Sign in to use this feature.

Years

Between: -

Subjects

remove_circle_outline
remove_circle_outline
remove_circle_outline
remove_circle_outline
remove_circle_outline
remove_circle_outline
remove_circle_outline
remove_circle_outline
remove_circle_outline

Journals

remove_circle_outline
remove_circle_outline
remove_circle_outline
remove_circle_outline
remove_circle_outline
remove_circle_outline
remove_circle_outline
remove_circle_outline
remove_circle_outline
remove_circle_outline
remove_circle_outline
remove_circle_outline
remove_circle_outline
remove_circle_outline
remove_circle_outline
remove_circle_outline
remove_circle_outline

Article Types

Countries / Regions

remove_circle_outline
remove_circle_outline
remove_circle_outline
remove_circle_outline
remove_circle_outline
remove_circle_outline
remove_circle_outline
remove_circle_outline

Search Results (852)

Search Parameters:
Keywords = causal influence analysis

Order results
Result details
Results per page
Select all
Export citation of selected articles as:
32 pages, 8491 KB  
Article
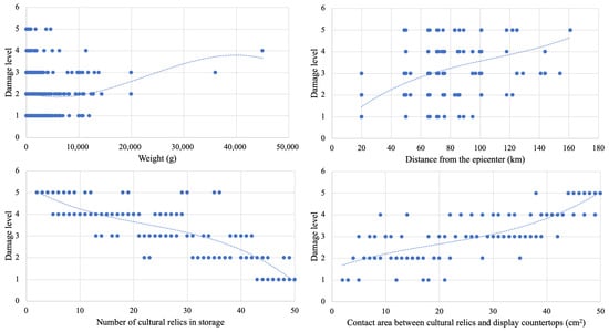
Uncertainty Analysis of Seismic Effects on Cultural Relics in Collections: Integrating Deep Learning and Reinforcement Strategies
by Lin He, Zhengyi Xu, Mengting Gong, Weikai Wang, Xiaofei Yang and Jianming Wei
Appl. Sci. 2026, 16(2), 879; https://doi.org/10.3390/app16020879 - 15 Jan 2026
Abstract
Due to the unpredictability of seismic and the complexity of collection environments, significant uncertainty exists regarding their impact on cultural relics. Moreover, existing research on the causal analysis of seismic damage to cultural relics remains insufficient, thereby limiting advancements in risk assessment and [...] Read more.
Due to the unpredictability of seismic and the complexity of collection environments, significant uncertainty exists regarding their impact on cultural relics. Moreover, existing research on the causal analysis of seismic damage to cultural relics remains insufficient, thereby limiting advancements in risk assessment and protective measures. To address this issue, this paper proposes a seismic damage risk assessment method for cultural relics in collections, integrating deep learning and reinforcement strategies. The proposed method enhances the dataset on seismic impacts on cultural relics by developing an integrated deep learning-based data correction model. Furthermore, it incorporates a graph attention mechanism to precisely quantify the influence of various attribute factors on cultural relic damage. Additionally, by combining reinforcement learning with the Deep Deterministic Policy Gradient (DDPG) strategy, this method refines seismic risk assessments and formulates more targeted preventive protection measures for cultural relics in collections. This study evaluates the proposed method using three public datasets in comparison with the self-constructed Seismic Damage Dataset of Cultural Relics (CR-SDD). Experiments are conducted to assess and analyze the predictive performance of various models. Experimental results demonstrate that the proposed method achieves an accuracy of 81.21% in assessing seismic damage to cultural relics in collections. This research provides a scientific foundation and practical guidance for the protection of cultural relics, offering strong support for preventive conservation efforts in seismic risk mitigation. Full article
(This article belongs to the Section Computing and Artificial Intelligence)
Show Figures

