Assessing the Potential for Photochemical Reflectance Index to Improve the Relationship between Solar-Induced Chlorophyll Fluorescence and Gross Primary Productivity in Crop and Soybean
Abstract
1. Introduction
2. Materials and Methods
2.1. Site Description
2.2. Spectral and Flux Measurements
2.3. SIF Retrievals and Downscaling
2.4. Calculation of PRI
2.5. Indicator for Stress
2.6. Estimation of Canopy Stomatal Conductance
2.7. Analysis
3. Results
3.1. Changes of PRI, SIF and GPP for Corn and Soybean
3.1.1. Seasonal Changes of PRI, SIF and GPP
3.1.2. Seasonal Changes of PRI, SIF and GPP
3.2. Special Role of PRI in the SIF–GPP Relationship for Corn and Soybean
3.2.1. Linear Relationship of SIF to GPP for Corn and Soybean
3.2.2. Relationships between PRI and SIF for Corn and Soybean
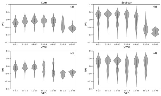
3.2.3. Impact of PRI on the SIF–GPP Relationship under Different Stress Conditions
3.2.4. Partial Correlation Analysis between the Ratio of GPP to SIF and PRI
3.3. Improvement of GPP Estimation Using a Combination of SIF and PRI for Corn and Soybean
4. Discussion
4.1. Uncertainties of the GPP Estimation Based on PRI and SIF
4.2. Limitations and Implications
5. Conclusions
Supplementary Materials
Author Contributions
Funding
Institutional Review Board Statement
Informed Consent Statement
Data Availability Statement
Acknowledgments
Conflicts of Interest
References
- Beer, C.; Reichstein, M.; Tomelleri, E.; Ciais, P.; Jung, M.; Carvalhais, N.; Rödenbeck, C.; Arain, M.A.; Baldocchi, D.; Bonan, G.B. Terrestrial Gross Carbon Dioxide Uptake: Global Distribution and Covariation with Climate. Science 2010, 329, 834–838. [Google Scholar] [CrossRef] [PubMed]
- Jeong, S.; Ryu, Y.; Dechant, B.; Li, X.; Kong, J.; Choi, W.; Kang, M.; Yeom, J.; Lim, J.; Jang, K. Tracking Diurnal to Seasonal Variations of Gross Primary Productivity Using a Geostationary Satellite, GK-2A Advanced Meteorological Imager. Remote Sens. Environ. 2023, 284, 113365. [Google Scholar] [CrossRef]
- Sun, Y.; Wen, J.; Gu, L.; Joiner, J.; Chang, C.Y.; van Der Tol, C.; Porcar-Castell, A.; Magney, T.; Wang, L.; Hu, L.; et al. From Remotely-Sensed Solar-Induced Chlorophyll Fluorescence to Ecosystem Structure, Function, and Service: Part II-Harnessing Data. Glob. Chang. Biol. 2023, 29, 2893–2925. [Google Scholar] [CrossRef] [PubMed]
- Guanter, L.; Bacour, C.; Schneider, A.; Aben, I.; van Kempen, T.A.; Maignan, F.; Retscher, C.; Köhler, P.; Frankenberg, C.; Joiner, J. The TROPOSIF Global Sun-Induced Fluorescence Dataset from the Sentinel-5P TROPOMI Mission. Earth Syst. Sci. Data 2021, 13, 5423–5440. [Google Scholar] [CrossRef]
- Baker, N.R. Chlorophyll Fluorescence: A Probe of Photosynthesis in Vivo. Annu. Rev. Plant Biol. 2008, 59, 89–113. [Google Scholar] [CrossRef] [PubMed]
