Cooling Performance of Green Walls Under Diverse Conditions in the Urban Zone of Lower Silesia
Abstract
1. Introduction
The Impact of Green Walls
2. Materials and Methods
2.1. Design and Location
2.2. Acquisition of Measurement Data
2.3. Data Analysis and Processing
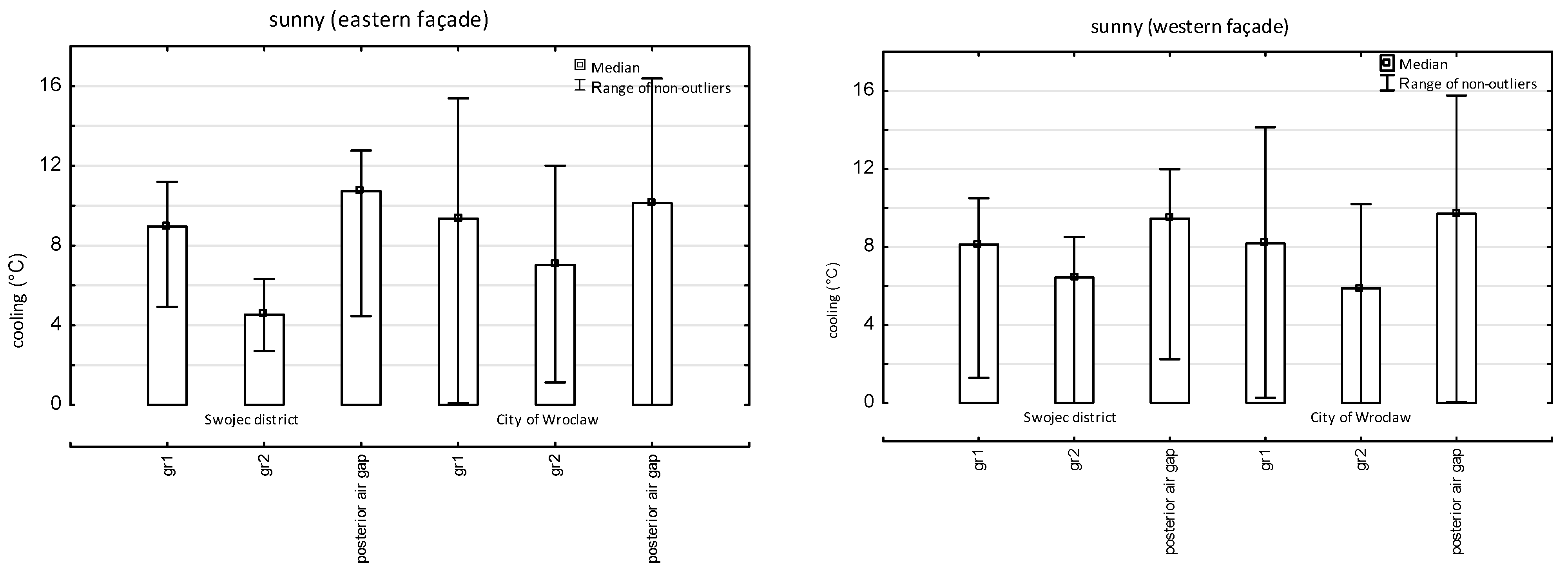
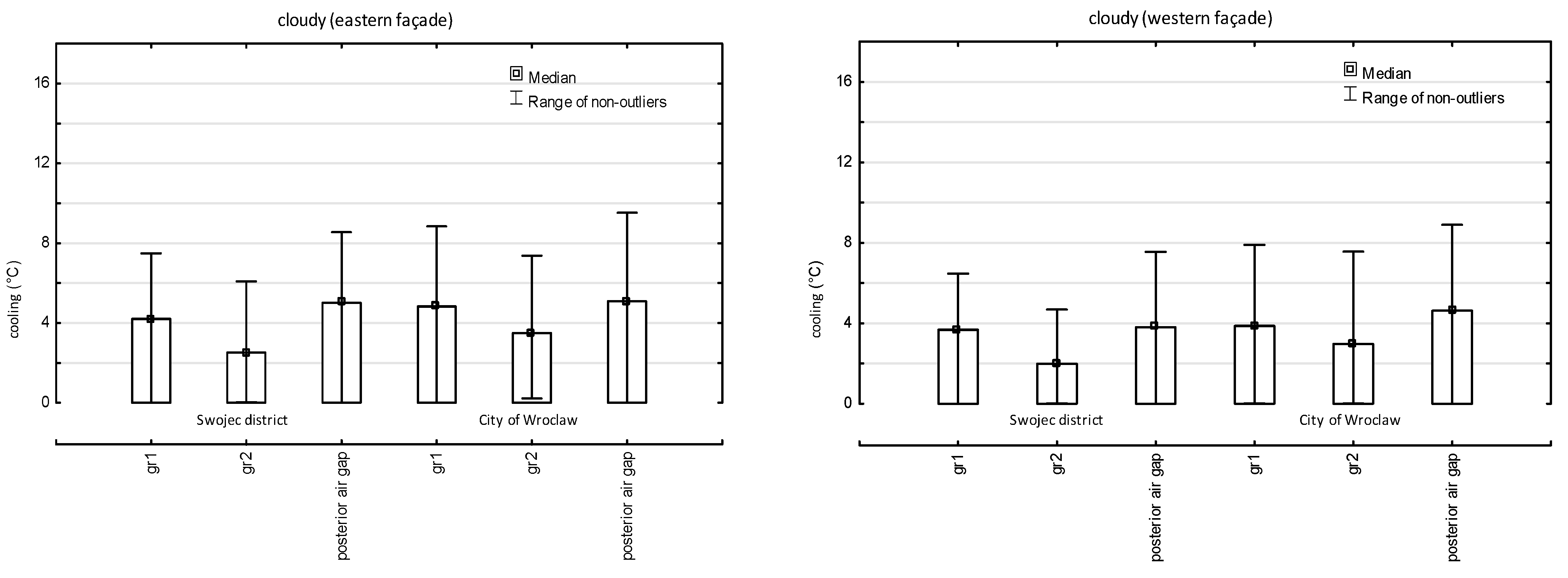
3. Results
4. Discussion
5. Conclusions
Author Contributions
Funding
Institutional Review Board Statement
Informed Consent Statement
Data Availability Statement
Conflicts of Interest
Abbreviations
| UPWr | Wroclaw University of Environmental and Life Sciences |
| Posterior air gap | space between the wall and the plant panel |
References
- De Groeve, M.; Kale, E.; Orr, S.A.; De Kock, T. Preliminary Experimental Laboratory Methods to Analyse the Insulation Capacity of Vertical Greening on Temperature and Relative Humidity. Sustainability 2023, 15, 11758. [Google Scholar] [CrossRef]
- Nastran, M.; Kobal, M.; Eler, K. Urban heat islands in relation to green land use in European cities. Urban For. Urban Green. 2019, 37, 33–41. [Google Scholar] [CrossRef]
- Lopez, G.; Perez Souza, A.; Lucas, L.C. Urban green spaces and the influence on vehicular traffic noise control. Ambient. Constr. 2018, 18, 161–175. [Google Scholar] [CrossRef]
- Manso, M.; Castro-Gomes, J. Green wall systems: A review of their characteristics. Renew. Sust. Energy Rev. 2015, 41, 863–871. [Google Scholar] [CrossRef]
- Coma, J.; Pérez, G.; de Gracia, A.; Burés, S.; Urrestarazu, M.; Cabeza, L.F. Vertical greenery systems for energy savings in buildings: A comparative study between green walls and green facades. Build. Environ. 2017, 111, 228–237. [Google Scholar] [CrossRef]
- Santos, T.D.O.; Pacheco, F.A.L.; Fernandes, L.F.S. A systematic analysis on the efficiency and sustainability of green facades and roofs. Sci. Total Environ. 2024, V932, 173107. [Google Scholar] [CrossRef] [PubMed]
- Pérez, G.; Rincón, L.; Vila, A.; González, J.M.; Cabeza, L.F. Green vertical systems for buildings as passive systems for energy savings. Appl. Energy 2011, 88, 4854–4859. [Google Scholar] [CrossRef]
- Vijayaraghavan, K. Green roofs: A critical review on the role of components, benefits, limitations and trends. Renew. Sust. Energy Rev. 2016, 57, 740–752. [Google Scholar] [CrossRef]
- Balsas, C.J.L. Making Hidden Sustainable Urban Planning and Landscape Knowledge Visual and Multisensorial. Land 2025, 14, 1. [Google Scholar] [CrossRef]
- Chabada, M.; Juras, P.; Durica, P. Influence of the active irrigation system on the vegetation façade. J. Phys. Conf. Ser. 2023, 2654, 012116. [Google Scholar] [CrossRef]