Figure 1

31 pages, 1179 KB  
Review
The Use of Nutritional Interventions to Enhance Genomic Stability in Mice and Delay Aging
by Ivar van Galen, Jan H. J. Hoeijmakers and Wilbert P. Vermeij
Nutrients 2026, 18(2), 246; https://doi.org/10.3390/nu18020246 - 13 Jan 2026
Viewed by 42
Abstract
Background/Objectives: Metabolism is fundamental to all living organisms. It comprises a highly complex network of fine-tuned chemical reactions that sustain life but also generate by-products that damage cellular biomolecules, including DNA, thereby contributing to aging and disease. As metabolism can be largely modified [...] Read more.
Background/Objectives: Metabolism is fundamental to all living organisms. It comprises a highly complex network of fine-tuned chemical reactions that sustain life but also generate by-products that damage cellular biomolecules, including DNA, thereby contributing to aging and disease. As metabolism can be largely modified by dietary alterations, it has the potential to positively or negatively affect health and disease. Interestingly, many aging-associated illnesses known to be influenced by diet also show a causal relation with DNA damage. As DNA keeps all instructions for life, and DNA lesions, if unrepaired, interfere with vital processes such as DNA replication and transcription, DNA damage may be an important mediator of the impact of nutrition on health and aging. Methods: Here, we discuss the genome-protective effects of various oral interventions in mice, aiming to elucidate which nutritional alterations lower DNA damage and promote overall health. Results: Our analysis covers a wide range of interventions with reported positive impacts on genomic stability, including modified diets (e.g., dietary restriction, probiotics, micronutrients, fatty acids, and hormones), NAD+ precursors (e.g., nicotinamide riboside), plant derivatives, and synthetic drugs. Among these, caloric and dietary restriction emerge as the most potent, generic modulators of DNA damage and repair processes, enhancing aspects of repair efficiency through metabolic recalibration and improved cellular resilience. Other interventions, like NAD+ precursors, activate partly similar pathways without necessitating reduced food intake. Conclusions: While many interventions show promise, their effects are often less pronounced or are process-specific compared to caloric or dietary restriction. Additionally, many substances lack comprehensive exploration of their genome-protective effects in mice, with often only a small number of studies examining their impact on genome stability. Moreover, the heterogeneity between studies limits direct comparison. However, the observed overlap in mechanistic effects between treatments lends credibility to their potential efficacy. Ultimately, a deeper understanding of these mechanisms could pave the way for translating these findings into, e.g., combination treatments to promote healthy aging in humans. Full article
(This article belongs to the Special Issue The Role of Healthy Eating and Physical Activity in Longevity)
Show Figures

Figure 1

27 pages, 2838 KB  
Article
An Empirical Analysis of Running-Behavior Influencing Factors for Crashes with Different Economic Losses
by Peng Song, Yiping Wu, Hongpeng Zhang, Jian Rong, Ning Zhang, Jun Ma and Xiaoheng Sun
Urban Sci. 2026, 10(1), 45; https://doi.org/10.3390/urbansci10010045 - 12 Jan 2026
Viewed by 111
Abstract
Miniature commercial trucks constitute a critical component of urban freight systems but face elevated crash risk due to distinctive driving patterns, frequent operation, and variable loads. This study quantifies how long-term and short-term driving behaviors jointly shape crash economic loss levels and identifies [...] Read more.
Miniature commercial trucks constitute a critical component of urban freight systems but face elevated crash risk due to distinctive driving patterns, frequent operation, and variable loads. This study quantifies how long-term and short-term driving behaviors jointly shape crash economic loss levels and identifies factors most strongly associated with severe claims. A driver-level dataset linking multi-source running behavior indicators, vehicle attributes, and insurance claims is constructed, and an enhanced Wasserstein generative adversarial network with Euclidean distance is employed to synthesize minority crash samples and alleviate class imbalance. Crash economic loss levels are modeled using a random-effects generalized ordinal logit specification, and model performance is compared with a generalized ordered logit benchmark. Marginal effects analysis is used to evaluate the influence of pre-collision driving states (straight, turning, reversing, rolling, following closely) and key behavioral indicators. Results indicate significant effects of inter-provincial duration and count ratios, morning and empty-trip frequencies, no-claim discount coefficients, and vehicle age on crash economic loss, with prolonged speeding duration and fatigued mileage associated with major losses, whereas frequent speeding and fatigue episodes are primarily linked to minor claims. These findings clarify causal patterns for miniature commercial truck crashes with different economic losses and provide an empirical basis for targeted safety interventions and refined insurance pricing. Full article
(This article belongs to the Special Issue Urban Traffic Control and Innovative Planning)
Show Figures

