Degradation of 5-Dialkylamino-Substituted Chlorsulfuron Derivatives in Alkaline Soil
Abstract
:1. Introduction
2. Materials and Methods
2.1. Instruments and Materials
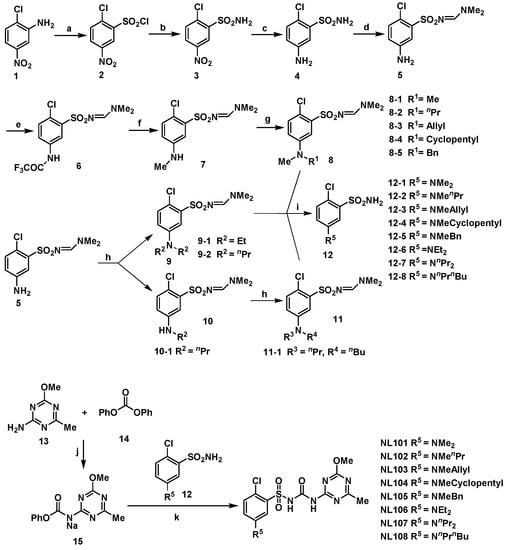
2.2. Compounds NL101-NL108
2.3. Soil Degradation Assay
2.4. Crop Safety Assay
3. Results
3.1. Soil Degradation Results
3.2. Crop Safety Results
4. Discussion
4.1. Soil Degradation Rates
4.2. Crop Safety
5. Conclusions
Supplementary Materials
Author Contributions
Funding
Institutional Review Board Statement
Informed Consent Statement
Data Availability Statement
Conflicts of Interest
Sample Availability
References
- Levitt, G. Discovery of the Sulfonylurea Herbicides. In Synthesis and Chemistry of Agrochemicals II; ACS: Washington, DC, USA, 1991; Volume 443, pp. 16–31. [Google Scholar]
- Brown, H.M.J. Mode of Action, Crop Selectivity, and Soil Relations of the Sulfonylurea Herbicides. Pest. Manag. Sci. 2010, 29, 263–281. [Google Scholar] [CrossRef]
- Yang, L. Analysis of China’s Grain Supply and Demand Balance. Master’s Thesis, Shandong University of Technology, Zibo, China, 2009. (In Chinese). [Google Scholar]
- Qiu, J.; Tang, H.; Frolking, S.; Boles, S.; Qin, X. Mapping Single-, Double-, and Triple-Crop Agriculture in China at 0.5 × 0.5 by Combining County-Scale Census Data with a Remote Sensing-Derived Land Cover Map. Geocarto. Int. 2003, 18, 3–13. [Google Scholar] [CrossRef]
- Yang, Q.; Xue, S.; Zhu, R.; Han, S.; Yang, C. Conservation Tillage Techniques for Two Crops within One Year in North China. Trans. Chin. Soc. Agric. Eng. 2007, 23, 32–39. [Google Scholar]
- Ministry of Agriculture of the People’s Republic of China. Bulletin of the Ministry of Agriculture of the People’s Republic of China; Ministry of Agriculture: Beijing, China, 2014; Announcement No. 2032.