- Gu, L.; Han, J.; Wood, J.D.; Chang, C.Y.-Y.; Sun, Y. Sun-induced Chl Fluorescence and Its Importance for Biophysical Modeling of Photosynthesis Based on Light Reactions. New Phytol. 2019, 223, 1179–1191. [Google Scholar] [CrossRef] [PubMed]
- Dechant, B.; Ryu, Y.; Badgley, G.; Köhler, P.; Rascher, U.; Migliavacca, M.; Zhang, Y.; Tagliabue, G.; Guan, K.; Rossini, M. NIRVP: A Robust Structural Proxy for Sun-Induced Chlorophyll Fluorescence and Photosynthesis across Scales. Remote Sens. Environ. 2022, 268, 112763. [Google Scholar] [CrossRef]
- Liu, X.; Guanter, L.; Liu, L.; Damm, A.; Malenovsky, Z.; Rascher, U.; Peng, D.; Du, S.; Gastellu-Etchegorry, J.-P. Downscaling of Solar-Induced Chlorophyll Fluorescence from Canopy Level to Photosystem Level Using a Random Forest Model. Remote Sens. Environ. 2019, 231, 110772. [Google Scholar] [CrossRef]
- Liu, L.; Guan, L.; Liu, X. Directly Estimating Diurnal Changes in GPP for C3 and C4 Crops Using Far-Red Sun-Induced Chlorophyll Fluorescence. Agric. For. Meteorol. 2017, 232, 1–9. [Google Scholar] [CrossRef]
- Badgley, G.; Field, C.B.; Berry, J.A. Canopy Near-Infrared Reflectance and Terrestrial Photosynthesis. Sci. Adv. 2017, 3, e1602244. [Google Scholar] [CrossRef] [PubMed]
- Braghiere, R.K.; Wang, Y.; Doughty, R.; Sousa, D.; Magney, T.; Widlowski, J.-L.; Longo, M.; Bloom, A.A.; Worden, J.; Gentine, P. Accounting for Canopy Structure Improves Hyperspectral Radiative Transfer and Sun-Induced Chlorophyll Fluorescence Representations in a New Generation Earth System Model. Remote Sens. Environ. 2021, 261, 112497. [Google Scholar] [CrossRef]
- Yang, P.; van der Tol, C. Linking Canopy Scattering of Far-Red Sun-Induced Chlorophyll Fluorescence with Reflectance. Remote Sens. Environ. 2018, 209, 456–467. [Google Scholar] [CrossRef]
- Zeng, Y.; Badgley, G.; Dechant, B.; Ryu, Y.; Chen, M.; Berry, J.A. A Practical Approach for Estimating the Escape Ratio of Near-Infrared Solar-Induced Chlorophyll Fluorescence. Remote Sens. Environ. 2019, 232, 111209. [Google Scholar] [CrossRef]
- Rajewicz, P.A.; Zhang, C.; Atherton, J.; Van Wittenberghe, S.; Riikonen, A.; Magney, T.; Fernandez-Marin, B.; Plazaola, J.I.G.; Porcar-Castell, A. The Photosynthetic Response of Spectral Chlorophyll Fluorescence Differs across Species and Light Environments in a Boreal Forest Ecosystem. Agric. For. Meteorol. 2023, 334, 109434. [Google Scholar] [CrossRef]
- Chen, J.; Liu, X.; Du, S.; Ma, Y.; Liu, L. Effects of Drought on the Relationship between Photosynthesis and Chlorophyll Fluorescence for Maize. IEEE J. Sel. Top. Appl. Earth Obs. Remote Sens. 2021, 14, 11148–11161. [Google Scholar] [CrossRef]
- Chen, J.; Liu, X.; Ma, Y.; Liu, L. Effects of Low Temperature on the Relationship between Solar-Induced Chlorophyll Fluorescence and Gross Primary Productivity across Different Plant Function Types. Remote Sens. 2022, 14, 3716. [Google Scholar] [CrossRef]