Figure 1

17 pages, 4258 KB  
Article
Analysis of Medical Students’ Motivation: Insights into the Development of Future Health Professionals
by Karina Iveth Orozco-Jiménez, María Alejandra Samudio-Cruz, Jonatan Baños-Chaparro, Eleonora Ocampo-Coronado, Ileana Chávez-Maisterra, Marcela María José Rodríguez-Baeza, Benjamín Gómez-Díaz, María Valentina Toral-Murillo, Elvira Rodríguez-Flores, Melissa Fernández-Torres, Ana Cecilia Corona-Pantoja, Mariana Selene de Alba-Torres and Luz Berenice López-Hernández
Behav. Sci. 2026, 16(1), 97; https://doi.org/10.3390/bs16010097 - 12 Jan 2026
Viewed by 180
Abstract
Medical students experience fluctuations in their motivation, influenced by various factors, including curricular rigor, mental health, and institutional factors. Based on Self-Determination Theory (SDT) and the Four Pillars of Academic Engagement (HPEE), this study, conducted at a private Mexican university, examined motivational variation [...] Read more.
Medical students experience fluctuations in their motivation, influenced by various factors, including curricular rigor, mental health, and institutional factors. Based on Self-Determination Theory (SDT) and the Four Pillars of Academic Engagement (HPEE), this study, conducted at a private Mexican university, examined motivational variation according to academic year, curricular impact, gender differences, and its relationship with mental health. Methods: A quantitative, cross-sectional, descriptive study was conducted using qualitative tools for contextualization (n = 1326). Mann–Whitney U tests, Kruskal–Wallis tests, logistic regression, and psychological network analysis were performed. Results: Motivation showed cross-sectional variation: high in preclinical years 1 and 2, decreasing in clinical years 3 and 4 (p < 0.001), and rebounding in year 6. The reformed curriculum (elective subjects, student-centered active learning) resulted in greater motivation (OR = 10.68, p < 0.001). Women tended to have slightly higher motivation (p = 0.050), higher grade point averages (p < 0.001), but also greater stress (p < 0.001). Network analysis revealed that intrinsic achievement (centrality = 1.11) and curiosity about knowledge (predictability = 84.5%) are the main drivers, while demotivation was linked to the later years. The qualitative part of the study showed altruism/curiosity as the main motivators; mistreatment/workload (demotivators). Conclusions: Motivation is context-sensitive, peaks in the preclinical stage, and recovers with autonomy but is vulnerable during clinical immersion. Autonomy in course selection, active student-centered pedagogies, and gender-sensitive support foster sustained participation. The centrality of intrinsic factors in the network highlights that achievement motivation and knowledge are general and independent motivators. Qualitative data reveal systemic barriers. Stage-specific interventions, such as mentoring, student support programs, and reporting mistreatment, can be crucial for strengthening resilience and performance. Longitudinal and multi-institutional studies are needed to validate the causality and generalizability of this study. Full article
Show Figures

Figure 1

21 pages, 7982 KB  
Article
Wildfire Dynamics and Risk in the Wildland–Urban Interface in Gran Canaria (Spain): Influence of Climate Change, Land Management, and Civil Protection Policies
by Fernando Medina Morales, Pablo Máyer Suárez, Feliciano Tavío Álvarez and Lorenzo Quesada Ruiz
Geographies 2026, 6(1), 9; https://doi.org/10.3390/geographies6010009 - 8 Jan 2026
Viewed by 211
Abstract
The island of Gran Canaria (Spain) has undergone a significant transformation in wildfire dynamics over the past two decades, characterized by a decline in wildfire frequency but a marked increase in the severity and spatial impact of extreme events, particularly within the wildland–urban [...] Read more.
The island of Gran Canaria (Spain) has undergone a significant transformation in wildfire dynamics over the past two decades, characterized by a decline in wildfire frequency but a marked increase in the severity and spatial impact of extreme events, particularly within the wildland–urban interface (WUI). This study analyzes wildfire activity between 2000 and 2020 using official datasets and statistical trend analyses, incorporating robust severity indicators and measures of burned area concentration. Results show a statistically significant decreasing trend in the number of wildfires, while burned area is extremely concentrated in a small number of high-intensity events, with four large wildfires accounting for more than 97% of the total affected area. Climatic influences on wildfire activity were assessed through the analysis of long-term meteorological indicators, focusing on trends in extreme heat days and precipitation as proxies for thermal stress and fuel moisture availability. The results indicate a substantial modification of the background climatic framework under which wildfires develop, although no direct causal relationships are inferred. In parallel, territorial processes—such as rural abandonment, increased fuel continuity, and the expansion of dispersed housing beyond consolidated settlements—act as key amplifiers of wildfire risk. Overall, the findings highlight a transition from emergency-oriented fire suppression toward resilience-based wildfire management, emphasizing the need to integrate climate adaptation, territorial planning, and stricter land-use regulation in WUI areas. Full article
Show Figures

