring and Diagnostics for Forest Health)
Show Figures

Figure 1

26 pages, 1891 KB  
Article
Effect of Climatic Aridity on Above-Ground Biomass, Modulated by Forest Fragmentation and Biodiversity in Ghana
by Elisha Njomaba, Ben Emunah Aikins and Peter Surový
Earth 2026, 7(1), 7; https://doi.org/10.3390/earth7010007 - 7 Jan 2026
Viewed by 132
Abstract
Forests play a vital role in the global carbon cycle but face growing anthropogenic pressures, with climate change and forest fragmentation among the most critical. In West Africa, particularly in Ghana, the interaction between increasing aridity and forest fragmentation remains underexplored, despite its [...] Read more.
Forests play a vital role in the global carbon cycle but face growing anthropogenic pressures, with climate change and forest fragmentation among the most critical. In West Africa, particularly in Ghana, the interaction between increasing aridity and forest fragmentation remains underexplored, despite its significance for forest biomass dynamics and carbon storage processes. This study examined how spatial variation in climatic aridity (Aridity Index, AI) affects above-ground biomass (AGB) in Ghana’s ecological zones, both directly and indirectly through forest fragmentation and biodiversity, using structural equation modeling (SEM) and generalized additive models (GAMs). Results from this study show that AGB declines along the aridity gradient, with humid zones supporting the highest biomass and semi-arid zones the lowest. The SEM analysis revealed that areas with a lower aridity index (drier conditions) had significantly lower AGB, indicating that arid conditions are associated with lower forest biomass. Fragmentation patterns align with this relationship, while biodiversity (as measured by species richness) showed weak associations, likely reflecting both ecological and data limitations. GAMs highlighted nonlinear fragmentation effects: mean patch area (AREA_MN) was the strongest predictor, showing a unimodal relationship with biomass, whereas number of patches (NP), edge density (ED), and landscape shape index (LSI) reduced AGB. Overall, these findings demonstrate that aridity and spatial configuration jointly control biomass, with fragmentation acting as a key mediator of this relationship. Dry and transitional forests emerge as particularly vulnerable, emphasizing the need for management strategies that maintain large, connected forest patches and integrate restoration into climate adaptation policies. Full article
Show Figures

Figure 1

34 pages, 11413 KB  
Article
Hydrodynamic-Ecological Synergistic Effects of Interleaved Jetties: A CFD Study Based on a 180° Bend
by Dandan Liu, Suiju Lv and Chunguang Li
Hydrology 2026, 13(1), 17; https://doi.org/10.3390/hydrology13010017 - 2 Jan 2026
Viewed by 352
Abstract
Under the dual pressures of global climate change and anthropogenic activities, enhancing the ecological functions of hydraulic structures has become a critical direction for sustainable watershed management. While traditional spur dike designs primarily focus on bank protection and flood control, current demands require [...] Read more.
Under the dual pressures of global climate change and anthropogenic activities, enhancing the ecological functions of hydraulic structures has become a critical direction for sustainable watershed management. While traditional spur dike designs primarily focus on bank protection and flood control, current demands require additional consideration of river ecosystem restoration. Numerical simulations were performed using the RNG k-ε turbulence model to solve the three-dimensional Reynolds-averaged Navier–Stokes equations, a formulation that enhances prediction accuracy for complex flows in curved channels, including separation and reattachment. Following a grid independence study and the application of standard wall functions for near-wall treatment, a comparative analysis was conducted to examine the flow characteristics and ecological effects within a 180° channel bend under three configurations: no spur dikes, a single-side arrangement, and a staggered arrangement of non-submerged, flow-aligned, rectangular thin-walled spur dikes. The results demonstrate that staggered spur dikes significantly reduce the lateral water surface gradient by concentrating the main flow, thereby balancing water levels along the concave and convex banks and suppressing lateral channel migration. Their synergistic flow-contracting effect enhances the kinetic energy of the main flow and generates multi-scale turbulent vortices, which not only increase sediment transport capacity in the main channel but also create diverse habitat conditions. Specifically, the bed shear stress in the central channel region reached 2.3 times the natural level. Flow separation near the dike heads generated a high-velocity zone, elevating velocity and turbulent kinetic energy by factors of 2.3 and 6.8, respectively. This shift promoted bed sediment coarsening and consequently increased scour resistance. In contrast, the low-shear wake zones behind the dikes, with weakened hydrodynamic forces, facilitated fine-sediment deposition and the growth of point bars. Furthermore, this study identifies a critical interface (observed at approximately 60% of the water depth) that serves as a key interface for vertical energy conversion. Below this height, turbulence intensity intermittently increases, whereas above it, energy dissipates markedly. This critical elevation, controlled by both the spur dike configuration and flow conditions, embodies the transition mechanism of kinetic energy from the mean flow to turbulent motions. These findings provide a theoretical basis and engineering reference for optimizing eco-friendly spur dike designs in meandering rivers. Full article
Show Figures