- Marx, D.; Reitberger, R.; Kleeberger, M.; Lang, W. Automated workflow for simulating the effect of green façades on indoor thermal comfort. J. Phys. Conf. Ser. 2023, 2600, 092007. [Google Scholar] [CrossRef]
- Silva, P.W.S.; Duarte, D.H.S. Are green walls a suitable environmental compensation in densifying cities? Quantifying the urban microclimate effects at the pedestrian level in Sao Paulo. PosFAUUSP 2022, 29, e195441. [Google Scholar] [CrossRef]
- Saadatian, O.; Sopian, K.; Salleh, E.; Lim, C.H.; Riffat, S.; Saadatian, E.; Toudeshki, A.; Sulaiman, M.Y. A review of energy aspects of green roofs. Renew. Sust. Energy Rev. 2013, 23, 155–168. [Google Scholar] [CrossRef]
- Lin, C.; Wu, Z.; Li, H.; Huang, J.; Huangin, Q. Comprehensive analysis on the thermal comfort of various greening forms: A study in hot-humid areas. Environ. Res. Commun. 2024, 6, 025010. [Google Scholar] [CrossRef]
- Aldeek, Z.A.O. Towards efficient green architecture and sustainable facades using novel brick design. Int. J. Des. Nat. Ecodynamics 2020, 15, 205–210. [Google Scholar] [CrossRef]
- Convertino, F.; Vox, G.; Schettini, E. Heat transfer mechanisms in vertical green systems and energy balance equations. Int. J. Des. Nat. Ecodynamics 2019, 14, 7–18. [Google Scholar] [CrossRef]
- Vox, G.; Blanco, I.; Schettini, E. Green façades to control wall surface temperature in buildings. Build. Environ. 2018, 129, 154–166. [Google Scholar] [CrossRef]
- Convertino, F.; Blanco, I.; Schettini, E.; Vox, G. A nature-based system for improving mediterranean buildings’ performance: Contribution to energy saving by heat transfer reduction and influence of climatic parameters. J. Agric. Eng. 2023, 54. [Google Scholar] [CrossRef]
- Kobya, H.; Canan, F. Examination of vertical green facades and green roofs in terms of ecological criteria and evaluation of energy efficiency. Gümüşhane Üniversitesi Fen Bilim. Enstitüsü Dergisi 2021, 11, 1047–1058. [Google Scholar] [CrossRef]
- Jezzini, Y.; Assaf, G.; Assaad, R.H. Models and Methods for Quantifying the Environmental, Economic, and Social Benefits and Challenges of Green Infrastructure: A Critical Review. Sustainability 2023, 15, 7544. [Google Scholar] [CrossRef]
- Reyes, M.; Pérez, G.; Coma, J. Sustainability Factor for the Cost–Benefit Analysis of Building-Integrated Greenery Systems. Sustainability 2024, 16, 157. [Google Scholar] [CrossRef]
- Ichihara, K.; Cohen, J.P. New York City property values: What is the impact of green roofs on rental pricing? Lett. Spat. Resour. Sci. 2011, 4, 21–30. [Google Scholar] [CrossRef]
- Balsas, C.J.L. Creative and Sustainable Town-Gown a Place Triad Genius Loci. Environ. Space Place 2021, 13, 76–92. [Google Scholar] [CrossRef]
