Sign in to use this feature.

Years

Between: -

Subjects

remove_circle_outline
remove_circle_outline
remove_circle_outline
remove_circle_outline
remove_circle_outline
remove_circle_outline
remove_circle_outline

Journals

Article Types

Countries / Regions

Search Results (63)

Search Parameters:
Keywords = chlorophyll absorbance index

Order results
Result details
Results per page
Select all
Export citation of selected articles as:
17 pages, 2079 KB  
Article
Photosynthetic Performance and Gene Expression in Passiflora edulis Under Heat Stress
by Xianqian Niu, Yunqi Xu, Li Jiang, Pengbo Wang, Zhenjie Zhang, Jiaqi Zhang, Xiuxiang Lin, Lijun Du, Yulan Zhang, Qingqing Zhu, Guohua Zheng and Yongyu Li
Horticulturae 2026, 12(1), 44; https://doi.org/10.3390/horticulturae12010044 (registering DOI) - 29 Dec 2025
Abstract
Heat stress caused a stagnation in the growth and development of Passiflora edulis Sims. To investigate the effects of high-temperature stress, this study subjected P. edulis to 40 °C treatment for different durations; the changes in chlorophyll content, chlorophyll fluorescence parameters, photosynthetic parameters, [...] Read more.
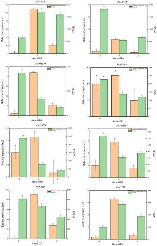
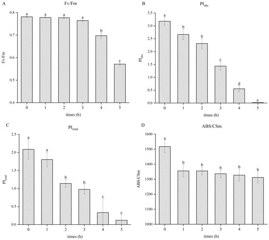
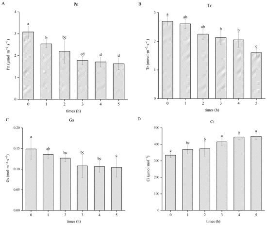
Heat stress caused a stagnation in the growth and development of Passiflora edulis Sims. To investigate the effects of high-temperature stress, this study subjected P. edulis to 40 °C treatment for different durations; the changes in chlorophyll content, chlorophyll fluorescence parameters, photosynthetic parameters, transcriptome profiles, and photosynthesis-related genes of P. edulis under high-temperature stress were analyzed. The results showed that after 5 h of heat stress, the chlorophyll content of the leaves decreased by 31%, variable fluorescence/maximum fluorescence (Fv/Fm) decreased by 26.91%, photochemical performance index (PIabs) by 99.28%, comprehensive performance index (PItotal) by 94.20%, light energy absorbed per unit area (ABS/CSm) by 13.56%, light energy captured per unit area (TRo/CSm) by 17.90% and quantum yield of electron transfer per unit area (ETo/CSm) by 92.61%. The net photosynthetic rate (Pn), transpiration rate (Tr) and stomatal conductance (Gs) decreased by 47%, 41% and 38%, respectively, while intercellular CO2 concentration (Ci) increased by 1.34 times. Transcriptome sequencing results of P. edulis under heat stress identified 2336 differentially expressed genes (DEGs), which were significantly enriched in pathways including chloroplast function and plant hormone signal transduction. GO enrichment analysis demonstrated that DEGs were significantly enriched in terms related to catalytic activity and chloroplast components. Concurrently, KEGG pathway analysis revealed that carbon fixation in photosynthetic organisms was among the key pathways showing significant enrichment of these DEGs. The expression levels of photosynthesis-related genes, including PePSAE, PeMADs, PebHLH, PeFAR1, PePSBS, PePnsB4, PebZIP and PeC2H2, exhibited a significant increase after 3 h of high-temperature stress and rapidly declined following 5 h. These findings lay a foundation for further research on the high-temperature stress response mechanism and photosynthetic regulation of heat tolerance in P. edulis. Full article
(This article belongs to the Section Biotic and Abiotic Stress)
Show Figures

Figure 1

17 pages, 2026 KB  
Article
Fruit Maturity and 1-Methylcyclopropene Influence Quality Retention and Chlorophyll Degradation in ‘Golden Ball’ Apples During Cold Storage
by Nay Myo Win, Jong-Taek Park, Jeong-Hee Kim, Young-Soo Kim, Jung-Geun Kwon, In-Kyu Kang, Jingi Yoo and Dagyeong Kwon
Horticulturae 2025, 11(11), 1302; https://doi.org/10.3390/horticulturae11111302 - 30 Oct 2025
Viewed by 776
Abstract
Fruit quality and skin color are key determinants of apple marketability. This study investigated the effect of fruit maturity and 1-methylcyclopropene (1-MCP) treatment on quality attributes and chlorophyll (Chl) degradation in ‘Golden Ball’ apples during long-term cold storage. Apples were harvested [...] Read more.
Fruit quality and skin color are key determinants of apple marketability. This study investigated the effect of fruit maturity and 1-methylcyclopropene (1-MCP) treatment on quality attributes and chlorophyll (Chl) degradation in ‘Golden Ball’ apples during long-term cold storage. Apples were harvested at two maturity stages—low maturity (LM, starch pattern index [SPI] 6) and high maturity (HM, SPI 8)—based on Cornell’s SPI method, and subsequently treated with 1-MCP (LM+1-MCP and HM+1-MCP) before storage. At harvest, HM fruits exhibited significantly higher soluble solid content (SSC), titratable acidity (TA), red coloration (a*), index of absorbance difference (IAD), and respiration rate compared to LM fruits, although ethylene production, internal ethylene concentration (IEC), and firmness were not affected by maturity stage. During storage, HM fruits showed a more rapid decline in firmness, SSC, and TA, along with increased IEC, respiration rate, and a* value, and reduced IAD and Chl contents. Consistently, expression levels of genes associated with ethylene biosynthesis and Chl degradation were also higher in HM fruits. However, application of 1-MCP effectively suppressed ethylene production and respiration, thereby slowing the deterioration of fruit quality and Chl degradation in both maturity groups. Notably, the LM+1-MCP group demonstrated stronger ethylene inhibition and retained higher Chl levels than the HM+1-MCP group. Overall, the findings demonstrate that applying 1-MCP at the LM stage is a superior strategy for maintaining the postharvest quality of the apples. Full article
Show Figures