Figure 1

36 pages, 11684 KB  
Article
Nonlinear Water–Heat Thresholds, Human Amplification, and Adaptive Governance of Grassland Degradation Under Climate Change
by Denghui Xu, Jiani Li, Caifang Xu, Tongsheng Fan, Yao Wang and Zhonglin Xu
Remote Sens. 2026, 18(1), 148; https://doi.org/10.3390/rs18010148 - 1 Jan 2026
Viewed by 457
Abstract
Dryland grasslands face elevated risks of rapid threshold crossing under a regime of warming, precipitation redistribution, and intensified interannual hydrothermal variability. Using the Ebinur Lake Basin (ELB) as a case, we developed an integrated structure × function assessment—linking land-use/cover change (LUCC) transitions with [...] Read more.
Dryland grasslands face elevated risks of rapid threshold crossing under a regime of warming, precipitation redistribution, and intensified interannual hydrothermal variability. Using the Ebinur Lake Basin (ELB) as a case, we developed an integrated structure × function assessment—linking land-use/cover change (LUCC) transitions with functional indicators of net primary productivity (NPP), net ecosystem production (NEP), soil conservation (SC), and grass supply (GS)—and coupled it with Bayesian-optimized XGBoost, SHAP, and partial dependence plots (PDPs) at a 30 m pixel scale to identify dominant drivers and ecological thresholds, subsequently translating them into governance zones. From 2003 to 2023, overall grassland status was dominated by degradation (20,160.62 km2; 69.42%), with restoration at 8878.85 km2 (30.57%) and stability at 2.79 km2 (0.01%). NPP/NEP followed a rise–decline–recovery trajectory, while SC exhibited marked bipolarity. Precipitation and temperature emerged as primary drivers (interaction X3 × X4 = 0.0621), whose effects, together with topography and accessibility, shaped a spatial paradigm of piedmont sensitive–oasis sluggish–lakeshore vulnerable. Key thresholds included an annual precipitation recovery threshold of ~200 mm and an optimal window of 272–429 mm; a road-density divide near ~0.06 km km−2; and sustainable grazing windows of ~2.2–4.2 and ~4.65–5.61 livestock units (LU) km−2. These thresholds underpinned four management units—Priority Control (52.53%), Monitoring and Alert (21.53%), Natural Recovery (20.40%), and Optimized Maintenance (5.55%)—organized within a “two belts–four zones–one axis” spatial framework, closing the loop from threshold detection to adaptive governance. The approach provides a replicable paradigm for climate-adaptive management and ecological risk mitigation of dryland grasslands under warming. Full article
Show Figures