- Anderson, R.L.; Barrett, M.R.J. Residual Phytotoxicity of Chlorsulfuron in Two Soils. J. Environ. Qual. 1985, 14, 111–114. [Google Scholar] [CrossRef]
- Fredrickson, D.; Shea, P. Effect of Soil pH on Degradation, Movement, and Plant Uptake of Chlorsulfuron. Weed Sci. 1986, 34, 328–332. [Google Scholar] [CrossRef]
- Thirunarayanan, K.; Zimdahl, R.; Smika, D. Chlorsulfuron Adsorption and Degradation in Soil. Weed Sci. 1985, 33, 558–563. [Google Scholar] [CrossRef]
- Walker, A.; Cotterill, E.G.; Welch, S.J. Adsorption and Degradation of Chlorsulfuron and Metsulfuron-Methyl in Soils from Different Depths. Weed Res. 1989, 29, 281–287. [Google Scholar] [CrossRef]
- Hua, X.W.; Zhou, S.; Chen, M.G.; Wei, W.; Liu, M.; Lei, K.; Zhou, S.; Li, Y.H.; Wang, B.L.; Li, Z.M. Controllable Effect of Structural Modification of Sulfonylurea Herbicides on Soil Degradation. Chin. J. Chem. 2016, 34, 1135–1142. [Google Scholar] [CrossRef]
- Hua, X.W.; Chen, M.G.; Zhou, S.; Zhang, D.K.; Liu, M.; Zhou, S.; Liu, J.B.; Lei, K.; Song, H.B.; Li, Y.H.; et al. Research on Controllable Degradation of Sulfonylurea Herbicides. RSC Adv. 2016, 6, 23038–23047. [Google Scholar] [CrossRef]
- Meng, F.F.; Wu, L.; Gu, Y.C.; Zhou, S.; Li, Y.H.; Chen, M.G.; Zhou, S.; Zhao, Y.Y.; Ma, Y.; Li, Z.M. Research on the Controllable Degradation of N-methylamido and Dialkylamino Substituted at the 5th Position of the Benzene Ring in Chlorsulfuron in Acidic Soil. RSC Adv. 2020, 10, 17870–17880. [Google Scholar] [CrossRef]
- Zhou, S.; Hua, X.W.; Wei, W.; Chen, M.G.; Gu, Y.C.; Zhou, S.; Song, H.B.; Li, Z.M. Research on Controllable Alkaline Soil Degradation of 5-Substituted Chlorsulfuron. Chin. Chem. Lett. 2018, 29, 945–948. [Google Scholar] [CrossRef]
- The Institute for the Control of Agrochemicals under the Ministry of Agriculture. Chinese National Standard GB/T 31270.1-2014; Test Guidelines on Environmental Safety Assessment for Chemical Pesticides—Part 1: Transformation in Soils. Ministry of Agriculture: Beijing, China, 2014.
- Zhou, S.; Meng, F.F.; Hua, X.W.; Li, Y.H.; Liu, B.; Wang, B.L.; Chen, J.; Chen, A.L.; Li, Z.M. Research on Controllable Degradation of Novel Sulfonylurea Herbicides in Acidic and Alkaline Soils. J. Agric. Food Chem. 2020, 68, 3017–3025. [Google Scholar] [CrossRef] [PubMed]
- Teaney, S.R.; Armstrong, L.; Bentley, K.; Cotterman, D.; Leep, D.; Liang, P.H.; Powley, C.; Summers, J.; Cranwell, S.; Lichtner, F. DPX-KE459—A New Sulfonylurea for Postemergence Grass and Broadleaf Weed Control in Cereals. In Proceedings of the Brighton Crop Protection Conference–Weeds, Brighton, UK, 20–23 November 1995; Volume 1, pp. 49–56. [Google Scholar]