Figure 1

24 pages, 9488 KB  
Article
Quantifying the Relationship Between the FPAR and Vegetation Index in Marsh Wetlands Using a 3D Radiative Transfer Model and Satellite Observations
by Anhao Zhong, Xiangyuan Duan, Wenping Jin and Meng Zhang
Remote Sens. 2025, 17(18), 3223; https://doi.org/10.3390/rs17183223 - 18 Sep 2025
Cited by 1 | Viewed by 814
Abstract
Wetland ecosystems, particularly marsh wetlands, are vital for carbon cycling, yet the accurate estimation of the fraction of absorbed photosynthetically active radiation (FPAR) in these environments is challenging due to their complex structure and limited field data. This study employs the large-scale remote [...] Read more.
Wetland ecosystems, particularly marsh wetlands, are vital for carbon cycling, yet the accurate estimation of the fraction of absorbed photosynthetically active radiation (FPAR) in these environments is challenging due to their complex structure and limited field data. This study employs the large-scale remote sensing data and image simulation framework (LESS), a 3D radiative transfer model, to simulate FPAR and vegetation indices (VIs) under controlled conditions, including variations in vegetation types, soil types, chlorophyll content, solar and observation angles, and plant density. By simulating 8064 wetland scenes, we overcame the limitations of field measurements and conducted comprehensive quantitative analyses of the relationship between the FPAR and VI (which is essential for remote sensing-based FPAR estimation). Nine VIs (NDVI, GNDVI, SAVI, RVI, EVI, MTCI, DVI, kNDVI, RDVI) effectively characterized FPAR, with the following saturation thresholds quantified: inflection points (FPAR.inf, where saturation begins) ranged from 0.423 to 0.762 (mean = 0.594) and critical saturation points (FPAR.sat, where saturation is complete) from 0.654 to 0.889 (mean = 0.817). The Enhanced Vegetation Index (EVI) and Soil-Adjusted Vegetation Index (SAVI) showed the highest robustness against saturation and environmental variability for FPAR estimation in reed (Phragmites australis) marshes. These findings provide essential support for FPAR estimation in marsh wetlands and contribute to quantitative studies of wetland carbon cycling. Full article
Show Figures

Figure 1

14 pages, 656 KB  
Article
Growth and Physiological Traits Associated with Water Use Efficiency in Different Popcorn Genotypes Grown Under Water-Stress Conditions
by Emile Caroline Silva Lopes, Paulo Ricardo dos Santos, Luciene Souza Ferreira, Guilherme Augusto Rodrigues de Souza, Weverton Pereira Rodrigues, Samuel Henrique Kamphorst, Valter Jário de Lima, Deivisson Pelegrino de Abreu, Antônio Teixeira do Amaral Junior and Eliemar Campostrini
Crops 2025, 5(5), 57; https://doi.org/10.3390/crops5050057 - 29 Aug 2025
Viewed by 809
Abstract
Climate change may soon impact popcorn productivity. The aim was to assess physiological and growth traits in two popcorn genotypes with different water use efficiency under water-deficit stress. The plants were grown in a greenhouse under either water stress (WS) or non-water stress [...] Read more.
Climate change may soon impact popcorn productivity. The aim was to assess physiological and growth traits in two popcorn genotypes with different water use efficiency under water-deficit stress. The plants were grown in a greenhouse under either water stress (WS) or non-water stress (WW) conditions. Gas exchange, chlorophyll fluorescence, and leaf temperature were assessed every three days, for a total of nine measurements. At the end of the assessment period, growth traits and the SPAD index were evaluated. Our hypotheses were as follows: (a) plants of the P7 genotype (water-efficient agronomic genotype) would take longer than L65 plants (water-inefficient agronomic genotype) to reduce photosynthetic rates under water stress conditions; (b) after re-irrigation, P7 plants would recover photosynthetic capacity with values similar to the period without water stress; and (c) P7 plants would recover photosynthetic capacity faster than L65 plants when subjected to the same period of water stress. The P7 genotype (agronomic water-efficient genotype) absorbed water more quickly due to higher root biomass, root length, and root volume. Yet, at 14 days after suspending irrigation (DASI), the P7 genotype had the lowest net CO2 assimilation rate (Anet), stomatal conductance (gs), and transpiration rates (E) values. However, L65 (agronomic water-inefficient genotype) had the lowest Anet, gs, and E values only at 17 DASI. As a consequence of stomatal closure in both genotypes, the E rates were reduced, and there was an increase in leaf temperature for WS plants, while L65 had higher leaf temperature at maximum water stress. No photochemical damage was detected, indicating that the reduced Anet in WS was likely due to stomatal limitations and biochemical disturbances in both genotypes. Photosynthetic recovery occurred gradually, with full restoration of rates in both genotypes at the end of the experiment. Although our initial hypothesis expected the P7 genotype to maintain photosynthesis longer under water stress, our findings showed an earlier decline in Anet compared to L65. This result is likely due to the large root system of P7 exhausting the limited soil water more rapidly in pot conditions, accelerating the onset of stress. Full article
Show Figures