- Wu, G.; Jiang, C.; Kimm, H.; Wang, S.; Bernacchi, C.; Moore, C.E.; Suyker, A.; Yang, X.; Magney, T.; Frankenberg, C.; et al. Difference in Seasonal Peak Timing of Soybean Far-Red SIF and GPP Explained by Canopy Structure and Chlorophyll Content. Remote Sens. Environ. 2022, 279, 113104. [Google Scholar] [CrossRef]
- Wang, X.; Chen, J.M.; Ju, W. Photochemical Reflectance Index (PRI) can Be Used to Improve the Relationship between Gross Primary Productivity (GPP) and Sun-Induced Chlorophyll Fluorescence (SIF). Remote Sens. Environ. 2020, 246, 111888. [Google Scholar] [CrossRef]
- Magney, T.S.; Bowling, D.R.; Logan, B.A.; Grossmann, K.; Stutz, J.; Blanken, P.D.; Burns, S.P.; Cheng, R.; Garcia, M.A.; Kohler, P.; et al. Mechanistic Evidence for Tracking the Seasonality of Photosynthesis with Solar-Induced Fluorescence. Proc. Natl. Acad. Sci. USA 2019, 116, 11640–11645. [Google Scholar] [CrossRef] [PubMed]
- Sukhova, E.; Sukhov, V. Connection of the Photochemical Reflectance Index (PRI) with the Photosystem II Quantum Yield and Nonphotochemical Quenching Can Be Dependent on Variations of Photosynthetic Parameters among Investigated Plants: A Meta-Analysis. Remote Sens. 2018, 10, 771. [Google Scholar] [CrossRef]
- Gitelson, A.; Viña, A.; Solovchenko, A.; Arkebauer, T.; Inoue, Y. Derivation of Canopy Light Absorption Coefficient from Reflectance Spectra. Remote Sens. Environ. 2019, 231, 111276. [Google Scholar] [CrossRef]
- Gitelson, A.A.; Gamon, J.A.; Solovchenko, A. Multiple Drivers of Seasonal Change in PRI: Implications for Photosynthesis 2. Stand Level. Remote Sens. Environ. 2017, 190, 198–206. [Google Scholar] [CrossRef]
- Du, S.; Liu, X.; Chen, J.; Duan, W.; Liu, L. Addressing Validation Challenges for TROPOMI Solar-Induced Chlorophyll Fluorescence Products Using Tower-Based Measurements and an NIRv-Scaled Approach. Remote Sens. Environ. 2023, 290, 113547. [Google Scholar] [CrossRef]
- Miao, G.; Guan, K.; Yang, X.; Bernacchi, C.J.; Berry, J.A.; DeLucia, E.H.; Wu, J.; Moore, C.E.; Meacham, K.; Cai, Y.; et al. Sun-Induced Chlorophyll Fluorescence, Photosynthesis, and Light Use Efficiency of a Soybean Field from Seasonally Continuous Measurements. J. Geophys. Res. Biogeosci. 2018, 123, 610–623. [Google Scholar] [CrossRef]
- Drusch, M.; Moreno, J.; Del Bello, U.; Franco, R.; Goulas, Y.; Huth, A.; Kraft, S.; Middleton, E.M.; Miglietta, F.; Mohammed, G.; et al. The FLuorescence EXplorer Mission Concept-ESA’s Earth Explorer 8. IEEE Trans. Geosci. Remote Sens. 2017, 55, 1273–1284. [Google Scholar] [CrossRef]
- Wu, G.; Guan, K.; Kimm, H.; Miao, G.; Jiang, C. SIF and Vegetation Indices in the US Midwestern Agroecosystems, 2016–2021; ORNL DAAC: Oak Ridge, TN, USA, 2023. [Google Scholar]
- Wu, G.; Guan, K.; Jiang, C.; Kimm, H.; Miao, G.; Yang, X.; Bernacchi, C.J.; Sun, X.; Suyker, A.E.; Moore, C.E. Can Upscaling Ground Nadir SIF to Eddy Covariance Footprint Improve the Relationship between SIF and GPP in Croplands? Agric. For. Meteorol. 2023, 338, 109532. [Google Scholar] [CrossRef]