Figure 1

60 pages, 16424 KB  
Article
Diversity and Distribution of Deep-Sea Fishes off the Emperor Seamounts, Northwestern Pacific Ocean, with DNA Barcodes, Phylogenetic, and Biogeographic Considerations
by Artem M. Prokofiev, Olga R. Emelianova, Svetlana Y. Saveleva and Alexei M. Orlov
J. Mar. Sci. Eng. 2026, 14(1), 63; https://doi.org/10.3390/jmse14010063 - 29 Dec 2025
Viewed by 620
Abstract
The results of the trawl survey of the research vessel Professor Kaganovsky over four seamounts (Annei, Jingu, Ojin, and Koko) of the Emperor Seamount Chain in 2019 are presented. Seventy-three species of pelagic and bottom-dwelling cartilaginous and bony fishes from 40 families were [...] Read more.
The results of the trawl survey of the research vessel Professor Kaganovsky over four seamounts (Annei, Jingu, Ojin, and Koko) of the Emperor Seamount Chain in 2019 are presented. Seventy-three species of pelagic and bottom-dwelling cartilaginous and bony fishes from 40 families were collected. Morphological diagnoses are presented for each species, with taxonomic comments for the poorly known taxa. The obtained collection includes 11 species new to science or of uncertain taxonomic position, 9 species newly reported for the Emperor Seamounts, and one new record Linophryne arborifera for the Pacific Ocean. For individual seamounts, 27 fish species were recorded for the first time at Annei, 12 species at Ojin, 4 species at Koko, and 2 species at Jingu Seamounts. Cytochrome c oxidase subunit I (COI) or cytochrome b (Cyt b) sequences were obtained for 36 species belonging to 22 families, including 13 species for which the barcode was flagged for the first time and the sequences made available. Cryptic diversity was revealed within the genera Cyclothone, Argyropelecus, and Chauliodus. According to our data, a boundary between the boreal and subtropical fish communities was found between Nintoku and Jingu Seamounts, with a transitional zone over Jingu and Ojin Seamounts at 37–39° N. However, the distribution of the subtropical species to the north may be limited by the increasing of summit depths in the northern subsection of the chain rather than any oceanographic or climatic barriers. Full article
(This article belongs to the Section Marine Biology)
Show Figures

Figure 1

16 pages, 7730 KB  
Article
Soil and Climate Controls on the Economic Value of Forest Carbon in Northeast China
by Jingwei Song, Song Lin, Haisen Bao and Youjun He
Forests 2026, 17(1), 35; https://doi.org/10.3390/f17010035 - 26 Dec 2025
Viewed by 179
Abstract
Broad-scale assessments often track forest productivity, yet they rarely quantify how soil conditions determine whether these gains persist as long-lived carbon and generate measurable economic value. This study focused on Northeast China, where forests include boreal coniferous stands dominated by Dahurian larch, temperate [...] Read more.
Broad-scale assessments often track forest productivity, yet they rarely quantify how soil conditions determine whether these gains persist as long-lived carbon and generate measurable economic value. This study focused on Northeast China, where forests include boreal coniferous stands dominated by Dahurian larch, temperate conifer–broadleaf mixed forests with Korean pine, and temperate deciduous broadleaf forests dominated by Mongolian oak. We combined GLASS net primary productivity and ESA CCI Land Cover to delineate forest pixels, used 2000 to 2005 as the baseline, and converted productivity anomalies into pixel level carbon economic value using a consistent pricing rule. Forest NPP increased significantly during 2000 to 2018 (slope = 1.57, p = 0.019), and carbon economic value also increased over time during 2006 to 2018 (slope = 2.24, p = 0.002), with the highest values in core mountain forests and lower values in the western forest–grassland transition zone. Correlation analysis, explainable random forests, and variance partitioning characterized spatial and temporal dynamics from 2000 to 2018 and identified environmental controls. Carbon value increased over time and showed marked spatial heterogeneity that mirrored productivity patterns in core mountain forests. Climate was the dominant predictor of value, while higher soil pH and clay content were negatively associated with value. The random forest model explained about 70% of the variance in carbon value (R2 = 0.695), and variance partitioning indicated substantial unique and joint contributions from climate and soil alongside secondary topographic effects. The automatable framework enables periodic updates with new satellite composites, supports ecological compensation zoning, and informs soil-oriented interventions that enhance the monetized value of forest carbon sinks in data-limited regions. Full article
(This article belongs to the Section Forest Ecology and Management)
Show Figures