Figure 1

23 pages, 2768 KB  
Article
Evolution of Non-Destructive and Destructive Peach ‘Redhaven’ Quality Traits During Maturation
by Marko Vuković, Dejan Ljubobratović, Maja Matetić, Marija Brkić Bakarić, Slaven Jurić and Tomislav Jemrić
Agronomy 2025, 15(6), 1476; https://doi.org/10.3390/agronomy15061476 - 17 Jun 2025
Cited by 1 | Viewed by 1333
Abstract
The main goal of this study was to investigate and better understand the evolution of the main non-destructive and destructive quality parameters of peach ‘Redhaven’ during ripening process. This study was conducted from 8 to 21 July 2023, during which peaches ‘Redhaven’ were [...] Read more.
The main goal of this study was to investigate and better understand the evolution of the main non-destructive and destructive quality parameters of peach ‘Redhaven’ during ripening process. This study was conducted from 8 to 21 July 2023, during which peaches ‘Redhaven’ were harvested each second day from a commercial orchard located in Novaki Bistranjski. Maturity categories were defined according to different firmness thresholds: maturity for long-distance chain stores (H1), maturity for medium-distance chain stores (H2), maturity below the defined maximum firmness in order to preserve optimal quality traits (H3), ready to buy (H4), ready to eat (H5), and overripe (H6). The chlorophyll absorbance index was the non-destructive parameter that was mostly distinguished between maturity categories (r = 0.78 with firmness), followed by a* and h° ground colour parameters. During the first three maturity categories (H1–H3), firmness had a notably smaller correlation with titratable acidity and the ratio of total soluble solids and titratable acidity, which is not the case for a* and h° ground colour parameters, chlorophyll absorbance index, and the share of additional colour. During the last three maturity categories (H4–H6), non-destructive parameters are not reliable for maturity prediction. When ground colour parameters are measured near petiole insertion, mostly smaller segregation between maturity categories is obtained compared to when measured at the rest of the fruit. Total polyphenol and flavonoid content in peach juice notably corelated only in the last two maturity categories with L* ground colour parameter. Full article
Show Figures

Figure 1

15 pages, 495 KB  
Article
Evaluating Maturity Index IAD for Storability Potential in Mid-Season and Late-Season Apple Cultivars in the Light of Climate Change
by Joakim Sjöstrand, Ibrahim Tahir, Henrik Stridh and Marie E. Olsson
Agriculture 2025, 15(8), 889; https://doi.org/10.3390/agriculture15080889 - 19 Apr 2025
Cited by 1 | Viewed by 1080
Abstract
Reducing food losses in apple production is becoming increasingly important, as the effects of climate change constitute a challenge to food production. Improving methods for determining fruit maturity at harvest leading to the longest storability is crucial, thereby facing more unpredictable seasonal weather [...] Read more.
Reducing food losses in apple production is becoming increasingly important, as the effects of climate change constitute a challenge to food production. Improving methods for determining fruit maturity at harvest leading to the longest storability is crucial, thereby facing more unpredictable seasonal weather conditions. In addition, the increasing temperature is affecting common maturity indices differently; thus, present practice may not be valid. In this study, a non-destructive, time-efficient method was used, tentatively indicating maturity. This study was performed during three climate-diverse years, reflecting more irregular climate conditions. Mid- to late-season cultivars ‘Frida’, ‘Ingrid Marie’, ‘Rubinstar’, and ‘Elise’ were harvested at different pre-determined IAD (index of absorbance difference) intervals and stored for five months. Correlations between IAD values at harvest and total losses after storage were found for all cultivars and years, while only a few correlations related to firmness after storage were found. Although a strong effect of year was related to correlations between IAD and different quality parameters, no noticeably general differences could be found between the exceptionally warm year in comparison to the other investigated years. IAD, as a maturity index, thus, seems to be resilient to changing temperatures and can be used as a complementary maturity index. Full article
(This article belongs to the Section Agricultural Product Quality and Safety)
Show Figures

