Sign in to use this feature.

Years

Between: -

Subjects

remove_circle_outline
remove_circle_outline
remove_circle_outline
remove_circle_outline

Journals

Article Types

Countries / Regions

Search Results (16)

Search Parameters:
Keywords = chlorsulfuron

Order results
Result details
Results per page
Select all
Export citation of selected articles as:
16 pages, 1102 KB  
Article
Impact of ALS Herbicide-Resistant Perennial Ryegrass (Lolium perenne) Population on Growth Rate and Competitive Ability against Wheat
by Aristeidis P. Papapanagiotou, Dimitrios Loukovitis, Eleni Anthimidou and Ilias G. Eleftherohorinos
Agronomy 2023, 13(6), 1641; https://doi.org/10.3390/agronomy13061641 - 19 Jun 2023
Cited by 4 | Viewed by 3160
Abstract
Three perennial ryegrass (Lolium perenne) populations (R1, R2, and R3) with suspected resistance (R) to acetolactate synthase (ALS) or acetyl-CoA carboxylase (ACCase) herbicides were collected from wheat (Triticum aestivum) fields in northwestern Greece to study the underlying mechanisms of [...] Read more.
Three perennial ryegrass (Lolium perenne) populations (R1, R2, and R3) with suspected resistance (R) to acetolactate synthase (ALS) or acetyl-CoA carboxylase (ACCase) herbicides were collected from wheat (Triticum aestivum) fields in northwestern Greece to study the underlying mechanisms of resistance and their impact on growth rate and competitive ability against wheat. Preemergence and postemergence plant dose–response assays showed that the R1 population was cross-resistant to the ALS inhibitors chlorsulfuron, mesosulfuron + iodosulfuron, and pyroxsulam, but susceptible (S) to imazamox. However, all populations were susceptible to the ACCase inhibitors clodinafop-propargyl, clethodim, diclofop-methyl, and pinoxaden. The analysis of the ALS gene sequence revealed a substitution of Pro197 by His or Leu in the ALS enzyme in L. perenne, which is reported for the first time in this weed and indicates a potential mechanism of target site-mediated resistance. The R1 population grown in the absence or presence of wheat competition displayed similar aboveground biomass and tiller number trends, and therefore similar estimated growth rates. In addition, the aboveground biomass of wheat was similarly reduced by both the R1 and S populations, supporting the evidence of their similar competitive ability against wheat. In general, these findings indicate that there is no clear evidence for the fitness advantage of R1 over the S population. Full article
(This article belongs to the Special Issue Herbicides and Chemical Control of Weeds)
Show Figures

Figure 1

11 pages, 3691 KB  
Brief Report
Generation of Herbicide-Resistant Soybean by Base Editing
by Tao Wei, Linjian Jiang, Xiang You, Pengyu Ma, Zhen Xi and Ning Ning Wang
Biology 2023, 12(5), 741; https://doi.org/10.3390/biology12050741 - 19 May 2023
Cited by 16 | Viewed by 4605
Abstract
Weeds cause the largest yield loss in soybean production. The development of herbicide-resistant soybean germplasm is of great significance for weed control and yield improvement. In this study, we used the cytosine base editor (BE3) to develop novel herbicide-resistant soybean. We have successfully [...] Read more.
Weeds cause the largest yield loss in soybean production. The development of herbicide-resistant soybean germplasm is of great significance for weed control and yield improvement. In this study, we used the cytosine base editor (BE3) to develop novel herbicide-resistant soybean. We have successfully introduced base substitutions in GmAHAS3 and GmAHAS4 and obtained a heritable transgene-free soybean with homozygous P180S mutation in GmAHAS4. The GmAHAS4 P180S mutants have apparent resistance to chlorsulfuron, flucarbazone-sodium, and flumetsulam. In particular, the resistance to chlorsulfuron was more than 100 times that of with wild type TL-1. The agronomic performance of the GmAHAS4 P180S mutants showed no significant differences to TL-1 under natural growth conditions. In addition, we developed allele-specific PCR markers for the GmAHAS4 P180S mutants, which can easily discriminate homozygous, heterozygous mutants, and wild-type plants. This study demonstrates a feasible and effective way to generate herbicide-resistant soybean by using CRISPR/Cas9-mediated base editing. Full article
(This article belongs to the Special Issue Current Advances in Weed Biology, Ecology and Management)
Show Figures