Figure 1

17 pages, 3613 KB  
Article
Cooling Performance of Green Walls Under Diverse Conditions in the Urban Zone of Lower Silesia
by Grzegorz Pęczkowski, Rafał Wójcik and Wojciech Orzepowski
Sustainability 2026, 18(1), 269; https://doi.org/10.3390/su18010269 - 26 Dec 2025
Viewed by 303
Abstract
Green facades, commonly referred to as vertical plant systems, offer sustainable solutions. They improve the energy efficiency of buildings, reduce energy consumption, and positively impact the microclimate both at the microscale and at the urban level. Their ability to regulate temperature and improve [...] Read more.
Green facades, commonly referred to as vertical plant systems, offer sustainable solutions. They improve the energy efficiency of buildings, reduce energy consumption, and positively impact the microclimate both at the microscale and at the urban level. Their ability to regulate temperature and improve thermal comfort, including mitigating the heat island effect, makes them a valuable element of sustainable architectural design. They also contribute to reduced energy consumption, reduced noise, mitigation of air pollution, and aesthetic and wind protection. The main goal of the study was to analyse the cooling effectiveness of green walls in a transitional temperate climate zone. The study was conducted on two experimental models located on the campus of the Wrocław University of Environmental and Life Sciences and at the Research and Educational Station in a suburban area. Both locations had different characteristics: the former contained urban development, while the latter contained open and sparsely developed areas. On warm and sunny days, the cooling effects of the systems were observed independently for both locations and their exposures. For data acquisition at a distance of 5 cm from the plants, a higher data concentration and a lower variability in the mean temperature drop were observed. In the same group, on sunny days, the cooling effect averaged 4–7 °C and depended on the location. On cloudy days, the mean maximum cooling in this group did not exceed 4 °C. Full article
(This article belongs to the Special Issue Green Infrastructure Systems in the Context of Urban Resilience)
Show Figures

Figure 1

25 pages, 3501 KB  
Article
Characterisation and Analysis of Large Forest Fires (LFFs) in the Canary Islands, 2012–2024
by Nerea Martín-Raya, Abel López-Díez and Álvaro Lillo Ezquerra
Fire 2026, 9(1), 7; https://doi.org/10.3390/fire9010007 - 23 Dec 2025
Viewed by 406
Abstract
In recent decades, forest fires have become one of the most disruptive and complex natural hazards from both environmental and territorial perspectives. The Canary Islands represent a particularly suitable setting for analysing wildfire risk. This study aims to characterise the Large Forest Fires [...] Read more.
In recent decades, forest fires have become one of the most disruptive and complex natural hazards from both environmental and territorial perspectives. The Canary Islands represent a particularly suitable setting for analysing wildfire risk. This study aims to characterise the Large Forest Fires (LFFs) that occurred across the archipelago between 2012 and 2024 through an integrative approach combining geospatial, meteorological, and socio-environmental information. A total of 13 LFFs were identified in Tenerife, Gran Canaria, La Palma, and La Gomera, affecting 55,167 hectares—equivalent to 7.4% of the islands’ total land area. The results indicate a temporal concentration during the summer months and an altitudinal range between 750 and 1500 m, corresponding to transitional zones between laurel forest and Canary pine woodland. Meteorological conditions showed average temperatures of 24.3 °C, minimum relative humidity of 23.7%, and thermal inversion layers at around 270 m a.s.l., creating an environment conducive to fire spread. Approximately 81% of the affected area lies within protected natural spaces, highlighting a high level of ecological vulnerability. Analysis of the Normalized Burn Ratio (NBR) index reveals a growing trend in fire severity, while social impacts include the evacuation of more than 43,000 people. These findings underscore the urgency of moving towards proactive territorial management that integrates prevention, ecological restoration, and climate change adaptation as fundamental pillars of any disaster risk reduction strategy. Full article
Show Figures