- Hamling, A.; Van Dam, C.; Dubbeldee, V. Vertical green landscape facades as a reducer of pollution in high density cities: A review. Urban Plan. Constr. 2024, 2, 20–27. [Google Scholar] [CrossRef]
- Pérez, G.; Coma, J.; Martorell, I.; Cabeza, L.F. Vertical Greenery Systems (VGS) for energy saving in buildings: A review Renew. Sustain. Energy Rev. 2014, 39, 139–165. [Google Scholar] [CrossRef]
- Hunter, A.M.; Williams, N.S.G.; Rayner, J.P.; Aye, L.; Hes, D.; Livesley, S.J. Quantifying the thermal performance of green façades: A critical review. Ecol. Eng. 2014, 63, 102–113. [Google Scholar] [CrossRef]
- Barriuso, F.; Urbano, B. Green Roofs and Walls Design Intended to Mitigate Climate Change in Urban Areas across All Continents. Sustainability 2021, 13, 2245. [Google Scholar] [CrossRef]
- Pęczkowski, G.; Szawernoga, K.; Kowalczyk, T.; Orzepowski, W.; Pokładek, R. Runoff and Water Quality in the Aspect of Environmental Impact Assessment of Experimental Area of Green Roofs in Lower Silesia. Sustainability 2020, 12, 4793. [Google Scholar] [CrossRef]
- Kottek, M.; Grieser, J.; Beck, C.; Rudolf, B.; Rubel, F. World map of the Köppen-Geiger climate classification updated. Meteorol. Z. 2006, 15, 259–263. [Google Scholar] [CrossRef]
- Susca, T.; Zanghirella, F.; Colasuonno, L.; Del Fatto, V. Effect of green wall installation on urban heat island and building energy use: A climate-informed systematic literature review. Renew. Sustain. Energy Rev. 2022, 159, 112100. [Google Scholar] [CrossRef]
- Varvara, M.S.; Köhler, M.; Voevod, M.; Dirja, M. Study Regarding Temperature Differences between a Traditional Roof and Green Roof. Bull. Univ. Agric. Sci. Vet. Med. Cluj-Napoca. Hortic. 2015, 72, 433–437. [Google Scholar] [CrossRef][Green Version]
- Alexandri, E.; Jones, P. Temperature decreases in an urban canyon due to green walls and greenroofs in diverse climates. Build. Environ. 2008, 43, 480–493. [Google Scholar] [CrossRef]
- Susca, T.; Gaffin, S.R.; Dell’Osso, G.R. Positive effects of vegetation: Urban heat island and green roofs. Environ. Pollut. 2011, 159, 2119–2126. [Google Scholar] [CrossRef]
- Agarwal, A.; Pitso, I.; Letsatsi, M.T. Thermodynamic analysis of wind catcher with cooling pads using SSG reynolds stress turbulence model. J. Eng. Res. 2021, 9. [Google Scholar] [CrossRef]
- Nasrollahi, N.; Ghosouri, A.; Khodakarami, J.; Taleghani, M. Heat-Mitigation Strategies to Improve Pedestrian Thermal Comfort in Urban Environments: A Review. Sustainability 2020, 12, 10000. [Google Scholar] [CrossRef]