Figure 1

20 pages, 1801 KB  
Article
Risk Assessment of Sulfonylurea Herbicides Based on a Complex Bioindicator
by Aurica Breica Borozan, Despina-Maria Bordean, Oana Maria Boldura, Sorina Popescu, Marioara Nicoleta Caraba and Camelia Moldovan
Agriculture 2023, 13(5), 924; https://doi.org/10.3390/agriculture13050924 - 23 Apr 2023
Cited by 4 | Viewed by 3112
Abstract
The increasing use of herbicides in recent years for improved crop yields requires a risk assessment. To assess their impact on soil, the use of an indicator named the synthetic biological indicator (ISB%) is proposed, which includes a range of biotic and enzymatic [...] Read more.
The increasing use of herbicides in recent years for improved crop yields requires a risk assessment. To assess their impact on soil, the use of an indicator named the synthetic biological indicator (ISB%) is proposed, which includes a range of biotic and enzymatic parameters derived from previous experiments. Three sulfonylurea herbicides were evaluated, named chlorsulfuron, amidosulfuron, and tifensulfuron. The biotic and enzymatic parameters were monitored using different herbicide doses in field and laboratory experiments. Calculating this indicator for all experimental variants in the field and laboratory showed that the impact of the analyzed herbicides was insignificant, but there were statistically significant differences between the experimental conditions. The registration of an herbicide based on the legislation of different countries requires several toxicity tests of the active substance’s effects against soil microorganisms and some of the soil functions performed by microorganisms, parameters which are also included in the synthetic biological indicator (ISB). This indicator has the capacity to provide important information for sustainable soil management, including a minimum set of parameters, which can provide global information regarding the environment, showing changes in multiple areas of interest, including parameters that can be applied at minimal cost worldwide. In conclusion, we can say that the use of the indicator highlights all the changes caused by various soil chemical treatments because it follows the variation in a large number of parameters, unlike other indicators that follow only one, providing useful information for sustainable farming practices. Full article
(This article belongs to the Section Ecosystem, Environment and Climate Change in Agriculture)
Show Figures

Figure 1

12 pages, 5158 KB  
Article
Development of a High Yielded Chlorsulfuron-Resistant Soybean (Glycine max L.) Variety through Mutation Breeding
by Rustem Ustun and Bulent Uzun
Agriculture 2023, 13(3), 559; https://doi.org/10.3390/agriculture13030559 - 25 Feb 2023
Cited by 5 | Viewed by 3033
Abstract
This study was conducted to develop a novel herbicide resistance soybean using ethyl methanesulfonate (EMS) mutagen. In this study, 0.1% of EMS mutagen was applied to the soybean [Glycine max (L.) cv Arısoy] seeds. A single resistant mutant was selected in the [...] Read more.
This study was conducted to develop a novel herbicide resistance soybean using ethyl methanesulfonate (EMS) mutagen. In this study, 0.1% of EMS mutagen was applied to the soybean [Glycine max (L.) cv Arısoy] seeds. A single resistant mutant was selected in the M2 population evaluated under field and greenhouse conditions. The AHAS gene regions of the herbicide-resistant mutant progeny were mapped, and the nucleotide changes were defined conferring herbicide resistance. The sequence analysis of the AHAS gene indicated that three nucleotide substitutions were detected such as 407 (C/T), 532 (C/T), and 1790 (C/T). According to the AHAS gene protein sequence of Arabidopsis thaliana, Ala155Val, Pro197Ser, and Thr616Met amino acid alterations were found in the progeny of the resistant mutant. Pro197Ser alteration was common in all the progeny, while the others were diverse. The wild-type and the mutant plants were compared for seed yield, number of pods per plant, stem height to the first pod, 1000-seed weight, and physiological maturity days for two subsequent years. No statistical difference was found between the mutant and wild types with respect to seed yield and its components. The agronomic data indicated that EMS provided target-site resistance to sulfonylureas (SU) with no tradeoff between yield components and resistance. Full article
(This article belongs to the Special Issue Genetic Diversity and Variability Assessment in Field Crops)
Show Figures