Figure 1

38 pages, 130318 KB  
Project Report
Remote Sensing Applications for Pasture Assessment in Kazakhstan
by Gulnara Kabzhanova, Ranida Arystanova, Anuarbek Bissembayev, Asset Arystanov, Janay Sagin, Beybit Nasiyev and Aisulu Kurmasheva
Agronomy 2025, 15(3), 526; https://doi.org/10.3390/agronomy15030526 - 21 Feb 2025
Cited by 5 | Viewed by 5528
Abstract
Kazakhstan’s pasture, as a spatially extended agricultural resource for sustainable animal husbandry, requires effective monitoring with connected rational uses. Ranking number nine globally in terms of land size, Kazakhstan, with an area of about three million square km, requires proper assessment technologies for [...] Read more.
Kazakhstan’s pasture, as a spatially extended agricultural resource for sustainable animal husbandry, requires effective monitoring with connected rational uses. Ranking number nine globally in terms of land size, Kazakhstan, with an area of about three million square km, requires proper assessment technologies for climate change and anthropogenic impact to track the pasture lands’ degradation. Remote sensing (RS)-based adaptive approaches for assessing pasture load, combined with field cross-checking of pastures, have been applied to evaluate the quality of vegetation cover, economic potential, service function, regenerative capacity, pasture productivity, and changes in plant species composition for five pilot regions in Kazakhstan. The current stages of these efforts are presented in this project report. The pasture lands in five regions, including Pavlodar (8,340,064 ha), North Kazakhstan (2,871,248 ha), Akmola (5,783,503 ha), Kostanay (11,762,318 ha), Karaganda (19,709,128 ha), and Ulytau (18,260,865 ha), were evaluated. Combined RS data were processed and the Normalized Difference Vegetation Index (NDVI), Leaf Area Index (LAI), Fraction of Vegetation Cover (FCover), Fraction of Absorbed Photosynthetically Active Radiation (FAPAR), Canopy Chlorophyll Content (CCC), and Canopy Water Content (CWC) indices were determined, in relation to the herbage of pastures and their growth and development, for field biophysical analysis. The highest values of LAI, FCOVER, and FARAR were recorded in the Akmola region, with index values of 18.5, 126.42, and 53.9, and the North Kazakhstan region, with index values of 17.89, 143.45, and 57.91, respectively. The massive 2024 spring floods, which occurred in the Akmola, North Kazakhstan, Kostanay, and Karaganda regions, caused many problems, particularly to civil constructions and buildings; however, these same floods had a very positive impact on pasture areas as they increased soil moisture. Further detailed investigations are ongoing to update the flood zones, wetlands, and swamp areas. The mapping of proper flood zones is required in Kazakhstan for pasture activities, rather than civil building construction. The related sustainable permissible grazing husbandry pasture loads are required to develop also. Recommendations for these preparation efforts are in the works. Full article
(This article belongs to the Special Issue Remote Sensing Applications in Crop Monitoring and Modelling)
Show Figures

Figure 1

17 pages, 3052 KB  
Article
Insights into the Photosynthetic Efficiency and Chloroplast Ultrastructure of Heat-Stressed Edamame Cultivars During the Reproductive Stages
by Makoena Joyce Moloi, Csilla Tóth, Arslan Hafeez and Brigitta Tóth
Agronomy 2025, 15(2), 301; https://doi.org/10.3390/agronomy15020301 - 25 Jan 2025
Cited by 4 | Viewed by 2213
Abstract
High temperatures have adverse impacts on the photosynthetic efficiency and yield of many crop plants. This study investigated how high temperatures affect the photosynthetic efficiency parameters and chloroplast ultrastructure of three edamame cultivars (AGS354, UVE17, and UVE14) at the reproductive stages (flowering and [...] Read more.
High temperatures have adverse impacts on the photosynthetic efficiency and yield of many crop plants. This study investigated how high temperatures affect the photosynthetic efficiency parameters and chloroplast ultrastructure of three edamame cultivars (AGS354, UVE17, and UVE14) at the reproductive stages (flowering and pod-filling). Heat stress (HS) treatments were performed under controlled conditions in climate chambers set at 25/18 °C (control), 30/23 °C (HS-I), and 35/28 °C (HS-II). The AGS354 cultivar exhibited the greatest susceptibility under HS-II treatment, characterised by a reduction in the photochemical reactions, decreased chlorophyll-a (chl-a) and carotenoid accumulation, the highest increase in the starch grain traits, and reduced plastoglobule and grana area traits. In UVE 14 and UVE17, the HS-II treatment enhanced chl-a and chl-b accumulation. Elevated carotenoid levels in UVE14 and UVE17 likely protected chlorophyll from degradation and mitigated photooxidative damage. The HS-II treatment also enhanced the grana traits, supporting improved light-harvesting capacity during heat stress in UVE14 and 17. However, heat stress disrupted the photochemical reactions (quantum efficiency of photosystem II, performance index absorbance, and performance index), indicating that elevated carotenoids alone do not exhibit complete tolerance to heat stress. Since plastoglobules play an essential in carotenoid biosynthesis, increased or stabilised plastoglobule traits in UVE14 and UVE17 under HS-II treatment strongly indicate improved heat stress tolerance. Overall, UVE14 and UVE17 emerged as the most heat-tolerant cultivars, with AGS354 being the most susceptible. These findings provide valuable insights into heat stress adaptation mechanisms and suggest the UVE14 and UVE17 cultivars as potential candidates for breeding heat-tolerant edamame cultivars. Full article
(This article belongs to the Section Plant-Crop Biology and Biochemistry)
Show Figures