- Szawernoga, K.; Pęczkowski, G. Experimental tests of thermal properties pertaining to vertical plant systems in the climate of Lower Silesia, Acta Scient. Polon. Form. Circum 2018, 17, 223–232. [Google Scholar] [CrossRef]
- UMS GmbH. HYPROP©–Laboratory Evaporation Method for the Determination of pF-Curves and Unsaturated Conductivity; UMS GmbH: Munich, Germany, 2011. [Google Scholar]
- Li, H.; Zhao, Y.; Sützl, B.; Kubilay, A.; Carmeliet, J. Impact of green walls on ventilation and heat removal from street canyons: Coupling of thermal and aerodynamic resistance. Build. Environ. 2022, 214, 108945. [Google Scholar] [CrossRef]
- Zheng, X.; Hu, W.; Luo, S.; Chen, J.; Zhu, Z.; Bai, Y.; Wang, W.; Pan, L. A scaled outdoor experimental study of the urban thermal environment in street canyons with green walls under various weather conditions. Sustain. Cities Soc. 2024, 105, 105310. [Google Scholar] [CrossRef]
- Cui, D.; Su, C.; Hang, J.; Zhu, M.; Chen, G.; Mak, C.M. Effects of vertical greening on the thermal environment and energy consumption in different street canyons. Sustain. Cities Soc. 2024, 117, 105979. [Google Scholar] [CrossRef]
- Djedjig, R.; Bozonnet, E.; Belarbi, R. Experimental study of the urban microclimate mitigation potential of green roofs and green walls in street canyons. Int. J. Low-Carbon Technol. 2015, 10, 34–44. [Google Scholar] [CrossRef]
- Tang, Y.F.; Chen, H.; Yang, M.; Tan, Z.C.; Zhao, F.Y.; Guo, J.H.; Fang, Y. Weak geostrophic wind driven ventilation in street canyons with trees and green walls: Cooperating or opposing dispersions of airborne pollutants? Build. Environ. 2024, 259, 111654. [Google Scholar] [CrossRef]
- Abdelhafez, M.H.H.; Altaf, F.; Alshenaifi, M.; Hamdy, O.; Ragab, A. Achieving Effective Thermal Performance of Street Canyons in Various Climatic Zones. Sustainability 2022, 14, 10780. [Google Scholar] [CrossRef]
- Wong, N.; Tan, C.; Kolokotsa, D.; Takebayashi, H. Greenery as a mitigation and adaptation strategy to urban heat. Nat. Rev. Earth Environ. 2021, 2, 166–181. [Google Scholar] [CrossRef]
- Jayasooriya, V.M.; Liyanage, C.T.; Muthukumaran, S.; Nilusha, R.T. Impact of green wall orientation on building energy performance in a tropical climate: An experimental assessment. PLoS Sustain. Transform. 2025, 4, e0000156. [Google Scholar] [CrossRef]
- Freewan, A.A.; Jaradat, N.M.; Amaireh, I.A. Optimizing Shading and Thermal Performances of Vertical Green Wall on Buildings in a Hot Arid Region. Buildings 2022, 12, 216. [Google Scholar] [CrossRef]
- Pan, L.; Wei, S.; Chu, L.M. Orientation effect on thermal and energy performance of vertical greenery systems. Energy Build. 2018, 175, 102–112. [Google Scholar] [CrossRef]