Figure 1

15 pages, 10432 KB  
Article
A Monte-Carlo-Based Method for Probabilistic Permafrost Mapping Across Northeast China During 2003 to 2022
by Yao Xiao, Lei Zhao, Shuqi Wang, Xuyang Wu, Kai Gao and Yunhu Shang
ISPRS Int. J. Geo-Inf. 2026, 15(1), 9; https://doi.org/10.3390/ijgi15010009 - 22 Dec 2025
Viewed by 321
Abstract
Permafrost degradation under climate warming has profound implications for ecological processes, hydrology, and human activities. Northeast China, characterized by sporadic and isolated patch permafrost near the southern limit of latitudinal permafrost (SLLP), represents one of the most sensitive and complex permafrost regions. This [...] Read more.
Permafrost degradation under climate warming has profound implications for ecological processes, hydrology, and human activities. Northeast China, characterized by sporadic and isolated patch permafrost near the southern limit of latitudinal permafrost (SLLP), represents one of the most sensitive and complex permafrost regions. This study aims to improve the reliability of permafrost mapping by incorporating parameter uncertainty into simulations. We developed a Monte Carlo–Temperature at the Top of Permafrost (TTOP) (MC–TTOP) framework that integrates an equilibrium model with Monte Carlo sampling to quantify parameter sensitivity and model uncertainty. Using all-sky daily air temperature data and land use and land cover information, we generated probabilistic estimates of mean annual ground temperature (MAGT), permafrost occurrence probability (PZI), and associated uncertainties. Model validation against borehole observations demonstrated improved accuracy compared with global-scale simulations, with a reduced bias and RMSE. Results reveal that permafrost in Northeast China was relatively stable during 2003–2010 but experienced pronounced degradation after 2011, with the total area decreasing to ~2.79 × 105 km2 by 2022. Spatial uncertainty was greatest in transitional zones near the southern boundary, where PZI-based delineations tended to overestimate permafrost extent. Regional comparisons further showed that permafrost in Northeast China is more fragmented and uncertain than that on the Tibetan Plateau, owing to complex snow–vegetation–topography interactions and intensive human disturbances. Overall, the MC-TTOP simulations indicate an accelerated permafrost degradation after 2011, with the highest uncertainty concentrated in southern transitional zones near the SLLP, demonstrating that the MC-TTOP framework provides a robust tool for probabilistic permafrost mapping, offering improved reliability for regional-scale assessments and important insights for future risk evaluation under climate change. Full article
Show Figures

Figure 1

24 pages, 1865 KB  
Article
Investigating Land Surface Temperature (LST) and Its Influencing Factors in the Laut Tawar Sub-Watershed, Indonesia, Using Landsat 9 Data
by Mursal Fahmi, Ashfa Achmad, Husni Husin and Cut Dewi
Sustainability 2026, 18(1), 96; https://doi.org/10.3390/su18010096 - 21 Dec 2025
Viewed by 342
Abstract
Land surface temperature (LST) is an important indicator of ecosystem sustainability and climate change resilience, particularly in highland watersheds characterized by fast land use and land cover (LULC) changes. In this research, the LST dynamics of the Laut Tawar Sub-watershed, Central Aceh, Indonesia, [...] Read more.
Land surface temperature (LST) is an important indicator of ecosystem sustainability and climate change resilience, particularly in highland watersheds characterized by fast land use and land cover (LULC) changes. In this research, the LST dynamics of the Laut Tawar Sub-watershed, Central Aceh, Indonesia, were investigated, based on Landsat 9 OLI/TIRS 2024 imagery. Supervised classification identified eight land cover categories, and their thermal contrasts were evident: built-up and plantation zones exhibited the highest LST values (25–32 °C), while water bodies and forests acted as natural coolers (9.5–17 °C), with elevation further modulating these patterns by creating cooler microclimates at higher altitudes (>2000 m), highlighting the impact of topography in generating microclimatic diversity. Intermediate values were shown for the moderate and sparse forest areas, which thus worked as transition zones with low cooling capabilities. Natural land covers contributed to thermal regulation, whereas built-up and agricultural expansion exacerbated surface heat and possible urban heat island (UHI) effects. This research highlights the importance of protecting forests and water bodies, controlling land conversion, and applying targeted green infrastructure informed by the thermal disparities and land cover dynamics observed. Full article
Show Figures