Figure 1

18 pages, 5856 KB  
Article
Alleviating Effects of Methyl Jasmonate on Pepper (Capsicum annuum L.) Seedlings under Low-Temperature Combined with Low-Light Stress
by Kaiguo Pu, Nenghui Li, Yanqiang Gao, Miao Zhang, Tiantian Wang, Jianming Xie and Jing Li
Plants 2024, 13(19), 2694; https://doi.org/10.3390/plants13192694 - 26 Sep 2024
Cited by 6 | Viewed by 1892
Abstract
Low temperature combined with low light (LL) is an important factor limiting pepper quality and yield. ‘Hang Jiao No. 2′ were used as experimental materials, and different concentrations of MeJA (T1 (0 μM), T2 (100 μM), T3 (150 μM), T4 (200 μM), T5 [...] Read more.
Low temperature combined with low light (LL) is an important factor limiting pepper quality and yield. ‘Hang Jiao No. 2′ were used as experimental materials, and different concentrations of MeJA (T1 (0 μM), T2 (100 μM), T3 (150 μM), T4 (200 μM), T5 (250 μM) and T6 (300 μM)) were sprayed under LL stress to explore the positive effect of exogenous methyl jasmonate (MeJA) on peppers under LL stress. The photosynthetic properties, osmoregulatory substance, reactive oxygen species, antioxidant enzyme activities, and related gene expressions of the peppers were measured. Our results demonstrated that 200 μM MeJA treatment significantly increased chlorophyll content, light quantum flux per active RC electron transfer (Eto/RC), maximum captured photonic flux per active RC (TRo/RC), energy flux for electron transfer in the excitation cross section (Eto/CSm), energy flux captured by absorption in the excitation cross section (TRo/CSm), soluble protein, and soluble sugar content. Moreover, it significantly improved the maximum photochemical efficiency of PSII (Fv/Fm) and performance index based on absorbed light energy (PI (abs)) by 56.77% and 67.00%, respectively, and significantly decreased malondialdehyde (MDA) content and relative conductivity by 30.55% and 28.17%, respectively. Additionally, antioxidant enzyme activities were elevated, and the expression of the related genes was activated in pepper seedlings under stress, leading to a significant reduction in reactive oxygen species content. In conclusion, our findings confirmed that 200 μM MeJA could reduce the injury of LL to pepper leaves to the photosynthetic organs of pepper leaves, protect the integrity of the cell membrane, and further improve the tolerance of pepper seedlings to LL. Full article
(This article belongs to the Section Plant Response to Abiotic Stress and Climate Change)
Show Figures

Figure 1

20 pages, 2254 KB  
Article
Monitoring of Wheat Stripe Rust Using Red SIF Modified by Pseudokurtosis
by Xia Jing, Qixing Ye, Bing Chen, Bingyu Li, Kaiqi Du and Yiyang Xue
Agronomy 2024, 14(8), 1698; https://doi.org/10.3390/agronomy14081698 - 1 Aug 2024
Viewed by 1416
Abstract
Red solar-induced chlorophyll fluorescence (SIFB) is closely related to the photosynthetically active radiation absorbed by chlorophyll. The scattering and reabsorption of SIFB by the vegetation canopy significantly change the spectral intensity and shape of SIF, which affects the relationship between [...] Read more.
Red solar-induced chlorophyll fluorescence (SIFB) is closely related to the photosynthetically active radiation absorbed by chlorophyll. The scattering and reabsorption of SIFB by the vegetation canopy significantly change the spectral intensity and shape of SIF, which affects the relationship between SIF and crop stress. To address this, we propose a method of modifying SIFB using SIF spectral shape characteristic parameters to reduce this influence. A red pseudokurtosis (PKB) parameter that can characterize spectral shape features was calculated using full-spectrum SIF data. On this basis, we analyzed the photosynthetic physiological mechanism of PKB and found that it significantly correlates with both the fraction of photosynthetically active radiation absorbed by chlorophyll(fPARchl) and the red SIF escape rate (fesc680); thus, it is closely related to the scattering and reabsorption of SIFB by the vegetation canopy. Consequently, we constructed an expression of PKB to modify SIFB. To evaluate the modified SIFB (MSIFB) in monitoring the severity of wheat stripe rust, we analyzed the correlations between SIFB, MSIFB, SIFB-VIs (a fusion of the vegetation index and SIFB), and MSIFB-VIs (a fusion of the vegetation index and MSIFB) with the severity level (SL), respectively. The results show that the correlation between MSIFB and the severity of wheat stripe rust increased by an average of 25.6% and at least 16.95% compared with that for SIFB. In addition, we constructed remote sensing monitoring models for wheat stripe rust using linear regression methods, with SIFB, MSIFB, SIFB-VIs, and MSIFB-VIs as independent variables. PKB significantly improves the accuracy and robustness of models based on SIFB and its fusion index SIFB-VIs in the constructed testing set. The R-value between the predicted SL and the measured SL of the remote sensing monitoring model for wheat stripe rust was established using MSIFB-VIs as the independent variable, and it was improved by an average of 39.49% compared with the model using SIFB-VIs. The RMSE was reduced by an average of 18.22%. Therefore, the SIFB modified by PKB can weaken the effects of chlorophyll reabsorption and canopy architecture on SIFB and improve the ability of SIFB to detect stress information. Full article
(This article belongs to the Section Pest and Disease Management)
Show Figures