Figure 1

11 pages, 999 KB  
Article
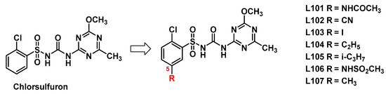
Alkaline Soil Degradation and Crop Safety of 5-Substituted Chlorsulfuron Derivatives
by Lei Wu, Xue-Wen Hua, Yong-Hong Li, Zhong-Wen Wang, Sha Zhou and Zheng-Ming Li
Molecules 2022, 27(10), 3318; https://doi.org/10.3390/molecules27103318 - 21 May 2022
Cited by 2 | Viewed by 2548
Abstract
Sulfonylurea herbicides can lead to serious weed resistance due to their long degradation times and large-scale applications. This is especially true for chlorsulfuron, a widely used acetolactate synthase inhibitor used around the world. Its persistence in soil often affects the growth of crop [...] Read more.
Sulfonylurea herbicides can lead to serious weed resistance due to their long degradation times and large-scale applications. This is especially true for chlorsulfuron, a widely used acetolactate synthase inhibitor used around the world. Its persistence in soil often affects the growth of crop seedlings in the following crop rotation, and leads to serious environmental pollution all over the world. Our research goal is to obtain chlorsulfuron-derived herbicides with high herbicidal activities, fast degradation times, as well as good crop safety. On account of the slow natural degradation of chlorsulfuron in alkaline soil, based on the previously reported results in acidic soil, the degradation behaviours of 5-substituted chlorsulfuron analogues (L101L107) were investigated in a soil with pH 8.39. The experimental data indicated that 5-substituted chlorsulfuron compounds could accelerate degradation rates in alkaline soil, and thus, highlighted the potential for rational controllable degradation in soil. The degradation rates of these chlorsulfuron derivatives were accelerated by 1.84–77.22-fold, compared to chlorsulfuron, and exhibited excellent crop safety in wheat and corn (through pre-emergence treatment). In combination with bioassay activities, acidic and alkaline soil degradation, and crop safety, it was concluded that compounds L104 and L107, with ethyl or methyl groups, are potential green sulfonylurea herbicides for pre-emergence treatment on wheat and corn. This paper provides a reference for the further design of new sulfonylurea herbicides with high herbicidal activity, fast, controllable degradation rates, and high crop safety. Full article
Show Figures

Figure 1

15 pages, 1861 KB  
Article
Synthesis, Herbicidal Activity, Crop Safety and Soil Degradation of Pyrimidine- and Triazine-Substituted Chlorsulfuron Derivatives
by Lei Wu, Yu-Cheng Gu, Yong-Hong Li, Sha Zhou, Zhong-Wen Wang and Zheng-Ming Li
Molecules 2022, 27(7), 2362; https://doi.org/10.3390/molecules27072362 - 6 Apr 2022
Cited by 4 | Viewed by 3121
Abstract
Chlrosulfuron, a classical sulfonylurea herbicide that exhibits good safety for wheat but causes a certain degree of damage to subsequent corn in a wheat–corn rotation mode, has been suspended field application in China since 2014. Our previous study found that diethylamino-substituted chlorsulfuron derivatives [...] Read more.
Chlrosulfuron, a classical sulfonylurea herbicide that exhibits good safety for wheat but causes a certain degree of damage to subsequent corn in a wheat–corn rotation mode, has been suspended field application in China since 2014. Our previous study found that diethylamino-substituted chlorsulfuron derivatives accelerated the degradation rate in soil. In order to obtain sulfonylurea herbicides with good crop safety for both wheat and corn, while maintaining high herbicidal activities, a series of pyrimidine- and triazine-based diethylamino-substituted chlorsulfuron derivatives (W102W111) were systematically evaluated. The structures of the synthesized compounds were confirmed with 1H NMR, 13C NMR, and HRMS. The preliminary biological assay results indicate that the 4,6-disubstituted pyrimidine and triazine derivatives could maintain high herbicidal activity. It was found that the synthesized compounds could accelerate degradation rates, both in acidic and alkaline soil. Especially, in alkaline soil, the degradation rate of the target compounds accelerated more than 22-fold compared to chlorsulfuron. Moreover, most chlorsulfuron analogs exhibited good crop safety for both wheat and corn at high dosages. This study provided a reference for the further design of new sulfonylurea herbicides with high herbicidal activity, fast degradation rates, and high crop safety. Full article
Show Figures