- Singles, S.K.; Dean, G.M.; Kirkpatrick, D.M.; Mayo, B.C.; Langford-Pollard, A.D.; Barefoot, A.C.; Bramble, F.Q. Fate and Behaviour of Flupyrsulfuron-Methyl in Soil and Aquatic Systems. Pest. Manag. Sci. 1999, 55, 288–300. [Google Scholar] [CrossRef]
- Brigante, M.; Emmelin, C.; Previtera, L.; Baudot, R.; Chovelon, J.M. Abiotic Degradation of Iodosulfuron-Methyl-Ester in Aqueous Solution. J. Agric. Food Chem. 2005, 53, 5347–5352. [Google Scholar] [CrossRef] [PubMed]
- Tang, M.Z.; Guo, Z.Y.; Yuan, M.; Yang, R.B. Degradation Dynamics of Iodosulfuron-Methyl-Sodium in Soils. J. Agro-Environ. Sci. 2005, 24, 724–727. [Google Scholar]
- Wu, W.Z.; Kong, D.Y.; He, J.; Kong, X.J.; Shan, Z.J. Degradation of Foramsulfuron in the Simulated Environment. Environ. Chem. 2016, 35, 439–444. [Google Scholar]
- Rubin, B.; Casida, J.E. R-25788 Effects on Chlorsulfuron Injury and Acetohydroxyacid Synthase Activity. Weed Sci. 1985, 33, 462–468. [Google Scholar] [CrossRef]
- Jovanovic, E.O.; Markovic, S.; Gavrilovic, Z.; Dakic, P. The Broadleaf Weeds in Corn of Crop on Area Southwestern Banat and Their Control. Banat. J. Biotechnol. 2010, 1, 52–55. [Google Scholar]
- Nurse, R.E.; Hamill, A.S.; Swanton, C.J.; Tardif, F.J.; Sikkema, P.H. Weed Control and Yield Response to Foramsulfuron in Corn. Weed Technol. 2007, 21, 453–458. [Google Scholar] [CrossRef]
- Zhou, S. The Research on Novel RyR Insecticides and Sulfonylurea Herbicides with Controllable Degradation. Ph.D. Thesis, Nankai University, Tianjin, China, 2018. (In Chinese). [Google Scholar]





| Soils | Soil Texture | pH | Cation Exchange Capacity (cmol+·kg−1) | Organic Matter (g·kg−1) | Soil Separation (mm)/Mechanical Composition (%) | ||||||||
|---|---|---|---|---|---|---|---|---|---|---|---|---|---|
| Alkaline soils | loam | 8.39 | 7.30 | 19.4 | 1–2 | 0.5–1 | 0.025–0.5 | 0.05–0.02 | 0.02–0.002 | <0.002 | 0.25–0.05 | 2.0–0.05 | 0.05–0.002 |
| 0.795 | 2.46 | 2.33 | 7.90 | 28.6 | 28.2 | 29.7 | 35.3 | 36.5 | |||||
| Compound | HPLC Analysis Condition (Wavelength, Flow Rate, Mobile Phase (v:v)) | Extraction Solvent (v:v) | Additive Concentration (mg·kg−1) | Average Recovery Rate (%) | Coefficient of Variation RSD (%) |
|---|---|---|---|---|---|
| NL101 | 235 nm, 0.65 mL·min−1, CH3OH: H3PO4 (aq) (pH 3.0) = 60: 40 | CH3COCH3: CH2Cl2: THF: H3PO4 (aq) (pH 1.5) = 30: 10: 10: 10 | 5 | 82.42 | 2.39 |
| 2 | 72.52 | 1.94 | |||
| 0.5 | 73.51 | 1.41 | |||
| NL102 | 235 nm, 0.90 mL·min−1, CH3OH: H3PO4 (aq) (pH 3.0) = 78: 22 | CH3COCH3: CH2Cl2: H3PO4 (aq) (pH 1.5) = 40: 5: 5 | 5 | 86.87 | 1.27 |
| 2 | 84.24 | 2.34 | |||
| 0.5 | 81.43 | 2.89 | |||
| NL103 | 235 nm, 0.80 mL·min−1, CH3OH: H3PO4 (aq) (pH 3.0) = 75: 25 | CH3COCH3: CH2Cl2: H3PO4 (aq) (pH 1.5) = 40: 5: 5 | 5 | 88.74 | 0.74 |
| 2 | 87.24 | 0.83 | |||
| 0.5 | 97.58 | 2.05 | |||