- Hu, J.; Liu, L.; Guo, J.; Du, S.; Liu, X. Upscaling Solar-Induced Chlorophyll Fluorescence from an Instantaneous to Daily Scale Gives an Improved Estimation of the Gross Primary Productivity. Remote Sens. 2018, 10, 1663. [Google Scholar] [CrossRef]
- Suyker, A.E.; Verma, S.B. Gross Primary Production and Ecosystem Respiration of Irrigated and Rainfed Maize-Soybean Cropping Systems over 8 Years. Agric. For. Meteorol. 2012, 165, 12–24. [Google Scholar] [CrossRef]
- Porcar-Castell, A. A High-Resolution Portrait of the Annual Dynamics of Photochemical and Non-Photochemical Quenching in Needles of Pinus Sylvestris. Physiol. Plant. 2011, 143, 139–153. [Google Scholar] [CrossRef] [PubMed]
- Porcar-Castell, A.; Malenovsky, Z.; Magney, T.; Van Wittenberghe, S.; Fernandez-Marin, B.; Maignan, F.; Zhang, Y.; Maseyk, K.; Atherton, J.; Albert, L.P.; et al. Chlorophyll a Fluorescence Illuminates a Path Connecting Plant Molecular Biology to Earth-System Science. Nat. Plants 2021, 7, 998–1009. [Google Scholar] [CrossRef] [PubMed]
- Chang, C.Y.; Guanter, L.; Frankenberg, C.; Köhler, P.; Gu, L.; Magney, T.S.; Grossmann, K.; Sun, Y. Systematic Assessment of Retrieval Methods for Canopy Far-red Solar-induced Chlorophyll Fluorescence Using High-frequency Automated Field Spectroscopy. J. Geophys. Res. Biogeosci. 2020, 125, e2019JG005533. [Google Scholar] [CrossRef]
- Wu, L.; Zhang, X.; Rossini, M.; Wu, Y.; Zhang, Z.; Zhang, Y. Physiological Dynamics Dominate the Response of Canopy Far-Red Solar-Induced Fluorescence to Herbicide Treatment. Agric. For. Meteorol. 2022, 323, 109063. [Google Scholar] [CrossRef]
- Zhang, Z.; Zhang, Y.; Porcar-Castell, A.; Joiner, J.; Guanter, L.; Yang, X.; Migliavacca, M.; Ju, W.; Sun, Z.; Chen, S.; et al. Reduction of Structural Impacts and Distinction of Photosynthetic Pathways in a Global Estimation of GPP from Space-Borne Solar-Induced Chlorophyll Fluorescence. Remote Sens. Environ. 2020, 240, 111722. [Google Scholar] [CrossRef]
- Sun, Y.; Gu, L.; Wen, J.; van Der Tol, C.; Porcar-Castell, A.; Joiner, J.; Chang, C.Y.; Magney, T.; Wang, L.; Hu, L.; et al. From Remotely Sensed Solar-Induced Chlorophyll Fluorescence to Ecosystem Structure, Function, and Service: Part I-Harnessing Theory. Glob. Chang. Biol. 2023, 29, 2926–2952. [Google Scholar] [CrossRef] [PubMed]
- Cochavi, A.; Amer, M.; Stern, R.; Tatarinov, F.; Migliavacca, M.; Yakir, D. Differential Responses to Two Heatwave Intensities in a Mediterranean Citrus Orchard Are Identified by Combining Measurements of Fluorescence and Carbonyl Sulfide (COS) and CO2 Uptake. New Phytol. 2021, 230, 1394–1406. [Google Scholar] [CrossRef] [PubMed]
- Testi, L.; Goldhamer, D.A.; Iniesta, F.; Salinas, M. Crop Water Stress Index Is a Sensitive Water Stress Indicator in Pistachio Trees. Irrig. Sci. 2008, 26, 395–405. [Google Scholar] [CrossRef]