- Pappa, V.; Bouris, D.; Theurer, W.; Gromke, C. A wind tunnel study of aerodynamic effects of façade and roof greening on air exchange from a cubic building. Build. Environ. 2023, 231, 110023. [Google Scholar] [CrossRef]
- Zheng, X.; Hu, W.; Luo, S.; Zhu, Z.; Bai, Y.; Wang, W.; Pan, L. Effects of vertical greenery systems on the spatiotemporal thermal environment in street canyons with different aspect ratios: A scaled experiment study. Sci. Total Environ. 2023, 859, 160408. [Google Scholar] [CrossRef]











| Location | Structure Dimensions [m] | Layer Material (in Order from the Outside In) | Layer Thickness [m] | Total Thickness [m] | Thermal Conductivity λ [W·m−1·K−1] | Density [kg m−1] | Specific Heat Cp [J kg−1 K−1] |
|---|---|---|---|---|---|---|---|
| Campus Center, Wrocław University of Environmental and Life Sciences Swojec District | 1.3 × 1.3 ×2.05 | PVC panel Composite oriented strand board (OSB) EPS Composite (OSB) | 0.01 0.025 0.1 0.025 | 0.16 | 0.17 0.14 0.23 | 1.35 600 13.5 | 900 1700 1800 |
| Experimental Wall | Leaf Area Index (LAI) | Medium Thickness [m] | Total [m] | ||
|---|---|---|---|---|---|
| Wall | Gap | Plants | |||
| Campus Center, Swojec District: Geranium makrorrhizum, Heuchera alumroot, Heuchera americana, Heuchera Palace Purple, Heuchera sanguinea, Carex flacca, Carex Montana | 2.5–4.0 2.5–3.5 | 0.16 | 0.04 | 0.25 0.20 | 0.45 0.40 |
| Median Temperature Reduction Sunny Day Foliage 5 cm | Solar Radiation Intensity on a Horizontal Surface (W·m−2) | |||
| 0–400 | 400–600 | 600–800 | >800 | |
| Campus UPWr | ||||
| Eastern exposure | 3.91 | 6.46 | 7.66 a | 7.91 |
| Western exposure | 3.38 | 5.42 | 6.94 a | 7.22 |
| Swojec district | ||||
| Eastern exposure | 2.54 | 3.96 | 4.65 | 4.44 |
| Western exposure | 0.97 c,d | 4.11 | 4.38 a | 4.91 a |
| Median Temperature Reduction Cloudy Day Foliage 5 cm | Solar Radiation Intensity on a Horizontal Surface (W·m−2) | |||
| 0–400 | 400–600 | 600–800 | >800 | |
| Campus UPWr | ||||
| Eastern exposure | 3.40 | 5.07 | 5.96 | 5.57 |
| Western exposure | 2.83 c | 4.14 | 5.56 a | 5.26 |
| Swojec district | ||||
| Eastern exposure | 2.92 | 4.18 | 4.42 | 5.26 |
| Western exposure | 2.10 | 3.45 | 3.72 | 5.05 |
| Median Temperature Reduction Sunny Day Foliage 5 cm | Relative Air Humidity RH (%) | |||||
| <40 | 40–50 | 51–60 | 61–70 | 71–80 | >80 | |
| Campus UPWr | ||||||
| Eastern exposure | 6.9 e | 7.81 e,f | 5.35 | 3.88 | 2.24 a,b | 0.38 b |
| Western exposure | 6.3 | 6.9 e | 5.0 | 5.04 | 2.17 b | 0.02 |
| Swojec district | ||||||
| Eastern exposure | 4.25 f | 4.38 f | 3.97 | 3.37 | 1.64 | −1.5 a,b |
| Western exposure | 3.64 | 3.93 | 4.36 | 3.31 | 1.78 | −2.0 |