| NL104 | 235 nm, 1.0 mL·min−1, CH3OH: H3PO4 (aq) (pH 3.0) = 77: 23 | CH3COCH3: CH2Cl2: H3PO4 (aq) (pH 1.5) = 40: 5: 5 | 5 | 81.41 | 2.46 |
| 2 | 89.43 | 1.93 | |||
| 0.5 | 86.03 | 2.08 | |||
| NL105 | 235 nm, 0.80 mL·min−1, CH3OH: H3PO4 (aq) (pH 3.0) = 78: 22 | CH3COCH3: CH2Cl2: H3PO4 (aq) (pH 1.5) = 40: 5: 5 | 5 | 95.94 | 0.71 |
| 2 | 99.87 | 1.14 | |||
| 0.5 | 105.60 | 1.19 | |||
| NL106 | 235 nm, 0.90 mL·min−1, CH3OH: H3PO4 (aq) (pH 3.0) = 77: 23 | CH3COCH3: CH2Cl2: H3PO4 (aq) (pH 1.5) = 40: 5: 5 | 5 | 82.55 | 1.39 |
| 2 | 85.47 | 2.19 | |||
| 0.5 | 89.19 | 2.84 | |||
| NL107 | 235 nm, 0.90 mL·min−1, CH3OH: H3PO4 (aq) (pH 3.0) = 80: 20 | CH3COCH3: CH2Cl2: H3PO4 (aq) (pH 1.5) = 40: 5: 5 | 5 | 95.07 | 1.32 |
| 2 | 90.97 | 1.31 | |||
| 0.5 | 92.90 | 1.19 | |||
| NL108 | 235 nm, 1.0 mL·min−1, CH3OH: H3PO4 (aq) (pH 3.0) = 82: 18 | CH3COCH3: CH2Cl2: H3PO4 (aq) (pH 1.5) = 40: 5: 5 | 5 | 91.53 | 0.88 |
| 2 | 91.39 | 0.89 | |||
| 0.5 | 96.42 | 1.63 | |||
| Chlorsulfuron | 235 nm, 0.70 mL·min−1, CH3OH: H3PO4 (aq) (pH 3.0) = 62: 38 | CH3COCH3: CH2Cl2: CH3OH: H3PO4 (aq) (pH 1.5): = 40: 5: 10: 10 | 5 | 73.54 | 1.09 |
| 2 | 73.53 | 2.40 | |||
| 0.5 | 81.09 | 1.16 |
| Compound | Kinetic Equations of Soil Degradation | Correlation Coefficient (R2) | DT50 (Days) |
|---|---|---|---|
| NL101 | Ct = 4.95e−0.229t | 0.969 | 3.03 |
| NL102 | Ct = 4.58e−0.123t | 0.990 | 5.66 |
| NL103 | Ct = 4.56e−0.0895t | 0.991 | 7.74 |
| NL104 | Ct = 3.88e−0.0476t | 0.994 | 14.6 |
| NL105 | Ct = 4.97e−0.109t | 0.999 | 6.38 |
| NL106 | Ct = 5.03e−0.108t | 0.973 | 6.39 |
| NL107 | Ct = 4.92e−0.0845t | 0.997 | 8.20 |
| NL108 | Ct = 5.10e−0.0509t | 0.991 | 13.6 |
| Chlorsulfuron | Ct = 4.30e−0.00440t | 0.990 | 158 |
| Compound | Concentration (g·ha−1) | Wheat (Xinong 529) | ||||||||
|---|---|---|---|---|---|---|---|---|---|---|
| Pre. (22 Days after Treatment) | Post. (28 Days after Treatment) | |||||||||
| Fresh Weight g/10 Strains | Analysis of Variance a | Inhibition (%) | Fresh Weight g/10 Strains | Analysis of Variance a | Inhibition (%) | |||||
| 5% | 1% | 5% | 1% | |||||||
| 0 | 3.107 | ab | AB | - | 3.576 | a | A | - | ||
| Chlorsulfuron | 30 | 3.301 | ab | A | 0 | 3.323 | a | A | 7.1 | |
| 60 | 3.263 | ab | A | 0 | 2.152 | b | B | 39.8 | ||
| NL102 | 30 | 3.041 | ab | AB | 2.1 | 0.57 | def | CDE | 78.8 | |
| 60 | 2.952 | abc | AB | 5.0 | 0.463 | ef | DE | 87.0 | ||
| NL103 | 30 | 2.967 | ab | AB | 4.5 | 1.170 | cde | BCDE | 67.3 | |
| 60 | 2.786 | abc | ABC | 10.4 | 1.130 | cde | BCDE | 68.4 | ||
| NL104 | 30 | 3.357 | a | A | 0 | 1.700 | bc | BC | 52.5 | |
| 60 | 3.165 | ab | AB | 0 | 1.601 | bcd | BCD | 55.2 | ||
| NL106 | 30 | 2.095 | def | CD | 32.6 | 1.137 | cde | BCDE | 68.2 | |