Figure 1

11 pages, 1191 KB  
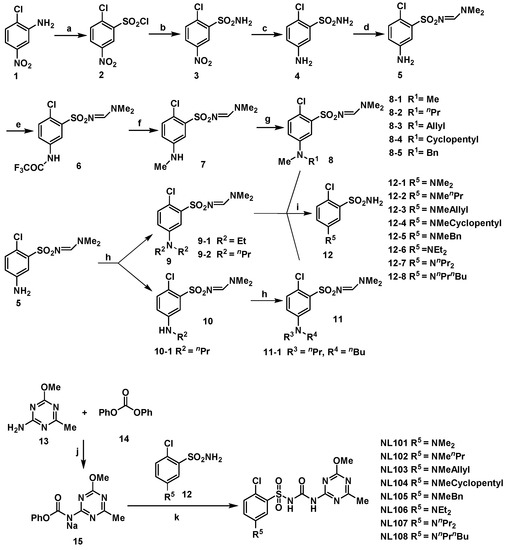
Article
Degradation of 5-Dialkylamino-Substituted Chlorsulfuron Derivatives in Alkaline Soil
by Lei Wu, Yu-Cheng Gu, Yong-Hong Li, Fan-Fei Meng, Sha Zhou and Zheng-Ming Li
Molecules 2022, 27(5), 1486; https://doi.org/10.3390/molecules27051486 - 23 Feb 2022
Cited by 5 | Viewed by 2025
Abstract
Sulfonylurea herbicides are widely used as acetolactate synthase (ALS) inhibitors due to their super-efficient activity. However, some sulfonylurea herbicides show toxicity under crop rotation due to their long degradation time, for example, chlorsulfuron. Our research goal is to obtain chlorsulfuron-derived herbicides with controllable [...] Read more.
Sulfonylurea herbicides are widely used as acetolactate synthase (ALS) inhibitors due to their super-efficient activity. However, some sulfonylurea herbicides show toxicity under crop rotation due to their long degradation time, for example, chlorsulfuron. Our research goal is to obtain chlorsulfuron-derived herbicides with controllable degradation time, good crop safety and high herbicidal activities. Based on our previously reported results in acidic soil, we studied the degradation behaviors of 5-dialkylamino-substituted chlorsulfuron derivatives (NL101NL108) in alkaline soil (pH 8.39). The experimental data indicate that addition of the 5-dialkylamino groups on the benzene ring of chlorsulfuron greatly accelerated degradation in alkaline soil. These chlorsulfuron derivatives degrade 10.8 to 51.8 times faster than chlorsulfuron and exhibit excellent crop safety on wheat and corn (through pre-emergence treatment). With a comprehensive consideration of structures, bioassay activities, soil degradation and crop safety, it could be concluded that 5-dialkylamino-substituted chlorsulfuron derivatives are potential green sulfonylurea herbicides for pre-emergence treatment on both wheat and corn. The study also provides valuable information for the discovery of new sulfonylurea herbicides for crop rotation. Full article
Show Figures