| Median Temperature Reduction Cloudy Day Foliage 5 cm | Relative Air Humidity RH (%) | |||||
| <40 | 40–50 | 51–60 | 61–70 | 71–80 | >80 | |
| Campus UPWr | ||||||
| Eastern exposure | - | 6.33 f | 4.91 | 4.37 | 3.56 | 1.45 a |
| Western exposure | - | 5.83 | 4.03 | 4.24 | 3.39 | 1.19 |
| Swojec district | ||||||
| Eastern exposure | 6.0 | 4.58 | 3.90 | 2.51 | 3.52 | 1.60 |
| Western exposure | 4.16 | 1.94 | 2.42 | 3.02 | 3.92 | 1.57 |
| Median Temperature Reduction Sunny Day Foliage 5 cm | Wind Speed v (m·s−1) | ||||
| <0.5 | 0.5–1.0 | 1.1–2.0 | 2.1–3.0 | >3 | |
| Campus UPWr | |||||
| Eastern exposure | 4.6 | 4.72 | 5.46 | 6.21 | 6.71 |
| Western exposure | 4.14 | 4.14 | 4.78 | 5.62 | 5.76 |
| Swojec district | |||||
| Eastern exposure | 2.66 | 3.63 | 3.79 | 3.46 | 4.35 |
| Western exposure | 4.60 | 3.19 | 3.46 | 2.78 | 3.82 |
| Median Temperature Reduction Cloudy Day Foliage 5 cm | Wind Speed v (m·s−1) | ||||
| <0.5 | 0.5–1.0 | 1.1–2.0 | 2.1–3.0 | >3 | |
| Campus UPWr | |||||
| Eastern exposure | 3.33 | 3.99 | 4.42 | 4.58 | 5.11 |
| Western exposure | 3.98 | 4.36 | 3.93 | 4.0 | 4.77 |
| Swojec district | |||||
| Eastern exposure | 0.59 | 2.79 | 2.42 | 3.01 | 4.02 |
| Western exposure | 2.22 | 2.67 | 1.59 | 1.97 | 1.41 |
Disclaimer/Publisher’s Note: The statements, opinions and data contained in all publications are solely those of the individual author(s) and contributor(s) and not of MDPI and/or the editor(s). MDPI and/or the editor(s) disclaim responsibility for any injury to people or property resulting from any ideas, methods, instructions or products referred to in the content. |
© 2025 by the authors. Licensee MDPI, Basel, Switzerland. This article is an open access article distributed under the terms and conditions of the Creative Commons Attribution (CC BY) license.
Share and Cite
Pęczkowski, G.; Wójcik, R.; Orzepowski, W. Cooling Performance of Green Walls Under Diverse Conditions in the Urban Zone of Lower Silesia. Sustainability 2026, 18, 269. https://doi.org/10.3390/su18010269
Pęczkowski G, Wójcik R, Orzepowski W. Cooling Performance of Green Walls Under Diverse Conditions in the Urban Zone of Lower Silesia. Sustainability. 2026; 18(1):269. https://doi.org/10.3390/su18010269
Chicago/Turabian StylePęczkowski, Grzegorz, Rafał Wójcik, and Wojciech Orzepowski. 2026. "Cooling Performance of Green Walls Under Diverse Conditions in the Urban Zone of Lower Silesia" Sustainability 18, no. 1: 269. https://doi.org/10.3390/su18010269
APA StylePęczkowski, G., Wójcik, R., & Orzepowski, W. (2026). Cooling Performance of Green Walls Under Diverse Conditions in the Urban Zone of Lower Silesia. Sustainability, 18(1), 269. https://doi.org/10.3390/su18010269