Figure 1

27 pages, 14277 KB  
Article
Validation and Conformity Testing of Sentinel-3 Green Instantaneous FAPAR and Canopy Chlorophyll Content Products
by Fernando Camacho, Enrique Martínez-Sánchez, Luke A. Brown, Harry Morris, Rosalinda Morrone, Owen Williams, Jadunandan Dash, Niall Origo, Jorge Sánchez-Zapero and Valentina Boccia
Remote Sens. 2024, 16(15), 2698; https://doi.org/10.3390/rs16152698 - 23 Jul 2024
Cited by 5 | Viewed by 2075
Abstract
This article presents validation and conformity testing of the Sentinel-3 Ocean Land Colour Instrument (OLCI) green instantaneous fraction of absorbed photosynthetically active radiation (FAPAR) and OLCI terrestrial chlorophyll index (OTCI) canopy chlorophyll content (CCC) products with fiducial reference measurements (FRM) collected in 2018 [...] Read more.
This article presents validation and conformity testing of the Sentinel-3 Ocean Land Colour Instrument (OLCI) green instantaneous fraction of absorbed photosynthetically active radiation (FAPAR) and OLCI terrestrial chlorophyll index (OTCI) canopy chlorophyll content (CCC) products with fiducial reference measurements (FRM) collected in 2018 and 2021 over two sites (Las Tiesas—Barrax, Spain, and Wytham Woods, UK) in the context of the European Space Agency (ESA) Fiducial Reference Measurement for Vegetation (FRM4Veg) initiative. Following metrological principles, an end-to-end uncertainty evaluation framework developed in the project is used to account for the uncertainty of reference data based on a two-stage validation approach. The process involves quantifying uncertainties at the elementary sampling unit (ESU) level and incorporating these uncertainties in the upscaling procedures using orthogonal distance regression (ODR) between FRM and vegetation indices derived from Sentinel-2 data. Uncertainties in the Sentinel-2 data are also accounted for. FRM-based high spatial resolution reference maps and their uncertainties were aggregated to OLCI’s native spatial resolution using its apparent point spread function (PSF). The Sentinel-3 mission requirements, which give an uncertainty of 5% (goal) and 10% (threshold), were considered for conformity testing. GIFAPAR validation results revealed correlations > 0.95, RMSD ~0.1, and a slight negative bias (~−0.06) for both sites. This bias could be partly explained by the differences in the FAPAR definitions between the satellite product and the FRM-based reference. For the OTCI-based CCC, leave-one-out cross-validation demonstrated correlations > 0.8 and RMSDcv ~0.28 g·m−2. Despite the encouraging validation results, conclusive conformity with the strict mission requirements was low, with most cases providing inconclusive results (driven by large uncertainties in the satellite products as well as by the uncertainties in the upscaling approach). It is recommended that mission requirements for bio-geophysical products are reviewed, at least at the threshold level. It is also suggested that the large uncertainties associated with the two-stage validation approach may be avoided by directly comparing with spatially representative FRM. Full article
Show Figures