Figure 1

10 pages, 2887 KB  
Article
Resistance Mechanism to Metsulfuron-Methyl in Polypogon fugax
by Xiaoyue Yu, Hanwen Wu, Jianping Zhang, Yongjie Yang, Wei Tang and Yongliang Lu
Plants 2021, 10(7), 1309; https://doi.org/10.3390/plants10071309 - 28 Jun 2021
Cited by 11 | Viewed by 3038
Abstract
Polypogon fugax is a common winter weed in China and other Asia countries. We have previously found a P. fugax biotype (R) resistant to acetyl co-enzyme A carboxylase (ACCase) herbicides also cannot be effectively controlled by some acetolactate synthase (ALS) herbicides. This study [...] Read more.
Polypogon fugax is a common winter weed in China and other Asia countries. We have previously found a P. fugax biotype (R) resistant to acetyl co-enzyme A carboxylase (ACCase) herbicides also cannot be effectively controlled by some acetolactate synthase (ALS) herbicides. This study evaluated the level of resistance to four ALS herbicides (metsulfuron-methyl, chlorsulfuron, monosulfuron, pyribambenz isopropyl) in the R biotype and the associated resistance mechanism. The R biotype exhibited moderate level of resistance to metsulfuron-methyl (6.0-fold) compared with the sensitive biotype (S). Sequence analysis of ALS gene revealed that two ALS genes existed in P. fugax. However, no substitution associated with ALS resistance mechanism were found in ALS genes between the S and R biotypes. The activity of ALS enzyme isolated from the R biotype was inherently higher and less sensitive to metsulfuron-methyl than the S biotype. Glutathione S-transferases (GST) activity was also less sensitive to metsulfuron-methyl in the R than as the S biotypes. Malathion, a cytochrome P450 (CYP) monooxygenase inhibitor, had much greater synergistic effect with metsulfuron-methyl on the R than as the S plants, reducing the ED50 value (herbicide dose to inhibit growth by 50%) of metsulfuron-methyl by 23- and 6-fold, respectively, suggesting that CYP mediated enhanced metabolism might contribute to the resistance to ALS herbicides. These results suggest that metsulfuron-methyl resistance in the R biotype was associated with the up-regulated ALS enzymatic activity and the GST and CYP-mediated enhanced herbicide metabolism. Full article
(This article belongs to the Special Issue Herbicide Mechanisms of Action and Resistance)
Show Figures

Figure 1

19 pages, 4252 KB  
Article
New Strategies to Overcome Present CRISPR/Cas9 Limitations in Apple and Pear: Efficient Dechimerization and Base Editing
by Jaiana Malabarba, Elisabeth Chevreau, Nicolas Dousset, Florian Veillet, Julie Moizan and Emilie Vergne
Int. J. Mol. Sci. 2021, 22(1), 319; https://doi.org/10.3390/ijms22010319 - 30 Dec 2020
Cited by 71 | Viewed by 7922
Abstract
Despite recent progress, the application of CRISPR/Cas9 in perennial plants still has many obstacles to overcome. Our previous results with CRISPR/Cas9 in apple and pear indicated the frequent production of phenotypic and genotypic chimeras, after editing of the phytoene desaturase (PDS) [...] Read more.
Despite recent progress, the application of CRISPR/Cas9 in perennial plants still has many obstacles to overcome. Our previous results with CRISPR/Cas9 in apple and pear indicated the frequent production of phenotypic and genotypic chimeras, after editing of the phytoene desaturase (PDS) gene conferring albino phenotype. Therefore, our first objective was to determine if adding an adventitious regeneration step from leaves of the primary transgenic plants (T0) would allow a reduction in chimerism. Among hundreds of adventitious buds regenerated from a variegated T0 line, 89% were homogeneous albino. Furthermore, the analysis of the target zone sequences of twelve of these regenerated lines (RT0 for “regenerated T0” lines) indicated that 99% of the RT0 alleles were predicted to produce a truncated target protein and that 67% of RT0 plants had less heterogeneous editing profiles than the T0. Base editors are CRISPR/Cas9-derived new genome-editing tools that allow precise nucleotide substitutions without double-stranded breaks. Hence, our second goal was to demonstrate the feasibility of CRISPR/Cas9 base editing in apple and pear using two easily scorable genes: acetolactate synthaseALS (conferring resistance to chlorsulfuron) and PDS. The two guide RNAs under MdU3 and MdU6 promoters were coupled into a cytidine base editor harboring a cytidine deaminase fused to a nickase Cas9. Using this vector; we induced C-to-T DNA substitutions in the target genes; leading to discrete variation in the amino-acid sequence and generating new alleles. By co-editing ALS and PDS genes; we successfully obtained chlorsulfuron resistant and albino lines in pear. Overall; our work indicates that a regeneration step can efficiently reduce the initial chimerism and could be coupled with the application of base editing to create accurate genome edits in perennial plants. Full article
(This article belongs to the Section Molecular Genetics and Genomics)
Show Figures