- Jackson, R.D.; Idso, S.B.; Reginato, R.J.; Pinter, P.J., Jr. Canopy Temperature as a Crop Water Stress Indicator. Water Resour. Res. 1981, 17, 1133–1138. [Google Scholar] [CrossRef]
- Priestley, C.H.B.; Taylor, R.J. On the Assessment of Surface Heat Flux and Evaporation Using Large-Scale Parameters. Mon. Weather Rev. 1972, 100, 81–92. [Google Scholar] [CrossRef]
- Zhang, K.; Kimball, J.S.; Mu, Q.; Jones, L.A.; Goetz, S.J.; Running, S.W. Satellite Based Analysis of Northern ET Trends and Associated Changes in the Regional Water Balance from 1983 to 2005. J. Hydrol. 2009, 379, 92–110. [Google Scholar] [CrossRef]
- Li, X.; Gentine, P.; Lin, C.; Zhou, S.; Sun, Z.; Zheng, Y.; Liu, J.; Zheng, C. A Simple and Objective Method to Partition Evapotranspiration into Transpiration and Evaporation at Eddy-Covariance Sites. Agric. For. Meteorol. 2019, 265, 171–182. [Google Scholar] [CrossRef]
- Penman, H.L. Natural Evaporation from Open Water, Hare Soil and Grass. Proc. R. Soc. Lond. Ser. A Math. Phys. Sci. 1948, 193, 120–145. [Google Scholar] [CrossRef]
- Ma, L.; Sun, L.; Wang, S.; Chen, J.; Chen, B.; Zhu, K.; Amir, M.; Wang, X.; Liu, Y.; Wang, P.; et al. Analysis on the Relationship between Sun-Induced Chlorophyll Fluorescence and Gross Primary Productivity of Winter Wheat in Northern China. Ecol. Indic. 2022, 139, 108905. [Google Scholar] [CrossRef]
- Chou, S.; Chen, J.M.; Yu, H.; Chen, B.; Zhang, X.; Croft, H.; Khalid, S.; Li, M.; Shi, Q. Canopy-Level Photochemical Reflectance Index from Hyperspectral Remote Sensing and Leaf-Level Non-Photochemical Quenching as Early Indicators of Water Stress in Maize. Remote Sens. 2017, 9, 794. [Google Scholar] [CrossRef]
- Dang, C.; Shao, Z.; Huang, X.; Zhuang, Q.; Cheng, G.; Qian, J. Vegetation Greenness and Photosynthetic Phenology in Response to Climatic Determinants. Front. For. Glob. Chang. 2023, 6, 1172220. [Google Scholar] [CrossRef]
- Kimm, H.; Guan, K.; Burroughs, C.H.; Peng, B.; Ainsworth, E.A.; Bernacchi, C.J.; Moore, C.E.; Kumagai, E.; Yang, X.; Berry, J.A.; et al. Quantifying High-temperature Stress on Soybean Canopy Photosynthesis: The Unique Role of Sun-induced Chlorophyll Fluorescence. Glob. Chang. Biol. 2021, 27, 2403–2415. [Google Scholar] [CrossRef] [PubMed]
- Helm, L.T.; Shi, H.; Lerdau, M.T.; Yang, X. Solar-induced Chlorophyll Fluorescence and Short-term Photosynthetic Response to Drought. Ecol. Appl. 2020, 30, e02101. [Google Scholar] [CrossRef] [PubMed]
- Lin, J.; Zhou, L.; Wu, J.; Han, X.; Zhao, B.; Chen, M.; Liu, L. Water Stress Significantly Affects the Diurnal Variation of Solar-Induced Chlorophyll Fluorescence (SIF): A Case Study for Winter Wheat. Sci. Total Environ. 2024, 908, 168256. [Google Scholar] [CrossRef] [PubMed]