Figure 1

21 pages, 860 KB  
Article
Pragmatic Framing of Sustainability in UN and UNESCO Leadership Speeches
by Faiza Mohamed Tabib, Nibal Al Muallem, Maher Ibrahim Tawdrous, Khaled Younis Alderbashi and Moustafa Kamal Moussa
Sustainability 2026, 18(2), 632; https://doi.org/10.3390/su18020632 - 8 Jan 2026
Viewed by 166
Abstract
Leadership speeches delivered within the United Nations and UNESCO play an active role in shaping global policy discourse. As widely circulated texts, they influence how policymakers understand sustainability, responsibility, and education by defining global challenges, allocating responsibility, and communicating shared priorities. This study [...] Read more.
Leadership speeches delivered within the United Nations and UNESCO play an active role in shaping global policy discourse. As widely circulated texts, they influence how policymakers understand sustainability, responsibility, and education by defining global challenges, allocating responsibility, and communicating shared priorities. This study examines how these concepts are articulated in selected leadership speeches delivered between 2022 and 2025. The analysis adopts a pragmatic framing approach informed by non-linear pragmatic theory. It focuses on six interrelated dimensions: problem definition, causal responsibility, treatment responsibility, value framing, future-oriented framing, and education-specific framing. The findings show that sustainability is consistently framed as a complex ethical challenge linked to climate change, social inequality, and global injustice. Responsibility is presented as shared but uneven, with greater obligations assigned to high-income countries, international institutions, and education systems. Education is addressed both directly, through references to curriculum reform, teacher preparation, and higher education leadership, and indirectly as a means of supporting climate resilience, ethical technological development, and global citizenship. Overall, the study demonstrates that leadership speeches function as influential discursive sites through which sustainability narratives are advanced and priorities for Education for Sustainable Development are communicated, highlighting the value of pragmatic framing for research on international sustainability communication. Full article
Show Figures

Figure 1

41 pages, 1951 KB  
Article
Natural Resource Rents and Capital Formation Nexus: Empirical Evidence on Foreign Direct Investment as a Moderator from the BRICS Economies
by Fahmida Laghari, Farhan Ahmed, Rafique Ur Rehman Memon and Daniela Haluza
Sustainability 2026, 18(1), 547; https://doi.org/10.3390/su18010547 - 5 Jan 2026
Viewed by 205
Abstract
This study investigates the impact of natural resource rents (natural gas, forests, minerals, and oil) on capital formation in BRICS economies from 1990 to 2023. It focuses on the importance of natural resource rents and their influence on capital formation in Brazil, Russia, [...] Read more.
This study investigates the impact of natural resource rents (natural gas, forests, minerals, and oil) on capital formation in BRICS economies from 1990 to 2023. It focuses on the importance of natural resource rents and their influence on capital formation in Brazil, Russia, India, China, and South Africa. Foreign direct investment (FDI) is included as a moderating factor. Using the method of moment quantile regression (MMQR), the study finds that higher natural resource rents reduce gross fixed capital formation (GFCF) in the upper quantiles. In contrast, FDI dampens these adverse effects and strengthens the positive impact on GFCF in the upper quantiles. Granger causality analysis reveals that natural gas rent, FDI, GDP, trade openness, domestic investment, and institutional quality all affect capital formation, with feedback relationships evident. There is unidirectional causality from forest rent and mineral rent to capital formation, and from capital formation to inflation and financial development. Propensity score matching (PSM) indicates that BRICS economies with higher FDI also have higher GFCF, owing to FDI’s influence on resource rents. The seemingly unrelated regression (SUR) analysis for cross-country comparison indicates that Russia has higher NGR, FR, and OR, resulting in more pronounced negative changes in Russia’s capital formation than in India. Additionally, the results of the SUR analysis indicate that China’s higher NGR, FR, and OR are associated with larger adverse changes in capital formation than those in Russia. The findings from additional analysis using the PSTR model, with gross capital formation as the dependent variable, indicate that when institutions are weak, natural resources reduce gross capital formation and foreign investment in resource sectors yields minimal spillovers. However, when institutions are stronger, natural resources are used productively, and investment from outside the resource sector yields broader benefits, boosting GCF. Moreover, robustness checks using panel fixed-effects regression and endogeneity analysis with a system GMM estimator show that higher natural resource rents are associated with weaker capital formation, and that FDI mitigates the negative influence of natural resource rents as a moderating factor. These empirical results can inform policy recommendations on natural resource rents and FDI to achieve high capital formation in BRICS economies. Full article
(This article belongs to the Special Issue Energy Economics, Energy Transition and Environmental Sustainability)
Show Figures