Figure 1

9 pages, 2023 KB  
Article
Confirmation and Characterization of the First Case of Acetolactate Synthase (ALS)-Inhibitor—Resistant Wild Buckwheat (Polygonum convolvulus L.) in the United States
by Balaji Aravindhan Pandian, Abigail Friesen, Martin Laforest, Dallas E. Peterson, P. V. Vara Prasad and Mithila Jugulam
Agronomy 2020, 10(10), 1496; https://doi.org/10.3390/agronomy10101496 - 1 Oct 2020
Cited by 4 | Viewed by 4092
Abstract
Wild buckwheat (Polygonum convolvulus L.) is a problem weed and ALS-inhibitors (e.g., chlorsulfuron) are commonly used for its management. Recently, a population of wild buckwheat (KSW-R) uncontrolled with ALS-inhibitors was found in a wheat field in Kansas, USA. The objectives of this [...] Read more.
Wild buckwheat (Polygonum convolvulus L.) is a problem weed and ALS-inhibitors (e.g., chlorsulfuron) are commonly used for its management. Recently, a population of wild buckwheat (KSW-R) uncontrolled with ALS-inhibitors was found in a wheat field in Kansas, USA. The objectives of this research were to determine the level and mechanism of resistance to chlorsulfuron and cross resistance to other ALS-inhibitors in the KSW-R population. In response to chlorsulfuron rates ranging from 0 to 16x (x = 18 g ai/ha), the KSW-R wild buckwheat was found >100-fold more resistant compared to a known ALS-inhibitor susceptible (KSW-S) wild buckwheat. Also, >90% of KSW-R plants survived field recommended rates of sulfonylurea but not imidazolinone family of ALS-inhibitors. A portion of the ALS gene covering all previously reported mutations known to bestow resistance to ALS-inhibitors was sequenced from both KSW-R and KSW-S plants. The Pro-197-Ser substitution that confers resistance to the sulfonylurea herbicides was found in KSW-R plants. Our results support the evolution of high level of chlorsulfuron resistance as a result of a mutation in the ALS-gene in KSW-R buckwheat. This is the first case of resistance to any herbicides in wild buckwheat in the US. Full article
(This article belongs to the Special Issue Herbicide Resistance in Weed Management)
Show Figures

Graphical abstract

13 pages, 2331 KB  
Article
Protective Responses Induced by Chiral 3-Dichloroacetyl Oxazolidine Safeners in Maize (Zea mays L.) and the Detoxification Mechanism
by Shuang Gao, Yan-Yan Liu, Jing-Yu Jiang, Ying Fu, Li-Xia Zhao, Chun-Yan Li and Fei Ye
Molecules 2019, 24(17), 3060; https://doi.org/10.3390/molecules24173060 - 22 Aug 2019
Cited by 12 | Viewed by 3235
Abstract
Herbicide safeners selectively protect crops from herbicide injury while maintaining the herbicidal effect on the target weed. To some extent, the detoxification of herbicides is related to the effect of herbicide safeners on the level and activity of herbicide target enzymes. In this [...] Read more.
Herbicide safeners selectively protect crops from herbicide injury while maintaining the herbicidal effect on the target weed. To some extent, the detoxification of herbicides is related to the effect of herbicide safeners on the level and activity of herbicide target enzymes. In this work, the expression of the detoxifying enzyme glutathione S-transferase (GST) and antioxidant enzyme activities in maize seedlings were studied in the presence of three potential herbicide safeners: 3-dichloroacetyl oxazolidine and its two optical isomers. Further, the protective effect of chiral herbicide safeners on detoxifying chlorsulfuron in maize was evaluated. All safeners increased the expression levels of herbicide detoxifying enzymes, including GST, catalase (CAT), and peroxidase (POD) to reduce sulfonylurea herbicide phytotoxicity in maize seedlings. Our results indicate that the R-isomer of 3-(dichloroacetyl)-2,2,5-trimethyl-1,3-oxazolidine can induce glutathione (GSH) production, GST activity, and the ability of GST to react with the substrate 1-chloro-2,4-dinitrobenzene (CDNB) in maize, meaning that the R-isomer can protect maize from damage by chlorsulfuron. Information about antioxidative enzyme activity was obtained to determine the role of chiral safeners in overcoming the oxidative stress in maize attributed to herbicides. The interaction of safeners and active target sites of acetolactate synthase (ALS) was demonstrated by molecular docking modeling, which indicated that both isomers could form a good interaction with ALS. Our findings suggest that the detoxification mechanism of chiral safeners might involve the induction of the activity of herbicide detoxifying enzymes as well as the completion of the target active site between the safener and chlorsulfuron. Full article
Show Figures