Figure 1

18 pages, 1411 KB  
Article
Management of Secondary Metabolite Synthesis and Biomass in Basil (Ocimum basilicum L.) Microgreens Using Different Continuous-Spectrum LED Lights
by Mohammad Reza Fayezizadeh, Naser Alemzadeh Ansari, Mohammad Mahmoodi Sourestani, Masayuki Fujita and Mirza Hasanuzzaman
Plants 2024, 13(10), 1394; https://doi.org/10.3390/plants13101394 - 17 May 2024
Cited by 10 | Viewed by 2381
Abstract
Different LED light spectra (LS) are absorbed by different plant photoreceptors and can control biomass and plant secondary metabolite synthesis. In this study, the effects of continuous-spectrum LED lights (red, blue, white, red + blue, and 12 h blue + 12 h red) [...] Read more.
Different LED light spectra (LS) are absorbed by different plant photoreceptors and can control biomass and plant secondary metabolite synthesis. In this study, the effects of continuous-spectrum LED lights (red, blue, white, red + blue, and 12 h blue + 12 h red) on the production value, antioxidant compounds, and biomass of basil (Ocimum basilicum L.) microgreens (Red Rubin, Violeto, and Kapoor cultivars and the Ablagh genotype) were investigated. The results showed significant effects of LS on cultivar (Cv) and the interaction of LS and Cv on the studied traits. The highest quantitys of chlorophyll a, total chlorophyll, and nitrate were obtained in Violeto under blue lighting. Red lighting enhanced starch synthesis in Red Rubin and flavonoids in the Violeto Cv. The highest biomass (4.54 kg m−2) was observed in the Ablagh genotype and the highest carbohydrate synthesis in Violeto Cv in the red + blue treatment. The highest anthocyanin content (26.33 mg 100 g−1 FW) was observed for Red Rubin Cv under 12 h blue + 12 h red light. The greatest antioxidant capacity (83.57% inhibition), the highest levels of phenolic compounds (2027.25 mg GA 100 g−1 FW), vitamin C (405.76 mg 100 g−1 FW), proline, antioxidant potential composite index (APCI), and the greatest production values were obtained for the Ablagh genotype under blue lighting. Taken together, the experiment findings indicate that growing the Ablagh genotype under continuous blue lighting can increase the antioxidant capacity, phenolic compounds, and vitamin C and that this LED light spectrum can be used as a practical method to produce basil microgreens with high nutritional health value. Full article
(This article belongs to the Collection Feature Papers in Plant Physiology and Metabolism)
Show Figures

Figure 1

19 pages, 5422 KB  
Article
Assessing the Potential for Photochemical Reflectance Index to Improve the Relationship between Solar-Induced Chlorophyll Fluorescence and Gross Primary Productivity in Crop and Soybean
by Jidai Chen, Lizhou Huang, Qinwen Zuo and Jiasong Shi
Atmosphere 2024, 15(4), 463; https://doi.org/10.3390/atmos15040463 - 9 Apr 2024
Viewed by 1792
Abstract
Photosynthesis is influenced by dynamic energy allocation under various environmental conditions. Solar-induced chlorophyll fluorescence (SIF), an important pathway for dissipating absorbed energy, has been extensively used to evaluate gross primary productivity (GPP). However, the potential for photochemical reflectance index (PRI), as an indicator [...] Read more.
Photosynthesis is influenced by dynamic energy allocation under various environmental conditions. Solar-induced chlorophyll fluorescence (SIF), an important pathway for dissipating absorbed energy, has been extensively used to evaluate gross primary productivity (GPP). However, the potential for photochemical reflectance index (PRI), as an indicator of non-photochemical quenching (NPQ), to improve the SIF-based GPP estimation, has not been thoroughly investigated. In this study, using continually tower-based observations, we examined how PRI affected the link between SIF and GPP for corn and soybean at half-hourly and daily timescales. The relationship of GPP to SIF and PRI is impacted by stress indicated by vapor pressure deficit (VPD) and crop water stress index (CWSI). Moreover, the ratio of GPP to SIF of corn was more sensitive to PRI compared to soybean. Whether in Pearson or Partial correlation analysis, the relationships of PRI to the ratio of GPP to SIF were almost all significant, regardless of controlling structural-physiological (stomatal conductance, vegetation indices) and environmental variables (light intensity, etc.). Therefore, PRI significantly affects the SIF–GPP relationship for corn (r > 0.31, p < 0.01) and soybean (r > 0.22, p < 0.05). After combining SIF and PRI using the multi-variable linear model, the GPP estimation has been largely improved (the coefficient of determination, abbreviated as R2, increased from 0.48 to 0.49 to 0.78 to 0.84 and the Root Mean Square Error, abbreviated as RMSE, decreased from 6.38 to 10.22 to 3.56 to 6.60 μmol CO2·m2·s1 for corn, R2 increased from 0.54 to 0.62 to 0.78 to 0.82 and RMSE decreased from 6.25 to 9.59 to 4.34 to 6.60 μmol CO2·m2·s1 for soybean). It suggests that better GPP estimations for corn and soybean can be obtained when SIF is combined with PRI. Full article
(This article belongs to the Special Issue Agrometeorology and Remote Sensing of Land–Atmosphere)
Show Figures