Figure 1

18 pages, 343 KB  
Article
The Bidirectional Relationship Between Audit Fees and Corporate Reputation: Panel Evidence from South African Listed Firms
by Omobolade Stephen Ogundele and Lethiwe Nzama-Sithole
J. Risk Financial Manag. 2026, 19(1), 35; https://doi.org/10.3390/jrfm19010035 - 4 Jan 2026
Viewed by 229
Abstract
As corporate accountability, credibility, transparency, and stakeholders’ trust continue to attract global attention, this study examines how corporate reputation influences audit fees and whether audit fees, in turn, shape reputation. Hence, this study examines the bidirectional relationship between audit fees and corporate reputation [...] Read more.
As corporate accountability, credibility, transparency, and stakeholders’ trust continue to attract global attention, this study examines how corporate reputation influences audit fees and whether audit fees, in turn, shape reputation. Hence, this study examines the bidirectional relationship between audit fees and corporate reputation in South African listed firms. This study reviewed three theories, such as capital reputation, stakeholder, and agency theories. Exploring panel data from sixteen listed firms over a period of ten years (2015–2024), this study employs panel regression analysis and two-step system generalised method of moments (System GMM) estimates in accounting for endogeneity, heterogeneity, and dynamic relationships. Data was sourced from the annual reports and accounts of selected firms. The results from the fixed effects model indicate that corporate reputation exerts a statistically significant and positive influence on audit fees. Conversely, findings from the random effects model reveal that audit fees positively influence corporate reputation. The two-step GMM result confirms a bidirectional causal relationship as lagged corporate reputation significantly influences subsequent audit fees, while lagged audit fees also significantly influence future corporate reputation. This study recommends that the board of directors should view audit not as an expense but as a strategic investment in sustaining stakeholder trust and reputation. Among other things, policymakers and regulators should also strengthen audit market transparency in ensuring that audit pricing reflects genuine reputational consideration and audit quality. Full article
(This article belongs to the Section Business and Entrepreneurship)
20 pages, 3051 KB  
Article
Five-Year Follow-Up of Photobiomodulation in Parkinson’s Disease: A Case Series Exploring Clinical Stability and Microbiome Modulation
by Brian Bicknell, Ann Liebert, Craig McLachlan and Hosen Kiat
J. Clin. Med. 2026, 15(1), 368; https://doi.org/10.3390/jcm15010368 - 4 Jan 2026
Viewed by 373
Abstract
Background: Parkinson’s disease (PD) involves progressive neurodegeneration with clinical or subclinical disturbance of the gut–brain axis, including altered gastrointestinal motility and enteric nervous system involvement. Clinical studies have reported gut microbiome alterations in PD, with shifts in taxa associated with inflammatory signalling [...] Read more.
Background: Parkinson’s disease (PD) involves progressive neurodegeneration with clinical or subclinical disturbance of the gut–brain axis, including altered gastrointestinal motility and enteric nervous system involvement. Clinical studies have reported gut microbiome alterations in PD, with shifts in taxa associated with inflammatory signalling and short-chain fatty acid (SCFA) metabolism. Photobiomodulation (PBM), a non-invasive light therapy, has been investigated as a potential adjunctive treatment for PD, with proposed effects on neural, metabolic, and immune pathways. We previously reported the five-year clinical outcomes in a PBM-treated Parkinson’s disease case series. Here we report the five-year gut microbiome outcomes based on longitudinal samples collected from the same participants. This was an exploratory, open-label longitudinal study without a control group. Objective: Our objective was to assess whether long-term PBM was associated with changes in gut microbiome diversity and composition in the same Parkinson’s disease cohort as previously assessed for changes in Parkinson’s symptoms. Methods: Six participants from the earlier PBM proof-of-concept study who had been diagnosed with idiopathic PD and who had continued treatment (transcranial light emitting diode [LED] plus abdominal and neck laser) for five years had their faecal samples analysed by 16S rDNA sequencing to assess microbiome diversity and taxonomic composition. Results: Microbiome analysis revealed significantly reduced evenness (α-diversity) and significant shifts in β-diversity over five years, as assessed by Permutational Multivariate Analysis of Variance (PERMANOVA). At the phylum level, Pseudomonadota and Methanobacteriota decreased in four of the six participants. Both of these phyla are often increased in the Parkinson’s microbiome compared with the microbiomes of healthy controls. Family-level changes included increased acetate-producing Bifidobacteriaceae (five of the six participants); decreased pro-inflammatory, lipopolysaccharide (LPS)-producing Enterobacteriaceae (two of the three participants who have this bacterial family present); and decreased LPS- and H2S-producing Desulfovibrionaceae (five of six). At the genus level, Faecalibacterium, a key butyrate producer, increased in four of the six participants, potentially leading to more SCFA availability, although other SCFA-producing bacteria were decreased. This was accompanied by reductions in pro-inflammatory LPS and H2S-producing genera that are often increased in the Parkinson’s microbiome. Conclusions: This five-year case series represents the longest follow-up of microbiome changes in Parkinson’s disease, although the interpretation of results is limited by very small numbers, the lack of a control group, and the inability to control for lifestyle influences such as dietary changes. While causal relationships cannot be inferred, the parallel changes in improvements in mobility and non-motor Parkinson’s symptoms observed in this cohort, raises the hypothesis that PBM may interact with the gut–brain axis via the microbiome. Controlled studies incorporating functional multi-omics are needed to clarify potential mechanistic links between microbial function, host metabolism, and clinical outcomes. Full article
(This article belongs to the Special Issue Innovations in Parkinson’s Disease)
Show Figures