Graphical abstract

10 pages, 1516 KB  
Communication
Transgene-Free Genome Editing in Tomato and Potato Plants Using Agrobacterium-Mediated Delivery of a CRISPR/Cas9 Cytidine Base Editor
by Florian Veillet, Laura Perrot, Laura Chauvin, Marie-Paule Kermarrec, Anouchka Guyon-Debast, Jean-Eric Chauvin, Fabien Nogué and Marianne Mazier
Int. J. Mol. Sci. 2019, 20(2), 402; https://doi.org/10.3390/ijms20020402 - 18 Jan 2019
Cited by 321 | Viewed by 24504
Abstract
Genome editing tools have rapidly been adopted by plant scientists for gene function discovery and crop improvement. The current technical challenge is to efficiently induce precise and predictable targeted point mutations valuable for crop breeding purposes. Cytidine base editors (CBEs) are CRISPR/Cas9 derived [...] Read more.
Genome editing tools have rapidly been adopted by plant scientists for gene function discovery and crop improvement. The current technical challenge is to efficiently induce precise and predictable targeted point mutations valuable for crop breeding purposes. Cytidine base editors (CBEs) are CRISPR/Cas9 derived tools recently developed to direct a C-to-T base conversion. Stable genomic integration of CRISPR/Cas9 components through Agrobacterium-mediated transformation is the most widely used approach in dicotyledonous plants. However, elimination of foreign DNA may be difficult to achieve, especially in vegetatively propagated plants. In this study, we targeted the acetolactate synthase (ALS) gene in tomato and potato by a CBE using Agrobacterium-mediated transformation. We successfully and efficiently edited the targeted cytidine bases, leading to chlorsulfuron-resistant plants with precise base edition efficiency up to 71% in tomato. More importantly, we produced 12.9% and 10% edited but transgene-free plants in the first generation in tomato and potato, respectively. Such an approach is expected to decrease deleterious effects due to the random integration of transgene(s) into the host genome. Our successful approach opens up new perspectives for genome engineering by the co-edition of the ALS with other gene(s), leading to transgene-free plants harboring new traits of interest. Full article
(This article belongs to the Special Issue Genome Editing in Plants)
Show Figures

Figure 1

11 pages, 916 KB  
Article
Comparison of Herbicides for Control of Diclofop-Resistant Italian Ryegrass in Wheat
by Taghi Bararpour, Ralph R. Hale, Gurpreet Kaur, Jason A. Bond, Nilda R. Burgos, Te-Ming P. Tseng, Tessie H. Wilkerson and Lauren M. Lazaro
Agriculture 2018, 8(9), 135; https://doi.org/10.3390/agriculture8090135 - 1 Sep 2018
Cited by 3 | Viewed by 4583
Abstract
Diclofop-resistant Italian ryegrass (Lolium perenne L. ssp. Multiflorum (Lam.) Husnot) is a dominant weed problem in non-irrigated winter wheat (Triticum aestivum L.) in mid-south USA. Field studies were conducted from 2001 to 2007 to evaluate the efficacy of herbicides for diclofop-resistant [...] Read more.
Diclofop-resistant Italian ryegrass (Lolium perenne L. ssp. Multiflorum (Lam.) Husnot) is a dominant weed problem in non-irrigated winter wheat (Triticum aestivum L.) in mid-south USA. Field studies were conducted from 2001 to 2007 to evaluate the efficacy of herbicides for diclofop-resistant ryegrass control and effect on wheat yield. In 2001 through 2004, chlorsulfuron/metsulfuron at 0.026 kg ha−1 preemergence (PRE) followed by (fb) mesosulfuron at 0.048 kg ha−1 at 4-leaf to 2-tiller ryegrass provided 89% control of diclofop-resistant Italian ryegrass, resulting in the highest wheat yield (3201 kg ha−1). Flufenacet/metribuzin at 0.476 kg ha−1 applied at 1- to 2-leaf wheat had equivalent Italian ryegrass control (87%), but lesser yield (3013 kg ha−1). In 2005–2006, best treatments for Italian ryegrass control were chlorsulfuron/metsulfuron, 0.013 kg ha−1 PRE fb mesosulfuron 0.015 kg ha−1 at 3- to 4-leaf ryegrass (92%); metribuzin, 0.280 kg ha−1 at 2- to 3- leaf wheat fb metribuzin at 2- to 3-tiller ryegrass (94%); chlorsulfuron/metsulfuron (0.026 kg ha−1) (89%); and flufenacet/metribuzin at 1- to 2-leaf wheat (89%). Chlorsulfuron/metsulfuron fb mesosulfuron provided higher yield (3515 kg ha−1) than all other treatments, except metribuzin fb metribuzin. Full article
Show Figures