- Atherton, J.; Nichol, C.J.; Porcar-Castell, A. Using Spectral Chlorophyll Fluorescence and the Photochemical Reflectance Index to Predict Physiological Dynamics. Remote Sens. Environ. 2016, 176, 17–30. [Google Scholar] [CrossRef]
- Guanter, L.; Zhang, Y.; Jung, M.; Joiner, J.; Voigt, M.; Berry, J.A.; Frankenberg, C.; Huete, A.R.; Zarco-Tejada, P.; Lee, J.-E.; et al. Global and Time-Resolved Monitoring of Crop Photosynthesis with Chlorophyll Fluorescence. Proc. Natl. Acad. Sci. USA 2014, 111, E1327–E1333. [Google Scholar] [CrossRef] [PubMed]
- Damm, A.; Guanter, L.; Paul-Limoges, E.; Van Der Tol, C.; Hueni, A.; Buchmann, N.; Eugster, W.; Ammann, C.; Schaepman, M.E. Far-Red Sun-Induced Chlorophyll Fluorescence Shows Ecosystem-Specific Relationships to Gross Primary Production: An Assessment Based on Observational and Modeling Approaches. Remote Sens. Environ. 2015, 166, 91–105. [Google Scholar] [CrossRef]
- Parazoo, N.C.; Bowman, K.; Fisher, J.B.; Frankenberg, C.; Jones, D.B.A.; Cescatti, A.; Pérez-Priego, Ó.; Wohlfahrt, G.; Montagnani, L. Terrestrial Gross Primary Production Inferred from Satellite Fluorescence and Vegetation Models. Glob. Chang. Biol. 2014, 20, 3103–3121. [Google Scholar] [CrossRef] [PubMed]
- Verrelst, J.; Rivera, J.P.; Van Der Tol, C.; Magnani, F.; Mohammed, G.; Moreno, J. Global Sensitivity Analysis of the SCOPE Model: What Drives Simulated Canopy-Leaving Sun-Induced Fluorescence? Remote Sens. Environ. 2015, 166, 8–21. [Google Scholar] [CrossRef]
- Liu, Z.; Zhao, F.; Liu, X.; Yu, Q.; Wang, Y.; Peng, X.; Cai, H.; Lu, X. Direct Estimation of Photosynthetic CO2 Assimilation from Solar-Induced Chlorophyll Fluorescence (SIF). Remote Sens. Environ. 2022, 271, 112893. [Google Scholar] [CrossRef]
- De Queiroz Otone, J.D.; Theodoro, G.D.F.; Santana, D.C.; Teodoro, L.P.R.; De Oliveira, J.T.; De Oliveira, I.C.; Da Silva Junior, C.A.; Teodoro, P.E.; Baio, F.H.R. Hyperspectral Response of the Soybean Crop as a Function of Target Spot (Corynespora Cassiicola) Using Machine Learning to Classify Severity Levels. AgriEngineering 2024, 6, 330–343. [Google Scholar] [CrossRef]
- Patinni, I.R.G.; De Andrade, C.A.; Campos, C.N.S.; Teodoro, L.P.R.; Andrade, S.M.; Roque, C.G.; Da Silva Junior, C.A.; Teodoro, P.E. Agronomic Performance and Water-use Efficiency of F3 Soybean Populations Grown under Contrasting Base Saturation. J Agron. Crop Sci. 2020, 206, 806–814. [Google Scholar] [CrossRef]
- Santana, D.C.; Teodoro, L.P.R.; Baio, F.H.R.; Santos, R.G.D.; Coradi, P.C.; Biduski, B.; Silva Junior, C.A.D.; Teodoro, P.E.; Shiratsuchi, L.S. Classification of Soybean Genotypes for Industrial Traits Using UAV Multispectral Imagery and Machine Learning. Remote Sens. Appl. Soc. Environ. 2023, 29, 100919. [Google Scholar] [CrossRef]










| Crops | Timescale | Linear Model | R2 | RMSE | r | p |
|---|---|---|---|---|---|---|
| Corn | Half-hourly | 0.48 | 10.22 | 0.69 | <0.01 | |