Graphical abstract

19 pages, 43419 KB  
Article
Uncovering Multiple Paths to Urban Digital Business Excellence: A Socio-Technical Analysis of Equifinal and Asymmetrical Causal Pathways
by Ming Xia
J. Theor. Appl. Electron. Commer. Res. 2026, 21(1), 13; https://doi.org/10.3390/jtaer21010013 - 3 Jan 2026
Viewed by 258
Abstract
Conventional research on digital business development offers a limited view, overwhelmingly concerned with the isolated effects of individual variables while overlooking their synergistic relationships. This study challenges this reductive perspective by applying fuzzy set Qualitative Comparative Analysis (fsQCA) to Chinese city-level data. We [...] Read more.
Conventional research on digital business development offers a limited view, overwhelmingly concerned with the isolated effects of individual variables while overlooking their synergistic relationships. This study challenges this reductive perspective by applying fuzzy set Qualitative Comparative Analysis (fsQCA) to Chinese city-level data. We specifically investigate how elements from the socio-technical framework interact synergistically to shape the urban digital business ecosystem. The results demonstrate that no single factor is sufficient as a determinant. Instead, we observe equifinality, meaning multiple distinct configurations can lead to equally high performance. Furthermore, the causal configurations for failure are not mirror images of those for success but instead exhibit a distinctive pattern. The influence of government size exemplifies this asymmetry. For policymakers, the implication is that effective strategies for urban digital business must be holistic and context sensitive, moving beyond universal prescriptions. Full article
(This article belongs to the Section Digital Business, Governance, and Sustainability)
Show Figures