Figure 1

26 pages, 4342 KB  
Article
Experimental Study on the Damage Mechanism of Hybrid-Fiber-Reinforced Desert Sand Recycled Concrete Under Freeze–Thaw Cycles
by Yanlin Guan, Yaqiang Yang, Mohamed F. M. Fahmy, Yizhong Tan, Daochuan Zhou, Jianzhe Shi, Shanshan Yu and Chaoming Shen
Buildings 2025, 15(24), 4560; https://doi.org/10.3390/buildings15244560 - 17 Dec 2025
Viewed by 406
Abstract
With the continuous growth of the demand for concrete in infrastructure construction, natural aggregate resources have become increasingly scarce. The preparation of concrete using desert sand and recycled aggregates has emerged as an effective approach to achieving the sustainable development of building materials. [...] Read more.
With the continuous growth of the demand for concrete in infrastructure construction, natural aggregate resources have become increasingly scarce. The preparation of concrete using desert sand and recycled aggregates has emerged as an effective approach to achieving the sustainable development of building materials. However, desert sand recycled concrete still confronts critical durability-related challenges when exposed to freeze–thaw conditions. We examined how hybrid fibers (steel fibers and hybrid PP fibers) affect the mechanical performance and freeze–thaw durability of desert sand recycled aggregate concrete, along with the underlying mechanisms. Mechanical properties (compressive, splitting tensile, flexural strength) and freeze–thaw damage indicators (mass loss, dynamic elastic modulus) were tested. The findings indicated that at a 30% desert sand replacement ratio, the concrete achieved optimal initial mechanical properties. For the hybrid fibers group (F0.15-S0.5) with 0.15% hybrid PP fibers and 0.5% steel fibers incorporated, relative to the control group, its compressive strength rose by 31.6%, while mechanical property loss was notably mitigated after 125 freeze–thaw cycles. Freeze–thaw damage models based on the exponential function and the Aas-Jakobsen function were established. Microscopic analysis indicated that the fibers effectively suppressed crack propagation and interfacial transition zone (ITZ) damage. This research offers critical experimental evidence and theoretical frameworks for the application of fiber-reinforced desert sand recycled concrete in cold-climate regions. Full article
(This article belongs to the Special Issue The Latest Research on Building Materials and Structures)
Show Figures

Figure 1

17 pages, 3111 KB  
Article
Spatiotemporal Variations in Vegetation Phenology in the Qinling Mountains and Their Responses to Climate Variability
by Huan Li, Jiao Ao, Jiahua Liang, Mingjuan Zhang, Zhongke Feng and Zhichao Wang
Remote Sens. 2025, 17(24), 4051; https://doi.org/10.3390/rs17244051 - 17 Dec 2025
Viewed by 350
Abstract
Understanding vegetation phenology responses to climate change is essential for predicting ecosystem dynamics, especially in mountainous transition zones, such as the Qinling Mountains, where climatic and ecological gradients are pronounced. To quantify these complex interactions, we combined high spatiotemporal resolution remote sensing data [...] Read more.
Understanding vegetation phenology responses to climate change is essential for predicting ecosystem dynamics, especially in mountainous transition zones, such as the Qinling Mountains, where climatic and ecological gradients are pronounced. To quantify these complex interactions, we combined high spatiotemporal resolution remote sensing data (30 m, 8-day) with CMFD climate datasets from 2010 to 2020. We leveraged a rigorous analysis of covariance (ANCOVA) framework to simultaneously test the spatial heterogeneity of phenological baselines and the temporal convergence of trends across vegetation types. Results revealed that the spatial pattern of the start of the growing season (SOS) exhibited highly significant heterogeneity (p < 0.001), primarily governed by vegetation composition and altitudinal gradients—a phenomenon we define as a spatial baseline constraint effect. In contrast, the interannual SOS trends (slopes) showed no significant differences among vegetation types (p = 0.685), indicating a temporal convergence effect. This regional synchrony, characterized by a consistent shift toward earlier SOS of approximately −0.8 to −0.9 days yr−1 at low and mid-elevations, was largely driven by rising spring temperatures (R2 ≈ 0.20). Crucially, the end of the growing season (EOS) displayed weak climatic sensitivity, revealing an asymmetric phenological response to temperature changes. Our findings demonstrate that vegetation phenology in the Qinling Mountains is jointly controlled by spatial baseline constraint and temporal trend convergence. This dual-mechanism framework provides new insights into the highly structured stability and resilience of mountainous ecosystems under regional warming. Full article
Show Figures

Figure 1

Back to TopTop