Figure 1

19 pages, 3274 KB  
Article
N2 Fixation, N Transfer, and Land Equivalent Ratio (LER) in Grain Legume–Wheat Intercropping: Impact of N Supply and Plant Density
by Sebastian Salinas-Roco, Amanda Morales-González, Soledad Espinoza, Ricardo Pérez-Díaz, Basilio Carrasco, Alejandro del Pozo and Ricardo A. Cabeza
Plants 2024, 13(7), 991; https://doi.org/10.3390/plants13070991 - 30 Mar 2024
Cited by 15 | Viewed by 6835
Abstract
Intercropping legumes with cereals can lead to increased overall yield and optimize the utilization of resources such as water and nutrients, thus enhancing agricultural efficiency. Legumes possess the unique ability to acquire nitrogen (N) through both N2 fixation and from the available [...] Read more.
Intercropping legumes with cereals can lead to increased overall yield and optimize the utilization of resources such as water and nutrients, thus enhancing agricultural efficiency. Legumes possess the unique ability to acquire nitrogen (N) through both N2 fixation and from the available N in the soil. However, soil N can diminish the N2 fixation capacity of legumes. It is postulated that in intercropping, legumes uptake N mainly through N2 fixation, leaving more soil N available for cereals. The latter, in turn, has larger root systems, allowing it to explore greater soil volume and absorb more N, mitigating its adverse effects on N2 fixation in legumes. The goal of this study was to evaluate how the supply of N affects the intercropping of faba beans (Vicia faba L.) and peas (Pisum sativum L.) with wheat under varying plant densities and N levels. We measured photosynthetic traits, biomass production, the proportion of N derived from air (%Ndfa) in the shoot of the legumes, the N transferred to the wheat, and the land equivalent ratio (LER). The results revealed a positive correlation between soil N levels and the CO2 assimilation rate (An), chlorophyll content, and N balance index (NBI) in wheat. However, no significant effect was observed in legumes as soil N levels increased. Transpiration (E) increased in wheat intercropped with legumes, while stomatal conductance (gs) increased with N addition in all crops. Water use efficiency (WUE) decreased in faba beans intercropped with wheat as N increased, but it showed no significant change in wheat or peas. The shoot dry matter of wheat increased with the addition of N; however, the two legume species showed no significant changes. N addition reduced the %Ndfa of both legume species, especially in monoculture, with peas being more sensitive than faba beans. The intercropping of wheat alleviated N2 fixation inhibition, especially at high wheat density and increased N transfer to wheat, particularly with peas. The LER was higher in the intercropping treatments, especially under limited N conditions. It is concluded that in the intercropping of wheat with legumes, the N2 fixation inhibition caused by soil N is effectively reduced, as well as there being a significant N transfer from the legume to the wheat, with both process contributing to increase LER. Full article
(This article belongs to the Special Issue Strategies for Nutrient Use Efficiency Improvement in Plants)
Show Figures

Figure 1

27 pages, 8398 KB  
Article
Gaussian Process Regression Hybrid Models for the Top-of-Atmosphere Retrieval of Vegetation Traits Applied to PRISMA and EnMAP Imagery
by Ana B. Pascual-Venteo, Jose L. Garcia, Katja Berger, José Estévez, Jorge Vicent, Adrián Pérez-Suay, Shari Van Wittenberghe and Jochem Verrelst
Remote Sens. 2024, 16(7), 1211; https://doi.org/10.3390/rs16071211 - 29 Mar 2024
Cited by 14 | Viewed by 4356
Abstract
The continuous monitoring of the terrestrial Earth system by a growing number of optical satellite missions provides valuable insights into vegetation and cropland characteristics. Satellite missions typically provide different levels of data, such as level 1 top-of-atmosphere (TOA) radiance and level 2 bottom-of-atmosphere [...] Read more.
The continuous monitoring of the terrestrial Earth system by a growing number of optical satellite missions provides valuable insights into vegetation and cropland characteristics. Satellite missions typically provide different levels of data, such as level 1 top-of-atmosphere (TOA) radiance and level 2 bottom-of-atmosphere (BOA) reflectance products. Exploiting TOA radiance data directly offers the advantage of bypassing the complex atmospheric correction step, where errors can propagate and compromise the subsequent retrieval process. Therefore, the objective of our study was to develop models capable of retrieving vegetation traits directly from TOA radiance data from imaging spectroscopy satellite missions. To achieve this, we constructed hybrid models based on radiative transfer model (RTM) simulated data, thereby employing the vegetation SCOPE RTM coupled with the atmosphere LibRadtran RTM in conjunction with Gaussian process regression (GPR). The retrieval evaluation focused on vegetation canopy traits, including the leaf area index (LAI), canopy chlorophyll content (CCC), canopy water content (CWC), the fraction of absorbed photosynthetically active radiation (FAPAR), and the fraction of vegetation cover (FVC). Employing band settings from the upcoming Copernicus Hyperspectral Imaging Mission (CHIME), two types of hybrid GPR models were assessed: (1) one trained at level 1 (L1) using TOA radiance data and (2) one trained at level 2 (L2) using BOA reflectance data. Both the TOA- and BOA-based GPR models were validated against in situ data with corresponding hyperspectral data obtained from field campaigns. The TOA-based hybrid GPR models revealed a range of performance from moderate to optimal results, thus reaching R2 = 0.92 (LAI), R2 = 0.72 (CCC) and 0.68 (CWC), R2 = 0.94 (FAPAR), and R2 = 0.95 (FVC). To demonstrate the models’ applicability, the TOA- and BOA-based GPR models were subsequently applied to imagery from the scientific precursor missions PRISMA and EnMAP. The resulting trait maps showed sufficient consistency between the TOA- and BOA-based models, with relative errors between 4% and 16% (R2 between 0.68 and 0.97). Altogether, these findings illuminate the path for the development and enhancement of machine learning hybrid models for the estimation of vegetation traits directly tailored at the TOA level. Full article
(This article belongs to the Section Remote Sensing in Agriculture and Vegetation)
Show Figures

Figure 1

Back to TopTop