| Daily | 0.49 | 6.38 | 0.70 | <0.01 | ||
| Soybean | Half-hourly | 0.54 | 9.59 | 0.73 | <0.01 | |
| Daily | 0.62 | 6.25 | 0.79 | <0.01 |
| Crops | Timescales | Pearson’s Coefficient of Correlation | Partial Correlation Coefficient | ||||||
|---|---|---|---|---|---|---|---|---|---|
| Physiology | Structure | Environment | |||||||
| (Gs) | (NIRv) | (NDVI) | (PAR) | (Ta) | (VPD) | (CWSI) | |||
| Corn | Half-hourly | 0.31 ** | 0.33 ** | 0.02 | 0.28 ** | 0.45 ** | 0.30 ** | 0.26 ** | 0.27 ** |
| Daily | 0.45 ** | 0.51 ** | 0.23 * | 0.56 ** | 0.56 ** | 0.41 ** | 0.47 ** | 0.45 ** | |
| Soybean | Half-hourly | 0.33 ** | 0.31 ** | 0.13 ** | 0.06 * | 0.45 ** | 0.45 ** | 0.33 ** | 0.25 ** |
| Daily | 0.22 * | 0.19 * | 0.24 * | –0.02 | 0.45 ** | 0.34 ** | 0.18 | 0.23 * | |
| Crops | Timescale | Multi-Variable Linear Model | R2 | RMSE | p |
|---|---|---|---|---|---|
| Corn | Half-hourly | 0.78 | 6.60 | <0.01 | |
| Daily | 0.84 | 3.56 | <0.01 | ||
| Soybean | Half-hourly | 0.78 | 6.60 | <0.01 | |
| Daily | 0.82 | 4.34 | <0.01 |
Disclaimer/Publisher’s Note: The statements, opinions and data contained in all publications are solely those of the individual author(s) and contributor(s) and not of MDPI and/or the editor(s). MDPI and/or the editor(s) disclaim responsibility for any injury to people or property resulting from any ideas, methods, instructions or products referred to in the content. |
© 2024 by the authors. Licensee MDPI, Basel, Switzerland. This article is an open access article distributed under the terms and conditions of the Creative Commons Attribution (CC BY) license (https://creativecommons.org/licenses/by/4.0/).
Share and Cite
Chen, J.; Huang, L.; Zuo, Q.; Shi, J. Assessing the Potential for Photochemical Reflectance Index to Improve the Relationship between Solar-Induced Chlorophyll Fluorescence and Gross Primary Productivity in Crop and Soybean. Atmosphere 2024, 15, 463. https://doi.org/10.3390/atmos15040463
Chen J, Huang L, Zuo Q, Shi J. Assessing the Potential for Photochemical Reflectance Index to Improve the Relationship between Solar-Induced Chlorophyll Fluorescence and Gross Primary Productivity in Crop and Soybean. Atmosphere. 2024; 15(4):463. https://doi.org/10.3390/atmos15040463
Chicago/Turabian StyleChen, Jidai, Lizhou Huang, Qinwen Zuo, and Jiasong Shi. 2024. "Assessing the Potential for Photochemical Reflectance Index to Improve the Relationship between Solar-Induced Chlorophyll Fluorescence and Gross Primary Productivity in Crop and Soybean" Atmosphere 15, no. 4: 463. https://doi.org/10.3390/atmos15040463
APA StyleChen, J., Huang, L., Zuo, Q., & Shi, J. (2024). Assessing the Potential for Photochemical Reflectance Index to Improve the Relationship between Solar-Induced Chlorophyll Fluorescence and Gross Primary Productivity in Crop and Soybean. Atmosphere, 15(4), 463. https://doi.org/10.3390/atmos15040463