| 60 | 2.025 | def | CD | 34.8 | 0.870 | cdef | CDE | 75.7 | ||
| Compound | Concentration (g·ha−1) | Corn (Xindan 66) | ||||||||
|---|---|---|---|---|---|---|---|---|---|---|
| Pre. (16 Days after Treatment) | Post. (23 Days after Treatment) | |||||||||
| Fresh Weight g/5 Strains | Analysis of Variance a | Inhibition (%) | Fresh Weight g/5 Strains | Analysis of Variance a | Inhibition (%) | |||||
| 5% | 1% | 5% | 1% | |||||||
| 0 | 11.599 | a | AB | 9.214 | a | A | - | |||
| Chlorsulfuron | 30 | 7.813 | b | BC | 32.6 | 5.928 | bc | BCD | 35.7 | |
| 60 | 4.463 | c | C | 61.5 | 4.771 | bcde | BCD | 48.2 | ||
| NL102 | 30 | 11.548 | a | AB | 0.4 | 5.146 | bcde | BCD | 44.1 | |
| 60 | 10.949 | ab | AB | 5.6 | 4.291 | cde | BCD | 53.4 | ||
| NL103 | 30 | 12.590 | a | A | 0 | 5.813 | bc | BCD | 36.9 | |
| 60 | 10.593 | ab | AB | 8.7 | 3.571 | de | CD | 61.2 | ||
| NL104 | 30 | 11.832 | a | AB | 0 | 6.517 | b | B | 29.3 | |
| 60 | 11.922 | a | AB | 0 | 5.620 | bcd | BCD | 39.0 | ||
| NL106 | 30 | 11.770 | a | AB | 0 | 5.915 | bc | BCD | 35.8 | |
| 60 | 11.058 | ab | AB | 4.7 | 5.428 | bcd | BCD | 41.1 | ||
| Compound | DT50 (days) | |
|---|---|---|
| Acidic Soil (pH = 5.52) | Alkaline Soil (pH = 8.39) | |
| NL101 | 3.57 | 3.03 |
| NL102 | 5.06 | 5.66 |
| NL103 | 5.78 | 7.74 |
| NL104 | 8.45 | 14.6 |
| NL105 | 9.00 | 6.38 |
| NL106 | 7.30 | 6.39 |
| NL107 | 9.76 | 8.20 |
| NL108 | 7.45 | 13.6 |
| Chlorsulfuron | 13.1 | 158 |
Publisher’s Note: MDPI stays neutral with regard to jurisdictional claims in published maps and institutional affiliations. |
© 2022 by the authors. Licensee MDPI, Basel, Switzerland. This article is an open access article distributed under the terms and conditions of the Creative Commons Attribution (CC BY) license (https://creativecommons.org/licenses/by/4.0/).
Share and Cite
Wu, L.; Gu, Y.-C.; Li, Y.-H.; Meng, F.-F.; Zhou, S.; Li, Z.-M. Degradation of 5-Dialkylamino-Substituted Chlorsulfuron Derivatives in Alkaline Soil. Molecules 2022, 27, 1486. https://doi.org/10.3390/molecules27051486
Wu L, Gu Y-C, Li Y-H, Meng F-F, Zhou S, Li Z-M. Degradation of 5-Dialkylamino-Substituted Chlorsulfuron Derivatives in Alkaline Soil. Molecules. 2022; 27(5):1486. https://doi.org/10.3390/molecules27051486
Chicago/Turabian StyleWu, Lei, Yu-Cheng Gu, Yong-Hong Li, Fan-Fei Meng, Sha Zhou, and Zheng-Ming Li. 2022. "Degradation of 5-Dialkylamino-Substituted Chlorsulfuron Derivatives in Alkaline Soil" Molecules 27, no. 5: 1486. https://doi.org/10.3390/molecules27051486
APA StyleWu, L., Gu, Y.-C., Li, Y.-H., Meng, F.-F., Zhou, S., & Li, Z.-M. (2022). Degradation of 5-Dialkylamino-Substituted Chlorsulfuron Derivatives in Alkaline Soil. Molecules, 27(5), 1486. https://doi.org/10.3390/molecules27051486