Figure 1

12 pages, 4126 KB  
Article
Anti-Agglomeration Behavior and Sensing Assay of Chlorsulfuron Based on Acetamiprid-Gold Nanoparticles
by Guangyang Liu, Ruonan Zhang, Lingyun Li, Xiaodong Huang, Tengfei Li, Meng Lu, Donghui Xu and Jing Wang
Nanomaterials 2018, 8(7), 499; https://doi.org/10.3390/nano8070499 - 6 Jul 2018
Cited by 18 | Viewed by 3531
Abstract
Monitoring of low levels of chlorsulfuron in environmental water samples is important. Although several detection methods have been developed, they all have some drawbacks, such as being time-consuming, requiring expensive instruments and experienced operators, and consuming large volumes of organic solvents. There is [...] Read more.
Monitoring of low levels of chlorsulfuron in environmental water samples is important. Although several detection methods have been developed, they all have some drawbacks, such as being time-consuming, requiring expensive instruments and experienced operators, and consuming large volumes of organic solvents. There is an urgent need for a simple, rapid, and inexpensive detection method for chlorsulfuron. Herein, such a method was developed using anti-aggregation of gold nanoparticles (AuNPs) in the presence of acetamiprid in agricultural irrigation water samples. Aggregation of the AuNPs was induced by acetamiprid, and this produced a distinct color change from Bordeaux red to blue. However, the strong hydrogen bonding interaction between chlorsulfuron and acetamiprid could inhibit AuNP aggregation. The effect of chlorsulfuron on the anti-agglomeration behavior of AuNPs was monitored by ultraviolet–visiblespectroscopy (UV-Vis) and the naked eye over a concentration range 0.1–100 mg/L. The detection limit for chlorsulfuron was 0.025 mg/L (signal-to-noise ratio of three). This colorimetric method was successfully applied to the determination of chlorsulfuron in spiked tap water and agricultural irrigation water with satisfactory recoveries (76.3%–94.2%). Full article
Show Figures

Figure 1

10 pages, 3177 KB  
Article
Solvent-Free Synthesis and Safener Activity of Sulfonylurea Benzothiazolines
by Ying Fu, Jing-Yi Wang, Dong Zhang, Yu-Feng Chen, Shuang Gao, Li-Xia Zhao and Fei Ye
Molecules 2017, 22(10), 1601; https://doi.org/10.3390/molecules22101601 - 22 Sep 2017
Cited by 11 | Viewed by 6065
Abstract
A series of novel sulfonylurea benzothiazolines was designed by splicing active groups and bioisosterism. A solvent-free synthetic route was developed for the sulfonylurea benzothiazoline derivatives via the cyclization and carbamylation. All compounds were characterized by IR, 1H-NMR, 13C-NMR, HRMS. The biological [...] Read more.
A series of novel sulfonylurea benzothiazolines was designed by splicing active groups and bioisosterism. A solvent-free synthetic route was developed for the sulfonylurea benzothiazoline derivatives via the cyclization and carbamylation. All compounds were characterized by IR, 1H-NMR, 13C-NMR, HRMS. The biological activity tests indicated the compounds could protect maize against the injury caused by chlorsulfuron to some extent. The molecular docking result showed that the new compound competed with chlorsulfuron to bind with the herbicide target enzyme active site to attain detoxification. Full article
(This article belongs to the Section Organic Chemistry)
Show Figures

Graphical abstract

Back to TopTop