Figure 1

30 pages, 9391 KB  
Article
A Multilevel Machine Learning Framework for Mapping and Predicting Diffuse and Point-Source Heavy Metal Contamination in Surface Soils
by Maria Silvia Binetti, Carmine Massarelli and Emanuele Barca
Earth 2026, 7(1), 4; https://doi.org/10.3390/earth7010004 - 31 Dec 2025
Viewed by 269
Abstract
This study addresses the global challenge of superficial soil contamination by heavy metals, focusing on differentiating natural geogenic sources from anthropogenic contributions in complex industrial–urban environments. We develop an integrated geostatistical and multivariate framework combining soil metal concentration analysis with AERMOD atmospheric dispersion [...] Read more.
This study addresses the global challenge of superficial soil contamination by heavy metals, focusing on differentiating natural geogenic sources from anthropogenic contributions in complex industrial–urban environments. We develop an integrated geostatistical and multivariate framework combining soil metal concentration analysis with AERMOD atmospheric dispersion modeling using a comparative multi-model machine learning approach (including Extreme Gradient Boosting, Random Forest, and Ridge Regression). Applied to the industrialized area of Taranto, Southern Italy, this approach incorporates spatial autocorrelation and multiple environmental predictors to identify contamination patterns and sources. The results reveal variable predictive accuracy across metals, with RF generally outperforming the other algorithms. The model achieved its highest performance for copper (R2 = 0.58, RMSE = 25.82), Tin (R2 = 0.53, RMSE = 5.95), and chromium, while showing instability for others. These disparities highlight the differential influence of remote sensing data on contamination mapping. The framework advances the quantitative assessment of soil pollution by linking atmospheric deposition and spatial processes with causal interpretability. Full article
(This article belongs to the Section AI and Big Data in Earth Science)
Show Figures

Figure 1

20 pages, 927 KB  
Article
Is Homeownership Beneficial for Rural-to-Urban Migrants’ Access to Public Health Services? Exploring Housing Disparities Within Urban Health Systems
by Peng Xu, Qunli Tan and Yu Hou
Systems 2026, 14(1), 40; https://doi.org/10.3390/systems14010040 - 30 Dec 2025
Viewed by 221
Abstract
In the context of China’s accelerated urbanization process, the increasing number of rural-to-urban migrants has become an integral part of urban economic development. Ensuring stable housing for the floating population is essential to facilitating their integration into urban society and promoting the realization [...] Read more.
In the context of China’s accelerated urbanization process, the increasing number of rural-to-urban migrants has become an integral part of urban economic development. Ensuring stable housing for the floating population is essential to facilitating their integration into urban society and promoting the realization of their health rights. Drawing on data from a large-scale survey of Chinese internal migrants, this study empirically analyzes how homeownership influences health services accessibility in rural-to-urban migrants. The findings indicated that homeowners exhibited approximately 18.4% higher odds ratio of accessing public health services compared to renters. This result remained robust after addressing potential reverse causality using instrumental variable approaches and correcting for self-selection bias through propensity score weighting methods. Meanwhile, the mediating effect decomposition showed that migrants’ perception of acculturation and community participation played parallel mediating roles in the relationship between homeownership and health services accessibility. Furthermore, the heterogeneity analysis revealed that the positive impact of homeownership on health services accessibility was more pronounced among individuals with lower household income and shorter migration duration. Our research underscores the importance of securing stable housing for rural-to-urban migrants as a key determinant in advancing the equitable development of urban health systems. Full article
Show Figures

Figure 1

5 pages, 182 KB  
Proceeding Paper
The Impact of CAP Investment Subsidies on Agricultural Productivity in Greece: A Time-Series Analysis
by Zisis C. Mandanas, Dimitrios P. Petropoulos and Nikolaos Apostolopoulos
Proceedings 2026, 134(1), 6; https://doi.org/10.3390/proceedings2026134006 - 30 Dec 2025
Viewed by 285
Abstract
This paper investigates how CAP investment subsidies influence agricultural productivity in Greece using time-series data from 2000 to 2023. The analysis focuses on whether subsidies intended to stimulate investment in agricultural infrastructure and technology have a tangible effect on productivity. Employing econometric methods [...] Read more.
This paper investigates how CAP investment subsidies influence agricultural productivity in Greece using time-series data from 2000 to 2023. The analysis focuses on whether subsidies intended to stimulate investment in agricultural infrastructure and technology have a tangible effect on productivity. Employing econometric methods such as the Vector Autoregressive Model (VAR) and Granger causality testing, this study explores the short- and long-term impacts of these subsidies. Findings suggest that CAP subsidies have a significant and positive influence on agricultural productivity, with more notable effects in regions that have adopted technological advancements. These results provide valuable insights for policymakers looking to optimise CAP reforms and ensure sustainable agricultural growth in Greece. Full article
31 pages, 904 KB  
Article
How Can Professional Sports Clubs Enhance the Level of Corporate Social Responsibility Fulfillment? Evidence from Professional Sports Clubs in China
by Qiao Meng, Lian Wang, Yu Liu, Xinghao Wang and Tomasz Chamera
Societies 2026, 16(1), 11; https://doi.org/10.3390/soc16010011 - 29 Dec 2025
Viewed by 249
Abstract
This study explores the multifactorial synergistic effects and configurational pathways for enhancing corporate social responsibility (CSR) performance among Chinese professional sports clubs. Drawing on 188 valid questionnaires from Chinese professional football and basketball clubs, the research employs fuzzy-set qualitative comparative analysis to examine [...] Read more.
This study explores the multifactorial synergistic effects and configurational pathways for enhancing corporate social responsibility (CSR) performance among Chinese professional sports clubs. Drawing on 188 valid questionnaires from Chinese professional football and basketball clubs, the research employs fuzzy-set qualitative comparative analysis to examine the influence of seven antecedent conditions, commercial environment, government regulation, expectancy pressure, economic interests, internal emotional traits, moral quality, and information disclosure, on CSR performance. The findings reveal that CSR performance results from the interplay of multiple factors, identifying two equivalent pathways for enhancement: the coupling of government pressure with internal autonomy, and the coordination of commercial environment with internal moral qualities. These insights clarify the complex causal mechanisms underlying CSR implementation in professional sports clubs and propose two strategic approaches for promoting CSR: optimizing external institutional frameworks and activating internal endogenous motivation. The study offers configurationally grounded pathway options and managerial implications for improving CSR practices in Chinese professional sports clubs. Full article
Show Figures

Figure 1

19 pages, 554 KB  
Article
A Study on Unsafe Behaviors of Construction Workers Based on Personality Trait Theory
by Junwen Mo, Xiu Jia, Guizhang Li and Libing Cui
Appl. Sci. 2026, 16(1), 336; https://doi.org/10.3390/app16010336 - 29 Dec 2025
Viewed by 216
Abstract
The construction industry faces severe safety challenges with over 80% of accidents stemming from unsafe behaviors, yet traditional management overlooks the role of individual differences, and existing research fails to address the specific psychological mechanisms operative in this high-risk, dynamic environment. To effectively [...] Read more.
The construction industry faces severe safety challenges with over 80% of accidents stemming from unsafe behaviors, yet traditional management overlooks the role of individual differences, and existing research fails to address the specific psychological mechanisms operative in this high-risk, dynamic environment. To effectively curtail unsafe behaviors in such high-risk environments, this study aims to reveal the underlying mechanisms through which personality traits influence unsafe behaviors. Grounded in causal chain theory, the theory of planned behavior, and trait activation theory, this study constructs a hypothetical model of personality traits and unsafe behaviors, with fluke mentality serving as a mediating variable and safety climate as a moderating variable. A comprehensive approach combining questionnaire surveys, confirmatory factor analysis, correlation tests, and linear regression was employed to test the hypotheses. The results indicate that neuroticism, openness, and extraversion have significant positive effects on unsafe behaviors, while conscientiousness has a significant negative effect; agreeableness shows no significant influence. Fluke mentality plays a partial mediating role between personality traits and unsafe behaviors, while safety climate plays a negative moderating role. By clarifying the cognitive pathways of individual differences, this study enriches the theoretical framework of unsafe behavior research. The findings provide a theoretical basis for construction enterprises to optimize safety management from the perspective of individual differences, offering practical pathways to promote high-quality development in the construction industry. Full article
Show Figures

Figure 1

Back to TopTop